Decentralized Coordination of DERs for Dynamic Economic Emission Dispatch
Abstract
:1. Introduction
1.1. Literature Review
1.2. Motivations
1.2.1. Social Level Motivation
1.2.2. Technical Level Motivation
- (i)
- Increasing computational and communicational costs of the central coordinator.
- (ii)
- Scalable and flexible coordination of DERs.
- (iii)
- Privacy and prerogative concerns raised by different DER owners.
1.3. Contributions
- Compared with SED, DED, and EED problems, a more general DEED problem is studied, in which outputs of generators are subject to ramp constraints. In particular, transmission losses among grids are introduced to agree more with the real-world power system. Additionally, energy storage devices are considered to improve the reliability of the power supply with charging/discharging efficiency taken into account.
- With a rigorous conversion process, the formulated DEED problem is converted into an equivalent consensus optimization problem, which is applicable to be addressed by a majority of existing decentralized consensus-based algorithms [24,31,32,33,34,35]. This result may facilitate the popularization of decentralized solutions to the DEED problem.
- A new decentralized algorithm is developed for solving the consensus optimization problem. Compared with existing common ADMM-based methods [27,28,29,30], it reduces computational costs to some extent at each iteration because only one subproblem needs to be solved, and it is entirely localized. Especially for conventional quadratic cost functions, the proposed decentralized algorithm achieves a Q-linear convergence rate.
- Compared with decentralized methods [14,15,16,17,18,19,20,21,22,26,27], the proposed algorithm is more flexible in the choice of stepsizes since nonidentical stepsizes are adopted and an explicit upper bound for nonidentical stepsizes is provided. More notably, it allows asynchronous implementation that removes the global clock coordination and thus achieves fully decentralized realization.
1.4. Organization
2. Problem Formulation
2.1. Objective Functions
2.1.1. Cost Functions
2.1.2. Emission Functions
2.2. Constraints
2.2.1. Power Balance
2.2.2. Constraints for DG
2.2.3. Constraints for ES
2.3. DEED Problem
3. Problem Reformulation
3.1. Convex Equivalency of DEED
3.2. Lagrange Dual Problem
4. Decentralized Algorithm
4.1. Algorithm Development
| Algorithm 1 decentralized algorithm for DEED problem | 
| 
 | 
4.2. Convergence Results
5. Simulations
5.1. DED Problem ()
5.2. DEED Problem ( (0, 1))
5.3. Comparison Study
6. Discussion
7. Conclusions
Author Contributions
Funding
Institutional Review Board Statement
Informed Consent Statement
Data Availability Statement
Conflicts of Interest
Nomenclature
| Power output of DG/ES i at time slot t | |
| Cost function of DG/ES i | |
| Cost coefficients of DG/ES i | |
| T | Horizon of the schedule period | 
| m | Number of DGs | 
| s | Number of ESs | 
| Amount of emission from DG i at time slot t | |
| Emission coefficients of DG i | |
| Power demand at time slot t | |
| Network losses at time slot t | |
| Network loss coefficient | |
| , | Lower and upper bound of the power generation capacity of DG/ES i | 
| , | Maximum ramp up/down rates for DG i | 
| Rate of change of energy stored in ES i at time slot t | |
| Discharging and charging efficiency of ES i | |
| Energy stored in ES i at time slot t | |
| Constraint set of DG/ES i | |
| Virtual demand of unit i | |
| Estimation of optimal incremental cost at unit i | |
| Neighbours of i | |
| Stepsize | |
| Edge weight/stepsize | 
References
- Yuan, D.; Lu, Z.; Zhang, J.; Guo, X.; Geng, L. A distributed and integrated control strategy for an islanded microgrid considering line loss and communication interruption. ISA Trans. 2022, 129, 345–360. [Google Scholar] [CrossRef]
- Somuah, C.; Khunaizi, N. Application of linear programming redispatch technique to dynamic generation allocation. IEEE Trans. Power Syst. 1990, 5, 20–26. [Google Scholar] [CrossRef]
- Lin, C.E.; Viviani, G.L. Hierarchical Economic Dispatch for Piecewise Quadratic Cost Functions. IEEE Trans. Power Appar. Syst. 1984, 103, 1170–1175. [Google Scholar] [CrossRef]
- Irisarri, G.; Kimball, L.; Clements, K.; Bagchi, A.; Davis, P. Economic dispatch with network and ramping constraints via interior point methods. IEEE Trans. Power Syst. 1998, 13, 236–242. [Google Scholar] [CrossRef]
- Niknam, T. Enhanced adaptive particle swarm optimisation algorithm for dynamic economic dispatch of units considering valve-point effects and ramp rates. IET Gener. Transm. Distrib. 2012, 6, 424–435. [Google Scholar] [CrossRef]
- Rahman, I.; Vasant, P.M.; Singh, B.S.; Abdullah-Al-Wadud, M.; Adnan, N. Review of recent trends in optimization techniques for plug-in hybrid, and electric vehicle charging infrastructures. Renew. Sustain. Energy Rev. 2016, 58, 1039–1047. [Google Scholar] [CrossRef]
- Elaiw, A.; Xia, X.; Shehata, A. Application of model predictive control to optimal dynamic dispatch of generation with emission limitations. Electr. Power Syst. Res. 2012, 84, 31–44. [Google Scholar] [CrossRef]
- Qian, S.; Wu, H.; Xu, G. An improved particle swarm optimization with clone selection principle for dynamic economic emission dispatch. Soft Comput. 2020, 24, 15249–15271. [Google Scholar] [CrossRef]
- Guo, C.; Zhan, J.; Wu, Q. Dynamic economic emission dispatch based on group search optimizer with multiple producers. Electr. Power Syst. Res. 2012, 86, 8–16. [Google Scholar] [CrossRef]
- Elaiw, A.; Xia, X.; Shehata, A. Hybrid DE-SQP and hybrid PSO-SQP methods for solving dynamic economic emission dispatch problem with valve-point effects. Electr. Power Syst. Res. 2013, 103, 192–200. [Google Scholar] [CrossRef]
- Gjorgiev, B.; Čepin, M. A multi-objective optimization based solution for the combined economic-environmental power dispatch problem. Eng. Appl. Artif. Intell. 2013, 26, 417–429. [Google Scholar] [CrossRef]
- Pandit, N.; Tripathi, A.; Tapaswi, S.; Pandit, M. An improved bacterial foraging algorithm for combined static/dynamic environmental economic dispatch. Appl. Soft Comput. 2012, 12, 3500–3513. [Google Scholar] [CrossRef]
- Sepehrzad, R.; Moridi, A.R.; Hassanzadeh, M.E.; Seifi, A.R. Intelligent Energy Management and Multi-Objective Power Distribution Control in Hybrid Micro-grids based on the Advanced Fuzzy-PSO Method. ISA Trans. 2021, 112, 199–213. [Google Scholar] [CrossRef] [PubMed]
- Kar, S.; Hug, G. Distributed robust economic dispatch in power systems: A consensus + innovations approach. In Proceedings of the 2012 IEEE Power and Energy Society General Meeting, San Diego, CA, USA, 22–26 July 2012; pp. 1–8. [Google Scholar]
- Chen, G.; Zhao, Z. Delay Effects on Consensus-Based Distributed Economic Dispatch Algorithm in Microgrid. IEEE Trans. Power Syst. 2018, 33, 602–612. [Google Scholar] [CrossRef]
- Xu, Y.; Han, T.; Cai, K.; Lin, Z.; Yan, G.; Fu, M. A Distributed Algorithm for Resource Allocation Over Dynamic Digraphs. IEEE Trans. Signal Process. 2017, 65, 2600–2612. [Google Scholar] [CrossRef]
- Yang, T.; Lu, J.; Wu, D.; Wu, J.; Shi, G.; Meng, Z.; Johansson, K.H. A Distributed Algorithm for Economic Dispatch Over Time-Varying Directed Networks With Delays. IEEE Trans. Ind. Electron. 2017, 64, 5095–5106. [Google Scholar] [CrossRef]
- Binetti, G.; Member, S.; Davoudi, A.; Lewis, F.L.; Naso, D.; Turchiano, B.; Member, S. Distributed Consensus-Based Economic 478 Dispatch With Transmission Losses. IEEE Trans. Power Syst. 2014, 29, 1711–1720. [Google Scholar] [CrossRef]
- Wu, J.; Yang, T.; Wu, D.; Kalsi, K.; Johansson, K.H. Distributed Optimal Dispatch of Distributed Energy Resources Over Lossy Communication Networks. IEEE Trans. Smart Grid 2017, 8, 3125–3137. [Google Scholar] [CrossRef]
- Wu, D.; Yang, T.; Stoorvogel, A.A.; Stoustrup, J. Distributed Optimal Coordination for Distributed Energy Resources in Power Systems. IEEE Trans. Autom. Sci. Eng. 2017, 14, 414–424. [Google Scholar] [CrossRef]
- Yang, T.; Wu, D.; Fang, H.; Ren, W.; Wang, H.; Hong, Y.; Johansson, K.H. Distributed energy resource coordination over time-varying directed communication networks. IEEE Trans. Control. Netw. Syst. 2019, 6, 1124–1134. [Google Scholar] [CrossRef]
- Zheng, W. Fully distributed multi-area economic dispatch method for active distribution networks. IET Gener. Transm. Distrib. 2015, 9, 1341–1351. [Google Scholar] [CrossRef]
- Xu, T.; Wu, W.; Zheng, W.; Sun, H.; Wang, L. Fully Distributed Quasi-Newton Multi-Area Dynamic Economic Dispatch Method for Active Distribution Networks. IEEE Trans. Power Syst. 2018, 33, 4253–4263. [Google Scholar] [CrossRef]
- Nedić, A.; Olshevsky, A. Distributed optimization over time-varying directed graphs. IEEE Trans. Autom. Control 2015, 60, 601–615. [Google Scholar] [CrossRef]
- Li, Y.; Qin, Z.; Zhang, F.; Qin, Y.; Hua, H.; Cao, J. Distributed Power Dispatching Solution for A Future Economic and Environment-Friendly Energy Internet. In Proceedings of the 2020 the 9th International Conference on Informatics, Environment, Energy and Applications (IEEA 2020), Amsterdam, The Netherlands, 13–16 March 2020; Association for Computing Machinery: New York, NY, USA, 2020; pp. 72–77. [Google Scholar] [CrossRef]
- Hamdi, M.; Chaoui, M.; Idoumghar, L.; Kachouri, A. Coordinated consensus for smart grid economic environmental power dispatch with dynamic communication network. IET Gener. Transm. Distrib. 2018, 12, 2603–2613. [Google Scholar] [CrossRef]
- Nguyen, D.H.; Narikiyo, T.; Kawanishi, M. Dynamic environmental economic dispatch: A distributed solution based on an alternating direction method of multipliers. In Proceedings of the 2016 IEEE International Conference on Sustainable Energy Technologies (ICSET), Hanoi, Vietnam, 14–16 November 2016; pp. 1–6. [Google Scholar] [CrossRef]
- He, X.; Zhao, Y.; Huang, T. Optimizing the Dynamic Economic Dispatch Problem by the Distributed Consensus-Based ADMM Approach. IEEE Trans. Ind. Inform. 2020, 16, 3210–3221. [Google Scholar] [CrossRef]
- Yang, L.; Luo, J.; Xu, Y.; Zhang, Z.; Dong, Z. A Distributed Dual Consensus ADMM Based on Partition for DC-DOPF with Carbon Emission Trading. IEEE Trans. Ind. Inform. 2020, 16, 1858–1872. [Google Scholar] [CrossRef]
- Yang, Q.; Chen, G.; Wang, T. ADMM-based distributed algorithm for economic dispatch in power systems with both packet drops and communication delays. IEEE/CAA J. Autom. Sin. 2020, 7, 842–852. [Google Scholar] [CrossRef]
- Shi, W.; Ling, Q.; Wu, G.; Yin, W. Extra: An exact first-order a lgorithm for decentralized consensus optimization. SIAM J. Optim. 2015, 25, 944–966. [Google Scholar] [CrossRef]
- Xin, R.; Xi, C.; Khan, U.A. FROST—Fast row-stochastic optimization with uncoordinated step-sizes. EURASIP J. Adv. Signal Process. 2019, 2019, 1. [Google Scholar] [CrossRef]
- Nedić, A.; Olshevsky, A.; Shi, W. Achieving Geometric Convergence for Distributed Optimization Over Time-Varying Graphs. SIAM J. Optim. 2017, 27, 2597–2633. [Google Scholar] [CrossRef]
- Xu, J.; Zhu, S.; Soh, Y.C.; Xie, L. Augmented distributed gradient methods for multi-agent optimization under uncoordinated constant stepsizes. In Proceedings of the 2015 54th IEEE Conference on Decision and Control (CDC), Osaka, Japan, 15–18 December 2015; pp. 2055–2060. [Google Scholar] [CrossRef]
- Latafat, P.; Freris, N.M.; Patrinos, P. A New Randomized Block-Coordinate Primal-Dual Proximal Algorithm for Distributed Optimization. IEEE Trans. Autom. Control 2019, 64, 4050–4065. [Google Scholar] [CrossRef]
- Vlachogiannis, J.G.; Lee, K.Y. Economic Load Dispatch—A Comparative Study on Heuristic Optimization Techniques with an Improved Coordinated Aggregation-Based PSO. IEEE Trans. Power Syst. 2009, 24, 991–1001. [Google Scholar] [CrossRef]
- Zhao, C.; He, J.; Cheng, P.; Chen, J. Consensus-Based Energy Management in Smart Grid with Transmission Losses and Directed Communication. IEEE Trans. Smart Grid 2017, 8, 2049–2061. [Google Scholar] [CrossRef]
- Loia, V.; Vaccaro, A. Decentralized Economic Dispatch in Smart Grids by Self-Organizing Dynamic Agents. IEEE Trans. Syst. Man Cybern. Syst. 2014, 44, 397–408. [Google Scholar] [CrossRef]
- Hiriart-Urruty, J.B.; Lemaréchal, C.; Hiriart-Urruty, J.B.; Lemaréchal, C. Conjugacy in convex analysis. In Fundamentals of Convex Analysis; Springer: Berlin/Heidelberg, Germany, 2001; pp. 209–244. [Google Scholar]
- Basu, M. Dynamic economic emission dispatch using nondominated sorting genetic algorithm. Int. J. Electr. Power Energy Syst. 2008, 30, 140–149. [Google Scholar] [CrossRef]
- Dorahaki, S.; Rashidinejad, M.; Fatemi Ardestani, S.F.; Abdollahi, A.; Salehizadeh, M.R. An integrated model for citizen energy communities and renewable energy communities based on clean energy package: A two-stage risk-based approach. Energy 2023, 277, 127727. [Google Scholar] [CrossRef]
- Dorahaki, S.; Sarkhosh, A.; Rashidinejad, M.; Salehizadeh, M.R.; MollahassaniPour, M. Fairness in optimal operation of transactive smart networked modern multi-carrier energy systems: A two-stage optimization approach. Sustain. Energy Technol. Assess. 2023, 56, 103035. [Google Scholar] [CrossRef]





| Unit | ||||||||||
|---|---|---|---|---|---|---|---|---|---|---|
| 1 | −2.444 | 0.0207 | [150, 470] | 0.000049 | ||||||
| 2 | 0.1058 | 46.1591 | 451.3251 | 103.3908 | −2.4444 | 0.0312 | 0.5035 | 0.0207 | [135, 470] | 0.000014 | 
| 3 | 0.0280 | 40.3965 | 1049.9977 | 300.3910 | −4.0695 | 0.0509 | 0.4968 | 0.0202 | [73, 340] | 0.000015 | 
| 4 | 0.0354 | 38.3055 | 1243.5311 | 300.3910 | −4.0695 | 0.0509 | 0.4968 | 0.0202 | [60, 300] | 0.000015 | 
| 5 | 0.0211 | 36.3278 | 1658.5696 | 320.0006 | −3.8132 | 0.0344 | 0.4972 | 0.0200 | [73, 243] | 0.000016 | 
| 6 | 0.0179 | 38.2704 | 1356.6592 | 320.0006 | −3.8132 | 0.0344 | 0.4972 | 0.0200 | [57, 160] | 0.000017 | 
| 7 | 0.0121 | 36.5104 | 1450.7045 | 330.0056 | −3.9023 | 0.0465 | 0.5163 | 0.0214 | [20, 130] | 0.000017 | 
| 8 | 0.0121 | 36.5104 | 1450.7045 | 330.0056 | −3.9023 | 0.0465 | 0.5163 | 0.0214 | [47,120] | 0.000018 | 
| 9 | 0.1090 | 39.5804 | 1455.6056 | 350.0056 | −3.9524 | 0.0465 | 0.5475 | 0.0234 | [20, 80] | 0.000019 | 
| 10 | 0.1295 | 40.5407 | 1469.4026 | 360.0012 | −3.9864 | 0.0470 | 0.5475 | 0.0234 | [10, 55] | 0.000020 | 
| Unit | ||||||
|---|---|---|---|---|---|---|
| 11 | 0.1 | 500 | [−50, 50] | 0.8 | 0.8 | 0.000015 | 
| 12 | 0.1 | 400 | [−40, 40] | 0.88 | 0.88 | 0.000015 | 
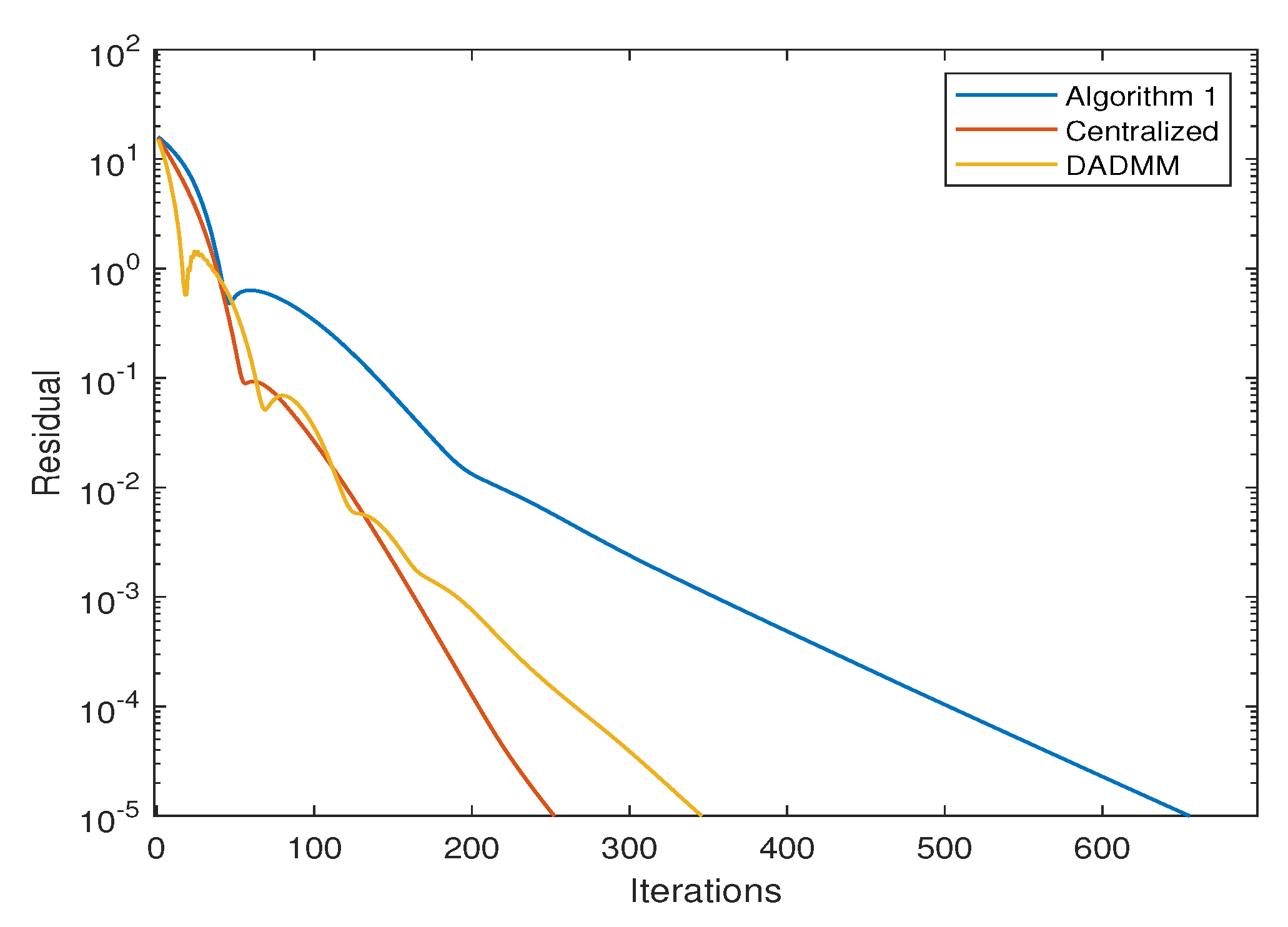
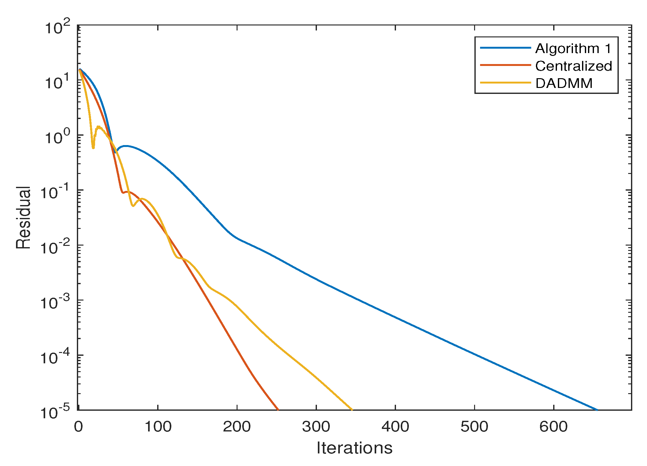
| Algorithm | Number of Iterations | Time (s) | 
|---|---|---|
| Algorithm 1 | 652 | 30.3203 | 
| Centralized | 249 | 12.6807 | 
| DADMM | 344 | 35.2371 | 
| Disclaimer/Publisher’s Note: The statements, opinions and data contained in all publications are solely those of the individual author(s) and contributor(s) and not of MDPI and/or the editor(s). MDPI and/or the editor(s) disclaim responsibility for any injury to people or property resulting from any ideas, methods, instructions or products referred to in the content. | 
© 2023 by the authors. Licensee MDPI, Basel, Switzerland. This article is an open access article distributed under the terms and conditions of the Creative Commons Attribution (CC BY) license (https://creativecommons.org/licenses/by/4.0/).
Share and Cite
Dai, J.; Wang, Z. Decentralized Coordination of DERs for Dynamic Economic Emission Dispatch. Appl. Sci. 2023, 13, 12431. https://doi.org/10.3390/app132212431
Dai J, Wang Z. Decentralized Coordination of DERs for Dynamic Economic Emission Dispatch. Applied Sciences. 2023; 13(22):12431. https://doi.org/10.3390/app132212431
Chicago/Turabian StyleDai, Jingtong, and Zheng Wang. 2023. "Decentralized Coordination of DERs for Dynamic Economic Emission Dispatch" Applied Sciences 13, no. 22: 12431. https://doi.org/10.3390/app132212431
APA StyleDai, J., & Wang, Z. (2023). Decentralized Coordination of DERs for Dynamic Economic Emission Dispatch. Applied Sciences, 13(22), 12431. https://doi.org/10.3390/app132212431
 
        


 
       