Next Article in Journal
BA-Optimized Variable Domain Fuzzy PID Control Algorithm for Water and Fertilizer Ratio Control System in Cotton Field
Previous Article in Journal
An Analysis of Hybrid Renewable Energy-Based Hydrogen Production and Power Supply for Off-Grid Systems
 
 
Font Type:
Arial Georgia Verdana
Font Size:
Aa Aa Aa
Line Spacing:
Column Width:
Background:
Article

Economic Dispatch of Combined Cycle Power Plant: A Mixed-Integer Programming Approach

by
Octavio López Hernández
,
David Romero Romero
and
Mohamed Badaoui
*
Instituto Politécnico Nacional, Escuela Superior de Ingeniería Mecánica y Eléctrica, Av. Luis Enrique Erro s/n, Ciudad de México 07738, Mexico
*
Author to whom correspondence should be addressed.
Processes 2024, 12(6), 1199; https://doi.org/10.3390/pr12061199
Submission received: 9 May 2024 / Revised: 4 June 2024 / Accepted: 6 June 2024 / Published: 12 June 2024
(This article belongs to the Section Energy Systems)

Abstract

In this article, we present a modification to the Economic Dispatch (ED) model that addresses the non-convex nature of the cost curves associated with a Combined Cycle Power Plant (CCPP). Incorporating a binary variable provides greater precision in solving the combinatorial problem in only one simulation and, most importantly, demonstrates cost minimization among the three different cost curve models for dispatching the CCPP. Our results highlight the importance of considering different demand scenarios based on a reference forecast for one day ahead. Therefore, piecewise modeling is more feasible for solving the non-convex problem, showing greater accuracy regarding the operational state of the CCPP and avoiding the cost overestimation that occurs with traditional models. Moreover, it allows the operators to manage costs better and optimize generation potential, ultimately showing economic benefits for the system operator.

1. Introduction

Combined Cycle Power Plants (CCPPs) present great operational flexibility, unlike clean energy sources. They respond quickly to fluctuations and uncertainties in power demand, allowing them to avoid unforeseen circumstances or load-generation imbalances to ensure reliable and efficient power in the electrical system. Moreover, they have secured a leading position in proven performance, delivering an impressive efficiency of 50%. Considering these factors, CCPPs offer significant operational and flexibility advantages, providing a solution for the competitive environment of the energy sector [1,2,3].
The authors of [4,5,6,7,8,9,10,11,12] mainly address the topic of ED using more current methodologies that contribute to using strategies, methods and techniques to maximize the efficiency and reliability of electrical systems and provide more efficient and sustainable solutions in electrical engineering. Reference [13] provides an overview of the most commonly used models in academic research and industrial practice to analyze and understand the information and benefits related to CCPPs, ranging from a detailed description of CCPP components and processes to an analysis of their operational benefits.
The authors in [14,15,16] propose an approximation to the quadratic polynomial cost curve using a convex decomposition and constraint-reconstruction methods. This approximation more accurately captures the nonlinear nature of the costs associated with the equivalents used to represent Conventional Thermal Power Plants (CTPPs) and CCPPs. The authors of [17] provide a critical and comparative view on the Lagrangian Relaxation (LR) approach and the Mixed Integer Programming (MIP) approach in optimal scheduling of CCPPs, considering energy prices and power plant operating constraints. In [18], the benefits of a model based on CCPP configurations for resource allocation in the energy market are proposed. This model considers both market conditions and electricity demand in the decision-making process. Ref. [19] presents the properties of CCPPs and a Mixed Integer Linear Programming (MILP) formulation that reduces computational time in solving each turbine’s transient process problems and physical limitations. Moreover, the formulation includes limits on CCPP minimum startup and shutdown times.
The authors in [20] suggest a strategy for efficiently scheduling the CCPP resources in the Electric Reliability Council of Texas (ERCOT) market. Their objective was to consider the model’s efficiency in terms of production costs, meeting demand and complying with the operational constraints of the energy market. In addition, ref. [21] presents a formulation based on the relationships between the main components of CCPP, which aims to improve unit scheduling under all the model constraints. On the other hand, ref. [22] introduces a hybrid model based on configurations and components of CCPPs to reach optimal participation in the MISO (Mid-Continent Independent System Operator) market and then to optimize the operation of CCPPs, taking into account their specific characteristics and limitations. Refs. [23,24] build a formulation that emphasizes the importance of efficient CCPP modeling while addressing the challenges of traditional formulations based on various configurations minimizing complexity while maintaining accuracy.
The authors of [25,26] employ a detailed model based on CCPP components and operational conditions. They incorporate considerations such as generation costs, power budget constraints and operational limitations to model the short-term planning of CCPP. In the literature, scholars have introduced several strategies to address the ED problem. One commonly utilized methodology involves representing the objective function as a cost function expressed as a quadratic polynomial, as proposed in [25,26,27].
Considering the technical and economic aspects of a CCPP to maintain energy efficiency involves addressing changes in load and implementing artificial intelligence models to make accurate predictions of generation power. In addition, it is necessary to carry out an economic analysis that complements the integration of renewable energy sources. These aspects are detailed in [28,29,30].
This representation allows us to capture equivalently each operating state of the CCPPs and solve jointly with the UC problem in a network system. By employing this technique, the optimization of the CCPP operation does not achieve a more accurate and efficient optimal solution. The reason for this is that the equivalent of the cost function used does not adequately adjust to the associated costs in each operating state, as is its impact on the electricity system in its totality. As a result, an optimal solution for the available generation resources is not possible in economic terms.
Furthermore, ref. [31] presents the model using a fourth-degree polynomial to model the CCPP cost function. This approach is compared with MILP and evaluated using genetic algorithms, evolutionary programming and particle swarming, mainly focused on showing that these optimization techniques can effectively find solutions in a non-convex problem such as ED. In [32,33], a segmented formulation is advanced to represent the CCPP cost function. This approach subdivides the cost function into segments or pieces, fitting each piece to a specific part of the power plant’s operating range. It allows for a more accurate and detailed representation of the costs associated with different operating conditions. By employing this piecewise formulation, a more flexible and realistic treatment of the CCPP cost function results, improving the accuracy of optimization models and decision-making in the ED. In [34], a case study focuses on start-up ramps, gas/steam turbine ratios and critical operating constraints in CCPP plants. Considering these factors is vital to prevent equipment damage, cut operating costs and enhance overall efficiency within integrated power systems. Below, we outline the contribution of this study, emphasizing the comparison with the results reported by the authors in [27,28,32,33,34,35,36,37]:
  • We examined the energy production and thermal consumption data from two closely related articles [33,38], selected to demonstrate the non-convex behavior of cost curves for each operational state of the CCPP. The proposed method compares results by considering three distinct approaches to modeling non-convex cost curves. Additionally, the proposed formulation represents a generalization for addressing the non-convex problem, utilizing two polynomial models and a piecewise model.
  • This work’s scientific contribution significantly demonstrates cost minimization by modifying the Optimal Direct Current Power Flows (ODCPF) problem. Incorporating binary variables into the formulation improves flexibility by considering states 3 and 4, notably solving the dispatch of the CCPPs in a single run, without the need to solve 2 n economic dispatches, where n represents the number of CCPP considered in the test system.
  • The case studies demonstrate the formulation’s behavior when considering percentages representing demand variation. These analyses indicate the proposed model’s response under different demand conditions compared to a forecasted reference value, thereby ensuring the operational capacity of power plants even when demand significantly deviates from predictions.
We organize this work as follows: in Section 2, we introduce the operational states of the CCPP and the modeling approaches to represent the non-convex curves used throughout the study, Section 3 describes the formulation of ODCPF, considering the modification for each cost function approach. Section 4 presents the test system and the results derived from implementing the proposed modeling, comparing the cost-economic approach and the CCPP operation selection. Finally, in the Section 5, the conclusions reached at the end of this work are presented.

2. The Mathematical Modeling of the CCPP Cost Curve

This section addresses the essential aspects of CCPP non-convex cost curve modeling. The current study utilizes data on power generation and thermal consumption from secondary sources and specific simulations. We extracted seven power generation values (MW) and their corresponding thermal consumption (BTU/kWh) from a relevant article in the field [33,38], choosing it for its methodology and relevance to our research context. Furthermore, we generated four additional power (MW) and fuel consumption (BTU/kWh) values through simulations in Thermoflow under specific ISO conditions: an ambient temperature of 16.20 °C, an ambient pressure of 1.013 bar and a relative humidity of 78%. These simulations expand our understanding by providing specific data on the performance of gas turbines under controlled conditions, which is crucial for estimating a power value in conjunction with the steam turbine. Thus, Table 1 and Table 2 show the costs associated with energy generation for each operating state.
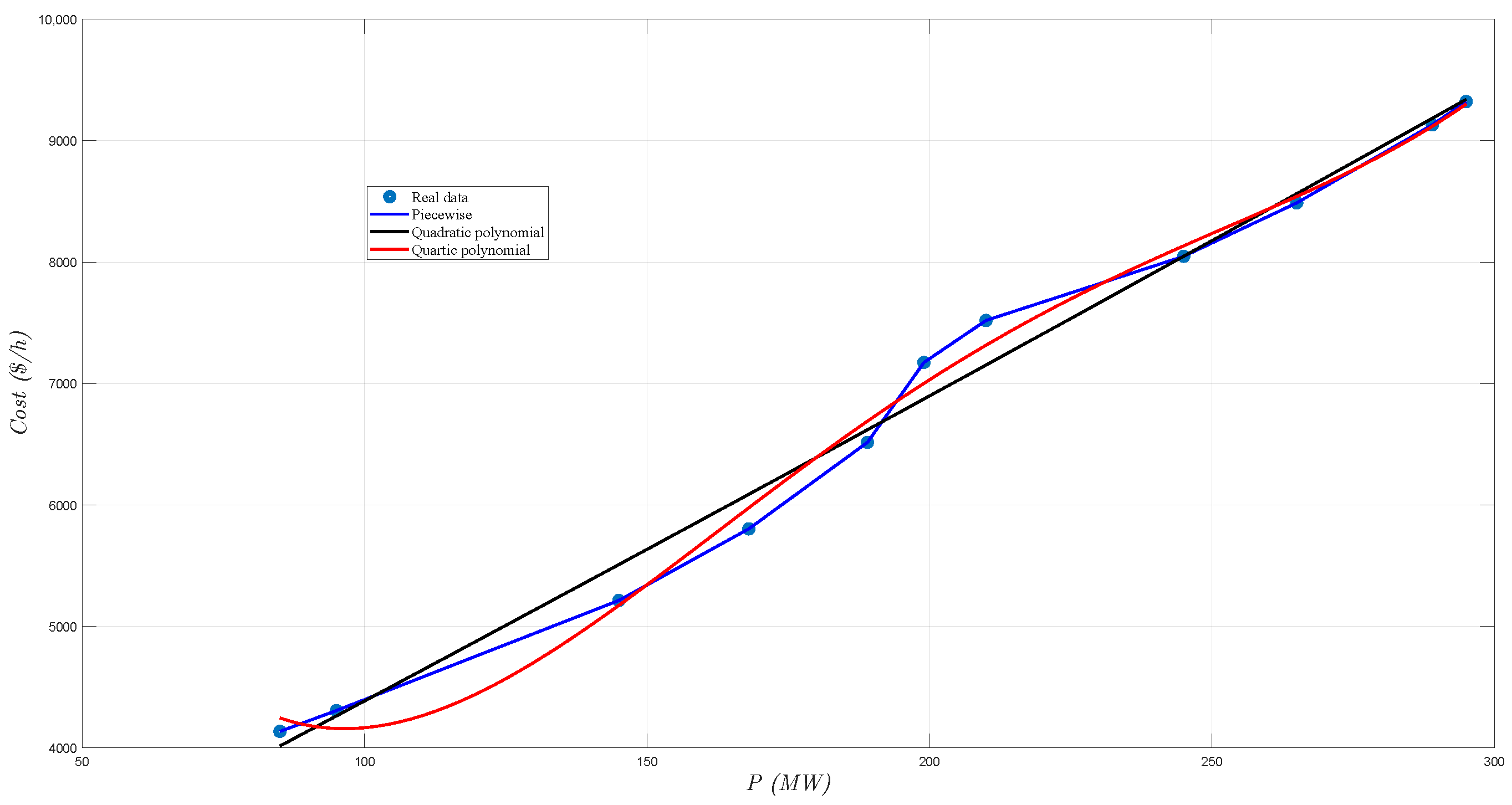
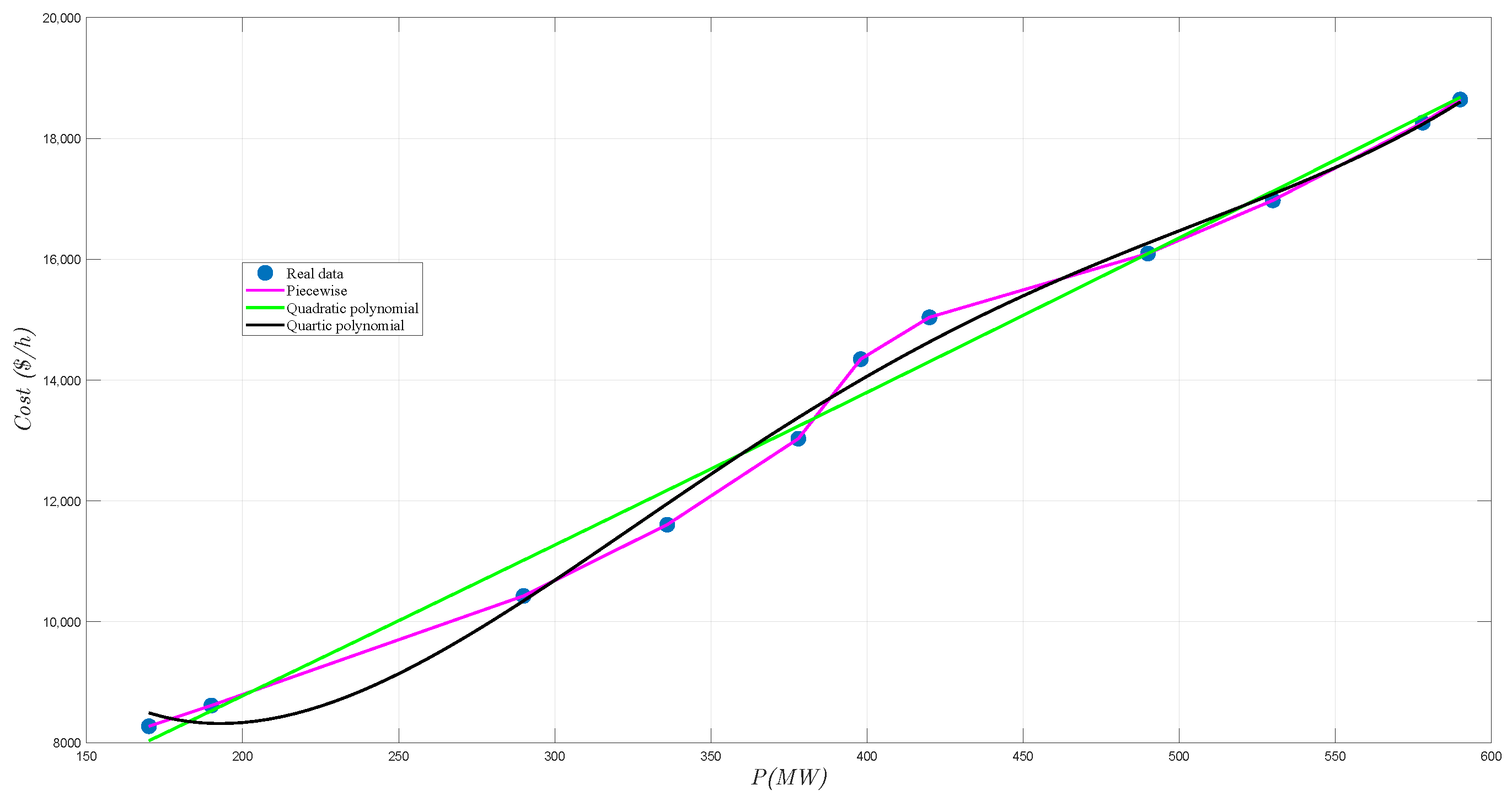
The operating states are defined as follows: State 2 increases to two gas turbines. State 3 introduces a combination of one gas turbine and one steam turbine. Finally, State 4 employs two gas turbines along with one steam turbine [31,32,33,38]. In this work, the fuel cost is 4.5341 USD/MBTU. Three main models were used to represent the cost curves of the CCPP. The first model is the piecewise approach, which consists of linear segments derived from operational data. Furthermore, based on the least squares estimation, we constructed the cost curve’s quadratic and quartic polynomial fit. These models capture the behavior of thermal states 1 and 2, reflected in convex and monotonically increasing cost curves. This case study considers states 3 and 4, which involve the combined operation of gas and steam turbines. These states are included in the model because they present cost curves that are monotonically increasing, but not convex, and allow a feasible transition between them. To illustrate these patterns, Figure 1 and Figure 2 present the non-convex states corresponding to the CCPP, respectively.

3. Modeling of Economic Dispatch for CCPPs

This section details the modification of the proposed optimization model to provide an accurate and reliable solution to the ED problem. We adopt the ODCPF formulation that includes CTPPs, as described in [4]. Unlike published works in the literature [31,33,38], our approach introduces a binary variable that allows us to display specific information about the operation of the CCPP, achieving greater precision without the need for overestimated costs of dispatch. The formulation considers a one day ahead horizon for a network system, including the CTPP.

3.1. Objective Function

The Equation (1) generalizes the cost function for CCPP and CTPP to minimize operational costs.
minimize : F c t ( P c t h ) + F c c ( P c c h j )
where:
F c t = h H c t α h × P c t h 2 + β h × P c t h + γ h × υ h c t
The Equation (2) details the second-degree polynomial form used to represent the cost function of the CTPP. Meanwhile, F c c is the objective function describing the cost function of the CCPP, which depends on the three approaches presented in this research. The first approach is represented through a quartic polynomial as described in (3). The second one is shown by the Equation (4) and is represented by a second-order polynomial.
  • Quartic approach
F c u a r t i c c c = h H c c j J K h j × P c c h j 4 + Ψ h j × P c c h j 3 + α h j × P c c h j 2 + β h j × P c c h j + γ h j × υ h j c c
  • Quadratic approach
F q u a d r a t i c c c = h H c c j J α h j × P c c h j 2 + β h j × P c c h j + γ h j × υ h j c c
The third approach is presented in Equation (5), which utilizes a piecewise method to depict the segments that form the cost curve. This representation differs from the mathematical models published in the literature [27,28,32,33,34,35,36,37], we propose to incorporate a binary variable that simplifies the choice of a single operating state for the CCPP. It focuses exclusively on the two non-convex states of the CCPP, which enable a transition between them, and the binary variable facilitates its selection efficiently.
  • Piecewise approach
F p i e c e w i s e c c = h H c c j J r A i j r c c × P g e n i j r c c + b i j r c c × u i j r c c r { 1 , , R }

3.2. Binary Variables

subject   to j J r = 1 R u i j r c c = 1 i N b u s c c , r { 1 , , R }
j J v h j c c = 1 h N b u s c c
h H c t v h c t = 1
The constraints (6) and (7) allow the ODCPF model to integrate the search to select a single operating state of the CCPP. The binary variable imposes at least one operational state to choose, represented in the set j J . In this context, we select the states that allow a feasible transition. The constraint (8) is a binary variable designed in a general way to contemplate only one CTPP in case there is more than one in the set j J c t .

3.3. Limits of Generation

In the mathematical model, constraints (9)–(11) establish limits for power generation in the CCPP and CTPP. These constraints consider minimum and maximum limits, and they use binary variables to determine the operability of the power plants in specific periods. Including these constraints ensures that power generation is maintained within the permitted ranges, considering operating conditions and feasible transitions between operating states.
L m i n i j r c c × u i j r c c P g e n i j r c c L m a x i j r c c × u i j r c c i N b u s c c , j J c c , r { 1 , , R }
P m i n i j c c × v i j c c P c c i j P m a x i j c c × v i j c c i N b u s c c , j J c c
P m i n h c t × v h c t P c t h P m a x h c t × v h c t h H c t

3.4. Generating Capacity

At the bus level, the constraints (12)–(14) precisely capture the power generation for each power plant. These constraints ensure that the contribution of the individual units is within the established limits, thus reflecting the dispatchability of each power plant in the power system, considering only the operating units.
P c c i j = r = 1 R P g e n i j r c c i N b u s c c , j J c c
P c c i GEN = r = 1 R P c c i j i N b u s c c , j J c c
P c t i Gen = j = 1 P c t h × v h c t h H c t

3.5. Direct Current Power Flow

The constraints (15) and (16), described in [4], play the fundamental role in modeling the ODCPF, derived from the limitation that the power flow has from one direction to another, so that the constraints ensure that it remains within a set range. Finally, the constraint (17) represents the power balance equation for the networked system.
P base χ i j × ( θ i o θ i d ) + τ i = P i j Fmax
0 τ i 2 × P i j Fmax
I I P Gen P load i T ( P base × [ B x ] × θ k ) = 0

4. Numerical Results

This section presents the key results of our modeling procedure. To implement the models mentioned above, we used the AMPL software (https://ampl.com/) on a computer with a 10-core Intel(R) Core(TM) i5-1230U processor running at a frequency of 1.0 GHz. The analysis aims to verify the behavior of the modeling considering different demand scenarios relative to a forecasting reference value, showing fluctuations in demand throughout the day ahead. The test system used in this research to validate the mathematical models comprises eight nodes, eleven lines, five loads, and six plants. Further details on the topology of the test system can be found in [25,26].
Table 3 presents information on the generating plant on each bus. Alternatively, Table 4 shows the load on each bus that remains constant for Case I. In contrast, Figure 3 illustrates the demand forecast for a 24 h horizon, in which 6 November 2023, will be taken as a reference and five scenarios (−2%, −5%, 2%, 5% and 7%) will be used from the forecasted data from [39]. As mentioned above, the line reactance values come from [26]. Meanwhile, the line limits proposed for carrying out the simulations are shown in Table 5.

4.1. Results of Non-Convex Cost Curve Analysis

To analyze the non-convex operating states of a CCPP, we evaluated how well the operating data align with the provided cost curves. Table 6 details the cost curve for the set of CTPPs. For the CCPP cost curve, the coefficients for the quartic polynomial model are listed in Table 7 and those for the quadratic model are detailed in Table 8. Finally, the last approach to modeling piecewise curves is to represent the linear segment and the constant term of the data shown in the Table 2. The goodness-of-fit values, using the Sum of Squared Errors (SSE), the Root Mean Squared Error (RMSE) and the coefficient of determination (R-squared), demonstrate a high degree of fit for the quartic and quadratic polynomial models representing States 3 and 4, as shown in Table 9.

4.2. Case Studies

This section presents the most significant results from the simulation process that applies the proposed model. We analyze two case studies, within which we evaluate the three different models related to the cost curves. The aim is to illustrate the costs associated with ED over a 24-h horizon.
  • Case I: Our formulation suggests that achieving minimum generation costs requires a more accurate fitting of the cost curves, particularly with the piecewise function. In this scenario, a local optimum cost has been achieved compared to the optimal cost obtained through modeling the cost function with a quadratic polynomial, considering a consistent load over a 24 h horizon. Table 10 highlights the advantage of the piecewise model over polynomial models and the benefit of our model, which consists of minimizing costs. Table 11 highlights the choice of State 3 to dispatch all power generation from the CCPP when using the quadratic and quadratic polynomial models. Table 12 shows that when the piecewise approach is adopted, the operating state at bus 3 is 4, resulting in a lower final generation cost. However, this indicates the efficiency of the piecewise model in achieving a more efficient solution.
Table 10. Total cost Case I.
Table 10. Total cost Case I.
Cost FunctionTotal Cost $
Piecewise$602,372.076910
Quartic$620,952.159905
Quadratic$658,312.737567
Table 11. Optimal combination with the polynomial approach Case I.
Table 11. Optimal combination with the polynomial approach Case I.
BusesHour
123456789101112
1333333333333
3333333333333
4111111111111
5333333333333
6111111111111
7333333333333
BusesHour
131415161718192021222324
1333333333333
3333333333333
4111111111111
5333333333333
6111111111111
7333333333333
Table 12. Optimal combination with the piecewise approach Case I.
Table 12. Optimal combination with the piecewise approach Case I.
BusesHour
123456789101112
1333333333333
3444444444444
4111111111111
5333333333333
6111111111111
7333333333333
BusesHour
131415161718192021222324
1333333333333
3444444444444
4111111111111
5333333333333
6111111111111
7333333333333
Table 11 shows the optimal configuration of the operating states for the generation power plants based on the analysis of polynomial functions and considering the demand forecasts. In this scenario, the operating states are kept stable and do not change. Table 12 illustrates how the allocation of power plant operating states are adjusted under the piecewise approach, considering demand forecasts. This configuration minimizes the costs associated with the power dispatch of power plants.
  • Case II: Determine the optimal dispatch mix by evaluating six variable demand scenarios over a 24 h horizon. Table 13 presents a comparison of total projected costs considering three different mathematical models of cost curves (piecewise, quadratic and quartic) under various forecast scenarios, which include percentage changes in forecasts of −2%, −5%, 2%, 5% and 7%. The results show that costs vary significantly between models and adjustment scenarios. Generally, the piecewise model tends to have the lowest costs in most scenarios, while the quadratic model often has the highest costs.
Table 13. Total cost Case II.
Table 13. Total cost Case II.
ScenarioPiecewiseQuarticQuadratic
Forecasting$619,412.2724$654,539.8981$685,137.3579
−2%$604,269.4495$628,159.2687$663,704.3229
−5%$594,162.2479$610,127.4383$648,695.9984
2%$618,478.1779$652,630.5746$683,784.7107
5%$629,134.7242$662,644.6744$698,907.7662
7%$636,239.0884$671,907.7874$709,035.0994
Table 14 presents the optimal combination for dispatching the CCPP at each bus for every hour of the day. These results are obtained from the model using second and fourth-degree polynomials, considering the reference scenario of forecasted demand [39]. The objective of the proposed modeling is to find an optimal solution, in this case, where the optimal state 3 minimizes the generation cost.
Figure 4 shows the costs associated with power plant dispatch based on a model using a quadratic cost function. Moreover, after hour 20, the cost varies in the forecast demand scenario and the scenario where the demand is 7% higher than forecast. It is essential to mention that, despite these variations in cost, the dispatch operation remains constant in terms of cost. Figure 5 shows how costs experience more variations when modeling with the quartic cost function, especially during peak hours. These fluctuations are notable in scenarios where the forecasted demand increases by 5% and 7%, suggesting a significant sensitivity of the quartic model to changes in demand during periods of high load. In contrast, Figure 6 illustrates the costs derived from using the piecewise cost function, where the differences in cost variations are mainly appreciable between the forecasted demand scenario and the scenario with 5% lower demand than forecasted. In this case, the costs associated with other scenarios, even those involving demand increases, show less pronounced variations. Thus, this suggests that the piecewise cost function provides a markedly more reliable model for minor variations in demand, except in significant reductions in demand. Table 15 shows the combination using the piecewise modeling approach, particularly in the first scenario under the forecasted demand. It is essential to mention that the optimal configuration for CCPP dispatch on bus 3 involves activation of operating state four between hours 1 to 3 and 11 to 24. This strategic operation, dictated by the network topology, maximizes the available generation capacity in these periods. Therefore, the piecewise modeling approach improves modeling accuracy and reduces costs associated with power generation.

5. Conclusions and Future Works

This study introduces an alternative approach to modeling the CCPP by analyzing three distinct fits of the cost curves. The findings highlight that, in this case, the costs favor the piecewise model over other alternatives. The piecewise model emerges as the most appropriate option based on the available data.
The modification introduced in the ODCPF formulation, employing binary variables, enables the selection of feasible states. Simultaneously, it allows for smooth transitions only between operational states under consideration. Moreover, a comparison of the evaluation of various cost curve adjustments to address the non-convex problem reveals that the proposed approach demonstrates a significant improvement in achieving minimum costs compared to conventional CCPP modeling.
A more complex advancement in model formulation could encompass the integration of transition constraints covering a broader set of operating states. Additionally, incorporating renewable energy producers in the model from sources such as solar or wind, influenced by climatic conditions, could provide valuable insights into the overall dynamics of the entire system.

Author Contributions

Conceptualization: O.L.H., M.B. and D.R.R.; Methodology: O.L.H., M.B. and D.R.R.; Software: O.L.H., M.B. and D.R.R.; Formal analysis: O.L.H., M.B. and D.R.R.; Investigation: O.L.H., M.B. and D.R.R.; Writing—original draft preparation: O.L.H., M.B. and D.R.R.; Writing—review and editing: M.B. and D.R.R.; Supervision: M.B. and D.R.R. All authors have read and agreed to the published version of the manuscript.

Funding

This research received no external funding.

Data Availability Statement

The data are available on request.

Acknowledgments

The authors acknowledge and thank the National Polytechnic Institute and the Graduate Studies and Research Section of ESIME ZACATENCO for their generous support and assistance in the development of this work.

Conflicts of Interest

The authors declare no conflicts of interest.

Nomenclature

Indices
rIndex for cost curve segments.
tIndex for simulation hours.
jIndex over the operational states.
iIndex for total number of buses.
kIndex for total number of buses.
hIndex of connected power plants.
Sets
TTotal number of simulation hours.
RTotal number of segments for cost curve.
H c t Set of buses where the CTPP operates.
H c c Set of buses where the CCPP operates.
JSet of operational states for the CCPP.
ISet of generation of each power plant.
Parameters
L m i n i j r c c The minimum limit of the CCPP segment.
L m a x i j r c c The maximum limit of the CCPP segment.
P m i n i j c c Minimum capacity of the CCPP for bus h, state j.
P m a x i j c c Maximum capacity of the CCPP for bus h, state j.
P m i n h c t Minimum capacity of the CTPP for bus h.
P m a x h c t Maximum capacity of the CTPP for bus h.
P base Base system power in [MVA].
P i j Fmax Maximum capacity of power flow in [MW].
χ i j Line reactance in [PU] between bus i and j.
[ B x ] Matrix of susceptances in [PU].
P load i T System demand, bus i in [MW].
Variables
P c c i GEN Generation power of the CCPP.
P c t i Gen Generation power of the CTPP.
P Gen Generation power considers both the CCPP and CTPP.
P g e n i j r c c Generation power by segment of the CCPP.
υ h , j c c Binary state variable for bus h in the CCPP.
υ h c t Binary state variable for bus h in the CTPP.
P c c i j Generation power of the CCPP for bus i, state j.
P c t h Generation power of the CTPP for bus h.
τ i Flow slack variable (origin-destination) for bus i.
θ i o Phase angle (origin) for bus i in [radians].
θ i d Phase angle (destination) for bus i in [radians].
θ k Vector of phase angles for bus k.
P gen h , j , r c c Active generation for bus h, state j, segment r in the CCPP.
P gen h , j , r t c Active generation for bus h, state j, segment r in the CTPP.
u i j r c c Binary assignment variable for the operation state in the CCPP.

References

  1. Gulen, S.C. Gas Turbine Combined Cycle Power Plants; CRC Press: Boca Raton, FL, USA, 2020. [Google Scholar]
  2. Secretaria de Energía (SENER). Programa de Desarrollo del Sistema Eléctrico Nacional. Available online: https://www.gob.mx/sener/articulos/programa-para-el-desarrollo-del-sistema-electrico-nacional-304042 (accessed on 22 May 2022).
  3. CIGRE. Modeling of Gas Turbines and Steam Turbines in Combined Cycle Power Plants. Task Force C4.02.25. International Conference on Large High Voltage Electric Systems, December 2003. Available online: https://cigreindia.org/CIGRE%20Lib/Tech.%20Brochure/238%20Modeling%20of%20gas%20turbines%20and%20steam%20turbines%20in%20combined%20cycle%20power%20plants.pdf (accessed on 6 November 2023).
  4. Wollenberg, B.F.; Wood, A.J.; Sheblé, G.B. Power Generation, Operation and Control, 3rd ed.; John Wiley & Sons: Hoboken, NJ, USA, 2013. [Google Scholar]
  5. Conejo, A.J.; Baringo, L. Power System Operations, 1st ed.; Springer International Publishing: Cham, Switzerland, 2018. [Google Scholar]
  6. Zhu, J. Optimization of Power System Operation, 2nd ed.; Wiley-IEEE Press: Hoboken, NJ, USA, 2015. [Google Scholar]
  7. Singh, N.; Chakrabarti, T.; Chakrabarti, P.; Panchenko, V.; Budnikov, D.; Yudaev, I.; Bolshev, V. Analysis of Heuristic Optimization Technique Solutions for Combined Heat-Power Economic Load Dispatch. Appl. Sci. 2023, 13, 10380. [Google Scholar] [CrossRef]
  8. Wu, X.; Xiong, H.; Li, S.; Gan, S.; Hou, C.; Ding, Z. Improved Light Robust Optimization Strategy for Virtual Power Plant Operations With Fluctuating Demand. IEEE Access 2023, 11, 53195–53204. [Google Scholar] [CrossRef]
  9. Dai, P.; Yu, W.; Wen, G.; Baldi, S. Distributed Reinforcement Learning Algorithm for Dynamic Economic Dispatch With Unknown Generation Cost Functions. IEEE Trans. Ind. Inform. 2020, 16, 2258–2269. [Google Scholar] [CrossRef]
  10. Safdarian, F.; Kargarian, A. Temporal Decomposition-Based Stochastic Economic Dispatch for Smart Grid Energy Management. IEEE Trans. Smart Grid 2020, 11, 4544–4554. [Google Scholar] [CrossRef]
  11. Lin, L.; Guan, X.; Peng, Y.; Wang, N.; Maharjan, S.; Ohtsuki, T. Deep Reinforcement Learning for Economic Dispatch of Virtual Power Plant in Internet of Energy. IEEE Internet Things J. 2020, 7, 6288–6301. [Google Scholar] [CrossRef]
  12. Omar, A.I.; Ali, Z.M.; Al-Gabalawy, M.; Abdel Aleem, S.H.E.; Al-Dhaifallah, M. Multi-Objective Environmental Economic Dispatch of an Electricity System Considering Integrated Natural Gas Units and Variable Renewable. Mathematics 2020, 8, 1100. [Google Scholar] [CrossRef]
  13. IEEE. Security Constrained Unit Commitment for Electricity Market: Modeling, Solution Methodology and Future Challenges; Technical Report PES-TR96; The Institute of Electrical and Electronics Engineers, Inc.: Piscataway, NJ, USA, 2022. [Google Scholar]
  14. Wu, L. A Tighter Piecewise Linear Approximation of Quadratic Cost Curves for Unit Commitment Problems. IEEE Trans. Power Syst. 2011, 26, 2581–2583. [Google Scholar] [CrossRef]
  15. Chang, G.W.; Chuang, G.S.; Lu, T.K. A simplified combined-cycle unit model for Mixed Integer Linear Programming-based unit commitment. In Proceedings of the 2008 IEEE Power and Energy Society General Meeting—Conversion and Delivery of Electrical Energy in the 21st Century, Pittsburgh, PA, USA, 20–24 July 2008; pp. 1–6. [Google Scholar] [CrossRef]
  16. Frangioni, A.; Gentile, C.; Lacalandra, F. Tighter Approximated MILP Formulations for Unit Commitment Problems. IEEE Trans. Power Syst. 2009, 24, 105–113. [Google Scholar] [CrossRef]
  17. Li, T.; Shahidehpour, M. Price-based unit commitment: A case of Lagrangian relaxation versus mixed integer programming. IEEE Trans. Power Syst. 2005, 20, 2015–2025. [Google Scholar] [CrossRef]
  18. Tamayo, M.; Yu, X.; Wang, X.; Zhang, J. Configuration based Combined Cycle model in market resource commitment. In Proceedings of the 2013 IEEE Power & Energy Society General Meeting, Vancouver, BC, Canada, 21–25 July 2013; pp. 1–5. [Google Scholar] [CrossRef]
  19. Fan, L.; Pan, K.; Guan, Y.; Chen, Y.; Wang, X. Strengthened MILP Formulation for Combined-Cycle Units. 2016. Available online: https://optimization-online.org/?p=14111 (accessed on 6 November 2023).
  20. Hui, H.; Yu, C.-N.; Gao, F.; Surendran, R. Combined cycle resource scheduling in ERCOT nodal market. In Proceedings of the 2011 IEEE Power and Energy Society General Meeting, Detroit, MI, USA, 24–28 July 2011; pp. 1–8. [Google Scholar] [CrossRef]
  21. Fan, L.; Guan, Y. An edge-based formulation for combined cycle units. In Proceedings of the 2016 IEEE Power and Energy Society General Meeting (PESGM), Boston, MA, USA, 17–21 July 2016; p. 1. [Google Scholar] [CrossRef]
  22. Dai, C.; Chen, Y.; Wang, F.; Wan, J.; Wu, L. A Configuration-Component-Based Hybrid Model for Combined-Cycle Units in MISO Day-Ahead Market. IEEE Trans. Power Syst. 2019, 34, 883–896. [Google Scholar] [CrossRef]
  23. Morales España, G.; Correa Posada, C.M.; Ramos, A. Tight and Compact MIP Formulation of Configuration-Based Combined-Cycle Units. IEEE Trans. Power Syst. 2016, 31, 1350–1359. [Google Scholar] [CrossRef]
  24. Anders, G.; Morched, A. Commitment Techniques for Combined-Cycle Units, CEATI, Research Rep. T053700-3103. December 2005. Available online: https://www.nyiso.com/documents/20142/1399986/3103_Commitment_Techniques_for_CCGUs.pdf/22aa3b14-8c53-5048-9aed-b133528dc703 (accessed on 5 June 2024).
  25. Liu, C.; Shahidehpour, M.; Li, Z.; Fotuhi-Firuzabad, M. Component and Mode Models for the Short-Term Scheduling of Combined-Cycle Units. IEEE Trans. Power Syst. 2009, 24, 976–990. [Google Scholar] [CrossRef]
  26. Lu, B.; Shahidehpour, M. Short-term scheduling of combined cycle units. IEEE Trans. Power Syst. 2004, 19, 1616–1625. [Google Scholar] [CrossRef]
  27. Kaur, P.; Chaturvedi, K.T.; Kolhe, M.L. Economic Dispatch of Combined Heat and Power Plant Units within Energy Network Integrated with Wind Power Plant. Processes 2023, 11, 1232. [Google Scholar] [CrossRef]
  28. Kaur, P.; Chaturvedi, K.T.; Kolhe, M.L. Combined Heat and Power Economic Dispatching within Energy Network using Hybrid Metaheuristic Technique. Energies 2023, 16, 1221. [Google Scholar] [CrossRef]
  29. Yao, K.; Wang, Y.; Li, Z.; Li, J.; Wan, J.; Cao, Y. Fault Detection and Isolation of Load Mutation Caused by Electrical Interference of Single-Shaft Combined Cycle Power Plant. Appl. Sci. 2022, 12, 11472. [Google Scholar] [CrossRef]
  30. Ryu, J.-Y.; Park, S.; Lee, C.; Hwang, S.; Lim, J. Techno-Economic Analysis of Hydrogen–Natural Gas Blended Fuels for 400 MW Combined Cycle Power Plants (CCPPs). Energies 2023, 16, 6822. [Google Scholar] [CrossRef]
  31. Gao, F.; Sheble, G.B. Stochastic Optimization Techniques for Economic Dispatch with Combined Cycle Units. In Proceedings of the 2006 International Conference on Probabilistic Methods Applied to Power Systems, Stockholm, Sweden, 11–15 June 2006; pp. 1–8. [Google Scholar] [CrossRef]
  32. Alemany, J.; Moitre, D.; Pinto, H.; Magnago, F. Short-Term Scheduling of Combined Cycle Units Using Mixed Integer Linear Programming Solution. Energy Power Eng. 2013, 5, 161–170. [Google Scholar] [CrossRef]
  33. Bayón, L.; García Nieto, P.J.; Grau, J.M.; Ruiz, M.M.; Suárez, P.M. An economic dispatch algorithm of combined cycle units. Int. J. Comput. Math. 2014, 91, 269–277. [Google Scholar] [CrossRef]
  34. González-Sierra, M.; Wogrin, S. Self-Unit Commitment of Combined-Cycle Units with Real Operational Constraints. Energies 2024, 17, 51. [Google Scholar] [CrossRef]
  35. Nazari, A.; Abdi, H. Solving the Combined Heat and Power Economic Dispatch Problem in Different Scale Systems Using the Imperialist Competitive Harris Hawks Optimization Algorithm. Biomimetics 2023, 8, 587. [Google Scholar] [CrossRef] [PubMed]
  36. Yi, Q.; Xiong, H.; Wang, D. Predicting Power Generation from a Combined Cycle Power Plant Using Transformer Encoders with DNN. Electronics 2023, 12, 2431. [Google Scholar] [CrossRef]
  37. Marzbani, F.; Abdelfatah, A. Economic Dispatch Optimization Strategies and Problem Formulation: A Comprehensive Review. Energies 2024, 17, 550. [Google Scholar] [CrossRef]
  38. Gao, F.; Sheble, G.B. Economic dispatch algorithms for thermal unit system involving combined cycle units. In Proceedings of the 15th Power Systems Computation Conference, Liege, Belgium, 22–26 August 2005; Volume 5, pp. 1–6. Available online: https://citeseerx.ist.psu.edu/document?repid=rep1&type=pdf&doi=dd8f79a9e6645b2a1148cdf6853486cd0805365a (accessed on 6 November 2023).
  39. Centro Nacional de Control de Energía (CENACE). Demanda Pronosticada del AUGC por Retiros. Available online: https://www.cenace.gob.mx/Paginas/SIM/Reportes/PronosticosDemanda.aspx (accessed on 6 November 2023).
Figure 1. Cost functions of State 3.
Figure 1. Cost functions of State 3.
Processes 12 01199 g001
Figure 2. Cost functions of State 4.
Figure 2. Cost functions of State 4.
Processes 12 01199 g002
Figure 3. Demand forecast for Case II [39].
Figure 3. Demand forecast for Case II [39].
Processes 12 01199 g003
Figure 4. Dispatch cost with quadratic model.
Figure 4. Dispatch cost with quadratic model.
Processes 12 01199 g004
Figure 5. Dispatch cost with quartic model.
Figure 5. Dispatch cost with quartic model.
Processes 12 01199 g005
Figure 6. Dispatch cost with piecewise model.
Figure 6. Dispatch cost with piecewise model.
Processes 12 01199 g006
Table 1. Data of state 1 and state 2.
Table 1. Data of state 1 and state 2.
State 1State 2
BTU/MWhMW$/hBTU/MWhMW$/h
18.2426915504135.7093818.24269151008271.418753
15.83333333604307.39515.833333331208614.79
12.77777778905214.21512.7777777818010,428.43
11.636363641105803.64811.6363636422011,607.296
11.053846151306515.501711.0538461526013,031.0034
11.38237041397173.6239811.382370427814,347.24797
11.13119811497520.0248311.131198129815,040.04966
10.441176471708048.027510.4411764734016,096.055
10.41808487.835210.436016,975.6704
10.27436881969130.6630510.274368839218,261.32611
10.282009322.109610.2840019,322.1096
Table 2. Data of State 3 and State 4.
Table 2. Data of State 3 and State 4.
State 3State 4
BTU/MWhMW$/hBTU/MWhMW$/h
10.730995854135.7093818.24269151708271.418753
10954307.39515.833333331908614.79
7.9310344831455214.21512.7777777829010,428.43
7.6190476191685803.64811.6363636433611,607.296
7.6031746031896515.501711.0538461537813,031.0034
7.9504999281997173.6239811.382370439814,347.24797
7.897850082107520.0248311.131198142015,040.04966
7.2448979592458048.027510.4411764749016,096.055
7.0641509432658487.835210.453016,975.6704
6.968084032899130.6630510.274368857818,261.32611
6.9694915252959322.109610.2859019,322.1096
Table 3. Description of generation buses.
Table 3. Description of generation buses.
Bus 1Bus 3Bus 4Bus 5Bus 6Bus 7
CCPPCCPPCTPPCCPPCTPPCCPP
Table 4. Fixed load on 8 bus system Case I.
Table 4. Fixed load on 8 bus system Case I.
Bus12345678
Load MW0.00953451250.002000.0025
Table 5. 8-bus network branch data.
Table 5. 8-bus network branch data.
LineReactanceLimits
From BusTo BusP.U.MW
120.0300210
140.030050
150.006535
230.0110210
340.030050
450.0300100
560.0200100
610.0250210
740.0150100
780.0220100
830.0180210
Table 6. Coefficients of the cost curves for the set of CTPPs.
Table 6. Coefficients of the cost curves for the set of CTPPs.
CTPPBus 4Bus 6
Polynomial
α 0.008950.00664
β 18.353830.4000
γ 181.2980197.0575
Table 7. Coefficients of the quartic cost curves of the CCPP.
Table 7. Coefficients of the quartic cost curves of the CCPP.
State34
Polynomial
K 0.0000100482334271980.0000016449
Ψ −0.008356847−0.0026
α 2.4808496071.5244
β −281.3459511−342.4958
γ 14,844.1000134,300
Table 8. Coefficients of the quadratic cost curves of the CCPP.
Table 8. Coefficients of the quadratic cost curves of the CCPP.
State34
Polynomial
α 0.0030406480.0062
β 24.1997387221.2266
γ 1936.8572614285.2
Table 9. Goodness of Fit.
Table 9. Goodness of Fit.
State 3State 4
SSERMSER-SquaredPolynomialSSERMSER-SquaredPolynomial
178,310172.39060.99471Quartic925,870392.82430.99347Quartic
429,490231.70390.98725Quadratic1,927,500490.85690.98641Quadratic
Table 14. Optimal combination with the polynomial forecasting approach Case II.
Table 14. Optimal combination with the polynomial forecasting approach Case II.
BusesHour
123456789101112
1333333333333
3333333333333
4111111111111
5333333333333
6000000000000
7333333333333
BusesHour
131415161718192021222324
1333333333333
3333333333333
4111111111111
5333333333333
6111111111111
7333333333333
Table 15. Optimal combination with the piecewise forecasting approach Case II.
Table 15. Optimal combination with the piecewise forecasting approach Case II.
BusesHour
123456789101112
1333333333333
3444333333344
4111111111111
5333333333334
6111111111111
7333333333333
BusesHour
131415161718192021222324
1333333333333
3444444444444
4111111111111
5444333333333
6111111111111
7333333333333
Disclaimer/Publisher’s Note: The statements, opinions and data contained in all publications are solely those of the individual author(s) and contributor(s) and not of MDPI and/or the editor(s). MDPI and/or the editor(s) disclaim responsibility for any injury to people or property resulting from any ideas, methods, instructions or products referred to in the content.

Share and Cite

MDPI and ACS Style

López Hernández, O.; Romero Romero, D.; Badaoui, M. Economic Dispatch of Combined Cycle Power Plant: A Mixed-Integer Programming Approach. Processes 2024, 12, 1199. https://doi.org/10.3390/pr12061199

AMA Style

López Hernández O, Romero Romero D, Badaoui M. Economic Dispatch of Combined Cycle Power Plant: A Mixed-Integer Programming Approach. Processes. 2024; 12(6):1199. https://doi.org/10.3390/pr12061199

Chicago/Turabian Style

López Hernández, Octavio, David Romero Romero, and Mohamed Badaoui. 2024. "Economic Dispatch of Combined Cycle Power Plant: A Mixed-Integer Programming Approach" Processes 12, no. 6: 1199. https://doi.org/10.3390/pr12061199

APA Style

López Hernández, O., Romero Romero, D., & Badaoui, M. (2024). Economic Dispatch of Combined Cycle Power Plant: A Mixed-Integer Programming Approach. Processes, 12(6), 1199. https://doi.org/10.3390/pr12061199

Note that from the first issue of 2016, this journal uses article numbers instead of page numbers. See further details here.

Article Metrics

Back to TopTop