Economic Dispatch with Demand Response in Smart Grid: Bargaining Model and Solutions
Abstract
:1. Introduction
- We formulate a wholesale price negotiation problem between the multiple utility companies and the generation company. Then, we prove that the wholesale price negotiation is a bargaining problem and the Raiffa–Kalai–Smorodinsky bargaining solution (RBS) was utilized to achieve the optimal solution.
- We establish a price regulation model with price feedback in the electricity retail markets based on the consumers’ utility maximization and the negotiated wholesale price.
- The iterative algorithm is used to search for the optimal retail price and the power consumption. Moreover, we prove that the power management system is input-to-state stability under additive electricity measurement disturbance and price disturbance.
2. Definition and Preliminaries
- Independence: ;
- Feasibility: ;
- Pareto Optimality: is Pareto optimal;
- Linear Axiom: For any linear transformation function ϕ, ;
- Symmetry: If T is invariant under all exchanges to consumers, then for all , ;
- Monotonicity: For any where , if and , then, , then, the bargaining solution can be expressed as:
3. System Model and Problem Formulation
4. Bargaining Model and Solution
5. Power Management System with Additive Disturbances
- ,
- ,
- , z is a positive constant,
- ,
- ,
- ,
- ,
- ,
- ,
- .
6. System Implementation
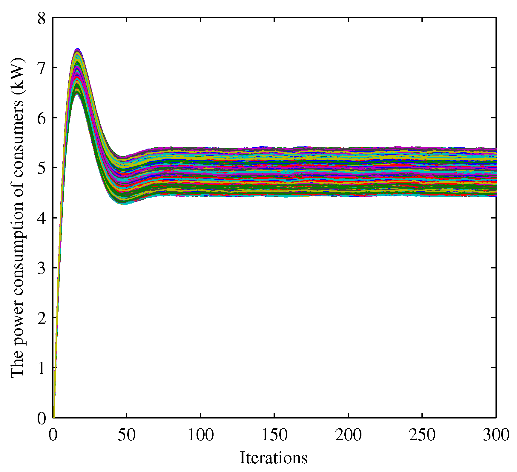
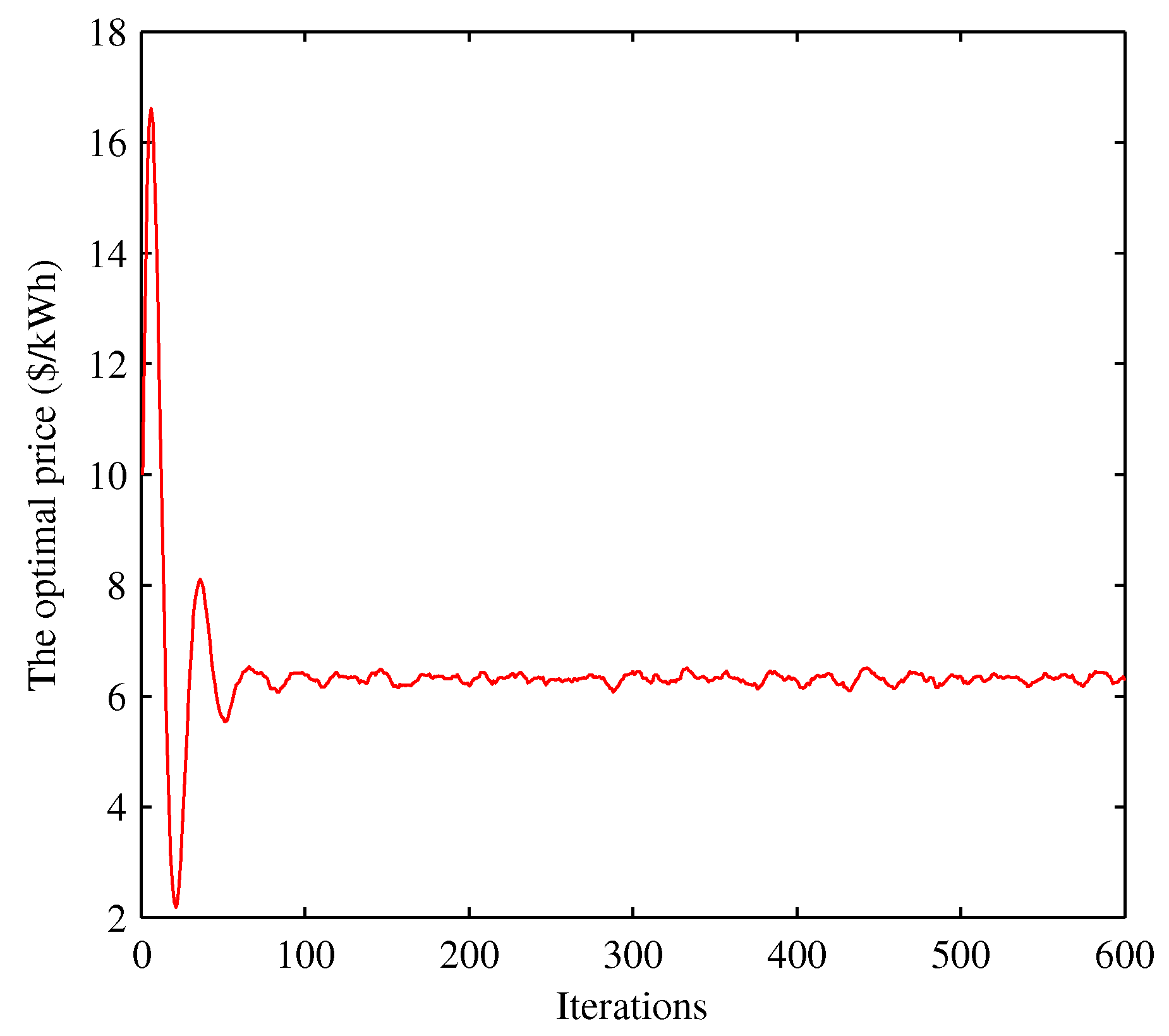
7. Numerical Results
8. Conclusions
Acknowledgments
Author Contributions
Conflicts of Interest
Nomenclature
| p | The retail price of utility company. |
| w | The wholesale price charged by the generation company to the utility company. |
| The maximum wholesale price. | |
| The minimum wholesale price. | |
| The cost of the generation. | |
| The power consumption of consumer i. | |
| The utility function of consumer i. | |
| Q | The total power supply of the utility companies. |
| The power supply of utility company j. | |
| K | The diagonal matrix composed of . |
| k, z | The control gains of system. |
| N | The number of the consumers. |
| M | The number of the utility companies. |
| The additive disturbance on the price. | |
| The additive disturbance on the total power consumption. | |
| The maximum disturbance in the disturbance set . | |
| The maximum value in . | |
| The positive coefficient. | |
| The minimum value in . | |
| The maximum value in . | |
| The positive coefficient. | |
| The positive constant. | |
| The estimated value of the power consumption. | |
| The estimated value of the price. | |
| The consumer’s willingness. | |
| a | The coefficient of consumer’s willingness. |
| The upper Dini derivative. | |
| The iterative step size of the power consumption. | |
| b | The iterative step size of the price. |
| The weighted coefficient. | |
| T | The set of feasible payoff. |
| Feasible payoffs in T. | |
| Feasible payoffs in T. | |
| , , | The wholesale price. |
| The optimal bargaining solution of player i. | |
| The minimum payoff player i. | |
| The maximum payoff player i. | |
| The Pareto optimum. | |
| The n-dimensional real number set. | |
| The linear transformation function. | |
| The player i’s utility function. | |
| RBS | Raiffa–Kalai–Smorodinsky bargaining solution. |
| DSM | Demand-side management. |
| UC | Utility company. |
| GC | Generation company. |
| PT | Pricing-taking. |
| PA | Price-anticipating. |
| TOU | Time of use. |
| CPP | Critical peak pricing. |
| RTP | Real-time pricing. |
| NERC | North American Electric Reliability Council. |
| SECs | Small-scale electricity suppliers. |
| EUs | End users. |
| PEVs | Plug-in electric vehicles. |
| NIDC | Novel intelligent damping controller. |
| STATCOM | Static synchronous compensator. |
References
- Hernández, L.; Uribe-Pérez, N.; Vega, D.D.L.; Angulo, I. State of the Art and Trends Review of Smart Metering in Electricity Grids. Appl. Sci. 2016, 6, 68. [Google Scholar]
- Hernández, L.; Baladron, C.; Aguiar, J.M.; Carro, B.; Sanchez-Esguevillas, A.J.; Lloret, J.; Massana, J. A Survey on Electric Power Demand Forecasting: Future Trends in Smart Grids, Microgrids and Smart Buildings. IEEE Commun. Surv. Tutor. 2014, 16, 1460–1495. [Google Scholar] [CrossRef]
- Maharjan, S.; Zhu, Q.; Zhang, Y.; Gjessing, S. Dependable Demand Response Management in the Smart Grid: A Stackelberg Game Approach. IEEE Trans. Smart Grid 2013, 4, 120–132. [Google Scholar] [CrossRef]
- Jung, S.; Kim, D. Pareto-Efficient Capacity Planning for Residential Photovoltaic Generation and Energy Storage with Demand-Side Load Management. Energies 2017, 10, 426. [Google Scholar] [CrossRef]
- Liu, R.S. An Algorithmic Game Approach for Demand Side Management in Smart Grid with Distributed Renewable Power Generation and Storage. Energies 2016, 9, 654. [Google Scholar] [CrossRef]
- Samadi, P.; Mohsenian-Rad, H.; Schober, R.; Wong, V.W.S. Advanced Demand Side Management for the Future Smart Grid Using Mechanism Design. IEEE Trans. Smart Grid 2012, 3, 1170–1180. [Google Scholar] [CrossRef]
- Palensky, P.; Dietrich, D. Demand side management: Demand response, intelligent energy systems, and smart loads. IEEE Trans. Ind. Inf. 2011, 7, 381–388. [Google Scholar] [CrossRef]
- Amini, M.H.; Nabi, B.; Haghifam, M.R. Load management using multi-agent systems in smart distribution network. In Proceedings of the Power and Energy Society General Meeting, Vancouver, BC, Canada, 21–25 July 2013; pp. 1–5. [Google Scholar]
- Yang, J.; Zhang, G.; Ma, K. A nonlinear control method for price-based demand response program in smart grid. Int. J. Electr. Power Energy Syst. 2016, 74, 322–328. [Google Scholar] [CrossRef]
- Gatsis, N.; Giannakis, G.B. Residential load control: Distributed scheduling and convergence with lost AMI messages. IEEE Trans. Smart Grid 2012, 3, 770–786. [Google Scholar] [CrossRef]
- Mohsenian-Rad, A.H.; Wong, V.W.S.; Jatskevich, J.; Schober, R.; Leon-Garcia, A. Autonomous Demand-Side Management Based on Game-Theoretic Energy Consumption Scheduling for the Future Smart Grid. IEEE Trans. Smart Grid 2010, 1, 320–331. [Google Scholar] [CrossRef]
- Deng, R.; Yang, Z.; Chen, J.; Asr, N.; Chow, M.Y. Residential Energy Consumption Scheduling: A Coupled-Constraint Game Approach. IEEE Trans. Smart Grid 2014, 5, 1340–1350. [Google Scholar] [CrossRef]
- Cao, W.; Yang, B.; Chen, C.; Guan, X. PHEV Charging Strategy With Asymmetric Information Based On Contract Design. IFAC Proc. Vol. 2013, 46, 520–525. [Google Scholar] [CrossRef]
- Albadi, M.H.; El-Saadany, E.F. A summary of demand response in electricity markets. Electr. Power Syst. Res. 2008, 78, 1989–1996. [Google Scholar] [CrossRef]
- Jeong, M.G.; Moon, S.I.; Hwang, P.I. Indirect Load Control for Energy Storage Systems Using Incentive Pricing under Time-of-Use Tariff. Energies 2016, 9, 558. [Google Scholar] [CrossRef]
- Park, S.C.; Jin, Y.G.; Yong, T.Y. Designing a Profit-Maximizing Critical Peak Pricing Scheme Considering the Payback Phenomenon. Energies 2015, 8, 11363–11379. [Google Scholar] [CrossRef]
- Chown, G.A.; Coetzee, M.G. Implementation of regulation as an ancillary service in Eskom and the use of Eskom internal web for this service. IEEE Trans. Power Syst. 2000, 15, 1132–1136. [Google Scholar] [CrossRef]
- Lee, W.; Xiang, L.; Schober, R.; Wong, V.W.S. Direct Electricity Trading in Smart Grid: A Coalitional Game Analysis. IEEE J. Sel. Areas Commun. 2014, 32, 1398–1411. [Google Scholar] [CrossRef]
- Ni, J.; Ai, Q. Economic power transaction using coalitional game strategy in micro-grids. IET Gener. Transm. Distrib. 2016, 10, 10–18. [Google Scholar] [CrossRef]
- Fan, W.; Liu, N.; Zhang, J.; Lei, J. Online Air-Conditioning Energy Management under Coalitional Game Framework in Smart Community. Energies 2016, 9, 689. [Google Scholar] [CrossRef]
- Ma, K.; Hu, G.; Spanos, C.J. A Cooperative Demand Response Scheme Using Punishment Mechanism and Application to Industrial Refrigerated Warehouses. IEEE Trans. Ind. Inf. 2015, 11, 1520–1531. [Google Scholar] [CrossRef]
- Ye, M.; Hu, G. Solving Potential Games With Dynamical Constraint. IEEE Trans. Cybern. 2016, 46, 1156–1164. [Google Scholar] [CrossRef] [PubMed]
- Tushar, W.; Saad, W.; Poor, H.V.; Smith, D.B. Economics of Electric Vehicle Charging: A Game Theoretic Approach. IEEE Trans. Smart Grid 2012, 3, 1767–1778. [Google Scholar] [CrossRef]
- Chen, L.; Li, N.; Jiang, L.; Low, S.H. Optimal demand response: Problem formulation and deterministic case. In Control and Optimization Methods for Electric Smart Grids; Springer: New York, NY, USA, 2012; pp. 63–85. [Google Scholar]
- Bu, S.; Yu, F.R. A Game-Theoretical Scheme in the Smart Grid With Demand-Side Management: Towards a Smart Cyber-Physical Power Infrastructure. IEEE Trans. Emerg. Top. Comput. 2013, 1, 22–32. [Google Scholar] [CrossRef]
- Ma, K.; Hu, G.; Spanos, J.C. Distributed energy consumption control via real-time pricing feedback in smart grid. IEEE Trans. Control Syst. Technol. 2014, 22, 1907–1914. [Google Scholar]
- Ye, M.; Hu, G. Game Design and Analysis for Price-Based Demand Response: An Aggregate Game Approach. IEEE Trans. Cybern. 2017, 47, 720–730. [Google Scholar] [CrossRef] [PubMed]
- Samadi, P.; Mohsenian-Rad, A.; Schober, R.; Wong, V.W.; Jatskevich, J. Optimal real-time pricing algorithm based on utility maximization for smart grid. In Proceedings of the 1st IEEE International Conference on Smart Grid Communications, Gaithersburg, MD, USA, 4–6 October 2010; pp. 415–420. [Google Scholar]
- Li, N.; Chen, L.; Low, S.H. Optimal demand response based on utility maximization in power networks. In Proceedings of the 2011 IEEE Power and Energy Society General Meeting, Detroit, MI, USA, 24–28 July 2011; pp. 1–8. [Google Scholar]
- Voronin, S.; Partanen, J. Price Forecasting in the Day-Ahead Energy Market by an Iterative Method with Separate Normal Price and Price Spike Frameworks. Energies 2013, 6, 5897–5920. [Google Scholar] [CrossRef]
- Fan, Z. A Distributed Demand Response Algorithm and Its Application to PHEV Charging in Smart Grids. IEEE Trans. Smart Grid 2012, 3, 1280–1290. [Google Scholar] [CrossRef]
- Yang, J.; Zhang, G.; Ma, K. Matching supply with demand: A power control and real time pricing approach. Int. J. Electr. Power Energy Syst. 2014, 61, 111–117. [Google Scholar] [CrossRef]
- Yu, N.; Tesfatsion, L.; Liu, C.C. Financial Bilateral Contract Negotiation in Wholesale Electricity Markets Using Nash Bargaining Theory. IEEE Trans. Power Syst. 2012, 27, 251–267. [Google Scholar] [CrossRef]
- Guo, Y.; Li, H.; Pan, M. Colocation Data Center Demand Response using Nash Bargaining Theory. IEEE Trans. Smart Grid 2017, PP, 1–10. [Google Scholar] [CrossRef]
- Wang, H.; Huang, J. Cooperative Planning of Renewable Generations for Interconnected Microgrids. IEEE Trans. Smart Grid 2016, 7, 2486–2496. [Google Scholar] [CrossRef]
- Boroojeni, K.G.; Amini, M.H.; Iyengar, S.S.; Rahmani, M.; Pardalos, P.M. An economic dispatch algorithm for congestion management of smart power networks. Energy Syst. 2016, 8, 643–667. [Google Scholar] [CrossRef]
- Ou, T.C. A novel unsymmetrical faults analysis for microgrid distribution systems. Int. J. Electr. Power Energy Syst. 2012, 43, 1017–1024. [Google Scholar] [CrossRef]
- Ou, T.C.; Hong, C.M. Dynamic operation and control of microgrid hybrid power systems. Energy 2014, 66, 314–323. [Google Scholar] [CrossRef]
- Ou, T.C.; Lu, K.H.; Huang, C.J. Improvement of Transient Stability in a Hybrid Power Multi-System Using a Designed NIDC (Novel Intelligent Damping Controller). Energies 2017, 10, 488. [Google Scholar] [CrossRef]
- Ou, T.C.; Su, W.F.; Liu, X.Z.; Huang, S.J.; Tai, T.Y. A Modified Bird-Mating Optimization with Hill-Climbing for Connection Decisions of Transformers. Energies 2016, 9, 671. [Google Scholar] [CrossRef]
- Nash, J.F., Jr. The Bargaining Problem. Econometrica 1950, 18, 155–162. [Google Scholar] [CrossRef]
- Aruoba, S.B.; Rocheteau, G.; Waller, C. Bargaining and the value of money. J. Monet. Econ. 2005, 54, 2636–2655. [Google Scholar] [CrossRef]
- Ma, Z.; Callaway, D.S.; Hiskens, I.A. Decentralized charging control of large populations of plug-in electric vehicles. IEEE Trans. Control Syst. Technol. 2013, 21, 67–78. [Google Scholar] [CrossRef]












| Indexes | Pricing Function | Disturbances | Stability | Demand Response |
|---|---|---|---|---|
| [38] | × | √ | √ | × |
| [39] | × | √ | √ | × |
| [40] | × | √ | √ | × |
| This work | √ | √ | √ | √ |
| a | b | ||||
|---|---|---|---|---|---|
| 28 | 22 | 25 | 3.2 | 0.3 | 0.05 |
| Disturbances | Case I | Case II | Case III |
|---|---|---|---|
| (0.1 0.05) | (0.2 0.1) | (0.1 0.05) | |
| (0.1 0.01) | (0.1 0.01) | (0.1 0.1) |
| Indexes | Case I | Case II | Case III |
|---|---|---|---|
| The power consumption of first consumer (kW) | 5.90 | 5.91 | 5.89 |
| The power consumption of second consumer (kW) | 4.03 | 4.03 | 4.02 |
| The power consumption of third consumer (kW) | 4.97 | 4.96 | 4.95 |
| Retail price ($/kWh) | 6.19 | 6.32 | 6.28 |
| Computation time | Case I | Case II | Case III |
|---|---|---|---|
| The computation time of power consumption (s) | 0.0271 | 0.0343 | 0.0369 |
| The computation time of retail price (s) | 0.0275 | 0.0371 | 0.0384 |
© 2017 by the authors. Licensee MDPI, Basel, Switzerland. This article is an open access article distributed under the terms and conditions of the Creative Commons Attribution (CC BY) license (http://creativecommons.org/licenses/by/4.0/).
Share and Cite
Ma, K.; Wang, C.; Yang, J.; Yang, Q.; Yuan, Y. Economic Dispatch with Demand Response in Smart Grid: Bargaining Model and Solutions. Energies 2017, 10, 1193. https://doi.org/10.3390/en10081193
Ma K, Wang C, Yang J, Yang Q, Yuan Y. Economic Dispatch with Demand Response in Smart Grid: Bargaining Model and Solutions. Energies. 2017; 10(8):1193. https://doi.org/10.3390/en10081193
Chicago/Turabian StyleMa, Kai, Congshan Wang, Jie Yang, Qiuxia Yang, and Yazhou Yuan. 2017. "Economic Dispatch with Demand Response in Smart Grid: Bargaining Model and Solutions" Energies 10, no. 8: 1193. https://doi.org/10.3390/en10081193
APA StyleMa, K., Wang, C., Yang, J., Yang, Q., & Yuan, Y. (2017). Economic Dispatch with Demand Response in Smart Grid: Bargaining Model and Solutions. Energies, 10(8), 1193. https://doi.org/10.3390/en10081193

