You are currently on the new version of our website. Access the old version .

76 Results Found

  • Article
  • Open Access
5 Citations
4,681 Views
17 Pages

9 February 2018

Arctic sea ice extent has continued to decline in recent years, and the fractional coverage of multi-year sea ice has decreased significantly during this period. The Beaufort Sea region has been the site of much of the loss of multi-year sea ice, and...

  • Article
  • Open Access
703 Views
21 Pages

25 September 2025

The Beaufort Sea has experienced significant sea ice retreat in recent decades, driven by both thermodynamic and dynamic processes. This study investigates the drivers and predictability of summer sea ice retreat in the Beaufort Sea by integrating an...

  • Article
  • Open Access
1 Citations
1,441 Views
22 Pages

Influences of Global Warming and Upwelling on the Acidification in the Beaufort Sea

  • Meibing Jin,
  • Zijie Chen,
  • Xia Lin,
  • Chenglong Li and
  • Di Qi

28 February 2025

Over the past three decades, increasing atmospheric CO2 (AtmCO2) has led to climate warming, sea ice reduction and ocean acidification in the Beaufort Sea (BS). Additionally, the effects of upwelling on the carbon cycle and acidification in the BS ar...

  • Article
  • Open Access
9 Citations
5,233 Views
21 Pages

Spatial Variation in Sediment Organic Carbon Distribution across the Alaskan Beaufort Sea Shelf

  • Richard B. Coffin,
  • Joseph P. Smith,
  • Brandon Yoza,
  • Thomas J. Boyd and
  • Michael T. Montgomery

25 August 2017

In September 2009, a series of sediment cores were collected across the Alaskan Beaufort Sea shelf-slope. Sediment and porewater organic carbon (OC) concentrations and stable carbon isotope ratios (δ13C) were measured to investigate spatial variation...

  • Article
  • Open Access
4 Citations
2,107 Views
21 Pages

Sea ice affects the Earth’s energy balance and ocean circulation and is crucial to the global climate system. However, research on the decadal variations in the mean sea-level pressure patterns in recent winters (2001–2020) and the charac...

  • Letter
  • Open Access
2 Citations
3,987 Views
15 Pages

Evolution of Backscattering Coefficients of Drifting Multi-Year Sea Ice during End of Melting and Onset of Freeze-up in the Western Beaufort Sea

  • Seung Hee Kim,
  • Hyun-Cheol Kim,
  • Chang-Uk Hyun,
  • Sungjae Lee,
  • Jung-Seok Ha,
  • Joo-Hong Kim,
  • Young-Joo Kwon,
  • Jeong-Won Park,
  • Hyangsun Han and
  • Duk-jin Kim
  • + 1 author

27 April 2020

Backscattering coefficients of Sentinel-1 synthetic aperture radar (SAR) data of drifting multi-year sea ice in the western Beaufort Sea during the transition period between the end of melting and onset of freeze-up are analyzed, in terms of the inci...

  • Article
  • Open Access
3 Citations
2,801 Views
11 Pages

25 October 2021

The planetary boundary layer height (PBLH) is a diagnostic field related to the effective heat capacity of the lower atmosphere, both stable and convective, and it constrains motion in this layer as well as impacts surface warming. Here, we used radi...

  • Article
  • Open Access
92 Citations
15,516 Views
16 Pages

29 April 2014

Leads with a length on the order of 1000 km occurred in the Beaufort Sea in February 2013. These leads can be observed in Moderate Resolution Imaging Spectroradiometer (MODIS) images under predominantly clear sky conditions. Sea ice concentrations (S...

  • Article
  • Open Access
137 Views
20 Pages

13 January 2026

Interannual climate changes and increasing atmospheric CO2 (AtmCO2) have significantly altered sea surface partial pressure of CO2 (pCO2) in the Beaufort Sea (BS). Yet, their decadal variability and underlying mechanisms remain inadequately understoo...

  • Technical Note
  • Open Access
9 Citations
3,389 Views
13 Pages

14 September 2021

We analyzed a variety of satellite-based ocean color products derived using MODIS-Aqua to investigate the most accurate empirical and semi-analytical algorithms for representing in-situ chromophoric dissolved organic matter (CDOM) across a large lati...

  • Article
  • Open Access
9 Citations
4,725 Views
16 Pages

Observing Wind-Forced Flexural-Gravity Waves in the Beaufort Sea and Their Relationship to Sea Ice Mechanics

  • Mark A. Johnson,
  • Aleksey V. Marchenko,
  • Dyre O. Dammann and
  • Andrew R. Mahoney

We developed and deployed two inertial measurement units on mobile pack ice during a U.S. Navy drifting ice campaign in the Beaufort Sea. The ice camp was more than 1000 km from the nearest open water. The sensors were stationed on thick (>1 m) fi...

  • Article
  • Open Access
8 Citations
3,029 Views
22 Pages

The Arctic Ocean is one of the least well-studied marine microbial ecosystems. Its low-temperature and low-salinity conditions are expected to result in distinct bacterial communities, in comparison to lower latitude oceans. However, this is an ocean...

  • Article
  • Open Access
8 Citations
4,660 Views
15 Pages

31 March 2022

Significant changes in the Arctic climate, particularly a rapid decline of September Arctic sea ice has occurred over the past few decades. Though the exact reason for such drastic changes is still unknown, studies suggest anthropogenic drivers, natu...

  • Article
  • Open Access
2 Citations
1,677 Views
22 Pages

29 April 2024

Sea ice, as an important component of the Earth’s ecosystem, has a profound impact on global climate and human activities due to its thickness. Therefore, the inversion of sea ice thickness has important research significance. Due to environmen...

  • Feature Paper
  • Article
  • Open Access
21 Citations
7,405 Views
20 Pages

Arctic Sea Level Budget Assessment during the GRACE/Argo Time Period

  • Roshin P. Raj,
  • Ole B. Andersen,
  • Johnny A. Johannessen,
  • Benjamin D. Gutknecht,
  • Sourav Chatterjee,
  • Stine K. Rose,
  • Antonio Bonaduce,
  • Martin Horwath,
  • Heidi Ranndal and
  • Jérôme Benveniste
  • + 8 authors

1 September 2020

Sea level change is an important indicator of climate change. Our study focuses on the sea level budget assessment of the Arctic Ocean using: (1) the newly reprocessed satellite altimeter data with major changes in the processing techniques; (2) ocea...

  • Article
  • Open Access
3 Citations
2,054 Views
19 Pages

29 October 2022

Sea ice is an important marine phenomenon in the Arctic region, and it is of great importance to study the motion of Arctic sea ice in the present day when its melting is accelerated by global warming. This study proposes a method to retrieve the mot...

  • Article
  • Open Access
4 Citations
2,358 Views
22 Pages

An Automatic Deep Learning Bowhead Whale Whistle Recognizing Method Based on Adaptive SWT: Applying to the Beaufort Sea

  • Rui Feng,
  • Jian Xu,
  • Kangkang Jin,
  • Luochuan Xu,
  • Yi Liu,
  • Dan Chen and
  • Linglong Chen

13 November 2023

The bowhead whale is a vital component of the maritime environment. Using deep learning techniques to recognize bowhead whales accurately and efficiently is crucial for their protection. Marine acoustic remote sensing technology is currently an impor...

  • Article
  • Open Access
14 Citations
5,278 Views
22 Pages

Intercomparison of Salinity Products in the Beaufort Gyre and Arctic Ocean

  • Sarah B. Hall,
  • Bulusu Subrahmanyam and
  • James H. Morison

24 December 2021

Salinity is the primary determinant of the Arctic Ocean’s density structure. Freshwater accumulation and distribution in the Arctic Ocean have varied significantly in recent decades and certainly in the Beaufort Gyre (BG). In this study, we ana...

  • Article
  • Open Access
6 Citations
7,724 Views
37 Pages

Geostatistical and Statistical Classification of Sea-Ice Properties and Provinces from SAR Data

  • Ute C. Herzfeld,
  • Scott Williams,
  • John Heinrichs,
  • James Maslanik and
  • Steven Sucht

26 July 2016

Recent drastic reductions in the Arctic sea-ice cover have raised an interest in understanding the role of sea ice in the global system as well as pointed out a need to understand the physical processes that lead to such changes. Satellite remote-sen...

  • Article
  • Open Access
4 Citations
3,851 Views
25 Pages

25 July 2023

Freshwater content (FWC), generally characterized in the Arctic Ocean by salinities lower than 34.8 psu, has shifted in both quantity and distribution in recent decades in the Arctic Ocean. This has been largely driven by changes in the volume and sa...

  • Article
  • Open Access
3 Citations
3,483 Views
18 Pages

Arctic Nearshore Sediment Dynamics—An Example from Herschel Island—Qikiqtaruk, Canada

  • Boris Radosavljevic,
  • Hugues Lantuit,
  • Christian Knoblauch,
  • Nicole Couture,
  • Ulrike Herzschuh and
  • Michael Fritz

27 October 2022

Increasing arctic coastal erosion rates imply a greater release of sediments and organic matter into the coastal zone. With 213 sediment samples taken around Herschel Island—Qikiqtaruk, Canadian Beaufort Sea, we aimed to gain new insights on se...

  • Technical Note
  • Open Access
1,050 Views
15 Pages

6 August 2025

Wildland fires are a common and destructive natural disaster in Alaska. Recent active fires in Alaska were assessed and analysed for their associated synoptic-scale climatic conditions in this study. Hotspot (HS) data from satellite observations over...

  • Article
  • Open Access
5 Citations
1,775 Views
15 Pages

30 November 2023

Growing interest in finding the optimal route through the arctic ocean, and sea ice concentration is also emerging as a factor to be considered. In this paper, an algorithm to calculate the sea ice concentration was developed based on the images take...

  • Article
  • Open Access
3 Citations
2,128 Views
15 Pages

26 December 2022

Polar lows (PLs) are intense mesoscale weather systems that often cause severe storm winds in the Nordic Seas but were considered as being exceedingly rare in the Pacific Arctic region before sea ice decline. Here, we explore four PLs observed on 18&...

  • Article
  • Open Access
6 Citations
7,298 Views
9 Pages

Crossroads of Continents and Modern Boundaries: An Introduction to Inuit and Chukchi Experiences in the Bering Strait, Beaufort Sea, and Baffin Bay

  • Henry P. Huntington,
  • Richard Binder Sr.,
  • Robert Comeau,
  • Lene Kielsen Holm,
  • Vera Metcalf,
  • Toku Oshima,
  • Carla SimsKayotuk and
  • Eduard Zdor

24 June 2020

The homeland of Inuit extends from Asia and the Bering Sea to Greenland and the Atlantic Ocean. Inuit and their Chukchi neighbors have always been highly mobile, but the imposition of three international borders in the region constrained travel, trad...

  • Feature Paper
  • Review
  • Open Access
1 Citations
4,926 Views
26 Pages

A Multifaceted Approach to Advance Oil Spill Modeling and Physical Oceanographic Research at the United States Bureau of Ocean Energy Management

  • Zhen Li,
  • Caryn Smith,
  • Christopher DuFore,
  • Susan F. Zaleski,
  • Guillermo Auad,
  • Walter Johnson,
  • Zhen-Gang Ji and
  • S. E. O’Reilly

The Environmental Studies Program (ESP) at the United States Bureau of Ocean Energy Management (BOEM) is funded by the United States Congress to support BOEM’s mission, which is to use the best available science to responsibly manage the development...

  • Article
  • Open Access
4 Citations
4,028 Views
17 Pages

23 December 2021

Acoustic Doppler current profilers (ADCP) are quasi-remote sensing instruments widely used in oceanography to measure velocity profiles continuously. One of the applications is the quantification of land–ocean exchange, which plays a key role i...

  • Article
  • Open Access
21 Citations
4,309 Views
14 Pages

5 September 2022

One of the most striking manifestations of ongoing climate change is a rapid shrinking of the Arctic sea ice area (SIA). An important feature of the observed SIA loss is a nonlinear rate of a decline with an accelerated decrease in the 2000–201...

  • Article
  • Open Access
2 Citations
2,897 Views
20 Pages

Detritus from Ice and Plankton Algae as an Important Food Source for Macroinfaunal Communities in the Canadian Arctic

  • Gonzalo Bravo,
  • Philippe Archambault,
  • Ursula Witte,
  • Anni Mäkelä,
  • Georgios Kazanidis,
  • Javier E. Ciancio,
  • Solveig Bourgeois and
  • Christian Nozais

1 October 2024

Most deep-sea organisms feed on the organic matter produced in surface waters and settle on the seafloor. In polar regions, sea ice algal detritus and phytoplankton detritus are the main food sources for benthic fauna that reach the seafloor in pulse...

  • Technical Note
  • Open Access
4 Citations
2,333 Views
14 Pages

Seasonal Coastal Erosion Rates Calculated from PlanetScope Imagery in Arctic Alaska

  • Galen Cassidy,
  • Matthew Wiseman,
  • Kennedy Lange,
  • Claire Eilers and
  • Alice Bradley

28 June 2024

Erosion along the coastline of the Alaskan Arctic poses an existential threat to several communities. Rising air temperatures have been implicated in accelerating erosion rates through permafrost thaw, decreasing sea ice cover (increasing ocean fetch...

  • Article
  • Open Access
1 Citations
973 Views
14 Pages

Research on Operational Risk for Northwest Passage Cruise Ships Using POLARIS

  • Long Ma,
  • Jiemin Fan,
  • Xiaoguang Mou,
  • Sihan Qian,
  • Jin Xu,
  • Liang Cao,
  • Bo Xu,
  • Boxi Yao,
  • Xiaowen Li and
  • Yabin Li

In the context of global warming, polar tourism is developing rapidly, and the demand for polar cruise travel in the Northwest Passage continues to increase, while sea ice has long been a key factor limiting the development of polar cruise tourism. T...

  • Article
  • Open Access
2 Citations
2,531 Views
16 Pages

Enhancing Sea Ice Inertial Oscillations in the Arctic Ocean between 1979 and 2019

  • Danqi Yuan,
  • Zhanjiu Hao,
  • Jia You,
  • Peiwen Zhang,
  • Baoshu Yin,
  • Qun Li and
  • Zhenhua Xu

30 December 2022

As the Arctic Ocean continues to warm, both the extent and thickness of sea ice have dramatically decreased over the past few decades. These changes in ice have an impact on sea ice motion, including sea ice inertial oscillations (SIIO). However, the...

  • Technical Note
  • Open Access
9 Citations
4,207 Views
16 Pages

22 September 2020

One of the key sources of uncertainties in sea ice freeboard and thickness estimates derived from satellite radar altimetry results from changes in sea ice surface properties. In this study, we analyse this effect, comparing upward-looking sonar (ULS...

  • Article
  • Open Access
7 Citations
4,883 Views
19 Pages

Ground-Based Radar Interferometry of Sea Ice

  • Dyre Oliver Dammann,
  • Mark A. Johnson,
  • Emily R. Fedders,
  • Andrew R. Mahoney,
  • Charles L. Werner,
  • Christopher M. Polashenski,
  • Franz J. Meyer and
  • Jennifer K. Hutchings

24 December 2020

In light of recent Arctic change, there is a need to better understand sea ice dynamic processes at the floe scale to evaluate sea ice stability, deformation, and fracturing. This work investigates the use of the Gamma portable radar interferometer (...

  • Article
  • Open Access
501 Views
15 Pages

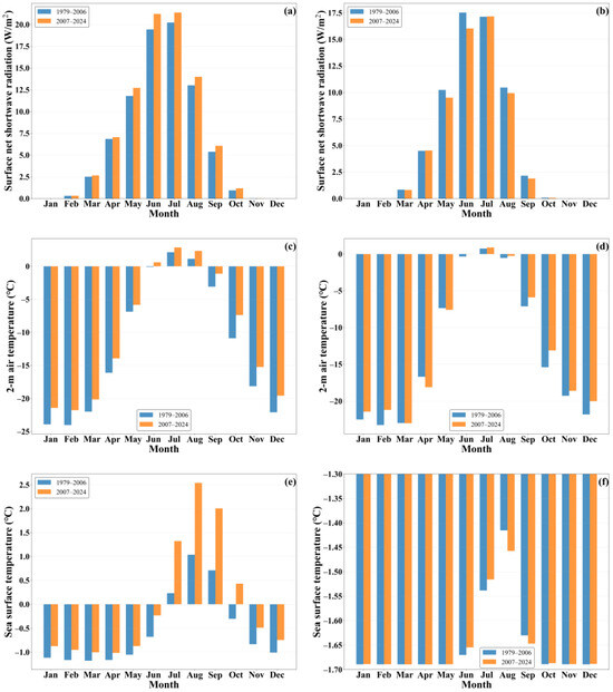
Mean-State Arctic Sea Ice Transitions During 1979–2024 and the Underlying Physical Processes

  • Xia Lin,
  • Yingrui Zhu,
  • Weijia Li,
  • Meibing Jin,
  • Jingyi Huang,
  • Xiuhao Guo,
  • Xiaochun Wang,
  • Jianfen Wei,
  • Zhitong Lai and
  • Changming Dong

28 November 2025

Amplified Arctic warming has led to a pervasive decline in sea ice cover over recent decades; yet, the pattern and governing mechanisms of sea ice concentration (SIC) state transitions remain unclear. This study reveals pronounced regional contrasts...

  • Article
  • Open Access
3 Citations
2,201 Views
21 Pages

Modes of Weather System-Induced Flows through an Arctic Lagoon

  • Chunyan Li,
  • Wei Huang,
  • Changsheng Chen,
  • Kevin M. Boswell and
  • Renhao Wu

With the increasing warming of the Arctic, the summertime ice-free period in the coastal Arctic becomes longer and the water exchange between arctic lagoons and coastal Beaufort Sea becomes more important for land–ocean interaction. This study...

  • Feature Paper
  • Article
  • Open Access
11 Citations
4,503 Views
21 Pages

An Analysis of Arctic Sea Ice Leads Retrieved from AMSR-E/AMSR2

  • Ming Li,
  • Jiping Liu,
  • Meng Qu,
  • Zhanhai Zhang and
  • Xi Liang

16 February 2022

In this study, we retrieve an Arctic sea ice lead fraction from AMSR2 passive microwave data in winter from 2012 to 2020 based on an algorithm developed for AMSR-E data. The derived AMSR2 sea ice lead fraction is validated against MODIS images. The r...

  • Article
  • Open Access
11 Citations
3,519 Views
19 Pages

Intercomparisons and Evaluations of Satellite-Derived Arctic Sea Ice Thickness Products

  • Feifan Chen,
  • Deshuai Wang,
  • Yu Zhang,
  • Yi Zhou and
  • Changsheng Chen

29 January 2024

Currently, Arctic sea ice thickness (SIT) data with extensive spatiotemporal coverage primarily comes from satellite observations, including CryoSat-2, Soil Moisture and Ocean Salinity (SMOS), and the Ice, Cloud, and Land Elevation Satellite-2 (ICESa...

  • Article
  • Open Access
88 Citations
10,939 Views
15 Pages

22 December 2015

The presence of sea-ice leads represents a key feature of the Arctic sea ice cover. Leads promote the flux of sensible and latent heat from the ocean to the cold winter atmosphere and are thereby crucial for air-sea-ice-ocean interactions. We here ap...

  • Article
  • Open Access
12 Citations
4,492 Views
17 Pages

6 November 2019

Radar altimetry in the context of sea ice has mostly been exploited to retrieve basin-scale information about sea ice thickness. In this paper, we investigate the sensitivity of altimetric waveforms to small-scale changes (a few hundred meters to abo...

  • Article
  • Open Access
2,897 Views
26 Pages

A Small Floating Platform Designed for Unmanned Defense System

  • Zonglai Mo,
  • Kefeng Xie,
  • Fengcheng Zhao,
  • Jun Li and
  • Yanjun Li

A small floating platform designed for an unmanned short-range defense system is proposed. The structures of the proposed floating platform and weapon system are detailed and described. The floating platform is investigated via virtual prototype tech...

  • Article
  • Open Access
19 Citations
5,113 Views
15 Pages

31 May 2021

The past decades have witnessed a rapid loss of the Arctic sea ice and a significant lengthening of the melt season. The years with the lowest summertime sea ice minimum were found to be accompanied by the latest freeze-up onset on record. Here, a sy...

  • Technical Note
  • Open Access
2 Citations
3,306 Views
15 Pages

Evaluation of Arctic Sea Ice Thickness from a Parameter-Optimized Arctic Sea Ice–Ocean Model

  • Qiaoqiao Zhang,
  • Hao Luo,
  • Chao Min,
  • Yongwu Xiu,
  • Qian Shi and
  • Qinghua Yang

12 May 2023

Sea ice thickness (SIT) presents comprehensive information on Arctic sea ice changes and their role in the climate system. However, our understanding of SIT is limited by a scarcity of observations and inaccurate model simulations. Based on simultane...

  • Article
  • Open Access
13 Citations
3,840 Views
19 Pages

Seasonal Trends in Clouds and Radiation over the Arctic Seas from Satellite Observations during 1982 to 2019

  • Xi Wang,
  • Jian Liu,
  • Bingyun Yang,
  • Yansong Bao,
  • George P. Petropoulos,
  • Hui Liu and
  • Bo Hu

12 August 2021

A long-term dataset of 38 years (1982–2019) from the Advanced Very High Resolution Radiometer (AVHRR) satellite observations is applied to investigate the spatio-temporal seasonal trends in cloud fraction, surface downwelling longwave flux, and surfa...

  • Article
  • Open Access
4 Citations
2,569 Views
14 Pages

18 February 2024

In order to solve the problem of the dynamic positioning control of large ships in rough sea and to meet the need for fixed-point operations, this paper proposes a dynamic positioning controller that can effectively achieve large ships’ fixed-p...

  • Article
  • Open Access
19 Citations
4,814 Views
17 Pages

Microplastics Distribution within Western Arctic Seawater and Sea Ice

  • Alessandra D’Angelo,
  • Nicole Trenholm,
  • Brice Loose,
  • Laura Glastra,
  • Jacob Strock and
  • Jongsun Kim

20 September 2023

Microplastic pollution has emerged as a global environmental concern, exhibiting wide distribution within marine ecosystems, including the Arctic Ocean. Limited Arctic microplastic data exist from beached plastics, seabed sediments, floating plastics...

  • Article
  • Open Access
6 Citations
2,854 Views
27 Pages

6 September 2020

The paper investigates the role of atmospheric circulation in the surface layer in forming the Arctic ice structure. For the analysis, the empirical orthogonal function (EOF) method of decomposition of the surface wind field is used, and the reaction...

  • Article
  • Open Access
11 Citations
4,520 Views
10 Pages

Effects of Rootstock/Scion Combination and Two Irrigation Water Qualities on Cherry Tomato Yield and Postharvest Fruit Quality

  • Hiam Abu Glion,
  • Sharon Alkalai-Tuvia,
  • Merav Zaaroor-Presman,
  • Daniel Chalupowicz,
  • Mili Zanbar,
  • Michal Amichai,
  • Shabtai Cohen,
  • Tsion Shemer,
  • Shlomo Sarig and
  • Elazar Fallik

The aim of this research was to evaluate postharvest cherry tomato (Solanum lycopersicum (L.) Mill.) yield and fruit quality as affected by grafting and irrigation water quality in the desert region of Israel. Tomato plants (scion cv. Lorka) were gra...

  • Letter
  • Open Access
4 Citations
3,564 Views
15 Pages

Assessment of AMSR2 Ice Extent and Ice Edge in the Arctic Using IMS

  • Yinghui Liu,
  • Sean Helfrich,
  • Walter N. Meier and
  • Richard Dworak

16 May 2020

This work assesses the AMSR2 (the Advanced Microwave Scanning Radiometer 2) ice extent and ice edge in the Arctic using the ice extent products of NOAA’s Interactive Multisensor Snow and Ice Mapping System (IMS) from the period of July 2015 to...

  • Article
  • Open Access
13 Citations
4,004 Views
17 Pages

With the further establishment of relevant regulations on ship emissions by countries worldwide and the IMO, and the increasing frequency of severe sea conditions in shipping routes, optimizing ship energy efficiency under high wind and wave conditio...

of 2