Concurrent Decadal Trend Transitions of Sea Ice Concentration and Sea Surface pCO2 in the Beaufort Sea
Highlights
- A decadal trend transition in sea surface pCO2 in the Beaufort Sea was found around 2010–2012 both by observation and via a numerical model.
- The sea surface pCO2 trend transition was driven by a concurrent trend transition in sea ice cover through changing the seasonal duration of open-water.
- This finding improves our understanding of the decadal-scale response of the Arctic Ocean carbon cycle to climate changes.
- This finding advances our understanding of the influence of seasonal sea ice variabilities on decadal trends in the carbon cycle.
Abstract
1. Introduction
2. Materials and Methods
2.1. Regional Arctic System Model (RASM)
2.2. NSIDC Sea Ice Data and In Situ Observations
2.3. Air–Sea CO2 Fluxes (FCO2), CO2 Sink, and Ekman Pumping Velocity (EPV)
2.4. Multiple Linear Regression and Temperature-Normalized pCO2
2.5. DSR and Contribution Decomposition to pCO2 Seasonal Variability
3. Results
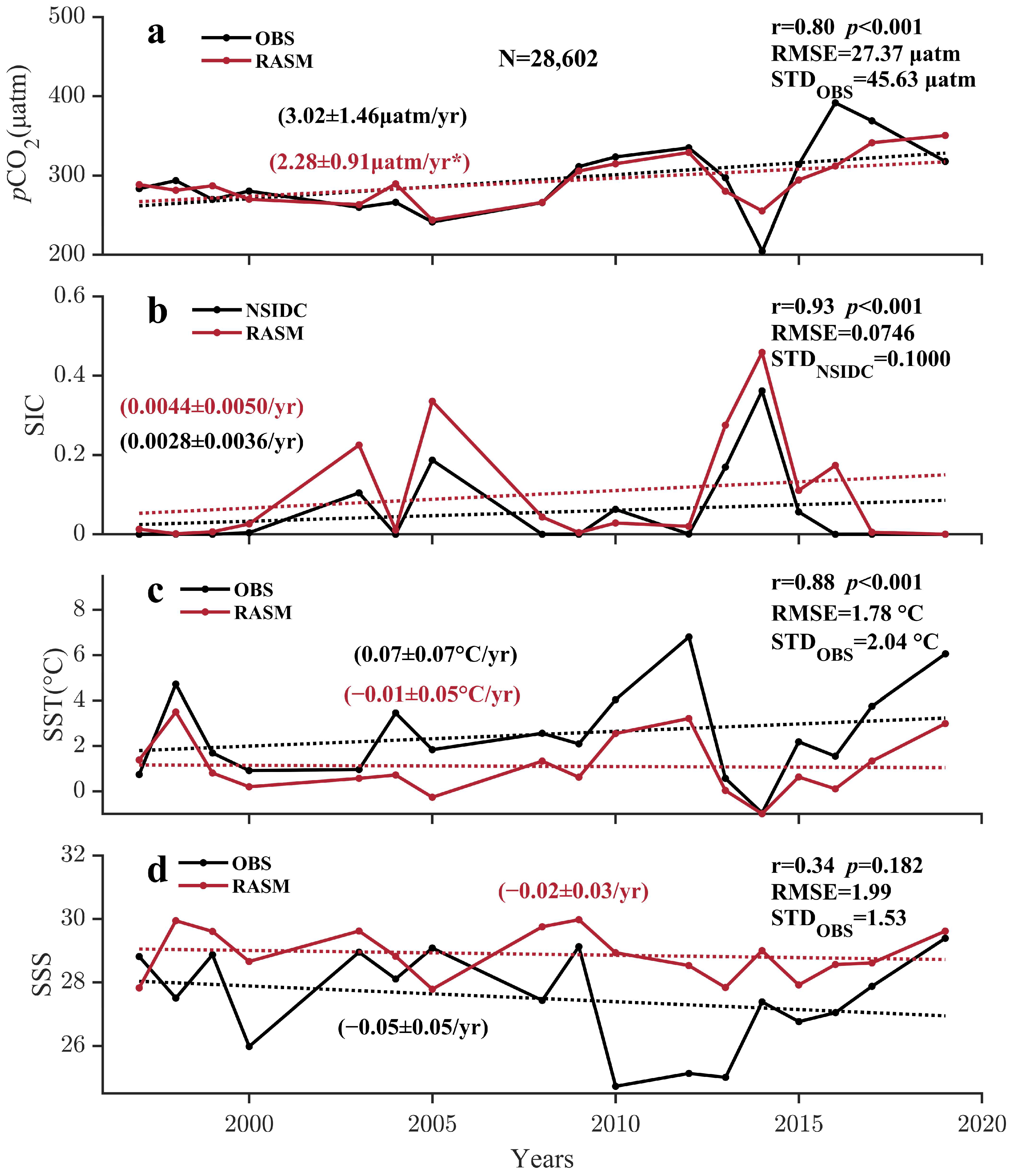
3.1. Model Validation
3.2. Decadal Trend Transition in Sea Surface pCO2
3.3. Mechanisms Driving the Decadal Trend Transition in Sea Surface pCO2
3.4. Modulation of Sea Ice Retreat Timing on the pCO2 Trend
4. Discussion
5. Conclusions
Supplementary Materials
Author Contributions
Funding
Data Availability Statement
Acknowledgments
Conflicts of Interest
References
- Joos, F.; Spahni, R. Rates of Change in Natural and Anthropogenic Radiative Forcing over the Past 20,000 Years. Proc. Natl. Acad. Sci. USA 2008, 105, 1425–1430. [Google Scholar] [CrossRef]
- Arrigo, K.R.; Pabi, S.; Van Dijken, G.L.; Maslowski, W. Air-sea Flux of CO2 in the Arctic Ocean, 1998–2003. J. Geophys. Res. Biogeosci. 2010, 115. [Google Scholar] [CrossRef]
- Sabine, C.L.; Feely, R.A.; Gruber, N.; Key, R.M.; Lee, K.; Bullister, J.L.; Wanninkhof, R.; Wong, C.S.; Wallace, D.W.R.; Tilbrook, B.; et al. The Oceanic Sink for Anthropogenic CO2. Science 2004, 305, 367–371. [Google Scholar] [CrossRef]
- Takahashi, T.; Sutherland, S.C.; Wanninkhof, R.; Sweeney, C.; Feely, R.A.; Chipman, D.W.; Hales, B.; Friederich, G.; Chavez, F.; Sabine, C.; et al. Climatological Mean and Decadal Change in Surface Ocean pCO2, and Net Sea–Air CO2 Flux over the Global Oceans. Deep Sea Res. Part II Top. Stud. Oceanogr. 2009, 56, 554–577. [Google Scholar] [CrossRef]
- Friedlingstein, P.; O’Sullivan, M.; Jones, M.W.; Andrew, R.M.; Bakker, D.C.E.; Hauck, J.; Landschützer, P.; Le Quéré, C.; Luijkx, I.T.; Peters, G.P.; et al. Global Carbon Budget 2023. Earth Syst. Sci. Data 2023, 15, 5301–5369. [Google Scholar] [CrossRef]
- Bates, N.; Cai, W.-J.; Mathis, J. The Ocean Carbon Cycle in the Western Arctic Ocean: Distributions and Air-Sea Fluxes of Carbon Dioxide. Oceanography 2011, 24, 186–201. [Google Scholar] [CrossRef]
- Takahashi, T.; Sutherland, S.C.; Chipman, D.W.; Goddard, J.G.; Ho, C.; Newberger, T.; Sweeney, C.; Munro, D.R. Climatological Distributions of pH, pCO2, Total CO2, Alkalinity, and CaCO3 Saturation in the Global Surface Ocean, and Temporal Changes at Selected Locations. Mar. Chem. 2014, 164, 95–125. [Google Scholar] [CrossRef]
- Yasunaka, S.; Siswanto, E.; Olsen, A.; Hoppema, M.; Watanabe, E.; Fransson, A.; Chierici, M.; Murata, A.; Lauvset, S.K.; Wanninkhof, R.; et al. Arctic Ocean CO2 Uptake: An Improved Multiyear Estimate of the Air–Sea CO2 Flux Incorporating Chlorophyll a Concentrations. Biogeosciences 2018, 15, 1643–1661. [Google Scholar] [CrossRef]
- Duffey, A.; Mallett, R.; Irvine, P.J.; Tsamados, M.; Stroeve, J. ESD Ideas: Arctic Amplification’s Contribution to Breaches of the Paris Agreement. Earth Syst. Dyn. 2023, 14, 1165–1169. [Google Scholar] [CrossRef]
- Meier, W.N.; Hovelsrud, G.K.; Van Oort, B.E.H.; Key, J.R.; Kovacs, K.M.; Michel, C.; Haas, C.; Granskog, M.A.; Gerland, S.; Perovich, D.K.; et al. Arctic Sea Ice in Transformation: A Review of Recent Observed Changes and Impacts on Biology and Human Activity. Rev. Geophys. 2014, 52, 185–217. [Google Scholar] [CrossRef]
- Peng, G.; Matthews, J.; Yu, J. Sensitivity Analysis of Arctic Sea Ice Extent Trends and Statistical Projections Using Satellite Data. Remote Sens. 2018, 10, 230. [Google Scholar] [CrossRef]
- Proshutinsky, A.; Dukhovskoy, D.; Timmermans, M.-L.; Krishfield, R.; Bamber, J.L. Arctic Circulation Regimes. Philos. Trans. R. Soc. Math. Phys. Eng. Sci. 2015, 373, 20140160. [Google Scholar] [CrossRef] [PubMed]
- Timmermans, M.-L.; Proshutinsky, A.; Golubeva, E.; Jackson, J.M.; Krishfield, R.; McCall, M.; Platov, G.; Toole, J.; Williams, W.; Kikuchi, T.; et al. Mechanisms of Pacific Summer Water Variability in the Arctic’s Central Canada Basin. J. Geophys. Res. Oceans 2014, 119, 7523–7548. [Google Scholar] [CrossRef]
- Corlett, W.B.; Pickart, R.S. The Chukchi Slope Current. Prog. Oceanogr. 2017, 153, 50–65. [Google Scholar] [CrossRef]
- Lin, P.; Pickart, R.S.; Heorton, H.; Tsamados, M.; Itoh, M.; Kikuchi, T. Recent State Transition of the Arctic Ocean’s Beaufort Gyre. Nat. Geosci. 2023, 16, 485–491. [Google Scholar] [CrossRef]
- Woodgate, R.A.; Weingartner, T.J.; Lindsay, R. Observed Increases in Bering Strait Oceanic Fluxes from the Pacific to the Arctic from 2001 to 2011 and Their Impacts on the Arctic Ocean Water Column. Geophys. Res. Lett. 2012, 39. [Google Scholar] [CrossRef]
- Woodgate, R.A. Increases in the Pacific Inflow to the Arctic from 1990 to 2015, and Insights into Seasonal Trends and Driving Mechanisms from Year-Round Bering Strait Mooring Data. Prog. Oceanogr. 2018, 160, 124–154. [Google Scholar] [CrossRef]
- Cai, W.-J.; Chen, L.; Chen, B.; Gao, Z.; Lee, S.H.; Chen, J.; Pierrot, D.; Sullivan, K.; Wang, Y.; Hu, X.; et al. Decrease in the CO2 Uptake Capacity in an Ice-Free Arctic Ocean Basin. Science 2010, 329, 556–559. [Google Scholar] [CrossRef]
- Ouyang, Z.; Qi, D.; Chen, L.; Takahashi, T.; Zhong, W.; DeGrandpre, M.D.; Chen, B.; Gao, Z.; Nishino, S.; Murata, A.; et al. Sea-Ice Loss Amplifies Summertime Decadal CO2 Increase in the Western Arctic Ocean. Nat. Clim. Change 2020, 10, 678–684. [Google Scholar] [CrossRef]
- Farmer, J.R.; Sigman, D.M.; Granger, J.; Underwood, O.M.; Fripiat, F.; Cronin, T.M.; Martínez-García, A.; Haug, G.H. Arctic Ocean Stratification Set by Sea Level and Freshwater Inputs since the Last Ice Age. Nat. Geosci. 2021, 14, 684–689. [Google Scholar] [CrossRef]
- Lewis, K.M.; Van Dijken, G.L.; Arrigo, K.R. Changes in Phytoplankton Concentration Now Drive Increased Arctic Ocean Primary Production. Science 2020, 369, 198–202. [Google Scholar] [CrossRef]
- Tu, Z.; Le, C.; Bai, Y.; Jiang, Z.; Wu, Y.; Ouyang, Z.; Cai, W.; Qi, D. Increase in CO2 Uptake Capacity in the Arctic Chukchi Sea During Summer Revealed by Satellite-Based Estimation. Geophys. Res. Lett. 2021, 48, e2021GL093844. [Google Scholar] [CrossRef]
- Ouyang, Z.; Li, Y.; Qi, D.; Zhong, W.; Murata, A.; Nishino, S.; Wu, Y.; Jin, M.; Kirchman, D.; Chen, L.; et al. The Changing CO2 Sink in the Western Arctic Ocean From 1994 to 2019. Glob. Biogeochem. Cycles 2022, 36, e2021GB007032. [Google Scholar] [CrossRef]
- Arrigo, K.R.; Van Dijken, G.L. Secular Trends in Arctic Ocean Net Primary Production. J. Geophys. Res. 2011, 116, C09011. [Google Scholar] [CrossRef]
- Arrigo, K.R.; Van Dijken, G.L. Continued Increases in Arctic Ocean Primary Production. Prog. Oceanogr. 2015, 136, 60–70. [Google Scholar] [CrossRef]
- Zheng, Z.; Wei, H.; Luo, X.; Zhao, W. Mechanisms of Persistent High Primary Production During the Growing Season in the Chukchi Sea. Ecosystems 2021, 24, 891–910. [Google Scholar] [CrossRef]
- Qi, D.; Ouyang, Z.; Chen, L.; Wu, Y.; Lei, R.; Chen, B.; Feely, R.A.; Anderson, L.G.; Zhong, W.; Lin, H.; et al. Climate Change Drives Rapid Decadal Acidification in the Arctic Ocean from 1994 to 2020. Science 2022, 377, 1544–1550. [Google Scholar] [CrossRef]
- DeGrandpre, M.D.; Lai, C.; Timmermans, M.; Krishfield, R.A.; Proshutinsky, A.; Torres, D. Inorganic Carbon and pCO2 Variability During Ice Formation in the Beaufort Gyre of the Canada Basin. J. Geophys. Res. Oceans 2019, 124, 4017–4028. [Google Scholar] [CrossRef]
- Geilfus, N.-X.; Carnat, G.; Papakyriakou, T.; Tison, J.-L.; Else, B.; Thomas, H.; Shadwick, E.; Delille, B. Dynamics of pCO2 and Related Air-ice CO2 Fluxes in the Arctic Coastal Zone (Amundsen Gulf, Beaufort Sea). J. Geophys. Res. Oceans 2012, 117. [Google Scholar] [CrossRef]
- Wanninkhof, R.; Pierrot, D.; Sullivan, K.; Mears, P.; Barbero, L. Comparison of Discrete and Underway CO2 Measurements: Inferences on the Temperature Dependence of the Fugacity of CO2 in Seawater. Mar. Chem. 2022, 247, 104178. [Google Scholar] [CrossRef]
- Burgers, T.M.; Miller, L.A.; Thomas, H.; Else, B.G.T.; Gosselin, M.; Papakyriakou, T. Surface Water pCO2 Variations and Sea-Air CO2 Fluxes During Summer in the Eastern Canadian Arctic. J. Geophys. Res. Oceans 2017, 122, 9663–9678. [Google Scholar] [CrossRef]
- Islam, F.; DeGrandpre, M.D.; Beatty, C.M.; Timmermans, M.-L.; Krishfield, R.A.; Toole, J.M.; Laney, S.R. Sea Surface pCO2 and O2 Dynamics in the Partially Ice-Covered Arctic Ocean. J. Geophys. Res. Oceans 2017, 122, 1425–1438. [Google Scholar] [CrossRef]
- Yang, W.; Zhao, Y.; Wu, Y.; Chen, Z.; Gao, X.; Lin, H.; Ouyang, Z.; Cai, W.; Chen, L.; Qi, D. The Impact of Sea Ice Melt on the Evolution of Surface pCO2 in a Polar Ocean Basin. Front. Mar. Sci. 2024, 11, 1307295. [Google Scholar] [CrossRef]
- Xu, A.; Jin, M.; Wu, Y.; Qi, D. Response of Nutrients and Primary Production to High Wind and Upwelling-Favorable Wind in the Arctic Ocean: A Modeling Perspective. Front. Mar. Sci. 2023, 10, 1065006. [Google Scholar] [CrossRef]
- Jin, M.; Deal, C.; Maslowski, W.; Matrai, P.; Roberts, A.; Osinski, R.; Lee, Y.J.; Frants, M.; Elliott, S.; Jeffery, N.; et al. Effects of Model Resolution and Ocean Mixing on Forced Ice-Ocean Physical and Biogeochemical Simulations Using Global and Regional System Models. J. Geophys. Res. Oceans 2018, 123, 358–377. [Google Scholar] [CrossRef]
- Roberts, A.; Craig, A.; Maslowski, W.; Osinski, R.; Duvivier, A.; Hughes, M.; Nijssen, B.; Cassano, J.; Brunke, M. Simulating Transient Ice-Ocean Ekman Transport in the Regional Arctic System Model and Community Earth System Model. Ann. Glaciol. 2015, 56, 211–228. [Google Scholar] [CrossRef]
- Hamman, J.; Nijssen, B.; Roberts, A.; Craig, A.; Maslowski, W.; Osinski, R. The Coastal Streamflow Flux in the Regional Arctic System Model. J. Geophys. Res. Oceans 2017, 122, 1683–1701. [Google Scholar] [CrossRef]
- Cassano, J.J.; DuVivier, A.; Roberts, A.; Abel, M.R.; Seefeldt, M.; Brunke, M.; Craig, A.; Fisel, B.; Gutowski, W.; Hamman, J.; et al. Development of the Regional Arctic System Model (RASM): Near-Surface Atmospheric Climate Sensitivity. J. Clim. 2017, 30, 5729–5753. [Google Scholar] [CrossRef]
- Jin, M.; Popova, E.E.; Zhang, J.; Ji, R.; Pendleton, D.; Varpe, Ø.; Yool, A.; Lee, Y.J. Ecosystem Model Intercomparison of Under-ice and Total Primary Production in the Arctic Ocean. J. Geophys. Res. Oceans 2016, 121, 934–948. [Google Scholar] [CrossRef]
- Steele, M.; Morley, R.; Ermold, W. PHC: A Global Ocean Hydrography with a High-Quality Arctic Ocean. J. Clim. 2001, 14, 2079–2087. [Google Scholar] [CrossRef]
- Harada, Y.; Kamahori, H.; Kobayashi, C.; Endo, H.; Kobayashi, S.; Ota, Y.; Onoda, H.; Onogi, K.; Miyaoka, K.; Takahashi, K. The JRA-55 Reanalysis: Representation of Atmospheric Circulation and Climate Variability. J. Meteorol. Soc. Jpn. Ser II 2016, 94, 269–302. [Google Scholar] [CrossRef]
- Kobayashi, C.; Iwasaki, T. Brewer-Dobson Circulation Diagnosed from JRA-55. J. Geophys. Res. Atmos. 2016, 121, 1493–1510. [Google Scholar] [CrossRef]
- Moore, J.K.; Doney, S.C.; Lindsay, K. Upper Ocean Ecosystem Dynamics and Iron Cycling in a Global Three-dimensional Model. Glob. Biogeochem. Cycles 2004, 18. [Google Scholar] [CrossRef]
- Jin, M.; Chen, Z.; Lin, X.; Li, C.; Qi, D. Influences of Global Warming and Upwelling on the Acidification in the Beaufort Sea. Remote Sens. 2025, 17, 866. [Google Scholar] [CrossRef]
- DiGirolamo, N.; Parkinson, C.; Cavalieri, D.; Gloersen, P.; Zwally, H. Sea Ice Concentrations from Nimbus-7 SMMR and DMSP SSM/I-SSMIS Passive Microwave Data, Version 2 2022; NASA National Snow and Ice Data Center Distributed Active Archive Center: Boulder, CO, USA, 2022.
- Wanninkhof, R. Relationship between Wind Speed and Gas Exchange over the Ocean Revisited. Limnol. Oceanogr. Methods 2014, 12, 351–362. [Google Scholar] [CrossRef]
- Weiss, R.F. Carbon Dioxide in Water and Seawater: The Solubility of a Non-Ideal Gas. Mar. Chem. 1974, 2, 203–215. [Google Scholar] [CrossRef]
- Evans, W.; Mathis, J.T.; Cross, J.N.; Bates, N.R.; Frey, K.E.; Else, B.G.T.; Papkyriakou, T.N.; DeGrandpre, M.D.; Islam, F.; Cai, W.; et al. Sea-air CO2 Exchange in the Western Arctic Coastal Ocean. Glob. Biogeochem. Cycles 2015, 29, 1190–1209. [Google Scholar] [CrossRef]
- Yang, J. The Seasonal Variability of the Arctic Ocean Ekman Transport and Its Role in the Mixed Layer Heat and Salt Fluxes. J. Clim. 2006, 19, 5366–5387. [Google Scholar] [CrossRef]
- Zhong, W.; Steele, M.; Zhang, J.; Zhao, J. Greater Role of Geostrophic Currents in Ekman Dynamics in the Western Arctic Ocean as a Mechanism for Beaufort Gyre Stabilization. J. Geophys. Res. Oceans 2018, 123, 149–165. [Google Scholar] [CrossRef]
- Ma, B.; Steele, M.; Lee, C.M. Ekman Circulation in the Arctic Ocean: Beyond the Beaufort Gyre. J. Geophys. Res. Oceans 2017, 122, 3358–3374. [Google Scholar] [CrossRef]
- Mcphee, M.G. An Analysis of Pack Ice Drift in Summer. In Sea Ice Processes and Models; University of Washington Press: Seattle, WA, USA, 1980; pp. 62–75. [Google Scholar]
- Takahashi, T.; Olafsson, J.; Goddard, J.G.; Chipman, D.W.; Sutherland, S.C. Seasonal Variation of CO2 and Nutrients in the High-latitude Surface Oceans: A Comparative Study. Glob. Biogeochem. Cycles 1993, 7, 843–878. [Google Scholar] [CrossRef]
- Lee, K.; Wanninkhof, R.; Feely, R.A.; Millero, F.J.; Peng, T. Global Relationships of Total Inorganic Carbon with Temperature and Nitrate in Surface Seawater. Glob. Biogeochem. Cycles 2000, 14, 979–994. [Google Scholar] [CrossRef]
- Bozec, Y.; Thomas, H.; Schiettecatte, L.-S.; Borges, A.V.; Elkalay, K.; De Baar, H.J.W. Assessment of the Processes Controlling the Seasonal Variations of Dissolved Inorganic Carbon in the North Sea. Limnol. Oceanogr. 2006, 51, 2746–2762. [Google Scholar] [CrossRef]
- Lee, K.; Tong, L.T.; Millero, F.J.; Sabine, C.L.; Dickson, A.G.; Goyet, C.; Park, G.; Wanninkhof, R.; Feely, R.A.; Key, R.M. Global Relationships of Total Alkalinity with Salinity and Temperature in Surface Waters of the World’s Oceans. Geophys. Res. Lett. 2006, 33. [Google Scholar] [CrossRef]
- Takahashi, T.; Sutherland, S.C.; Sweeney, C.; Poisson, A.; Metzl, N.; Tilbrook, B.; Bates, N.; Wanninkhof, R.; Feely, R.A.; Sabine, C.; et al. Global Sea–Air CO2 Flux Based on Climatological Surface Ocean pCO2, and Seasonal Biological and Temperature Effects. Deep Sea Res. Part II Top. Stud. Oceanogr. 2002, 49, 1601–1622. [Google Scholar] [CrossRef]
- Lovenduski, N.S.; Gruber, N.; Doney, S.C.; Lima, I.D. Enhanced CO2 Outgassing in the Southern Ocean from a Positive Phase of the Southern Annular Mode. Glob. Biogeochem. Cycles 2007, 21. [Google Scholar] [CrossRef]
- Landschützer, P. Strengthening Seasonal Marine CO2 Variations Due to Increasing Atmospheric CO2. Nat. Clim. Change 2018, 8, 146–150. [Google Scholar] [CrossRef]
- Van Heuven, S.; Pierrot, D.; Rae, J.W.B.; Lewis, E.; Wallace, D.W.R. MATLAB Program Developed for CO2 System Calculations; ORNL/CDIAC: Oak Ridge, TN, USA, 2011.
- Sharp, J.D.; Pierrot, D.; Humphreys, M.P.; Epitalon, J.-M.; Orr, J.C.; Lewis, E.R.; Wallace, D.W.R. CO2SYSv3 for MATLAB 2023; Zenodo: Geneva, Switzerland, 2023. [Google Scholar]
- Petty, A.A.; Hutchings, J.K.; Richter-Menge, J.A.; Tschudi, M.A. Sea Ice Circulation around the Beaufort Gyre: The Changing Role of Wind Forcing and the Sea Ice State. J. Geophys. Res. Oceans 2016, 121, 3278–3296. [Google Scholar] [CrossRef]
- Babb, D.G.; Galley, R.J.; Howell, S.E.L.; Landy, J.C.; Stroeve, J.C.; Barber, D.G. Increasing Multiyear Sea Ice Loss in the Beaufort Sea: A New Export Pathway for the Diminishing Multiyear Ice Cover of the Arctic Ocean. Geophys. Res. Lett. 2022, 49, e2021GL097595. [Google Scholar] [CrossRef]








| Experiment Name | JRA-55 | AtmCO2 |
|---|---|---|
| case C | with interannual change | with interannual change |
| case S1 | with interannual change | 1990 |
| case S2 | 1990 | with interannual change |
| Layer | Period | R2 | SIC | EPV | NPP | MLD |
|---|---|---|---|---|---|---|
| Surface | early (1990–2012) | 0.87 | −0.674 −85.2% | 0.063 0.7% | −0.113 −2.4% | 0.249 11.6% |
| late (2010–2020) | 0.94 | −0.714 −84.6% | −0.052 −0.4% | −0.231 −8.9% | 0.192 6.1% | |
| Subsurface | early (1990–2012) | 0.45 | −0.591 −93.3% | 0.105 2.9% | −0.103 −2.8% | 0.060 0.9% |
| late (2010–2020) | 0.38 | 0.190 7.0% | 0.351 23.9% | −0.580 −65.3% | 0.139 3.7% | |
| Deep layer | early (1990–2012) | 0.38 | −1.636 −76.7% | −0.370 −3.9% | −0.665 −12.7% | −0.484 −6.7% |
| late (2010–2020) | 0.40 | −0.072 −1.0% | 0.039 0.3% | −0.702 −98.7% | −0.003 0.0% |
| DSR Range | Contributions (μatm) to Sea Surface pCO2 | |||||
|---|---|---|---|---|---|---|
| Total | Thermal Effect | Biological Production | Air-Sea CO2 Exchange | Water Mixing | ||
| seasonal decline in the early | −80 < DSR < −38 | −40.27 | 8.95 | −40.81 | 7.27 | −15.68 |
| seasonal decline in the late | −80 < DSR < −26 | −55.11 | 14.97 | −59.32 | 11.46 | −22.22 |
| seasonal increase in the early | −38 < DSR < 40 | 45.10 | 38.23 | −58.05 | 82.32 | −17.41 |
| seasonal increase in the late | −26 < DSR < 40 | 51.52 | 49.48 | −60.38 | 65.25 | −2.83 |
Disclaimer/Publisher’s Note: The statements, opinions and data contained in all publications are solely those of the individual author(s) and contributor(s) and not of MDPI and/or the editor(s). MDPI and/or the editor(s) disclaim responsibility for any injury to people or property resulting from any ideas, methods, instructions or products referred to in the content. |
© 2026 by the authors. Licensee MDPI, Basel, Switzerland. This article is an open access article distributed under the terms and conditions of the Creative Commons Attribution (CC BY) license.
Share and Cite
Chi, S.; Jin, M. Concurrent Decadal Trend Transitions of Sea Ice Concentration and Sea Surface pCO2 in the Beaufort Sea. Remote Sens. 2026, 18, 257. https://doi.org/10.3390/rs18020257
Chi S, Jin M. Concurrent Decadal Trend Transitions of Sea Ice Concentration and Sea Surface pCO2 in the Beaufort Sea. Remote Sensing. 2026; 18(2):257. https://doi.org/10.3390/rs18020257
Chicago/Turabian StyleChi, Shangbin, and Meibing Jin. 2026. "Concurrent Decadal Trend Transitions of Sea Ice Concentration and Sea Surface pCO2 in the Beaufort Sea" Remote Sensing 18, no. 2: 257. https://doi.org/10.3390/rs18020257
APA StyleChi, S., & Jin, M. (2026). Concurrent Decadal Trend Transitions of Sea Ice Concentration and Sea Surface pCO2 in the Beaufort Sea. Remote Sensing, 18(2), 257. https://doi.org/10.3390/rs18020257

