Next Issue
Volume 31, February-2
Previous Issue
Volume 31, January-2
 
 
molecules-logo

Journal Browser

Journal Browser

Molecules, Volume 31, Issue 3 (February-1 2026) – 186 articles

Cover Story (view full-size image): The human gut microbiome continuously releases lipopolysaccharides (LPSs), potent neuroinflammatory molecules that can enter the brain through compromised barriers during aging or disease. This study identifies a loss of acyloxyacyl hydrolase (AOAH), a microglia-enriched LPS-detoxifying enzyme, in Alzheimer’s disease (AD) brain tissue. The down-regulation of AOAH coincides with elevated expression of miR-450b-5p, which directly targets the AOAH 3′UTR to suppress its expression. These findings reveal a gut–brain molecular axis where miRNA dysregulation impairs LPS detoxification, linking microbiome-derived endotoxins to neuroinflammatory signaling in AD. View this paper
  • Issues are regarded as officially published after their release is announced to the table of contents alert mailing list.
  • You may sign up for e-mail alerts to receive table of contents of newly released issues.
  • PDF is the official format for papers published in both, html and pdf forms. To view the papers in pdf format, click on the "PDF Full-text" link, and use the free Adobe Reader to open them.
Order results
Result details
Section
Select all
Export citation of selected articles as:
11 pages, 1022 KB  
Article
Linking Phytochemical Diversity to Aflatoxin Suppression: LC-MS/MS Metabolomics of Trichilia dregeana Bark Extracts
by Martha Cebile Jobe, Babra Moyo, Ntakadzeni Edwin Madala and Mulunda Mwanza
Molecules 2026, 31(3), 578; https://doi.org/10.3390/molecules31030578 - 6 Feb 2026
Viewed by 642
Abstract
Trichilia dregeana has a rich phytochemical diversity and biological activity; however, information on its metabolomic profile and antimycotoxigenic potential is limited. This study investigated different extracts of T. dregeana bark obtained with various solvents (water, ethanol, ethyl acetate, and methanol), assessing their chemical [...] Read more.
Trichilia dregeana has a rich phytochemical diversity and biological activity; however, information on its metabolomic profile and antimycotoxigenic potential is limited. This study investigated different extracts of T. dregeana bark obtained with various solvents (water, ethanol, ethyl acetate, and methanol), assessing their chemical composition using LC-MS and their inhibitory activity against the aflatoxin produced by Aspergillus fungi. LC-MS analysis identified metabolites belonging to several secondary metabolite classes, including flavonoids, phenolic acids, lignan glycosides, cardiac glycosides, coumarins, cinnamic acids, and limonoids. Solvent polarity strongly influenced metabolite distribution, with water and methanol enriching polar antioxidant compounds, while ethanol and ethyl acetate extracted semipolar antimicrobial constituents. The antimycotoxigenic efficacy of T. dregeana bark extracts was evaluated against Aspergillus flavus in maize, rice, and flour matrices. Among the tested extracts, only the methanolic extract exhibited a statistically significant reduction in aflatoxin levels (µg/kg), while the water, ethanol, and ethyl acetate extracts showed no significant inhibition. Fungal inoculation significantly increased aflatoxin levels, with maize showing the highest contamination (673.32 µg/kg). At 50 µg/mL extract, aflatoxin concentrations were reduced to 230.39 µg/kg maize, 129.93 µg/kg rice, and 143.89 µg/kg flour, with efficacy comparable to or exceeding the commercial fungicide tenazole. Associations between solvent-dependent metabolite class distribution and aflatoxin suppression were observed; however, bioactivity was demonstrated exclusively at the crude extract level. These findings suggest that methanolic extracts of T. dregeana bark may represent a promising natural alternative to antimycotoxin agents, warranting further fractionation and mechanistic validation. Full article
Show Figures

Figure 1

17 pages, 7642 KB  
Article
The Synthesis, Metal Exchange, and Hyaluronate Functionalization of a Cationic Gallium-Based Thiosemicarbazone Anticancer Drug
by Ye Ning, Meng-Lin Dong, Wen-Hua Zhang and David J. Young
Molecules 2026, 31(3), 577; https://doi.org/10.3390/molecules31030577 - 6 Feb 2026
Viewed by 621
Abstract
We herein demonstrate that the thiosemicarbazone (TSC) ligand N′-(di(pyridin-2-yl)methylene)-4-(thiazol-2-yl)piperazine-1-carbothiohydrazide (HL) can coordinate with Ga3+ to give cationic complex [Ga(L)2]NO3 featuring an octahedral Ga(III) center. [Ga(L)2]NO3 undergoes metathesis with both Fe2+ and Fe3+ [...] Read more.
We herein demonstrate that the thiosemicarbazone (TSC) ligand N′-(di(pyridin-2-yl)methylene)-4-(thiazol-2-yl)piperazine-1-carbothiohydrazide (HL) can coordinate with Ga3+ to give cationic complex [Ga(L)2]NO3 featuring an octahedral Ga(III) center. [Ga(L)2]NO3 undergoes metathesis with both Fe2+ and Fe3+, resulting in the formation of respective Fe2+- and Fe3+ complexes. [Ga(L)2]NO3 is also susceptible to anion exchange with sodium hyaluronate (NaA) to produce the nanoformulation [Ga(L)2]A with boosted aqueous solubility and cell targeting. [Ga(L)2]A demonstrated remarkable in vitro cytotoxicity against NCI-H82 and A549 (lung cancer), as well as KYSE-510 and Te-1 (esophageal cancer) cell lines, featuring half maximal inhibitory concentration (IC50) values in the range 0.102–2.616 μmol L−1. This work highlights the potential of using non-toxic and biocompatible Ga3+ as the central ion to prepare TSC-based nanomedicines for combating cancer. Full article
(This article belongs to the Special Issue Transition Metal Complexes with Bioactive Ligands)
Show Figures

Graphical abstract

17 pages, 6468 KB  
Article
Water-Soluble Palladium Complexes with 1,10-Phenanthroline—Synthetic Aspects, Crystal Structure, DNA-Binding and In Vitro Antibacterial Evaluation
by Marina A. Uvarova, Ilya A. Yakushev, Nina A. Kasyanenko, Natalia A. Komolkina, Noura Hilal and Igor L. Eremenko
Molecules 2026, 31(3), 576; https://doi.org/10.3390/molecules31030576 - 6 Feb 2026
Viewed by 637
Abstract
Obtaining water-soluble palladium complexes capable of interacting with DNA is an important synthetic task in medicinal chemistry. The interaction of [Pd(phen)(OAc)2] (phen = 1,10-phenanthroline) with pivalic acid (tBuCOOH) and trifluoromethanesulfonic acid (HOTf) leads to the formation of the molecular [...] Read more.
Obtaining water-soluble palladium complexes capable of interacting with DNA is an important synthetic task in medicinal chemistry. The interaction of [Pd(phen)(OAc)2] (phen = 1,10-phenanthroline) with pivalic acid (tBuCOOH) and trifluoromethanesulfonic acid (HOTf) leads to the formation of the molecular complex [Pd(phen)(OOCtBu)2] (1) and the ionic complex [Pd(phen)(H2O)2]Otf2 (2), respectively. Complex 1 is highly soluble in water and stable in solution for 48 h. When complex 2 is boiled in water, it undergoes hydrolysis to form the binuclear hydroxo-bridged complex [Pd2(phen)2(μ-OH)2]Otf2 (3). According to X-ray diffraction data, the crystal lattices of 13 are stabilized by numerous intermolecular hydrogen bonds and π-π stacking interactions. The interaction of 1 and 2 with DNA in vitro (in 0.005 M NaCl solution) was studied using UV spectroscopy, low-gradient viscometry, and DNA melting analysis. It was shown that both compounds interact with DNA, and the binding is accompanied by the intercalation of the phenanthroline ligand at low concentrations in the DNA solution. An increase in their concentration leads to an alternative binding mode—palladium–DNA interaction causes a decrease in the DNA molecular coil size due to electrostatic interaction and/or palladium coordination to DNA bases. The difference between the binding of compounds 1 and 2 to DNA is that 2 can coordinate to N-bases, unlike complex 1. The antibacterial properties of the complexes have been studied in vitro against E. coli, P. aeruginosa, and S. aureus. Full article
Show Figures

Figure 1

26 pages, 7422 KB  
Article
Exothermic Effects and Viscosity of Oxide Melts Formed During High-Temperature Reduction of Cr–Mn Ore Systems
by Yerbolat Makhambetov, Sultan Kabylkanov, Saule Abdulina, Armat Zhakan, Azamat Burumbayev, Zhadiger Sadyk, Amankeldy Akhmetov, Zhalgas Saulebek, Ruslan Toleukadyr, Arnat Smagulov and Onuralp Yücel
Molecules 2026, 31(3), 575; https://doi.org/10.3390/molecules31030575 - 6 Feb 2026
Cited by 1 | Viewed by 478
Abstract
This study investigates the exothermic effects and viscosity properties of multicomponent oxide melts during the high-temperature reduction of low-grade Cr–Mn ores. Unlike previous thermodynamic-focused research, this work provides experimental evidence of transient exothermic responses and correlates them with melt properties. High-temperature experiments identified [...] Read more.
This study investigates the exothermic effects and viscosity properties of multicomponent oxide melts during the high-temperature reduction of low-grade Cr–Mn ores. Unlike previous thermodynamic-focused research, this work provides experimental evidence of transient exothermic responses and correlates them with melt properties. High-temperature experiments identified pronounced exothermic effects in the 800–1600 °C range. Phase analysis (XRD, SEM–EDS) confirmed effective Cr and Mn reduction into Fe–Cr–Mn–Si alloys with minimal residual oxides in the slag. Effective viscosity, measured via the electrovibrational method at 1400–1650 °C, decreased monotonically with temperature. Arrhenius analysis was applied to determine activation energies and crystallization onset temperatures (Tcr). The results indicate low viscosity and high thermal stability of the slags, ensuring efficient metal–slag separation. These findings confirm the technological feasibility of using low-grade ores for Fe–Cr–Mn alloy production and provide a basis for optimizing industrial smelting. Full article
Show Figures

Figure 1

13 pages, 1832 KB  
Article
Synthesis, Characterization, Molecular Docking, and Preliminary Biological Evaluation of 2-((4-Morpholino-1,2,5-thiadiazol-3-yl)oxy)benzaldehyde
by Mokete Motente and Uche A. K. Chude-Okonkwo
Molecules 2026, 31(3), 574; https://doi.org/10.3390/molecules31030574 - 6 Feb 2026
Viewed by 567
Abstract
This study details the synthesis, characterization, molecular docking and preliminary biological evaluation of a new heterocyclic compound, 2-((4-morpholino-1,2,5-thiadiazol-3-yl)oxy)benzaldehyde. This molecule was designed using an artificial intelligence (AI)-based molecular generative model. It was synthesized through a nucleophilic substitution between 3-chloro-4-morpholino-1,2,5-thiadiazole and 2-hydroxybenzaldehyde. Structural elucidation [...] Read more.
This study details the synthesis, characterization, molecular docking and preliminary biological evaluation of a new heterocyclic compound, 2-((4-morpholino-1,2,5-thiadiazol-3-yl)oxy)benzaldehyde. This molecule was designed using an artificial intelligence (AI)-based molecular generative model. It was synthesized through a nucleophilic substitution between 3-chloro-4-morpholino-1,2,5-thiadiazole and 2-hydroxybenzaldehyde. Structural elucidation was performed using 1H NMR, 13C NMR, Elemental Analysis, and Single Crystal X-ray diffraction. AI-guided in silico predictions suggested promising pharmacophoric features and potential biological activity. Preliminary biological evaluation, primarily through anticancer assays, demonstrated moderate to significant activity, supporting further investigation. The findings therefore suggest that this AI-generated molecule could serve as a lead scaffold for developing drugs targeting cancer and other infectious diseases. Full article
(This article belongs to the Section Medicinal Chemistry)
Show Figures

Figure 1

22 pages, 4310 KB  
Article
Novel Tyrosinase and α-Glucosidase Inhibitors: 1,3-Bisbenzylphenylphenol and Congeners as Cosmetic Whitening Agents Based on Natural Products
by Meng-Fei Wanyan, Xing Wu, Hui-Xiang Yang, Liang Tu, Qian Chen, Zhi-Hui Dong, Yu-Ting Tian, Xiao Lv, Qiong Chen, Hui-Hui Shen, Ting-Ting Deng, Zheng-Hui Li, Xian Wang, Rong Huang, Yong-Sheng Zheng and Ji-Kai Liu
Molecules 2026, 31(3), 573; https://doi.org/10.3390/molecules31030573 - 6 Feb 2026
Viewed by 682
Abstract
New diarylheptene polyphenols with α-glucosidase inhibitory activity were previously isolated and reported from the aquatic plant Ottelia acuminata var. acuminata. It was used as the template in the present research, and a series of 1,3-bisbenzylphenylphenolic compounds were designed and synthesized. The tyrosinase, [...] Read more.
New diarylheptene polyphenols with α-glucosidase inhibitory activity were previously isolated and reported from the aquatic plant Ottelia acuminata var. acuminata. It was used as the template in the present research, and a series of 1,3-bisbenzylphenylphenolic compounds were designed and synthesized. The tyrosinase, α-glucosidase inhibitory effects, antioxidant properties, and whitening effects of these compounds were investigated. Of them, the representative compounds 1 and 2 inhibited the two target enzymes (tyrosinase and α-glucosidase) engaged in skin whitening and aging with comparable IC50 values to the reference drugs as well as antioxidant activities. They showed potent whitening efficacy in zebrafish. In particular, compound 1 had whitening-effect rates of 31% at a concentration of 0.0001% (m/m), and 52% at a concentration of 0.0002% (m/m). Both compounds had more superior whitening efficacy than the commercially available whitening agent phenylethylresorcinol (377), which was used as a positive control. Compounds 1 and 2 did not show any genotoxicity and skin phototoxicity at the test concentrations, and they show promise as new skin-whitening agents. Full article
(This article belongs to the Section Bioorganic Chemistry)
Show Figures

Figure 1

17 pages, 2809 KB  
Article
Synthesis of Arapaima gigas Growth Hormone (ag-GH) in HEK 293 Cells: Its Purification and Characterization via In Vivo Bioassay in Dwarf “Little” Mice
by Eliana Rosa Lima, Jeniffer Cristina Ribeiro Melo, Filipe Menezes Bezerra, Miriam Fussae Suzuki, Amanda Palermo Nunes, Thais Cristina dos Anjos Sevilhano, João Ezequiel Oliveira, Riviane Garcez, Lucas Simon Torati, Geraldo Santana Magalhães, Cibele Nunes Peroni and Paolo Bartolini
Molecules 2026, 31(3), 572; https://doi.org/10.3390/molecules31030572 - 6 Feb 2026
Viewed by 503
Abstract
Arapaima gigas growth hormone (ag-GH) cDNA was previously cloned from A. gigas pituitaries. In this work ag-GH has been synthesized using human embryonic kidney 293 cells (HEK293) transiently transfected with the 3.4-TOPO® vector carrying ag-GH cDNA. The 4th day after transfection, the [...] Read more.
Arapaima gigas growth hormone (ag-GH) cDNA was previously cloned from A. gigas pituitaries. In this work ag-GH has been synthesized using human embryonic kidney 293 cells (HEK293) transiently transfected with the 3.4-TOPO® vector carrying ag-GH cDNA. The 4th day after transfection, the presence of putative ag-GH was detected via SDS-PAGE and Western blotting in comparison with human GH. Ion exchange purification exhibited a clearly symmetric peak, absent in the control medium. The purified fraction, submitted to high-performance size-exclusion chromatography (HPSEC), SDS-PAGE, and Western blotting, contained an immunoreactive molecule, slightly smaller than hGH as expected. MALDI-TOF-MS determined a high-resolution molecular mass of 21,220 Da versus a theoretical value of 21,150. A phylogenetic analysis positioned ag-GH within basal teleost lineages, consistent with earlier analyses of A. gigas gonadotrophic hormones, reinforcing the structural and functional conservation relevant for its biologic activity. An in vivo bioassay based on the body weight increase of dwarf “little” mice demonstrated a biological activity for ag-GH comparable to that of the international reference preparation of rec-hGH. For two species (H. sapiens and A. gigas) separated by an evolutionary period of >100 million years, such a positive biological correlation is remarkable. Full article
(This article belongs to the Special Issue 30th Anniversary of Molecules—Recent Advances in Chemical Biology)
Show Figures

Figure 1

17 pages, 1245 KB  
Review
Auranofin Combination Therapy: A New Frontier in Cancer Treatment
by Diana Laura Guzman-Gomez, Srinivasa Reddy Telukutla, Ruchika Ojha, Suresh K. Bhargava and Magdalena Plebanski
Molecules 2026, 31(3), 571; https://doi.org/10.3390/molecules31030571 - 6 Feb 2026
Viewed by 932
Abstract
Auranofin, a gold(I)-based compound initially developed for the treatment of rheumatoid arthritis, has emerged as a promising anticancer agent with a multimodal mechanism of action. This review comprehensively examines the therapeutic potential of auranofin in oncology focusing on its ability to synergize with [...] Read more.
Auranofin, a gold(I)-based compound initially developed for the treatment of rheumatoid arthritis, has emerged as a promising anticancer agent with a multimodal mechanism of action. This review comprehensively examines the therapeutic potential of auranofin in oncology focusing on its ability to synergize with conventional and emerging cancer treatments. Here, we discuss the unique pharmacological properties of auranofin, including thioredoxin reductase inhibition, reactive oxygen species induction, and modulation of key apoptotic pathways. Moreover, this article highlights new recent evidence on its ability to synergize with other cancer treatments such as chemotherapy, immunotherapy, and targeted therapies. Particular emphasis is placed on the role of auranofin in overcoming drug resistance and its potential as an adjuvant in precision medicine. By analyzing both preclinical and clinical data, this review provides critical insights into the repositioning of auranofin as a versatile component in contemporary cancer treatment paradigms, while addressing current challenges and future directions for gold-based therapeutics in oncology. Full article
Show Figures

Figure 1

14 pages, 732 KB  
Article
DECAF: Deconvoluted Extracted Ion Chromatogram-Based Quantification of Therapeutic Oligonucleotides
by Piotr Prostko, Youzhong Liu, Michał Aleksander Ciach, Tatsiana Khamiakova, Thomas De Vijlder and Dirk Valkenborg
Molecules 2026, 31(3), 570; https://doi.org/10.3390/molecules31030570 - 6 Feb 2026
Viewed by 708
Abstract
Accurate quantification in LC–MS experiments becomes challenging when analytes overlap both chromatographically and in mass spectra, as conventional extracted ion chromatogram-based methods can yield biased results by double-counting shared isotope signals. This limitation is particularly relevant for oligonucleotides, where degradation products and synthetic [...] Read more.
Accurate quantification in LC–MS experiments becomes challenging when analytes overlap both chromatographically and in mass spectra, as conventional extracted ion chromatogram-based methods can yield biased results by double-counting shared isotope signals. This limitation is particularly relevant for oligonucleotides, where degradation products and synthetic impurities frequently co-elute with the intended full-length product, complicating relative quantification. To address this, we developed DECAF, a straightforward and computationally efficient procedure for deconvoluting overlapping isotope patterns directly from MS1 data. The method models experimental isotope distributions as mixtures of theoretical templates across retention time, generating deconvoluted ion chromatograms whose peak areas accurately reflect the contributions of individual components. We demonstrate the utility of DECAF on two pharmaceutically relevant oligonucleotide mixture datasets, where it reliably estimated mixing proportions and enabled visualisation of component-specific elution profiles. Analysis of a typical sample required one to two minutes, underscoring the method’s practical efficiency. DECAF provides a transparent and accessible alternative to existing commercial software, with promising applications in pharmaceutical analysis and quality control. Full article
Show Figures

Figure 1

13 pages, 691 KB  
Article
Simultaneous UHPLC-UV Determination of Hericenones, Hericenes, Erinacines and Ergosterol in Hericium erinaceus Raw Materials or Products
by Yijin Tang, Ozan Kahraman, Anthony J. Goos and Christine Fields
Molecules 2026, 31(3), 569; https://doi.org/10.3390/molecules31030569 - 6 Feb 2026
Viewed by 1034
Abstract
This study describes a single-laboratory validation of an ultra-high-performance liquid chromatographic (UHPLC) method for the determination of key compounds like hericenones, hericenes, erinacines, and ergosterol in Hericium erinaceus (H. erinaceus, Lion’s Mane) raw materials and finished products. The expanding market for [...] Read more.
This study describes a single-laboratory validation of an ultra-high-performance liquid chromatographic (UHPLC) method for the determination of key compounds like hericenones, hericenes, erinacines, and ergosterol in Hericium erinaceus (H. erinaceus, Lion’s Mane) raw materials and finished products. The expanding market for Hericium erinaceus (Lion’s Mane) has increased the need for practical, routine-ready analytical methods that can quantify characteristic marker compounds and strengthen quality control across both raw materials and finished products. In this study, an ultra-high-performance liquid chromatographic (UHPLC) separation method was developed for the determination of hericenones, hericenes, erinacines, and ergosterol in Hericium erinaceus raw materials and finished products. Under the optimized conditions, the major target analytes—hericenones, hericenes, erinacine A, and ergosterol—were fully resolved (Rs > 1.5) within 38 min using an HSS T3 column at 30 °C. All the peaks in the LC chromatogram of Hericium erinaceus samples and standard solutions were structurally confirmed by LC–UV-MS/MS based on the possible mass spectra. The quantitative calibration curves were linear, covering a range of 10–300 μg/mL for hericenone C, D and E, and hericene A, D and C; 3–100 μg/mL for deacylhericenone and deacylhericene; 1–50 μg/mL for erinacine A, and 5–200 μg/mL for ergosterol. Limits of quantification (LOQs) for hericenone C, D, and E and for hericene A, D, and C were approximately 9.263, 4.545, 4.650, 1.854, 10.72, and 11.18 µg/mL, respectively, while LOQs for deacylhericenone and deacylhericene were 1.083 and 2.109 µg/mL. Erinacine A and ergosterol showed LOQs of 0.642 and 8.352 µg/mL, respectively. The recovery of ergosterol was evaluated for the method at two different levels: 91.6~93.9% for 0.2% spiking and 93.0~102.6% for 0.08% spiking. The method was successfully validated, demonstrating inter-day Relative Standard Deviation (RSD) values between 1.1% and 5.7% for detected analytes across diverse matrices. This validated method provides a consistent quantification of hericenones, hericenes, erinacine A, and ergosterol across a range of commercial products and raw Hericium erinaceus materials, providing a sensitive and reliable tool for product characterization and quality control. This method provides QC laboratories with a robust, UV-based tool for standardized product characterization without requiring mass spectrometry. Full article
Show Figures

Figure 1

19 pages, 4552 KB  
Article
Alkali-Modified Biochar Derived from Waste Bamboo Powder for the Effective Adsorption of Perfluorooctanoic Acid
by Long Lu, Hongbin Wang, Junfeng Zhao, Mei Zhang, Xuying Zheng, Dapeng Luo, Yongliang Sun and Jinyan Yang
Molecules 2026, 31(3), 568; https://doi.org/10.3390/molecules31030568 - 6 Feb 2026
Viewed by 590
Abstract
Bamboo powder waste generated from bamboo processing serves as an ideal feedstock for biochar (BC). This study employed potassium hydroxide (KOH) to modify biochar derived from bamboo powder waste, activating it at different temperatures (700 °C, 800 °C, and 900 °C) to yield [...] Read more.
Bamboo powder waste generated from bamboo processing serves as an ideal feedstock for biochar (BC). This study employed potassium hydroxide (KOH) to modify biochar derived from bamboo powder waste, activating it at different temperatures (700 °C, 800 °C, and 900 °C) to yield samples designated KBC-700, KBC-800, and KBC-900, respectively. The physicochemical properties and pore structures of the modified biochar were characterized using SEM, specific surface area and pore size analysis, FT-IR, Raman spectroscopy, XRD, and zeta potential measurements. The adsorption performance of the modified biochar toward PFOA was investigated using kinetic and thermodynamic models, examining the effects of the solution pH, adsorbent dosage, and temperature. Results indicate that KBC-900 exhibits a significantly enhanced specific surface area (up to 2924.7 m2 g−1), reduced surface oxygen-containing functional groups, increased carbon skeleton aromatization, and expanded mesoporous channels. Under initial conditions of pH = 3 and reaction temperature of 298 K, KBC-900 achieved a PFOA adsorption capacity of 366.7 mg g−1 with a removal efficiency of 91.67%. The adsorption process conformed to pseudo-first-order and pseudo-second-order kinetic models as well as the Freundlich model. The adsorption equilibrium was reached within 12 h, indicating multi-layer adsorption dominated by chemisorption on a heterogeneous surface. Thermodynamic parameters indicate the adsorption reaction is an exothermic process. After five cycles of regeneration, KBC-900 maintained a removal efficiency of 75.69%. This study provides an efficient and reliable solution for removing PFOA from water. Full article
(This article belongs to the Special Issue Innovative Materials for Wastewater Treatment Applications)
Show Figures

Figure 1

28 pages, 2279 KB  
Review
Beyond Resistance: Phenotypic Plasticity in Bacterial Responses to Antibiotics, Oxidative Stress and Antimicrobial Photodynamic Inactivation
by Aleksandra Rapacka-Zdonczyk
Molecules 2026, 31(3), 567; https://doi.org/10.3390/molecules31030567 - 6 Feb 2026
Cited by 2 | Viewed by 876
Abstract
The global challenge of antimicrobial resistance (AMR) has been framed primarily in terms of genetic resistance mechanisms. Nevertheless, bacteria can also survive antimicrobial stress through phenotypic plasticity, resulting in transient, non-genetic states such as tolerance, persistence, and population-level resilience. These phenotypic states complicate [...] Read more.
The global challenge of antimicrobial resistance (AMR) has been framed primarily in terms of genetic resistance mechanisms. Nevertheless, bacteria can also survive antimicrobial stress through phenotypic plasticity, resulting in transient, non-genetic states such as tolerance, persistence, and population-level resilience. These phenotypic states complicate diagnostic efforts, diminish antibiotic efficacy, and contribute to the chronic nature of infections even in the absence of heritable resistance. This review evaluates phenotypic plasticity as a significant yet underrecognized factor in AMR, with a focus on responses to oxidative and photodynamic stress. Key manifestations of plasticity are discussed, including morphological and metabolic remodeling such as filamentation, small-colony variants, and metabolic rewiring, as well as envelope- and biofilm-associated heterogeneity and regulatory flexibility mediated by gene networks and horizontal regulatory transfer. The review highlights plastic responses elicited by reactive oxygen species-mediated stress and antimicrobial photodynamic inactivation, where single-cell heterogeneity, biofilm and mucus barriers, and light-dependent cues influence bacterial survival. Case studies are presented to demonstrate how photodynamic strategies can induce transient protective states and act synergistically with antibiotics, revealing mechanisms of action that extend beyond conventional single-target therapeutic models. Drawing on evidence from single-cell analyses, biofilm ecology, and experimental evolution, this review establishes phenotypic plasticity as a central element in the chemical biology of AMR. Enhanced understanding of plasticity is essential for advancing diagnostics, informing the development of adjuvant therapies, and predicting bacterial responses to novel antimicrobial interventions. Full article
(This article belongs to the Special Issue Chemical Biology of Antimicrobial Resistance, 2nd Edition)
Show Figures

Figure 1

13 pages, 2423 KB  
Article
A DFT Study on Ben(n = 10–12) Clusters with Hydrogen Storage Capacity
by Chunyu Yao, Shunping Shi, Zhanjiang Duan, Xiaoling Liu, Kai Diao, Jiabao Hu and Deliang Chen
Molecules 2026, 31(3), 566; https://doi.org/10.3390/molecules31030566 - 6 Feb 2026
Cited by 1 | Viewed by 647
Abstract
Hydrogen energy has garnered widespread attention as a clean energy source. This study employs density functional theory (DFT) to systematically investigate the hydrogen storage performance of Ben(n = 10–12) clusters. The results reveal that hollow spherical Ben clusters exhibit excellent [...] Read more.
Hydrogen energy has garnered widespread attention as a clean energy source. This study employs density functional theory (DFT) to systematically investigate the hydrogen storage performance of Ben(n = 10–12) clusters. The results reveal that hollow spherical Ben clusters exhibit excellent hydrogen storage capacity while maintaining good thermal stability even after H2 adsorption at room temperature. Specifically, Be10, Be11 and Be12 clusters can adsorb 26, 28, and 30 H2 molecules, achieving hydrogen storage densities of 31.96 wt%, 31.87 wt%, and 35.87 wt%, respectively—far exceeding the U.S. Department of Energy’s target of 5.5 wt%. Calculations indicate an average adsorption energy between 0.16 and 0.19 eV/H2, which lies between physisorption and chemisorption. IGMH isosurface analysis confirms the physisorption characteristics of H2 molecules. PDOS analysis reveals that the hydrogen storage mechanism primarily originates from H2 molecular polarization and van der Waals forces arising from orbital hybridization between hydrogen atoms and the substrate. Desorption temperature calculations show that, above 216 K, this material demonstrates potential for reversible hydrogen storage. This study demonstrates that these three hollow spherical beryllium cluster systems are ideal candidates for achieving ultra-high-capacity reversible hydrogen storage. Full article
(This article belongs to the Special Issue Advances in Density Functional Theory (DFT) Calculation)
Show Figures

Graphical abstract

28 pages, 1351 KB  
Review
Small Particles, Big Impact: Inorganic Nanotechnology for Glioblastoma
by Klaudia Dynarowicz, David Aebisher, Jakub Tylutki, Nazarii Kozak, Aleksandra Kawczyk-Krupka and Dorota Bartusik-Aebisher
Molecules 2026, 31(3), 565; https://doi.org/10.3390/molecules31030565 - 6 Feb 2026
Viewed by 1182
Abstract
Background: Glioblastoma Multiforme (GBM) is one of the most aggressive primary brain tumors, with a median survival of only 15–17 months. Treatment failure is largely driven by the Blood–Brain Barrier (BBB), which restricts the delivery of most conventional therapeutics and shields invasive tumor [...] Read more.
Background: Glioblastoma Multiforme (GBM) is one of the most aggressive primary brain tumors, with a median survival of only 15–17 months. Treatment failure is largely driven by the Blood–Brain Barrier (BBB), which restricts the delivery of most conventional therapeutics and shields invasive tumor regions from systemic drugs. Approach: This review highlights recent advances in inorganic nanoparticles designed to cross the BBB and target GBM. These platforms, including silica-, metal-, and carbon-based nanomaterials, enable multimodal applications such as tumor imaging, localized hyperthermia, and selective induction of cancer cell death. Functionalization with targeting ligands or surface modifications further enhances tumor penetration and therapeutic efficacy. Outlook: Despite promising preclinical results, clinical translation requires careful optimization of nanoparticle properties to minimize toxicity and immune clearance. Understanding these challenges provides a roadmap for the development of more effective nanomedicine strategies aimed at improving outcomes for GBM patients. Full article
Show Figures

Figure 1

33 pages, 6390 KB  
Article
Effect of n-Octadecylphosphonic Acid Coating on Zeolite 5A for Adsorptive Separation of Carbon Dioxide and Propylene
by Magdy Abdelghany Elsayed, Shixue Zhou, Chengdong Zhang and Kun Zhang
Molecules 2026, 31(3), 564; https://doi.org/10.3390/molecules31030564 - 5 Feb 2026
Viewed by 663
Abstract
Understanding the competitive adsorption mechanism is crucial for the rational design of CO2 adsorbents. In this work, the surface of zeolite 5A was modified with varying concentrations of n-octadecylphosphonic acid (ODPA) to enhance the adsorptive separation of CO2 over C [...] Read more.
Understanding the competitive adsorption mechanism is crucial for the rational design of CO2 adsorbents. In this work, the surface of zeolite 5A was modified with varying concentrations of n-octadecylphosphonic acid (ODPA) to enhance the adsorptive separation of CO2 over C3H6. With a 0.01 mol/L concentration of ODPA, the modified zeolite 5A achieves CO2/C3H6 ideal selectivity over 73 at 298 K, a substantial improvement over the pristine zeolite 5A, which exhibits a selectivity of 6.07. The Sips isotherm model provides an excellent fit to the experimental data, offering insights into the adsorption mechanism, with a calculated enthalpy change of −30.70 kJ/mol for CO2 and −16.54 kJ/mol for C3H6, along with favorable Gibbs free energy changes ranging from −9.00 to −3.54 kJ/mol for CO2 and −4.96 to −2.04 kJ/mol for C3H6 over the temperature range of 298–373 K. Kinetic analysis reveals faster diffusion in pristine zeolite 5A; however, surface modification significantly enhances CO2/C3H6 selectivity while maintaining balanced adsorption capacity. Adsorption uptakes of CO2 and C3H6 in pristine zeolite 5A follow the pseudo-first-order model and pseudo-second-order model, respectively. Pristine zeolite 5A shows rapid adsorption, with a CO2 adsorption capacity of 4.10 mmol/g with a rate constant of 2.60 min−1, and a C3H6 adsorption capacity of 1.99 mmol/g with a rate constant of 0.34 min−1. The modification with ODPA increases adsorption energy barriers, with CO2 activation energy reaching 5.18 kJ/mol and C3H6 activation energy up to 15.63 kJ/mol, while tetrahydrofuran washing restores site accessibility, demonstrating tunable diffusion and adsorption behavior. These findings lay the foundation for designing high-efficiency, and selective adsorbents through targeted surface engineering. Full article
Show Figures

Graphical abstract

19 pages, 966 KB  
Article
Exploring Castanea sativa Shells (CSSs) as a Source of AKR1B1 and AKR1B10 Inhibitors: From Extraction to Bioactivity Testing
by Lucia Piazza, Lorena Tedeschi, Francesca Felice, Antonella Cecchettini, Elisa Ceccherini, Martina Avanatti, Adrian Florentin Suman, Francesco Balestri, Silvia Rocchiccioli and Giovanni Signore
Molecules 2026, 31(3), 563; https://doi.org/10.3390/molecules31030563 - 5 Feb 2026
Viewed by 568
Abstract
Chestnut shells are widely recognized as a source of bioactive compounds, including polyphenols and other antioxidant molecules. The industrial chestnut food chain generates large amounts of this by-product, which represents both a waste disposal challenge and a potential source of promising biomolecules. Thermal [...] Read more.
Chestnut shells are widely recognized as a source of bioactive compounds, including polyphenols and other antioxidant molecules. The industrial chestnut food chain generates large amounts of this by-product, which represents both a waste disposal challenge and a potential source of promising biomolecules. Thermal treatments occurring during industrial processing, however, may affect both chemical composition and bioactivity. Characterization of the chemical composition and biological activity of chestnut shells can contribute to the valorisation of this industrial by-product. Understanding which molecular alterations are caused by the processing is essential to assess the real potential of chestnut shell biomass. This study provides a comparative analysis of Castanea sativa shells, both raw and industrially processed. Evaluation was performed at different levels, exploiting mass spectrometry–based metabolite profiling, Total Phenolic Index analysis, antioxidant capacity, and inhibitory activity against AKR1B and AKR1B10, two reductases involved in key physiopathologic pathways. A comparison between extraction solvents (water and ethanol) and processing status (raw versus industrially processed) was performed. Overall, our results support the view that chestnut shell residues represent a valuable source of bioactive extracts. In a circular economy framework, such extracts could be developed to act on AKR1B1/AKR1B10 activity and oxidative stress, thereby contributing to the valorisation of chestnut processing by-products. Full article
(This article belongs to the Section Cross-Field Chemistry)
Show Figures

Graphical abstract

18 pages, 1010 KB  
Article
Linking Global Antioxidant Assays with Targeted HPLC Profiling of Prenylated Flavonoids in Humulus lupulus L. Extracts Obtained by Accelerated Solvent Extraction
by Nora Haring, Blažena Drábová and Milan Chňapek
Molecules 2026, 31(3), 562; https://doi.org/10.3390/molecules31030562 - 5 Feb 2026
Viewed by 376
Abstract
Accelerated solvent extraction (ASE) is widely used for recovering bioactive compounds from hops; however, the extent to which global antioxidant assays reflect changes in molecular composition remains unclear. This study evaluated the relationship between global antioxidant parameters and targeted profiling of prenylated flavonoids [...] Read more.
Accelerated solvent extraction (ASE) is widely used for recovering bioactive compounds from hops; however, the extent to which global antioxidant assays reflect changes in molecular composition remains unclear. This study evaluated the relationship between global antioxidant parameters and targeted profiling of prenylated flavonoids in hop extracts obtained under different ASE conditions. Total antioxidant capacity (TAC), total phenolic content (TPC), and concentrations of xanthohumol, isoxanthohumol, and 8-prenylnaringenin were determined in extracts prepared using different solvents, extraction temperatures, and homogenization approaches. Global antioxidant parameters responded consistently to technological factors and exhibited a strong mutual correlation. In contrast, their correlations with individual prenylated flavonoids were moderate, indicating that global assays capture only part of the variability associated with specific bioactive compounds. Extraction temperature emerged as a key modulating factor, inducing compound-specific and partly non-linear responses that were not fully reflected by global antioxidant methods. Principal component analysis confirmed a shared chemical trend linking global and targeted parameters while separating extraction temperature as an independent technological driver. Overall, global antioxidant assays provide a robust but simplified assessment of hop extract quality. Their combination with targeted chromatographic analysis enables more accurate interpretation of extraction behavior and supports informed process optimization aimed at preserving and recovering bioactive compounds. Full article
(This article belongs to the Section Analytical Chemistry)
Show Figures

Graphical abstract

25 pages, 3065 KB  
Article
From Elderflower to Bioactive Extracts: Phytochemical Characterization and Anti-Inflammatory Activity
by Maryna Koval, Sławomir Dresler, Sandra Kowalik, Benedikt Schwarz, Anna Wawruszak, Anna Filipek, Małgorzata Komar, Thomas Jakschitz, Stavros Beteinakis, Günther Bonn, Wojciech Koch and Wirginia Kukula-Koch
Molecules 2026, 31(3), 561; https://doi.org/10.3390/molecules31030561 - 5 Feb 2026
Cited by 1 | Viewed by 891
Abstract
This study provides a phytochemical characterization of Sambucus nigra L. (elderflower) and correlates its chemical profile with anti-inflammatory bioactivity, establishing an optimized extraction methodology. A comparative analysis of ultrasound-assisted extraction (UAE), accelerated solvent extraction (ASE), and shaking maceration was conducted using solvents of [...] Read more.
This study provides a phytochemical characterization of Sambucus nigra L. (elderflower) and correlates its chemical profile with anti-inflammatory bioactivity, establishing an optimized extraction methodology. A comparative analysis of ultrasound-assisted extraction (UAE), accelerated solvent extraction (ASE), and shaking maceration was conducted using solvents of varying polarity (ethanol, ethanol–water mixture (1:1, v/v), and water). High-resolution fingerprinting via HPLC-ESI-QTOF-MS/MS confirmed a rich polyphenolic profile, dominated by flavonoids such as rutin, naringenin, and phenolic acids, notably chlorogenic acid. Quantitative analysis revealed that UAE with ethanol–water mixture (1:1, v/v) for 20 min yielded the highest recovery of rutin (4.87%) and chlorogenic acid (8.22%). The anti-inflammatory potential was evaluated in TNFα-stimulated HaCaT NF-κB Luc reporter keratinocytes. Anhydrous ethanolic extracts demonstrated superior efficacy, significantly inhibiting NF-κB pathway activation at non-cytotoxic concentrations. Chemometric analysis, specifically PLS-DA, identified naringenin as a principal contributor to this observed anti-inflammatory effect. These findings underscore the critical role of solvent selection in modulating the phytochemical composition and resultant bioefficacy of elderflower extracts. The potent, naringenin-driven inhibition of NF-κB in keratinocytes highlights the significant therapeutic potential of optimized S. nigra extracts for applications in dermatological and cosmetic formulations aimed at managing inflammatory skin disorders. Full article
(This article belongs to the Special Issue Anti-Aging and Skin Rejuvenation Ingredients: Design and Research)
Show Figures

Figure 1

22 pages, 4000 KB  
Review
Enhancing Tumor Photodynamic Therapy via Molecular Engineering and Functional Modification of Photosensitizers
by Wei Zheng, Linlin Tao, Xiaofeng Xia, Tianlin Wang and Feiyi Wang
Molecules 2026, 31(3), 560; https://doi.org/10.3390/molecules31030560 - 5 Feb 2026
Cited by 2 | Viewed by 852
Abstract
Photosensitizers are susceptible to interference from the biological internal environment, which largely restricts the clinical application of photodynamic therapy. For instance, most existing photosensitizers tend to aggregate in the biological environment, resulting in a decrease in reactive oxygen species yield; their therapeutic efficacy [...] Read more.
Photosensitizers are susceptible to interference from the biological internal environment, which largely restricts the clinical application of photodynamic therapy. For instance, most existing photosensitizers tend to aggregate in the biological environment, resulting in a decrease in reactive oxygen species yield; their therapeutic efficacy is unsatisfactory in hypoxic tumor environments; they are difficult to accumulate effectively in tumor sites and cannot accurately distinguish between tumors and healthy tissues. To address these issues, this review systematically elaborates on a series of optimization strategies, including improving the intersystem crossing efficiency of photosensitizers through molecular engineering, endowing them with aggregation-induced emission properties, developing type I photosensitizers, and functionalizing photosensitizers by modifying biological proteins, targeting groups, or combining with nanoengineering, aiming to enhance the efficiency of photodynamic therapy. By summarizing the latest research breakthroughs, innovative methods, and emerging applications in this field, the review provides practical solutions and broad application prospects for photodynamic therapy, which is expected to promote the clinical translation and application of photosensitizers. Full article
Show Figures

Figure 1

23 pages, 1333 KB  
Review
Targeting the UPR with Small Molecules: Emerging Strategies for Immune Regulation
by Junyi Duan, Daoyuan Huang and Yick W. Fong
Molecules 2026, 31(3), 559; https://doi.org/10.3390/molecules31030559 - 5 Feb 2026
Viewed by 886
Abstract
The unfolded protein response (UPR) is a highly conserved adaptive mechanism that restores endoplasmic reticulum (ER) homeostasis under stress. Beyond its canonical roles in proteostasis, the UPR has emerged as a central regulator of immune responses across diverse contexts, including infection, inflammation, cancer, [...] Read more.
The unfolded protein response (UPR) is a highly conserved adaptive mechanism that restores endoplasmic reticulum (ER) homeostasis under stress. Beyond its canonical roles in proteostasis, the UPR has emerged as a central regulator of immune responses across diverse contexts, including infection, inflammation, cancer, and autoimmunity. IRE1α, PERK, and ATF6 are three principal UPR sensors that coordinate complex signaling networks to regulate antigen presentation, cytokine production, and immune cell differentiation. This review highlights the molecular mechanisms by which small molecules target the UPR to modulate immune responses. In addition, we highlight stress granules (SGs) and the prevalence of protein–protein interactions mediated by intrinsically low-complexity domains (LCDs) in the UPR as potential new avenues for immune modulation. Finally, we discuss future directions for leveraging UPR modulation in immunotherapy, infectious disease, and chronic inflammatory disorders. Full article
(This article belongs to the Special Issue Small-Molecule Targeted Drugs)
Show Figures

Figure 1

12 pages, 1558 KB  
Article
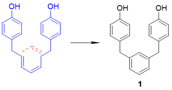
Secondary Metabolites with Antithrombotic and Antioxidant Activities Derived from Cordyceps cicadae
by Xingze Hu, Guisheng Wang, Tao Chen, Xinyue Zhang, Jianying Wu, Guang Shao, Runlin Cai and Zhigang She
Molecules 2026, 31(3), 558; https://doi.org/10.3390/molecules31030558 - 5 Feb 2026
Viewed by 487
Abstract
Cordyceps cicadae, a medicinal and edible entomopathogenic fungus, has been widely used in traditional Chinese medicine for treating various ailments. This study aimed to validate its ethnopharmacological uses by investigating bioactive constituents and their antithrombotic and antioxidant activities. Through various chromatographic separations, [...] Read more.
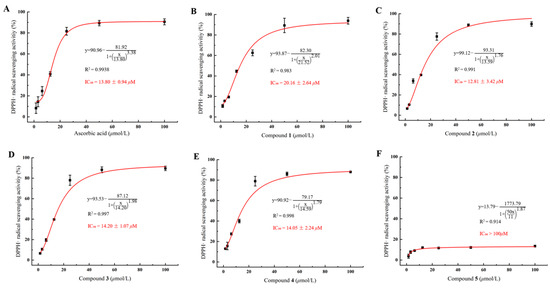
Cordyceps cicadae, a medicinal and edible entomopathogenic fungus, has been widely used in traditional Chinese medicine for treating various ailments. This study aimed to validate its ethnopharmacological uses by investigating bioactive constituents and their antithrombotic and antioxidant activities. Through various chromatographic separations, one unreported flavonoid; quercetin-3-O-β-D-methylglucopyranoside (1); three known flavonoids (24); and one new dicarboxylic acid derivative, cicadae acid (5), were isolated from C. cicadae. Their chemical structures were elucidated by a comprehensive spectroscopic analysis (1D/2D NMR and HRESIMS), electronic circular dichroism (ECD) calculations, a DP4+ probability analysis, and the modified Mosher method. All compounds exhibited significant antithrombotic effects at a concentration of 20 μM in a zebrafish model. Compounds 14 exhibited potent antioxidant activity in the DPPH radical scavenging assay, with IC50 values ranging from 12.81 ± 3.42 to 20.16 ± 2.64 μM. These findings provide scientific evidence supporting the traditional application of C. cicadae, identifying specific flavonoids and dicarboxylic acids as potential therapeutic agents for thrombosis and oxidative stress-related disorders. Full article
Show Figures

Graphical abstract

15 pages, 119310 KB  
Article
Ginsenoside Rg5 Targets PRDX1 to Disrupt Redox Homeostasis and Induce Mitochondria-Dependent Apoptosis in Human Hepatocellular Carcinoma HepG2 Cells
by Hai-Lun Ye, Ya-Ni Wang, Gang-Ao Li, Xing-Hui Jin, Guan-Ting Wu, Yang Li and Ying-Hua Jin
Molecules 2026, 31(3), 557; https://doi.org/10.3390/molecules31030557 - 5 Feb 2026
Viewed by 643
Abstract
Hepatocellular carcinoma (HCC) remains one of the leading causes of cancer-related mortality worldwide, with limited therapeutic options and poor clinical outcomes. Mounting evidence suggests that targeting cancer-specific metabolic and redox adaptations represents a promising therapeutic strategy. Peroxiredoxin 1 (PRDX1), a key antioxidant enzyme [...] Read more.
Hepatocellular carcinoma (HCC) remains one of the leading causes of cancer-related mortality worldwide, with limited therapeutic options and poor clinical outcomes. Mounting evidence suggests that targeting cancer-specific metabolic and redox adaptations represents a promising therapeutic strategy. Peroxiredoxin 1 (PRDX1), a key antioxidant enzyme that is frequently overexpressed in HCC, enables tumor cells to neutralize excessive reactive oxygen species (ROS), thereby sustaining survival and conferring therapeutic resistance. In this study, using human hepatocellular carcinoma HepG2 cells as an in vitro model, we identify ginsenoside Rg5 (Rg5) as a previously unrecognized small-molecule inhibitor of PRDX1. Structural and functional analyses demonstrate that Rg5 directly binds to the Asn145 residue of PRDX1, effectively suppressing its peroxidase activity. Mechanistically, this inhibition disrupts ROS detoxification in HepG2 cells, leading to mitochondrial ROS accumulation, activation of the intrinsic apoptotic pathway, and consequent HepG2 cell death. Additionally, Rg5 not only suppresses HepG2 cell survival but also acts synergistically with doxorubicin, a first-line chemotherapeutic agent, to markedly enhance antitumor efficacy and potentially mitigate chemoresistance. Collectively, these findings suggest that PRDX1 inhibition may represent a broadly exploitable vulnerability in liver cancer and establish Rg5 as a promising candidate for developing targeted and combinatorial therapies against HCC. Full article
Show Figures

Graphical abstract

19 pages, 4551 KB  
Review
Fatty Acid Amide Hydrolase Signaling and Ovarian Disorders: From Molecular Mechanism to Clinical Significance
by Qinghe Lin, Zhenghong Zhang, Defan Wang, Fan Wang and Zhengchao Wang
Molecules 2026, 31(3), 556; https://doi.org/10.3390/molecules31030556 - 5 Feb 2026
Viewed by 1826
Abstract
Fatty acid amide hydrolase (FAAH) is a central component of the endocannabinoid system (ECS), where it primarily regulates intracellular levels of anandamide (AEA) through enzymatic hydrolysis. Although FAAH has been extensively studied in neural and immune contexts, its involvement in female reproductive physiology [...] Read more.
Fatty acid amide hydrolase (FAAH) is a central component of the endocannabinoid system (ECS), where it primarily regulates intracellular levels of anandamide (AEA) through enzymatic hydrolysis. Although FAAH has been extensively studied in neural and immune contexts, its involvement in female reproductive physiology is receiving increasing attention. Accumulating evidence indicates that FAAH participates in several important ovarian processes, including follicular development, steroid hormone synthesis, ovulation, and luteal function. In this review, we outline the biochemical properties of FAAH and its spatial distribution in ovarian tissues, with a particular focus on how FAAH-mediated AEA metabolism contributes to intraovarian signaling. Furthermore, we highlight the potential implications of altered FAAH activity in ovarian disorders such as polycystic ovary syndrome (PCOS), premature ovarian insufficiency (POI), and infertility. By integrating molecular observations with clinical findings, this work provides updated perspectives on FAAH as both a physiological regulator and a potential therapeutic target in reproductive medicine. Full article
(This article belongs to the Special Issue Signaling Pathways as Targets in Disease Therapy)
Show Figures

Graphical abstract

21 pages, 5158 KB  
Article
Natural Isothiocyanates Block Adhesion and Invasion of Gemcitabine- and Cisplatin-Resistant Bladder Cancer Cell Lines
by Jochen Rutz, Timothy Grein, Marina Laqua, Kenza Benhassine, Eren Perktas, Jindrich Cinatl, Anita Thomas, Felix K.-H. Chun, Axel Haferkamp, Eva Juengel, Igor Tsaur, Sascha D. Markowitsch and Roman A. Blaheta
Molecules 2026, 31(3), 555; https://doi.org/10.3390/molecules31030555 - 5 Feb 2026
Viewed by 881
Abstract
Aggressive metastatic progression often develops in bladder cancer patients with acquired cisplatin or gemcitabine resistance. The potential of the natural isothiocyanates allyl-isothiocyanate (AITC), butyl-isothiocyanate (BITC), and phenylethyl-isothiocyanate (PEITC) to inhibit adhesion and migration of cisplatin- or gemcitabine-resistant and sensitive RT112, T24, and TCCSUP [...] Read more.
Aggressive metastatic progression often develops in bladder cancer patients with acquired cisplatin or gemcitabine resistance. The potential of the natural isothiocyanates allyl-isothiocyanate (AITC), butyl-isothiocyanate (BITC), and phenylethyl-isothiocyanate (PEITC) to inhibit adhesion and migration of cisplatin- or gemcitabine-resistant and sensitive RT112, T24, and TCCSUP bladder cancer cell lines was investigated. Parameters determined were: cell interaction with collagen or fibronectin, chemotaxis, and membrane receptors involved in adhesion (total and activated integrins β1, β4, β5, CD44s, and CD44v3-v7). CD44s’ location and adhesion- and migration-related signaling proteins were determined. AITC blocked adhesion of almost all sensitive and resistant cancer cells. PEITC and BITC suppressed fibronectin interaction of sensitive and resistant RT112. All three isothiocyanates diminished chemotaxis in all cell lines. Integrin expression was differentially altered but CD44s and CD44v were not altered. BITC and PEITC translocated CD44s from the cell membrane to cytoplasm. The tumor suppressor E-cadherin increased, whereas focal adhesion kinase (FAK), linked to integrin signaling, was deactivated after isothiocyanate treatment. Blocking FAK, β1, β4, or β5 was associated with reduced chemotaxis. Thus, AITC, BITC, and PEITC blocked adhesion and migration in cisplatin- and gemcitabine-resistant bladder cancer cells. This was associated with altered integrin expression and signaling, CD44s translocation, and enhanced E-cadherin. Full article
(This article belongs to the Section Natural Products Chemistry)
Show Figures

Graphical abstract

22 pages, 5147 KB  
Article
A UHPLC-Orbitrap-MS Metabolomics Strategy Reveals Glycerophospholipid Metabolic Remodeling Is Associated with the Anti-Arthritic Effect of Glycyrrhiza Protein–Paeoniflorin Nanoparticles via PI3K/AKT/NLRP3 Axis
by Na Zhang, Xiaoyun Yang, Cui Li, Miaoxin Huo, Yuan Gao, Dong Bai and Yuqin Yang
Molecules 2026, 31(3), 554; https://doi.org/10.3390/molecules31030554 - 5 Feb 2026
Viewed by 594
Abstract
Rheumatoid arthritis involves chronic synovitis and immune-metabolic dysregulation, highlighting a need for multi-target therapies that jointly modulate metabolism and inflammation. We developed glycyrrhiza protein–paeoniflorin self-assembled nanoparticles (GP-PF NPs) and investigated their anti-arthritic mechanism in adjuvant-induced arthritis (AIA) mice, using UHPLC-Orbitrap-MS-based metabolomics. Male C57BL/6 [...] Read more.
Rheumatoid arthritis involves chronic synovitis and immune-metabolic dysregulation, highlighting a need for multi-target therapies that jointly modulate metabolism and inflammation. We developed glycyrrhiza protein–paeoniflorin self-assembled nanoparticles (GP-PF NPs) and investigated their anti-arthritic mechanism in adjuvant-induced arthritis (AIA) mice, using UHPLC-Orbitrap-MS-based metabolomics. Male C57BL/6 mice (n = 42) were assigned to the control, model, GP-PF NPs, paeoniflorin, glycyrrhiza protein, physical mixture, and celecoxib groups. All groups except controls received complete Freund’s adjuvant, and treatments were given intraperitoneally for 10 days. GP-PF NPs produced the greatest reduction in paw thickness versus the model (p < 0.0001) and outperformed all other active treatments, which was consistent with the improved histopathology. UHPLC-Orbitrap-MS detected 473 serum metabolites, and the model group showed 59 significant changes versus the control. GP-PF NPs significantly modulated 108 metabolites and yielded robust OPLS-DA separation from the model (R2Y = 0.98; Q2 = 0.742). Venn and pathway analyses identified 43 NP-specific metabolites enriched in glycerophospholipid metabolism, including glycerophosphocholine, 1-oleylglycerophosphocholine, PE (16:0/16:0), phosphocholine, and sphingosine-1-phosphate. These metabolites were selectively normalized toward control levels by GP-PF NPs. qPCR further showed that GP-PF NPs significantly reduced synovial PI3K, AKT, mTOR, NLRP3, Caspase-1, and GSDMD mRNA overexpression (all p < 0.001 vs. model). Correlation analysis indicated significant associations between key serum lipids and synovial genes (e.g., PI3K positively correlated with several metabolites, r = 0.71–0.82; mTOR negatively correlated with sphinganine 1-phosphate and glycerophosphocholine, r = −0.65 and −0.54). These data suggest that GP-PF NPs ameliorate AIA and are associated with the normalization of glycerophospholipid-related metabolic perturbations and reduced synovial mRNA expression of the PI3K/AKT/mTOR-NLRP3 pathway, supporting their potential as a metabolism-inflammation preclinical oriented anti-arthritic nanomedicine. Full article
Show Figures

Graphical abstract

20 pages, 1583 KB  
Article
Pick-Up of Organic Molecules by Mixed Ar Clusters: A Function of Gas Properties and Composition
by Jernej Ekar and Oksana Plekan
Molecules 2026, 31(3), 553; https://doi.org/10.3390/molecules31030553 - 5 Feb 2026
Viewed by 603
Abstract
Clusters present an intriguing field of research, with their properties bridging the gap between an isolated atom/molecule and a bulk. They can act as a substrate for dopant molecules picked up on the fly and located on or inside the cluster. Our research [...] Read more.
Clusters present an intriguing field of research, with their properties bridging the gap between an isolated atom/molecule and a bulk. They can act as a substrate for dopant molecules picked up on the fly and located on or inside the cluster. Our research on Ar clusters reveals that gas pressure and composition are crucial parameters determining the pickup probability for molecules such as adenine, uracil, glycine, and ascorbic acid. For pure Ar expansion, the most intense molecular signals are observed in the stagnation pressure range between 10 and 30 bar. Adding up to 33 mol% of He or O2 at fixed total pressure causes no change in the intensity of dopant and Ar oligomer signals. The addition of N2O or CO2 results in a significant intensity drop, with signals from the molecule and Ar oligomers disappearing above 3 mol% of N2O or CO2. The opposite effects are observed with the Ar-H2 mixture at a pressure of 25 bar. Optimal results are obtained for H2 concentrations between 40 and 50 mol% versus D2 concentrations between 20 and 35 mol%. Substitution of Ar with an Ar-H2 mixture causes signal intensities of dopants and Ar oligomers to increase by more than threefold. Full article
(This article belongs to the Special Issue The 30th Anniversary of Molecules—Recent Advances in Nanochemistry)
Show Figures

Graphical abstract

14 pages, 2525 KB  
Article
Releasing the Constraints on the Catalytic Performance of Ballast Stone in Co-N-C Materials
by Mingzhu Gao, Xiaogeng Zhao, Xingmian Zhang, Yunhui Hao, Junna Feng, Hong Su, Changbin Zhu, Shengman Wang, Xue Li, Chun Wang, Junmin Wang and Cheng Feng
Molecules 2026, 31(3), 552; https://doi.org/10.3390/molecules31030552 - 5 Feb 2026
Viewed by 481
Abstract
For Co-N-C materials prepared under high-temperature calcination conditions, the formation of Co nanoparticles occurs when the metal loading exceeds 2%. Typically, CoNx is regarded as the primary active site of the catalyst, while Co nanoparticles are considered to possess limited catalytic activity. Consequently, [...] Read more.
For Co-N-C materials prepared under high-temperature calcination conditions, the formation of Co nanoparticles occurs when the metal loading exceeds 2%. Typically, CoNx is regarded as the primary active site of the catalyst, while Co nanoparticles are considered to possess limited catalytic activity. Consequently, within Co-N-C materials, Co nanoparticles are often likened to ‘ballast stone’ in a catalyst. In the model reaction of formic acid dehydrogenation, we incorporated boron into the precursor, thereby enhancing the electronic metal-support interactions (EMSI) between Co nanoparticles and carbon carriers. Consequently, this modification resulted in a catalytic performance of Co nanoparticles that was comparable to that of Co single-atom catalysts (SACs). Full article
(This article belongs to the Special Issue 30th Anniversary of Molecules—Recent Advances in Applied Chemistry)
Show Figures

Figure 1

33 pages, 1962 KB  
Review
Iodinated Contrast Media—From Clinical Use to Environmental Concern and Treatment Possibilities
by Katarzyna Wrzesińska, Michał Kwiatkowski, Piotr Terebun, Dawid Zarzeczny, Agata Sumara, Tomoyuki Murakami, Nobuya Hayashi, Frantisek Krcma, Evgenia Benova, Karol Hensel, Zdenko Machala, Emilia Fornal and Joanna Pawłat
Molecules 2026, 31(3), 551; https://doi.org/10.3390/molecules31030551 - 4 Feb 2026
Cited by 1 | Viewed by 1507
Abstract
Iodine-based contrast agents (ICMs) are crucial substances in medical imaging because of their potent X-ray characteristics and chemical stability. However, their persistence and poor removal in conventional wastewater treatment have led to increasing environmental concern. Although ICMs exhibit low acute toxicity, their transformation [...] Read more.
Iodine-based contrast agents (ICMs) are crucial substances in medical imaging because of their potent X-ray characteristics and chemical stability. However, their persistence and poor removal in conventional wastewater treatment have led to increasing environmental concern. Although ICMs exhibit low acute toxicity, their transformation during water disinfection can generate iodine-based disinfection by-products (I-DBPs), like iodo-trihalomethanes, which display notable cytotoxic, genotoxic, and ecotoxic effects and compromise drinking water quality. Advanced oxidation processes (AOPs) have become promising methods for breaking down persistent ICMs and limiting the formation of I-DBPs. Techniques including ozonation, UV/H2O2, UV/chlorine, photocatalysis with TiO2, Fenton reactions, and electrochemical oxidation utilize highly reactive radicals to decompose persistent compounds like iopamidol, iohexol, iopromide, and diatrizoate. Despite high degradation efficiencies under laboratory conditions, limitations such as incomplete mineralization, secondary product formation, and elevated operational costs hinder large-scale implementation. Future research should focus on optimizing AOP conditions under realistic water matrices, evaluating by-product toxicity, and developing cost-effective hybrid systems. Advancing these technologies is critical to reducing the environmental burden of ICMs and safeguarding aquatic ecosystems and public health. Full article
(This article belongs to the Special Issue Review Papers in Physical Chemistry)
Show Figures

Graphical abstract

16 pages, 1796 KB  
Article
Comprehensive Profiling of Triglycerides in Wild Eastern Mediterranean Echium Seed Oil Using Paternò–Büchi Modulated Lipidomics
by Manal Alhusban, Suha Telfah, Mohammad M. Al-Gharaibeh, Sanaa Bardaweel, Raghad Alkadri and Fang Wei
Molecules 2026, 31(3), 550; https://doi.org/10.3390/molecules31030550 - 4 Feb 2026
Viewed by 642
Abstract
Currently, ω-3 polyunsaturated fatty acids (PUFAs), which have become popular as dietary supplements, are limited by a shortage in supply. Thus, finding safe, effective alternatives is crucial. Echium seed oil (ESO), rich in α-linolenic acid (ALA, 18:3ω-3) and stearidonic acid (SDA, 18:4ω-3), surpasses [...] Read more.
Currently, ω-3 polyunsaturated fatty acids (PUFAs), which have become popular as dietary supplements, are limited by a shortage in supply. Thus, finding safe, effective alternatives is crucial. Echium seed oil (ESO), rich in α-linolenic acid (ALA, 18:3ω-3) and stearidonic acid (SDA, 18:4ω-3), surpasses many other botanical seed oils. In this study, a pseudotargeted approach was applied to characterize the lipidomic profile of two unexplored Echium species from the Mediterranean region. Our findings established Echium glomeratum as a rich source of ω-3 fatty acids (FAs), exceeding many other species in both quality and quantity. E. glomeratum possesses different FAs and triglyceride (TG) profiles compared to E. judaeum, with the ω-3:ω-6 ratio being 3.5 and 1.3, respectively. This corresponds to higher quantities of ALA (45.50%) and SDA (12.59%) in E. glomeratum. Triglycerides (TGs) comprise 93% of the total lipid content in ESO. This study also profiled the most abundant TGs (50–60 carbons) from both species through comprehensive assignment of the olefination patterns. The E. glomeratum oil profile, containing a higher ω-3 PUFA concentration, was further screened for cytotoxic and antioxidant activities. Our preliminary results demonstrated that E. glomeratum ESO may significantly suppress colon cancer cell growth. Full article
(This article belongs to the Special Issue New Achievements and Challenges in Food Chemistry, 2nd Edition)
Show Figures

Figure 1

28 pages, 27267 KB  
Article
Selective Cytotoxic and Antiproliferative Effects of Extracts from Four Mexican Medicinal Plants in Human Cancer and Non-Cancerous Cell Lines
by Joel Daniel Castañeda-Espinoza, Yessica Arisbeth Alvarez Soto, Silvia Marquina-Bahena, Guillermo Antonio Madariaga Sosa, Karina Lizbeth Zagal Laguna, Araceli Guerrero-Alonso, Enrique Salas-Vidal, Janette Furuzawa-Carballeda, Juan M. Uriostegui-Velarde, Carlos Mojica Cardoso, Abraham Noé Anzurez Jiménez, Estela Carranza Valencia, Erick Ayala Calvillo and Jessica Nayelli Sánchez-Carranza
Molecules 2026, 31(3), 549; https://doi.org/10.3390/molecules31030549 - 4 Feb 2026
Cited by 1 | Viewed by 931
Abstract
Background: Medicinal plants used in traditional Mexican medicine represent a valuable source of bioactive compounds with potential anticancer activity. Beyond cytotoxic potency, selectivity toward cancer cells over normal cells is a critical toxicological parameter for identifying safer therapeutic candidates. This study aimed [...] Read more.
Background: Medicinal plants used in traditional Mexican medicine represent a valuable source of bioactive compounds with potential anticancer activity. Beyond cytotoxic potency, selectivity toward cancer cells over normal cells is a critical toxicological parameter for identifying safer therapeutic candidates. This study aimed to evaluate the selective cytotoxic and antiproliferative effects of extracts from four Mexican medicinal plants across human cancerous and non-cancerous cell lines. Methods: Hexane, acetone, and methanolic extracts from Semialarium mexicanum, Eryngium heterophyllum, Piper auritum, and Cochlospermum vitifolium were evaluated in a panel of human cancer cell lines and non-tumoral models, including primary human uterine fibroblasts (HUFs). Cytotoxicity was assessed after 48 h of treatment using increasing extract concentrations, and selectivity indices were calculated. Cell cycle distribution and nuclear morphology analyses were performed to explore antiproliferative effects. Additionally, GC–MS-based chemical profiling was conducted on selected extracts to obtain a tentative characterization of major bioactive constituents. Results: The extracts exhibited differential cytotoxic profiles depending on plant species and solvent polarity. The hexane extract of Semialarium mexicanum showed the highest cytotoxic potency and selectivity toward cervical cancer cells, with half-maximal inhibitory concentration (IC50); values of 15.9 ± 1.8 µg/mL and 17.2 ± 2.8 µg/mL in HeLa and SiHa cells, respectively, and selectivity index (SI) values > 5 when compared with primary human uterine fibroblasts (HUF). Extracts of Eryngium heterophyllum displayed moderate cytotoxic activity (IC50 = 20–30 µg/mL in HeLa cells) with intermediate selectivity, whereas Cochlospermum vitifolium showed solvent-dependent effects and Piper auritum exhibited limited cytotoxicity. Cell cycle analysis revealed an increased sub-G1 population, and nuclear morphology assays demonstrated chromatin condensation and fragmentation in cancer cells, supporting an antiproliferative mechanism. GC–MS analysis of the hexane extract of Semialarium mexicanum suggested the presence of triterpenoid-related and other lipophilic compounds potentially associated with its selective anticancer activity. Conclusions: These findings provide in vitro evidence of selective anticancer activity of Mexican medicinal plant extracts and establish a basis for future mechanistic studies medicinal plant extracts and lay the groundwork for future mechanistic investigations. Full article
Show Figures

Graphical abstract

Previous Issue
Back to TopTop