Alkali-Modified Biochar Derived from Waste Bamboo Powder for the Effective Adsorption of Perfluorooctanoic Acid
Abstract
1. Introduction
2. Results and Discussion
2.1. Characterization of Biochar
2.1.1. SEM
2.1.2. Specific Surface Area and Pore Structure
2.1.3. FTIR
2.1.4. Raman Spectroscopy
2.1.5. XRD Analysis
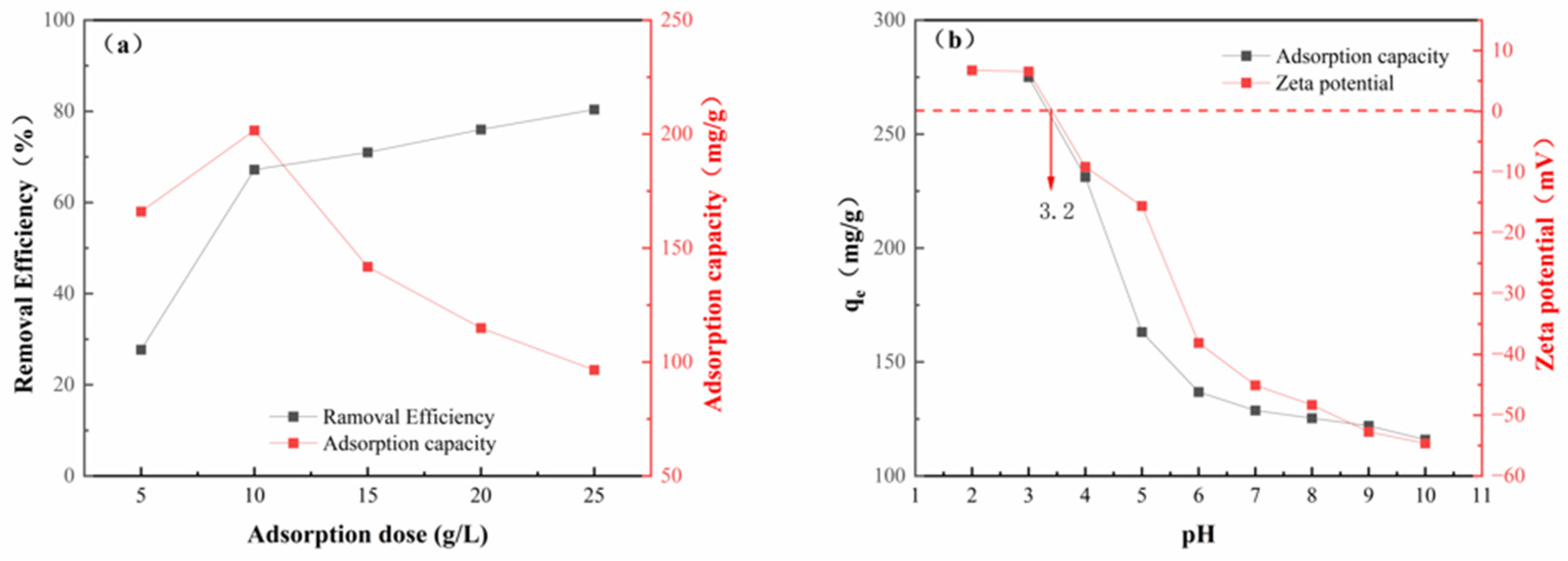
2.2. Effects of Biochar Dosage and pH Value
2.3. Influence of Reaction Time on PFOA Adsorption
2.4. Influence of Initial Concentration on PFOA Adsorption
2.5. Thermodynamic Analysis
2.6. Practical Application and Regenerative Performance
3. Materials and Methods
3.1. Materials, Reagents, and Instruments
3.2. Preparation of Adsorbents
3.3. Characterization of Adsorbents
3.4. Adsorption Experiment
3.4.1. Biochar Dosage and pH Value Effects Experiment
3.4.2. Adsorption Kinetics
3.4.3. Adsorption Isotherms
3.4.4. Adsorption Thermodynamics
3.4.5. Recycling and Practical Application Experiments
3.5. Data Statistics and Analysis
4. Conclusions
Author Contributions
Funding
Institutional Review Board Statement
Informed Consent Statement
Data Availability Statement
Conflicts of Interest
References
- Zhang, Y.; Wang, B.; Ma, S.; Zhang, Q. Adsorption of per- and polyfluoroalkyl substances (PFAS) from water with porous organic polymers. Chemosphere 2023, 346, 140600. [Google Scholar] [CrossRef]
- Ahmad, A.; Tian, K.; Tanyu, B.; Foster, G.D. Sorption and Diffusion of Per-Polyfluoroalkyl Substances (PFAS) in High-Density Polyethylene Geomembranes. Waste Manag. 2023, 174, 15–23. [Google Scholar] [CrossRef] [PubMed]
- Gu, W.; Wu, J.; Lou, M.; Wang, J.; Jiang, S.; Li, G.; Li, J. Treating PFOA Emulsified Oil in Membrane Distillation: Relationship between Membrane Fouling and Surface Properties. J. Water Process Eng. 2025, 77, 108601. [Google Scholar] [CrossRef]
- Chen, A.; Ji, H.; Xu, Z.; Wang, Z.; Xie, H.; Zhang, L. Unique S-Scheme Structures in Electrostatic Self-Assembled ReS2-TiO2 for High-Efficiency Perfluorooctanoic Acid Removal. J. Colloid Interface Sci. 2025, 681, 63–70. [Google Scholar] [CrossRef]
- Galloway, J.E.; Moreno, A.V.; Lindstrom, A.B.; Strynar, M.J.; Newton, S.; May, A.A.; Weavers, L.K. Evidence of Air Dispersion: HFPO–DA and PFOA in Ohio and West Virginia Surface Water and Soil near a Fluoropolymer Production Facility. Environ. Sci. Technol. 2020, 54, 7175–7184. [Google Scholar] [CrossRef]
- Wee, S.Y.; Aris, A.Z. Environmental Impacts, Exposure Pathways, and Health Effects of PFOA and PFOS. Ecotoxicol. Environ. Saf. 2023, 267, 115663. [Google Scholar] [CrossRef]
- Li, P.; Xiao, Z.; Xie, X.; Li, Z.; Yang, H.; Ma, X.; Li, J. Perfluorooctanoic Acid (PFOA) Changes Nutritional Compositions in Lettuce (Lactuca sativa) Leaves by Activating Oxidative Stress. Environ. Pollut. 2021, 285, 117246. [Google Scholar] [CrossRef] [PubMed]
- Yu, H.; Chen, Y.-F.; Guo, H.-Q.; Ma, W.-T.; Li, J.; Zhang, S.-G.; Li, K.-X. Preparation of Molecularly Imprinted Carbon Microspheres by One-Pot Hydrothermal Method and Their Adsorption Properties to Perfluorooctane Sulfonate. Chin. J. Anal. Chem. 2019, 47, 1776–1784. [Google Scholar] [CrossRef]
- van der Veen, I.; Fiedler, H.; de Boer, J. Assessment of the Per- and Polyfluoroalkyl Substances Analysis under the Stockholm Convention—2018/2019. Chemosphere 2023, 313, 137549. [Google Scholar] [CrossRef]
- Liu, Y.; Zhang, Y.; Li, J.; Wu, N.; Li, W.; Niu, Z. Distribution, Partitioning Behavior and Positive Matrix Factorization-Based Source Analysis of Legacy and Emerging Polyfluorinated Alkyl Substances in the Dissolved Phase, Surface Sediment and Suspended Particulate Matter around Coastal Areas of Bohai Bay, China. Environ. Pollut. 2019, 246, 34–44. [Google Scholar] [CrossRef]
- Pan, X.; Ye, J.; Zhang, H.; Tang, J.; Pan, D. Occurrence, Removal and Bioaccumulation of Perfluoroalkyl Substances in Lake Chaohu, China. Int. J. Environ. Res. Public Health 2019, 16, 1692. [Google Scholar] [CrossRef]
- Yuan, W.; Song, S.; Lu, Y.; Shi, Y.; Yang, S.; Wu, Q.; Sun, J. Legacy and Alternative Per- and Polyfluoroalkyl Substances (PFASs) in the Bohai Bay Rim: Occurrence, Partitioning Behavior, Risk Assessment, and Emission Scenario Analysis. Sci. Total Environ. 2024, 912, 168837. [Google Scholar] [CrossRef]
- Xu, W.; Li, S.; Wang, W.; Sun, P.; Yin, C.; Li, X.; Yu, L.; Ren, G.; Peng, L.; Wang, F. Distribution and Potential Health Risks of Perfluoroalkyl Substances (PFASs) in Water, Sediment, and Fish in Dongjiang River Basin, Southern China. Environ. Sci. Pollut. Res. 2023, 30, 99501–99510. [Google Scholar] [CrossRef] [PubMed]
- Li, L.; Cao, S.; Shang, X.; Zhang, L.; Guan, J.; Shao, K.; Qin, N.; Duan, X. Occurrence of Per- and Polyfluoroalkyl Substances in Drinking Water in China and Health Risk Assessment Based on a Probabilistic Approach. J. Hazard. Mater. 2024, 480, 136072. [Google Scholar] [CrossRef] [PubMed]
- Pavithra, K.; Sharma, B.M.; Chakraborty, P. An Overview of the Occurrence and Remediation of Perfluorooctanoic Acid (PFOA) in Wastewater—Recommendations for Cost-Effective Removal Techniques in Developing Economies. Curr. Opin. Environ. Sci. Health 2024, 41, 100565. [Google Scholar] [CrossRef]
- Trojanowicz, M.; Bojanowska-Czajka, A.; Bartosiewicz, I.; Kulisa, K. Advanced Oxidation/Reduction Processes Treatment for Aqueous Perfluorooctanoate (PFOA) and Perfluorooctanesulfonate (PFOS)—A Review of Recent Advances. Chem. Eng. J. 2018, 336, 170–199. [Google Scholar] [CrossRef]
- Wang, Z.; Li, M.; Cao, W.; Liu, Z.; Kong, D.; Jiang, W. Efficient Photocatalytic Degradation of Perfluorooctanoic Acid by Bismuth Nanoparticle-Modified Titanium Dioxide. Sci. Total Environ. 2024, 927, 172028. [Google Scholar] [CrossRef]
- Harris, J.D.; Coon, C.M.; Doherty, M.E.; McHugh, E.A.; Warner, M.C.; Walters, C.L.; Steel, J.J. Engineering and Characterization of Dehalogenase Enzymes from Delftia acidovorans in Bioremediation of Perfluorinated Compounds. Synth. Syst. Biotechnol. 2022, 7, 671–676. [Google Scholar] [CrossRef]
- Xie, R.; Zhou, L.; Smith, A.E.; Almquist, C.B.; Berberich, J.A.; Danielson, N.D. A Dual-Grafted Fluorinated Hydrocarbon Amine Weak Anion Exchange Resin Polymer for Adsorption of Perfluorooctanoic Acid from Water. J. Hazard. Mater. 2022, 431, 128521. [Google Scholar] [CrossRef]
- Han, C.; Liu, Z.; Teng, Y.; Zhang, H.; Li, Z.; Xu, T.; Zhao, X.; Teng, F. Careful Attention to the Ecoto-Xicity and Secondary Water Pollution of Degradation By-Products. Environ. Res. 2025, 271, 121091. [Google Scholar] [CrossRef]
- Kathol, M.; Azme, A.; Saifur, S.; Aich, N.; Saha, R. Unique Adaptations of the Photosynthetic Microbe Rhodopseudomonas palustris to the Toxicological Effects of Perfluorooctanoic Acid. Environ. Sci. Adv. 2025, 3, 1122–1135. [Google Scholar] [CrossRef]
- Liu, Z.; Liao, M.; Wang, L.; Zhuang, S. Recent Advancements in PFAS Adsorptive Removal Using MOFs and COFs: A Review. Rev. Environ. Sci. Bio/Technol. 2024, 23, 511–543. [Google Scholar] [CrossRef]
- Menezes, A.; Goveas, L.C.; Vinayagam, R.; Selvaraj, R. Harnessing Carbon-Based Adsorbents for Poly- and Perfluorinated Substance Removal: A Comprehensive Review. J. Water Process Eng. 2025, 69, 106621. [Google Scholar] [CrossRef]
- Kabiri, S.; Navarro, D.A.; Hamad, S.A.; Grimison, C.; Higgins, C.P.; Mueller, J.F.; McLaughlin, M.J. Physical and Chemical Properties of Carbon-Based Sorbents That Affect the Removal of Per- and Polyfluoroalkyl Substances from Solution and Soil. Sci. Total Environ. 2023, 875, 162653. [Google Scholar] [CrossRef]
- Kasalica, K.; Petronijević, N.; Radulović, J.; Beškoski, L.S.; Lješević, M.; Marković, B.; Beškoski, V. Adsorption Analysis of PFOA on Activated Carbon and Ion-Exchange Resin: A Comparative Study Using Four Isotherm Models. J. Serb. Chem. Soc. 2024, 89, 1619–1628. [Google Scholar] [CrossRef]
- Beljin, J.; Đukanović, N.; Anojčić, J.; Simetić, T.; Apostolović, T.; Mutić, S.; Maletić, S. Biochar in the Remediation of Organic Pollutants in Water: A Review of Polycyclic Aromatic Hydrocarbon and Pesticide Removal. Nanomaterials 2024, 15, 26. [Google Scholar] [CrossRef]
- Tripathi, A.; Ekanayake, A.; Tyagi, V.K.; Vithanage, M.; Singh, R.; Rao, Y.R.S. Emerging Contaminants in Polluted Waters: Harnessing Biochar’s Potential for Effective Treatment. J. Environ. Manag. 2025, 373, 123778. [Google Scholar] [CrossRef]
- Akca, M.O.; Bozkurt, P.A.; Gokmen, F.; Akca, H.; Yağcıoğlu, K.D.; Uygur, V. Engineering the Biochar Surfaces Through Feedstock Variations and Pyrolysis Temperatures. Ind. Crops Prod. 2024, 218, 118819. [Google Scholar] [CrossRef]
- Murray, C.C.; Vatankhah, H.; McDonough, C.A.; Nickerson, A.; Hedtke, T.T.; Cath, T.Y.; Bellona, C.L.; Higgins, C.P. Removal of Per- and Polyfluoroalkyl Substances Using Super-Fine Powder Activated Carbon and Ceramic Membrane Filtration. J. Hazard. Mater. 2019, 366, 160–168. [Google Scholar] [CrossRef] [PubMed]
- Lei, X.; Yao, L.; Lian, Q.; Zhang, X.; Wang, T.; Holmes, W.; Zappi, M.E. Enhanced Adsorption of Perfluorooctanoate (PFOA) onto Low-Oxygen Content Ordered Mesoporous Carbon (OMC): Adsorption Behaviors and Mechanisms. J. Hazard. Mater. 2022, 421, 126810. [Google Scholar] [CrossRef] [PubMed]
- Liu, Y.; Liu, Y.; Zhang, A.; Yang, C.; Wang, Y.; Zhou, H.; Liu, Y. Behavior and Mechanism of Perfluorooctane Sulfonate (PFOS) Removal from Wastewater Samples Using Bamboo Powder Biochar. J. Water Process Eng. 2025, 70, 107102. [Google Scholar] [CrossRef]
- Ge, Q.; Li, P.; Liu, M.; Xiao, G.M.; Xiao, Z.Q.; Mao, J.W.; Gai, X.K. Removal of Methylene Blue by Porous Biochar Obtained by KOH Activation from Bamboo Biochar. Bioresour. Bioprocess. 2023, 10, 51. [Google Scholar] [CrossRef]
- Liu, Z.; Gan, H.; Li, X.; Chen, J.; Gao, G. The Degradation of Tetracycline for Peroxymonosulfate Activation with KOH-Modified Bamboo Biochar: Non-Radical Mechanism and Structure Investigation. J. Water Process Eng. 2025, 72, 107414. [Google Scholar] [CrossRef]
- Jha, S.; Pattnaik, F.; Zapata, O.; Acharya, B.; Dalai, A.K. KOH-Assisted Chemical Activation of Camelina Meal (Wild Flax) to Treat PFOA-Contaminated Wastewater. Sustainability 2025, 17, 2170. [Google Scholar] [CrossRef]
- Yang, S.; Liu, G.; Hou, J.; Chen, L.; Li, T.; Dong, Z.; Hua, D. Combining Torrefaction Pretreatment and Activation for Avermectin Mycelial Residues Biochar Upgradation and Structural Modification. Fuel 2025, 384, 133933. [Google Scholar] [CrossRef]
- Dlamini, L.C.; Fakudze, S.; Makombe, G.G.; Muse, S.; Zhu, J.A. Bamboo as a Valuable Resource and Its Utilization in Historical and Modern-Day China. Bioresources 2022, 17, 1926–1938. [Google Scholar] [CrossRef]
- Qin, Q.; Zhong, F.; Song, T.; Yang, Z.; Zhang, P.; Cao, H.; Yao, Z. Optimization of Multiscale Structure and Electrochemical Properties of Bamboo-Based Porous Activated Biochar by Coordinated Regulation of Activation and Air Oxidation. Chem. Eng. J. 2023, 477, 146763. [Google Scholar] [CrossRef]
- Thommes, M.; Kaneko, K.; Neimark, A.V.; Olivier, J.P.; Rodriguez-Reinoso, F.; Rouquerol, J.; Sing, K.S. Physisorption of Gases, with Special Reference to the Evaluation of Surface Area and Pore Size Distribution (IUPAC Technical Report). Pure Appl. Chem. 2015, 87, 1051–1069. [Google Scholar] [CrossRef]
- Monson, P.A. Understanding Adsorption/Desorption Hysteresis for Fluids in Mesoporous Materials Using Simple Molecular Models and Classical Density Functional Theory. Microporous Mesoporous Mater. 2012, 160, 47–66. [Google Scholar] [CrossRef]
- Loucks, R.G.; Reed, R.M.; Ruppel, S.C.; Hammes, U. Spectrum of Pore Types and Networks in Mudrocks and a Descriptive Classification for Matrix-Related Mudrock Pores. Am. Assoc. Pet. Geol. Bull. 2012, 96, 1071–1098. [Google Scholar] [CrossRef]
- Skjennum, K.A.; Krahn, K.M.; Sørmo, E.; Wolf, R.; Goranov, A.I.; Hatcher, P.G. The Impact of Biochar’s Physicochemical Properties on Sorption of Perfluorooctanoic Acid (PFOA). Sci. Total Environ. 2024, 955, 177191. [Google Scholar] [CrossRef]
- Zhou, Y.; Xu, M.; Huang, D.; Xu, L.; Yu, M.; Zhu, Y.; Niu, J. Modulating Hierarchically Microporous Biochar Via Molten Alkali Treatment for Efficient Adsorption Removal of Perfluorinated Carboxylic Acids from Wastewater. Sci. Total Environ. 2021, 757, 143719. [Google Scholar] [CrossRef] [PubMed]
- Krebsbach, S.; He, J.; Adhikari, S.; Olshansky, Y.; Feyzbar, F.; Davis, L.C. Mechanistic Understanding of Perfluorooctane Sulfonate (PFOS) Sorption by Biochars. Chemosphere 2023, 330, 138661. [Google Scholar] [CrossRef]
- Nicholas, H.L.; Mabbett, I.; Apsey, H.; Robertson, I. Physicochemical Properties of Waste Derived Biochar from Community Scale Faecal Sludge Treatment Plants. Gates Open Res. 2022, 6, 96. [Google Scholar] [CrossRef]
- Munira, S.; Dynes, J.J.; Islam, M.; Khan, F.; Adesanya, T.; Regier, T.Z. Relative Proportions of Organic Carbon Functional Groups in Biochars as Influenced by Spectral Data Collection and Processing. Chemosphere 2021, 283, 131023. [Google Scholar] [CrossRef]
- Zhang, M.; Lü, Y.B.; Zhu, Y.T.; Luo, Y.Q.; Li, W.; Li, P.P.; Wang, X.L. Effect of Deashing Treatment on Sorption Kinetics of Naphthalene and 1-Naphthol on Wheat Straw-Derived Biochar. Chemosphere 2020, 256, 127043. [Google Scholar]
- Zhang, K.; Chen, B.; Mao, J.; Zhu, L.; Xing, B. Water Clusters Contributed to Molecular Interactions of Ionizable Organic Pollutants with Aromatized Biochar Via π-PAHB: Sorption Experiments and DFT Calculations. Environ. Pollut. 2018, 240, 342–352. [Google Scholar] [CrossRef]
- Kim, N.H.; Kuila, T.; Lee, J.H. Simultaneous Reduction, Functionalization and Stitching of Graphene Oxide with Ethylenediamine for Composites Application. J. Mater. Chem. A 2013, 1, 1349–1358. [Google Scholar] [CrossRef]
- Wang, T.; Wu, J.; Hu, T.; Wang, C.; Li, S.; Li, Z.; Chen, J. Mechanistic Insights into Adsorption-Desorption of Perfluorooctanoic Acid (PFOA) on Biochars: Effects of Biomass Feedstock and Pyrolysis Temperature, and Implication of Desorption Hysteresis. Sci. Total Environ. 2024, 957, 177668. [Google Scholar] [CrossRef] [PubMed]
- Rohman, G.A.N.; Aziz, M.A.; Nawaz, A.; Elgzoly, M.A.; Hossain, M.M.; Razzak, S.A. High-Performance Biochar from Chlorella Pyrenoidosa Algal Biomass for Heavy Metals Removal in Wastewater. Sep. Purif. Technol. 2024, 341, 126870. [Google Scholar] [CrossRef]
- Siddiqui, M.N.; Ali, M.F.; Shirokoff, J. Use of X-ray Diffraction in Assessing the Aging Pattern of Asphalt Fractions. Fuel 2002, 81, 51–58. [Google Scholar] [CrossRef]
- Omitola, O.B.; Abonyi, M.N.; Akpomie, K.G.; Dawodu, F.A. Adams-Bohart, Yoon-Nelson, and Thomas Modeling of Fixed-Bed Continuous Column Adsorption of Amoxicillin onto Silver Nanoparticle-Maize Leaf Composite. Appl. Water Sci. 2022, 12, 94. [Google Scholar] [CrossRef]
- Liu, N.; Li, Y.; Zhang, M.; Che, N.; Song, X.; Liu, Y.; Li, C. Efficient adsorption of short-chain perfluoroalkyl substances by pristine and Fe/Cu-loaded reed straw biochars. Sci. Total Environ. 2024, 946, 174223. [Google Scholar] [CrossRef] [PubMed]
- Verma, M.; Lee, I.; Hong, Y.; Kumar, V.; Kim, H. Multifunctional β-cyclodextrin-EDTA-chitosan polymer adsorbent synthesis for simultaneous removal of heavy metals and organic dyes from wastewater. Environ. Pollut. 2022, 292, 118447. [Google Scholar] [CrossRef]
- Goss, K.U. The pKa Values of PFOA and Other Highly Fluorinated Carboxylic Acids. Environ. Sci. Technol. 2008, 42, 456–458. [Google Scholar] [CrossRef]
- Saawarn, B.; Mahanty, B.; Hait, S. Adsorption of Perfluorooctanoic Acid (PFOA) from Aqueous Matrices onto Chitosan-Modified Magnetic Biochar: Response Surface Methodology-Based Modeling, Performance, and Mechanism. Environ. Pollut. 2025, 368, 125734. [Google Scholar] [CrossRef] [PubMed]
- Fabregat-Palau, J.; Vidal, M.; Rigol, A. Examining Sorption of Perfluoroalkyl Substances (PFAS) in Biochars and Other Carbon-Rich Materials. Chemosphere 2022, 302, 134733. [Google Scholar] [CrossRef]
- Pila, M.N.; Colasurdo, D.D.; Simonetti, S.I.; Dodero, G.A.; Allegretti, P.E.; Ruiz, D.L.; Laurella, S.L. Adsorption of Three Chlorinated Herbicides on Two Activated Carbons: An Example of the Effect of Surface Charge, Pore Diameter, and Molecular Size on the Adsorption Process. J. Environ. Chem. Eng. 2023, 11, 110532. [Google Scholar]
- Xing, J.; Dong, W.; Liang, N.; Huang, Y.; Wu, M.; Zhang, L.; Chen, Q. Sorption of Organic Contaminants by Biochars with Multiple Porous Structures: Experiments and Molecular Dynamics Simulations Mediated by Three-Dimensional Models. J. Hazard. Mater. 2023, 458, 131953. [Google Scholar] [CrossRef]
- Deng, S.; Nie, Y.; Du, Z.; Huang, Q.; Meng, P.; Wang, B.; Huang, J.; Yu, G. Enhanced Adsorption of Perfluorooctanesulfonic Acid (PFOS) and Perfluorooctanoic Acid (PFOA) by Bamboo-Derived Granular Activated Carbon. J. Hazard. Mater. 2015, 282, 150–157. [Google Scholar] [CrossRef]
- Fagbayigbo, B.O.; Opeolu, B.O.; Fatoki, O.S.; Akenga, T.A.; Olatunji, O.S. Removal of PFOA and PFOS from Aqueous Solutions Using Activated Carbon Produced from Vitis vinifera Leaf Litter. Environ. Sci. Pollut. Res. 2017, 24, 13107–13120. [Google Scholar] [CrossRef] [PubMed]
- Omo-Okoro, P.N.; Curtis, C.J.; Karásková, P.; Melymuk, L.; Oyewo, O.A.; Okonkwo, J.O. Kinetics, Isotherm, and Thermodynamic Studies of the Adsorption Mechanism of PFOS and PFOA Using Inactivated and Chemically Activated Maize Tassel. Water Air Soil Pollut. 2020, 231, 485. [Google Scholar] [CrossRef]
- Niu, B.; Yang, S.; Li, Y.; Zang, K.; Sun, C.; Yu, M.; Chen, L.; Zheng, Y. Regenerable Magnetic Carbonized Calotropis gigantea Fiber for Hydrophobic-Driven Fast Removal of Perfluoroalkyl Pollutants. Cellulose 2020, 27, 5893–5905. [Google Scholar] [CrossRef]
- Zhang, Y.; Tan, X.; Lu, R.; Tang, Y.; Qie, H.; Huang, Z.; Wu, G.; Lin, A. Enhanced Removal of Polyfluoroalkyl Substances by Simple Modified Biochar: Adsorption Performance and Theoretical Calculation. ACS EST Water 2023, 3, 817–826. [Google Scholar] [CrossRef]
- Liu, Z.; Zhang, P.; Wei, Z.; Xiao, F.; Liu, S.; Guo, H.; Li, Y.; Wang, C.; Tan, W. Porous Fe-Doped Graphitized Biochar: An Innovative Approach for Co-Removal of Per- and Polyfluoroalkyl Substances (PFAS) with Different Chain Lengths from Natural Waters and Wastewater. Chem. Eng. J. 2023, 476, 146888. [Google Scholar] [CrossRef]
- Yea, Y.; Kim, G.; Wang, D.; Kim, S.; Yoon, Y.; Elanchezhiyan, S.S.; Park, C.M. Selective Sequestration of Perfluorinated Compounds Using Polyaniline-Decorated Activated Biochar. Chem. Eng. J. 2022, 430, 132837. [Google Scholar] [CrossRef]
- Vyazovkin, S. Misinterpretation of Thermodynamic Parameters Evaluated from Activation Energy and Pre-exponential Factor Determined in Thermal Analysis Experiments. Thermo 2024, 4, 373–381. [Google Scholar] [CrossRef]
- Wu, Y.; Qi, L.; Chen, G. A mechanical investigation of perfluorooctane acid adsorption by engineered biochar. J. Clean. Prod. 2022, 340, 130742. [Google Scholar] [CrossRef]
- Shen, Y.; Guo, J.Z.; Bai, L.Q.; Chen, X.Q.; Li, B. Highly Effective Adsorption of Pb(II) from Solution by Biochar Derived from Torrefaction of Ammonium Persulfate Pre-Treated Bamboo. Bioresour. Technol. 2021, 323, 124616. [Google Scholar] [CrossRef]











| Sample | SBET (m2 g−1) | Smeso (m2 g−1) | Smicro (m2 g−1) | Vmicro (cm3 g−1) | Vmeso (cm3 g−1) | Total Pore Volume (cm3 g−1) | Average Pore Diameter (nm) |
|---|---|---|---|---|---|---|---|
| KBC-700 | 2398.6 | 689.7 | 1708.9 | 0.8420 | 0.4680 | 1.3100 | 2.3194 |
| KBC-800 | 2896.7 | 835.4 | 2061.3 | 0.9780 | 0.5210 | 1.4990 | 2.4294 |
| KBC-900 | 2924.7 | 1090.9 | 1833.8 | 1.0258 | 0.5540 | 1.5798 | 2.7626 |
| Kinetic Models | Parameters | KBC-700 | KBC-800 | KBC-900 |
|---|---|---|---|---|
| Pseudo-first-order | qe (mg g−1) | 299.41 | 329.08 | 362.31 |
| K1 (h−1) | 0.535 | 0615 | 0.695 | |
| R2 | 0.989 | 0.986 | 0.991 | |
| Pseudo-second-order | qe (mg g−1) | 305.74 | 336.35 | 369.49 |
| K2 (g mg−1 h−1) | 0.00289 | 0.00262 | 0.0024 | |
| R2 | 0.995 | 0.995 | 0.995 |
| Sample | T(K) | Langmuir | Freundlich | Sips | |||||||
|---|---|---|---|---|---|---|---|---|---|---|---|
| qm (mg g−1) | KL (L/mg) | R2 | KF (L/mg) | 1/n | R2 | qms (mg/g) | KS (L/mg) | 1/β | R2 | ||
| KBC- 700 | 298 | 419.79 | 0.354 | 0.984 | 113.053 | 0.415 | 0.988 | 426.5 | 0.308 | 0.721 | 0.998 |
| 308 | 390.60 | 0.301 | 0.980 | 99.173 | 0.404 | 0.982 | 396.8 | 0.277 | 0.421 | 0.997 | |
| 318 | 362.06 | 0.274 | 0.974 | 89.775 | 0.391 | 0.992 | 368.2 | 0.251 | 0.224 | 0.997 | |
| KBC- 800 | 298 | 456.04 | 0.668 | 0.983 | 159.511 | 0.414 | 0.987 | 462.3 | 0.972 | 0.561 | 0.997 |
| 308 | 445.65 | 0.522 | 0.987 | 140.626 | 0.416 | 0.987 | 451.7 | 0.750 | 0.421 | 0.998 | |
| 318 | 433.46 | 0.438 | 0.985 | 127.110 | 0.415 | 0.986 | 439.6 | 0.590 | 0.527 | 0.998 | |
| KBC- 900 | 298 | 487.89 | 1.389 | 0.982 | 233.053 | 0.422 | 0.988 | 494.2 | 1.233 | 0.311 | 0.997 |
| 308 | 476.73 | 1.077 | 0.985 | 203.689 | 0.417 | 0.987 | 483.1 | 1.113 | 0.421 | 0.997 | |
| 318 | 466.86 | 0.888 | 0.983 | 183.234 | 0.414 | 0.986 | 473.3 | 1.012 | 0.459 | 0.997 | |
| Adsorbents | Experimental Conditions | Equilibrium Time (h) | PFOA Maximum Adsorption Capacity (mg g−1) | Adsorption Kinetics | Adsorption Isotherm | Ref. |
|---|---|---|---|---|---|---|
| Modified bamboo biochar | 0.1 g·L−1, 81 mg/L PFOA, pH = 5 | 24 h | 476 | Pseudo-second-order | Freundlich | [60] |
| H3PO4 and KOH-modified grape leaf biochar | 50 mg, 30 mL of 1 mg/L PFOA, pH = 4 | 1 h | 78.90 | - | Langmuir | [61] |
| 57.9 | ||||||
| Activated maize tassel | 2.0 g·L−1, 100 mg/L PFOA, pH = 7 | 1 h | 380.32 | Pseudo-second-order | Freundlich | [62] |
| Magnetic carbide fiber | 0.5 g·L−1, 250 mg/L PFOA, pH = 3 | 1 h | 204.7 | Pseudo-second-order | Langmuir | [63] |
| Acid-modified biochar | 1.0 g·L−1, 100 mg/L PFOA, pH = 7 | 48 h | 45.88 | Pseudo-second-order | Dubinin—Radushkevich and Sips | [64] |
| Maize straw | 1.25 g·L−1, 50 mg/L PFOA, pH = 7 | 48 h | 38.62 | - | Langmuir | [65] |
| Polyaniline-modified bamboo biochar | 0.12 g·L−1, 100 mg/L PFOA, pH = 3 | 12 h | 264.6 | Pseudo-second-order | Langmuir | [66] |
| Alkali-modified biochar | 0.25 g·L−1, 120 mg/L PFOA, pH = 3 | 12 h | 487.89 | Pseudo-first and second-order | Freundlich | Present study |
| Sample | T(K) | ΔG0 (kJ/mol) | ΔH0 (kJ/mol) | ΔS0 (J/(mol·K)) | R2 |
|---|---|---|---|---|---|
| KBC-700 | 298 | −13.34 | −20.59 | −24.38 | 0.989 |
| 308 | −13.04 | ||||
| 318 | −12.86 | ||||
| KBC-800 | 298 | −15.31 | −21.33 | −20.24 | 0.987 |
| 308 | −15.07 | ||||
| 318 | −14.92 | ||||
| KBC-900 | 298 | −17.36 | −20.27 | −9.83 | 0.989 |
| 308 | −17.21 | ||||
| 318 | −17.17 |
Disclaimer/Publisher’s Note: The statements, opinions and data contained in all publications are solely those of the individual author(s) and contributor(s) and not of MDPI and/or the editor(s). MDPI and/or the editor(s) disclaim responsibility for any injury to people or property resulting from any ideas, methods, instructions or products referred to in the content. |
© 2026 by the authors. Licensee MDPI, Basel, Switzerland. This article is an open access article distributed under the terms and conditions of the Creative Commons Attribution (CC BY) license.
Share and Cite
Lu, L.; Wang, H.; Zhao, J.; Zhang, M.; Zheng, X.; Luo, D.; Sun, Y.; Yang, J. Alkali-Modified Biochar Derived from Waste Bamboo Powder for the Effective Adsorption of Perfluorooctanoic Acid. Molecules 2026, 31, 568. https://doi.org/10.3390/molecules31030568
Lu L, Wang H, Zhao J, Zhang M, Zheng X, Luo D, Sun Y, Yang J. Alkali-Modified Biochar Derived from Waste Bamboo Powder for the Effective Adsorption of Perfluorooctanoic Acid. Molecules. 2026; 31(3):568. https://doi.org/10.3390/molecules31030568
Chicago/Turabian StyleLu, Long, Hongbin Wang, Junfeng Zhao, Mei Zhang, Xuying Zheng, Dapeng Luo, Yongliang Sun, and Jinyan Yang. 2026. "Alkali-Modified Biochar Derived from Waste Bamboo Powder for the Effective Adsorption of Perfluorooctanoic Acid" Molecules 31, no. 3: 568. https://doi.org/10.3390/molecules31030568
APA StyleLu, L., Wang, H., Zhao, J., Zhang, M., Zheng, X., Luo, D., Sun, Y., & Yang, J. (2026). Alkali-Modified Biochar Derived from Waste Bamboo Powder for the Effective Adsorption of Perfluorooctanoic Acid. Molecules, 31(3), 568. https://doi.org/10.3390/molecules31030568

