Sign in to use this feature.

Years

Between: -

Subjects

remove_circle_outline
remove_circle_outline
remove_circle_outline
remove_circle_outline
remove_circle_outline
remove_circle_outline
remove_circle_outline
remove_circle_outline
remove_circle_outline

Journals

remove_circle_outline
remove_circle_outline
remove_circle_outline
remove_circle_outline
remove_circle_outline
remove_circle_outline
remove_circle_outline
remove_circle_outline
remove_circle_outline
remove_circle_outline
remove_circle_outline
remove_circle_outline
remove_circle_outline
remove_circle_outline
remove_circle_outline
remove_circle_outline

Article Types

Countries / Regions

remove_circle_outline
remove_circle_outline
remove_circle_outline
remove_circle_outline
remove_circle_outline

Search Results (1,419)

Search Parameters:
Keywords = snakes

Order results
Result details
Results per page
Select all
Export citation of selected articles as:
21 pages, 1306 KB  
Article
Are Baby Rattlesnakes More Dangerous than Adults? Origin, Transmission, and Prevalence of a Media-Driven Myth, with Evidence of Effective Messaging to Dispel It
by William K. Hayes and M. Cale Morris
Toxins 2026, 18(3), 144; https://doi.org/10.3390/toxins18030144 - 14 Mar 2026
Abstract
The easily defanged myth that baby rattlesnakes (genera Crotalus and Sistrurus) are more dangerous than adults has persisted in North America despite all evidence to the contrary. The most often cited reason for the babies-more-dangerous (BMD) myth is the venom-dump (VD) hypothesis: [...] Read more.
The easily defanged myth that baby rattlesnakes (genera Crotalus and Sistrurus) are more dangerous than adults has persisted in North America despite all evidence to the contrary. The most often cited reason for the babies-more-dangerous (BMD) myth is the venom-dump (VD) hypothesis: babies, in contrast to adults, cannot control how much venom they expend, and therefore inject all of it when biting. We undertook three approaches to explore the origin, transmission, and prevalence of this myth and its most frequent explanation. First, we examined historical newspaper accounts. From 130 newspaper stories mentioning the relative danger of baby rattlesnakes, we identified a timeline in which (1) most stories prior to 1969 were factually correct; (2) the BMD myth and VD hypothesis likely originated in the mid-to-late 1960s and became entrenched in California, especially, from 1970 to 1999; (3) factually incorrect statements subsequently prevailed throughout North America from 2000 to 2014; and (4) factually correct stories regained prominence with apparent effective messaging success from 2015 onward. We further learned that general information stories about rattlesnakes, more often citing subject experts like university professors, were much more likely to provide accurate information than local snakebite stories, which more often cited health professionals (e.g., physicians, veterinarians, pharmacists) and emergency responders (e.g., police and fire officers) who frequently supplied misinformation. Second, we surveyed familiarity with the BMD myth and VD hypothesis among 53 university classrooms (including one high school) representing 3751 students across 29 states within the United States. Consistent with the California media’s outsized influence on misinformation transmission, familiarity with the myth was greatest in the southwestern states (52.6%) and declined moving north and east, with the least familiarity in the northeastern states (16.4%). Third, a small survey of 75 emergency responders and health professionals from Southern California revealed that a whopping 73.3% actually believed the BMD myth. Numerous organizations generally regarded as authoritative further amplified the misinformation, especially on the internet, where some content persists to this day. Unfortunately, belief in the BMD myth and VD hypothesis can lead to negative consequences, including misinformed risk-taking by those encountering snakes, unwarranted fear among snakebite victims, and inappropriate care delivered by misinformed or patient/family-pressured medical professionals. Our findings target health professionals and emergency responders as priority audiences for education. Full article
Show Figures

Figure 1

17 pages, 952 KB  
Article
Pharmacological Treatments and Adverse Reactions Following Snake Antivenom Therapy: A Collaborative Study by Healthcare Professionals in the Southernmost Region of Thailand
by Panuwat Promsorn, Wittawat Chantkran, Musleeha Chesor and Janeyuth Chaisakul
Toxins 2026, 18(3), 139; https://doi.org/10.3390/toxins18030139 - 12 Mar 2026
Viewed by 187
Abstract
The administration of specific immunoglobulin G-based antivenoms is a key strategy for treating snakebite envenoming victims. However, serious adverse reactions, such as anaphylaxis or serum sickness, are frequently observed following such administration. In addition, inflammation associated with delayed wound healing considerably drives the [...] Read more.
The administration of specific immunoglobulin G-based antivenoms is a key strategy for treating snakebite envenoming victims. However, serious adverse reactions, such as anaphylaxis or serum sickness, are frequently observed following such administration. In addition, inflammation associated with delayed wound healing considerably drives the irrational use of antibiotics or anti-inflammatory agents, which may be linked to adverse reactions following antivenom treatment. In this study, we evaluated the factors contributing to adverse effects following the administration of snake antivenom, especially pharmacological treatment and premedication intended to prevent adverse reactions. Our retrospective study was conducted by healthcare professionals in Narathiwat, the southernmost province in Thailand, and it involved 980 patients confirmed to have been snakebitten from 2016 to 2021. Of these cases, 513 were treated with antivenom. Prevalence rates and 95% confidence intervals were calculated, and univariate and multivariate analyses were performed to determine the correlation between adverse reactions and medications. Following antivenom administration, the majority of the patients exhibited no adverse reactions (86.7%). Nevertheless, skin rash, itching, wheezing, angioedema, chest tightness, and fever were observed in 13.3% of those receiving snake antivenom. After the administration of antivenom for Malayan pit viper bite, adverse reactions occurred in 11.7% of the sample, especially among referral patients (p < 0.001). Epinephrine and antihistamines were prescribed as prevention and treatment for hypersensitivity due to antivenom administration. Antibiotics, Non-steroidal Anti-inflammatory drugs (NSAIDs), and acetaminophen were not associated with antivenom-induced adverse reactions. Interestingly, tramadol and antihistamines significantly reduced the occurrence of adverse reactions after antivenom administration (p < 0.05). Well-trained staff, close monitoring alongside resuscitation equipment and medications that can minimise the severity of anaphylactic reactions must be promptly available whenever antivenom is administered. Full article
(This article belongs to the Special Issue Snake Bite and Related Injury)
Show Figures

Figure 1

18 pages, 2725 KB  
Article
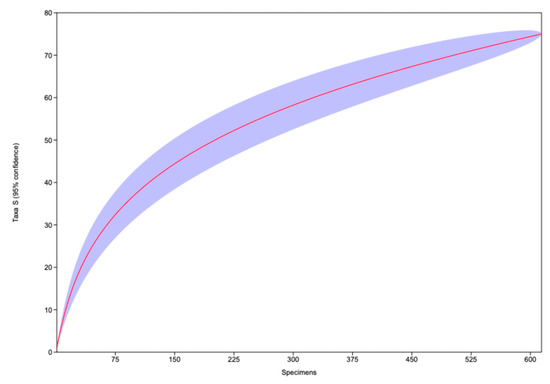
The Herpetofauna Present in the Province of Pastaza in Ecuador: Diversity and Conservation Status
by Cinthya Garcia-Romero, Sarah Martin-Solano, Paola Araujo-Erazo, Alexandra D. Hernández Hernández, Santiago Paredes, Andrés Prado-Aguas and Gabriel Carrillo-Bilbao
Biology 2026, 15(6), 451; https://doi.org/10.3390/biology15060451 - 10 Mar 2026
Viewed by 338
Abstract
The province of Pastaza is a biodiversity hotspot in the Amazon but lacks up-to-date inventories of its herpetofauna. This study aimed to provide an updated characterization of the richness, composition and conservation status of amphibians and reptiles in different habitats. Between 2013 and [...] Read more.
The province of Pastaza is a biodiversity hotspot in the Amazon but lacks up-to-date inventories of its herpetofauna. This study aimed to provide an updated characterization of the richness, composition and conservation status of amphibians and reptiles in different habitats. Between 2013 and 2018, standardized sampling was carried out using quadrats (8 × 8 m) and transects (100 × 20 m), as well as pitfall traps and daytime and night-time visual censuses. A total of 900 h of effort was distributed across six habitats. Coverage estimators, species accumulation curves, range abundance curves, and alpha diversity indices (Shannon, Simpson, and Chao-1) were used for data analysis, as well as similarity indices (Jaccard). A total of 75 species were recorded (51 anurans, eight lizards, 14 snakes and two salamanders), displaying habitat-dependent dominance patterns led by Dendropsophus sarayacuensis and Scinax ruber. Diversity is considered high according to the Chao-1 (19.63–60.53), Shannon–Weaver (2.402–3.223), and Simpson (0.861–0.947) indices, showing interannual variation with a temporary decrease in year 5 and an increase in year 6. The presence of species at risk (VU, n = 26 spp. and EN, n = 2) and high temporal variability highlight the need for continuous monitoring and conservation strategies tailored to specific habitats. Full article
(This article belongs to the Section Conservation Biology and Biodiversity)
Show Figures

Graphical abstract

16 pages, 1959 KB  
Article
Selective Anticancer Effects of a P-I Metalloproteinase from Bothrops Moojeni Snake Venom (BthMP) on Lung Cancer Cells
by Vinícius Queiroz Oliveira, Luísa Carregosa Santos, Leonardo Oliveira Silva Bastos Andrade, Lucas Miranda Marques, Amélia Cristina Mendes de Magalhães Gusmão, Thiago Macedo Lopes Correia, Samuel Cota Teixeira, Eloisa Amália Vieira Ferro, Veridiana de Melo Rodrigues, Sarah Natalie Cirilo Gimenes, Mônica Colombini, Patricia Bianca Clissa, Sabri Saeed Sanabani and Daiana Silva Lopes
Pharmaceuticals 2026, 19(3), 428; https://doi.org/10.3390/ph19030428 - 6 Mar 2026
Viewed by 218
Abstract
Background: Lung cancer remains a leading cause of mortality, mainly due to aggressive metastasis and therapeutic resistance. Snake venom metalloproteinases (svMPs), particularly the P-I class, are promising sources for novel antitumor agents. Objectives: This study investigated the impacts of BthMP, a P-I svMPs [...] Read more.
Background: Lung cancer remains a leading cause of mortality, mainly due to aggressive metastasis and therapeutic resistance. Snake venom metalloproteinases (svMPs), particularly the P-I class, are promising sources for novel antitumor agents. Objectives: This study investigated the impacts of BthMP, a P-I svMPs from Bothrops moojeni venom, on human lung carcinoma (A549) cells in comparison to non-cancerous human bronchial epithelial cells (BEAS-2B). Methods and Results: BthMP demonstrated potent and selective anti-cancer activity. It significantly inhibited key metastatic processes in A549 cells, including adhesion, migration, and invasion, while suppressing long-term proliferation, as shown by reduced colony formation and increased lactate dehydrogenase (LDH) release. Mechanistically, BthMP induced a massive increase in intracellular reactive oxygen species (ROS) by over 2000% and elevated nitric oxide (NO) by 35% in A549 cells, driving a state of lethal oxidative stress. Crucially, these cytotoxic and anti-metastatic effects were minimal in BEAS-2B cells; BthMP even suppressed basal ROS and NO levels in this non-cancerous line. The anti-migratory effects of BthMP were completely dependent on its zinc-based catalytic activity, as they were abolished by pretreatment with ethylenediaminetetraacetic acid. By simultaneously disrupting cell–matrix interactions and inducing selective, catastrophic oxidative stress in cancer cells, BthMP presents a dual-pronged anti-metastatic mechanism. Conclusions: These findings establish BthMP as a promising therapeutic scaffold for developing novel treatments against lung cancer progression. Full article
(This article belongs to the Section Natural Products)
Show Figures

Graphical abstract

14 pages, 587 KB  
Review
Snake Bite Management and Medico-Legal Considerations: An Italian Case and a Narrative Review with International Comparison
by Lina De Paola, Damiano Marchesini, Monica La Greca, Flavia Sciuttini, Anna Claudia Caruso, Gabriele Napoletano, Bruno Cirillo and Enrico Marinelli
Forensic Sci. 2026, 6(1), 27; https://doi.org/10.3390/forensicsci6010027 - 5 Mar 2026
Viewed by 197
Abstract
Background/Objectives: Viper envenomation in Italy is uncommon but carries significant clinical and forensic implications: an average of 257 bites per year are estimated, with only one fatality. This epidemiological context necessitates careful consideration of the standard of care and professional liability The article [...] Read more.
Background/Objectives: Viper envenomation in Italy is uncommon but carries significant clinical and forensic implications: an average of 257 bites per year are estimated, with only one fatality. This epidemiological context necessitates careful consideration of the standard of care and professional liability The article aims to outline the clinical and medico-legal dimensions of viper bites within both national and international contexts. Methods: We report the case of a 40-year-old woman bitten by a viper in an urban environment. At the initial emergency department visit the presentation was classified as Grade 0 (“dry bite”) according to Boels and, after 21 h, was discharged in good condition. Three days later, she returned with worsening symptoms and CT imaging revealed intrafascial and subcutaneous edema. The subsequent onset of complications prompted a criminal malpractice investigation. Therefore, we performed a PubMed search which yielded 125 records; after applying eligibility criteria, 33 articles were included, supplemented by manual reference checking for a total of 60 sources reviewed. Results: Comparison with the Australian model suggests the need for more standardized care pathways in Italy, while accounting for local toxicological and epidemiological specificities. Conclusions: This case and the accompanying literature analysis highlight that, even in low-incidence settings, structured patient communication, multidisciplinary management, collaboration with Poison Control Centers, and adherence to good clinical practice are crucial for patient safety and for mitigating medico-legal risk. Full article
Show Figures

Figure 1

8 pages, 1277 KB  
Brief Report
A Nanopore-Only Assembly of a Nuclear and Mitochondrial Genome of a Red Coachwhip (Masticophis flagellum piceus)
by Alan F. Scott and David W. Mohr
Genes 2026, 17(3), 307; https://doi.org/10.3390/genes17030307 - 4 Mar 2026
Viewed by 329
Abstract
We report a chromosome-level assembly of a male red coachwhip snake (Masticophis flagellum piceus) generated exclusively with nanopore sequencing. Using Hifiasm-ONT for assembly and RagTag for scaffold polishing, we produced a 1.61 Gb nuclear genome comprising 8 macrochromosomes and 10 microchromosomes [...] Read more.
We report a chromosome-level assembly of a male red coachwhip snake (Masticophis flagellum piceus) generated exclusively with nanopore sequencing. Using Hifiasm-ONT for assembly and RagTag for scaffold polishing, we produced a 1.61 Gb nuclear genome comprising 8 macrochromosomes and 10 microchromosomes with a 97.7% BUSCO completeness score. Annotation with LiftOn found 19,832 loci, including 18,025 protein-coding genes. The mitochondrial genome, assembled with MitoHiFi and annotated with MitoFinder, was 17,119 bp with 13 coding genes, 22 tRNAs and 2 rRNAs. All sequencing was performed in a simulated mobile laboratory using a portable sequencer and a laptop with analyses done both locally and remotely. These results highlight the feasibility of decentralized genomics and its potential to accelerate biodiversity research globally. Full article
(This article belongs to the Section Animal Genetics and Genomics)
Show Figures

Figure 1

20 pages, 2386 KB  
Article
Comparative Effects of Snake Envenomation on Rabbit Carcass Decomposition and Insect Succession in a Forensic Context
by Abdelwahab Khalil, Eman E. Zaher, Mustafa M. Soliman, Ashraf M. Ahmed, El-Sayed H. Shaurub, Areej A. Al-Khalaf and Mahmoud M. Zidan
Insects 2026, 17(3), 274; https://doi.org/10.3390/insects17030274 - 3 Mar 2026
Viewed by 279
Abstract
Background: Snake envenomation represents a significant health concern in some regions of the world, with fatal cases occasionally requiring forensic investigation to estimate the postmortem interval (PMI). However, the influence of venom on carrion decomposition dynamics and arthropod succession patterns remains poorly understood, [...] Read more.
Background: Snake envenomation represents a significant health concern in some regions of the world, with fatal cases occasionally requiring forensic investigation to estimate the postmortem interval (PMI). However, the influence of venom on carrion decomposition dynamics and arthropod succession patterns remains poorly understood, potentially compromising postmortem interval (PMI) estimations in such cases. Objectives: This study investigated the effects of Naja haje and Cerastes cerastes venoms on decomposition progression and necrophagous arthropod succession. Methods: Fifteen rabbits were allocated into three experimental groups. Two groups received median lethal intravenous doses (LD50) of N. haje or C. cerastes venom, whereas the control group received a saline injection followed by CO2 euthanasia. The carcasses were subsequently placed under natural field conditions and monitored daily for 15 days. Results: The presence of venom significantly altered decomposition dynamics. C. cerastes venom accelerated early decomposition, shortening both the fresh stage (1 ± 0.22 days vs. 2 ± 0.31 days in controls,) and bloating stage (3 ± 0.35 days vs. 5 ± 0.35 days), while extending both the decay stage (6 ± 0.3 days vs. 6 ± 0.17 days) and the dried stage (5.0 ± 0.44 days vs. 2 ± 0.039 days). N. haje venom showed intermediate effects. Overall arthropod abundance peaked on day 5 and declined thereafter. Control carcasses exhibited significantly higher arthropod abundance than carcasses envenomed with C. cerastes or N. haje. Conclusions: Snake envenomation significantly influenced decomposition kinetics and arthropod colonization patterns. Envenomation with C. cerastes venom produced more pronounced alterations than envenomation with N. haje venom. Full article
(This article belongs to the Section Medical and Livestock Entomology)
Show Figures

Figure 1

16 pages, 13954 KB  
Article
Postfire Asymmetric Reptile and Amphibian Responses in a Mediterranean Forest Ecosystem
by Kostas Sagonas, Thomas Daftsios, Dionisios Iakovidis, Nikolaos Gogolos, Ioannis Mitsopoulos, Vasileios Zafeiropoulos and Panayiota Maragou
Conservation 2026, 6(1), 29; https://doi.org/10.3390/conservation6010029 - 3 Mar 2026
Viewed by 259
Abstract
In August 2023, a large forest fire burned more than 60% of the Dadia–Lefkimi–Soufli Forest National Park in northeastern Greece, following another large fire in 2022. To quantify the effects of these fires on local herpetofauna, we analyzed community composition, abundance, and diversity [...] Read more.
In August 2023, a large forest fire burned more than 60% of the Dadia–Lefkimi–Soufli Forest National Park in northeastern Greece, following another large fire in 2022. To quantify the effects of these fires on local herpetofauna, we analyzed community composition, abundance, and diversity before and after the 2023 event. Standardized visual encounter surveys were conducted across 29 sites between 2015 and 2024, spanning burned and unburned areas. Species richness, abundance, and diversity metrics, together with Bray–Curtis community dissimilarities, were compared across sampling periods and fire-severity classes. Amphibian assemblages showed high postfire persistence, with 82% of regional species still detected and no significant changes in diversity indices, likely reflecting the buffering role of perennial streams and other hydrologically stable refugia. In contrast, reptile communities showed clear compositional shifts and experienced severe declines: overall reptile species richness decreased to 30% of prefire levels and diversity indices dropped significantly. Tortoises (i.e., Testudo graeca, T. hermanni) declined by nearly 90% relative to prefire estimates, indicating high vulnerability of low-mobility, long-lived species. Snakes were not detected in any burned sites, whereas only a few small-bodied lizards and the freshwater turtle Mauremys rivulata persisted locally. These findings demonstrate that extreme, landscape-scale fires can restructure reptile communities in Mediterranean forests, particularly where long-term habitat change and drought had already reduced population resilience. The study underscores the need for targeted postfire restoration, conservation planning for slow-dispersing taxa, and long-term biodiversity monitoring under increasingly frequent fire regimes. Full article
Show Figures

Figure 1

20 pages, 11309 KB  
Article
SDCrackSeg: A Frequency- and Spatial Geometry-Aware Topology-Preserving Network for Building Crack Segmentation
by Zepeng Huang, Liuyang Liu, Tao He, Ye Ma and Jinhuan Shan
Buildings 2026, 16(5), 971; https://doi.org/10.3390/buildings16050971 - 2 Mar 2026
Viewed by 219
Abstract
Crack segmentation on building surfaces is challenging due to the thin, curvilinear crack morphology and background interference from textures and illumination variations. This study proposes SDCrackSeg, a U-shaped network combining frequency-domain enhancement with geometry-adaptive convolution. The core Frequency Spatial Convolution module integrates two [...] Read more.
Crack segmentation on building surfaces is challenging due to the thin, curvilinear crack morphology and background interference from textures and illumination variations. This study proposes SDCrackSeg, a U-shaped network combining frequency-domain enhancement with geometry-adaptive convolution. The core Frequency Spatial Convolution module integrates two branches: Adaptive Frequency Convolution enhances high-frequency crack details, while Dynamic Snake Convolution adapts sampling to curvilinear structures. A topology-aware loss based on persistent homology further regularizes structural connectivity. Experiments on CHCrack5K demonstrate state-of-the-art performance with Precision 0.900, mIoU 0.816, F1-score 0.888, and Dice 0.675, while maintaining nearly 200 FPS inference speed. Results confirm that frequency–spatial fusion with topology regularization effectively improves crack detection reliability for practical building inspection. Full article
(This article belongs to the Special Issue AI in Construction: Automation, Optimization, and Safety)
Show Figures

Figure 1

50 pages, 19473 KB  
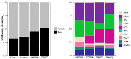
Article
In-Depth Multi-Assembler Venom-Gland Transcriptomics of Three Medically Important Colombian Snakes Highlights Diversity of Accessory, Low-Abundance Protein Families
by Mónica Saldarriaga-Córdoba, Claudia Clavero-León, Paola Rey-Suárez, Vitelbina Núñez-Rangel and Sebastián Estrada-Gómez
Toxins 2026, 18(3), 118; https://doi.org/10.3390/toxins18030118 - 25 Feb 2026
Viewed by 335
Abstract
Typically, most omics analysis (proteomic and transcriptomic) of snakes are focused on the dominant enzymatic proteins used for evolutionary analysis or those engaged in envenoming symptoms. This study presents a comprehensive multi-assembler transcriptomic analysis focused on the non-dominant and enzymatic or non-enzymatic putative [...] Read more.
Typically, most omics analysis (proteomic and transcriptomic) of snakes are focused on the dominant enzymatic proteins used for evolutionary analysis or those engaged in envenoming symptoms. This study presents a comprehensive multi-assembler transcriptomic analysis focused on the non-dominant and enzymatic or non-enzymatic putative proteins of the venom glands of three medically significant Colombian snake species. Together, these results highlight how continued improvements in modern omics workflows, coupled with extensive manual curation, enable more complete putative protein variants discovery when multiple assemblers are integrated. Here, we reconstructed the toxinomes of the viperids Bothrops asper and Crotalus durissus cumanensis, and the elapid Micrurus mipartitus, by comparing four assemblers (Trinity, SPAdes, SOAPdenovo-Trans k = 31 and k = 97) and integrating them into a non-redundant meta-assembly. Protein-candidate alignments were extensively inspected, and validation of conserved domains and functional motifs are discussed. The curated toxinomes revealed substantial diversity across major and accessory families, and assembler choice strongly affected transcript variant recovery. Together, these results provide a more comprehensive view of venom-gland transcriptome analysis and diversity, expanding the set of candidate venom components for future functional and proteomic validation, with potential implications for venom composition studies and antivenom development. Full article
(This article belongs to the Section Animal Venoms)
Show Figures

Graphical abstract

2 pages, 128 KB  
Abstract
The Therapeutic Potential of Snake Venom Toxins for the Treatment of Central Nervous System Tumors: A Review
by Luigi Gallo, Ana C. F. Leite, Isaac D. S. V. Prado, Lavínia H. A. Torres, Mateus G. C. Soares, Samuel C. Silva and Carlos N. Aucélio
Proceedings 2026, 137(1), 34; https://doi.org/10.3390/proceedings2026137034 - 25 Feb 2026
Viewed by 170
Abstract
Introduction: In the current treatment of central nervous system (CNS) tumors, natural bioactive compounds, especially snake venom toxins, stand out as promising therapeutic candidates for selectively modulating critical molecular targets in tumor progression [...] Full article
(This article belongs to the Proceedings of The 6th International Congress on Health Innovation—INOVATEC 2025)
15 pages, 1434 KB  
Article
New Insights into the Bioenergetic and Immunomodulatory Properties of Phospholipases A2 from Bothrops diporus Venom
by Daniela J. Sasovsky, Ana K. Oliveira, Dilza Trevisan Silva, Gonzalo A. Ojeda, Cristopher Almarza, Bruno Lomonte, Jay W. Fox, Félix A. Urra and Soledad Bustillo
Toxins 2026, 18(2), 114; https://doi.org/10.3390/toxins18020114 - 23 Feb 2026
Viewed by 511
Abstract
Phospholipases A2 (PLA2s) are key mediators of the cytotoxic and inflammatory activities of snake venoms. While PLA2 isoforms from Bothrops diporus venom have been characterized and shown to possess antimetastatic and antiangiogenic properties, their impact on mitochondrial bioenergetics and [...] Read more.
Phospholipases A2 (PLA2s) are key mediators of the cytotoxic and inflammatory activities of snake venoms. While PLA2 isoforms from Bothrops diporus venom have been characterized and shown to possess antimetastatic and antiangiogenic properties, their impact on mitochondrial bioenergetics and immune modulation has not yet been investigated. In this study, we examined the bioenergetic and immunomodulatory effects of B. diporus PLA2s using integrated biochemical, metabolic, and multiplex cytokine analyses. In MDA-MB-231 breast cancer cells, pooled PLA2s induced a dose-dependent decrease in MTT-reducing activity, increased mitochondrial ROS, caused Δψm hyperpolarization, and decreased NADH autofluorescence, collectively indicating sustained mitochondrial stress. Real-time impedance measurements further revealed a marked inhibition of cell proliferation. In human PBMCs, pooled PLA2s elicited a dynamic cytokine program, inducing early cytotoxic (Granzyme B) and chemotactic (CCL2, CCL3, CCL4) mediators, followed by late pro-inflammatory and regulatory factors such as IL-6, TNF-β, IL-10 and IL-15. Analysis of a single purified PLA2 isoform (Fraction 6) confirmed activation of the canonical IL-6/TNF-α/IL-1β axis but uniquely induced IL-10 and CCL20, revealing isoform-specific immunomodulatory properties. Altogether, these findings provide the first integrated characterization of mitochondrial and immune perturbations induced by B. diporus PLA2s, expanding their recognized biological scope and underscoring their potential as molecular templates for novel pharmacological strategies targeting mitochondrial vulnerabilities or modulating the tumor immune microenvironment. Full article
(This article belongs to the Special Issue Venoms and Drugs)
Show Figures

Figure 1

18 pages, 2032 KB  
Article
Inter- and Intraspecific Venom Variation in the Reclusive Rear-Fanged Black-Striped Snakes (Coniophanes)
by John Henry Fowler, Ramses Alejandro Rosales-García, Rhett M. Rautsaw, Michael P. Hogan, Erich P. Hofmann, Andrew J. Mason, Ramon Nagesan, Miguel Borja, Luis Herrera, Gamaliel Castañeda-Gaytan, Alison R. Davis Rabosky, Darin R. Rokyta and Christopher L. Parkinson
Toxins 2026, 18(2), 108; https://doi.org/10.3390/toxins18020108 - 20 Feb 2026
Viewed by 532
Abstract
Our current understanding of snake venom is highly biased towards species known to be medically significant in human envenomations. This vastly under-represents the true evolutionary and ecological breadth of snake venom, with gaps spanning entire clades and unique lifestyles. As a result, many [...] Read more.
Our current understanding of snake venom is highly biased towards species known to be medically significant in human envenomations. This vastly under-represents the true evolutionary and ecological breadth of snake venom, with gaps spanning entire clades and unique lifestyles. As a result, many genera of rear-fanged snakes lack well-understood venom profiles despite these taxa composing around 65% of known extant snake species. Methodological challenges associated with venom extraction have long been a key reason responsible for the lack of venom research on this group. Modern advancements in venomics technologies have allowed researchers to overcome many of these challenges and investigate the venom components of understudied genera. The genus Coniophanes (black-striped snakes) presents an ideal system for investigating venom and the venom delivery system in a rear-fanged venomous species with well-documented accounts of human envenomations. We sequenced and annotated de novo transcriptomes of the Duvernoy’s gland (DVG) for seven individuals across four species of Coniophanes (Dipsadidae) and confirmed toxin expression in representative venom proteomes. We assessed interspecific venom variation within this genus and further examined intraspecific venom variation within C. imperialis. We found that toxins account for 38.8% to 66% of the total DVG transcriptomes and that 18 toxin families are represented in this genus, with prominent expression of cystine-rich secretory proteins (CRiSPs) in three species and snake venom metalloproteinases (SVMPs) in all four species. In addition, we used diffusible iodine-based contrast-enhanced computed tomography (diceCT) to better understand the venom delivery system for C. fissidens, a widespread species within this genus, showcasing enlarged, grooved, rear fangs in close proximity to a prominent DVG. We provide the first ever characterization of the venom profiles of Coniophanes, highlight venom variation between and within species, and outline the venom delivery system of this understudied genus. Full article
(This article belongs to the Special Issue Snake Venom Genes Expression, Evolution and Variation)
Show Figures

Figure 1

21 pages, 3236 KB  
Article
Establishing the Kenya National Antivenom Quality Control Laboratory: Preclinical Efficacy Results of Four Antivenoms Against Venoms from the “Big Five” Snake Species in Kenya
by Valentine Musabyimana, John M. Kagira, Jacob Lubuya, Caroline W. Ngugi, Brian M. Musau, Wathuto Ogopotse, Geoffrey Maranga, Dennis Kotti, Pamela M. Khasandi, Ezekiel Adino, Brent C. Thomas, Cassandra M. Modahl, Peter G. Mwethera, Robert A. Harrison, Nicholas R. Casewell and George O. Oluoch
Toxins 2026, 18(2), 106; https://doi.org/10.3390/toxins18020106 - 19 Feb 2026
Viewed by 764
Abstract
Antivenom administration is currently the only therapy for snakebite envenoming. However, in sub-Saharan Africa, inadequate quality control systems have led to deficits in the availability, accessibility, efficacy and safety of regionally available antivenoms, which, in turn, hinder snakebite treatment and management in the [...] Read more.
Antivenom administration is currently the only therapy for snakebite envenoming. However, in sub-Saharan Africa, inadequate quality control systems have led to deficits in the availability, accessibility, efficacy and safety of regionally available antivenoms, which, in turn, hinder snakebite treatment and management in the region. To address this impediment to snakebite treatment in Kenya, this study aimed to assess the preclinical neutralising potencies of four different antivenoms previously or currently available in Kenya (SAIMR polyvalent, AFRIVEN, PANAF-PremiumTM and InoserpTM) against key snakes of medical importance in the region, towards establishing a national antivenom quality control laboratory. Venoms were extracted from the Kenyan “big five” medically important snake species: Naja ashei, Naja pallida, Naja nigricollis, Dendroaspis polylepis and Bitis arietans, and their lethal potencies were determined using a murine median lethal dose (LD50) assay. In vitro immunological assays (ELISAs and immunoblotting) and an established preclinical murine in vivo neutralisation assay (median effective dose [ED50]) were used to assess the immunoglobulin-binding and venom-neutralising efficacies of the test antivenoms. In vitro assays revealed high venom-binding titres of SAIMR polyvalent, AFRIVEN and PANAF-PremiumTM, and reactivity to a wide range of venom proteins across the different snake venoms. Contrastingly, InoserpTM antivenom had low binding titres and poor reactivity to the snake venom proteins. These findings were aligned with the in vivo results, where SAIMR polyvalent, AFRIVEN and PANAF-PremiumTM showed potent venom-neutralising efficacies against all the tested snake venoms, while InoserpTM had low potency and failed to neutralise the lethal effects of N. ashei, N. pallida and D. polylepis venoms at the manufacture-claimed doses. Based on these robust preclinical results, we conclude that SAIMR polyvalent, AFRIVEN and PANAF-PremiumTM antivenoms offer considerable potential for the treatment of envenoming by diverse medically important snakes in Kenya. The observed deficiencies with the InoserpTM product highlight the importance of (i) robust, independent preclinical antivenom efficacy testing and (ii) the value of establishing a quality control laboratory to inform local regulatory and procurement decision making. Full article
(This article belongs to the Special Issue Venoms and Drugs)
Show Figures

Figure 1

14 pages, 600 KB  
Communication
SnakeBITE: A SNAKEmake-Based Interface for Third-Generation Sequencing Data Analysis
by Andrea Bimbocci, Marta Baragli and Alberto Magi
Biomolecules 2026, 16(2), 314; https://doi.org/10.3390/biom16020314 - 16 Feb 2026
Viewed by 304
Abstract
In recent years, the use of computational pipelines for the analysis of omic data has become routine in bioinformatics, particularly with the advent of Next-Generation Sequencing (NGS) technologies. These technologies generate vast amounts of data that necessitate sophisticated analysis methods, often requiring programming [...] Read more.
In recent years, the use of computational pipelines for the analysis of omic data has become routine in bioinformatics, particularly with the advent of Next-Generation Sequencing (NGS) technologies. These technologies generate vast amounts of data that necessitate sophisticated analysis methods, often requiring programming skills and command-line interface proficiency. This complexity poses challenges for users from various backgrounds, including clinicians and biologists. Current solutions often involve workflow management tools and graphical user interfaces to simplify pipeline creation and execution. However, these tools predominantly cater to NGS data and are not fully adaptable to Third-Generation Sequencing (TGS) data, such as that produced by Oxford Nanopore Technologies (ONT). Here we present SnakeBITE, a modular genomic data analysis pipeline builder based on the Snakemake workflow manager, integrated with an interactive Shiny-based interface. SnakeBITE enables users to configure and execute TGS data analysis workflows locally without requiring programming expertise. The application supports the full ONT genomics data analysis pipeline, including base calling, alignment, variant calling, and annotation. Our results demonstrate SnakeBITE’s capacity to handle various stages of ONT data analysis efficiently, offering a user-friendly and highly customizable tool that bridges the gap between sophisticated data analysis and user accessibility. Full article
(This article belongs to the Section Bioinformatics and Systems Biology)
Show Figures

Figure 1

Back to TopTop