Sign in to use this feature.

Years

Between: -

Subjects

remove_circle_outline
remove_circle_outline
remove_circle_outline
remove_circle_outline
remove_circle_outline
remove_circle_outline
remove_circle_outline
remove_circle_outline
remove_circle_outline

Journals

remove_circle_outline
remove_circle_outline
remove_circle_outline
remove_circle_outline
remove_circle_outline
remove_circle_outline
remove_circle_outline

Article Types

Countries / Regions

remove_circle_outline
remove_circle_outline
remove_circle_outline
remove_circle_outline
remove_circle_outline

Search Results (1,473)

Search Parameters:
Keywords = mulch

Order results
Result details
Results per page
Select all
Export citation of selected articles as:
22 pages, 4203 KB  
Article
Maize Straw Strip Mulching Mediated Transformation of Soil Organic Nitrogen Across Soil Depths in Wheat and Potato Cultivation
by Lei Pang, Bowen Xia, Taylor Galimah Girmanee, Muhammad Zahid Mumtaz, Nannan Hu, Xiaoyan Wang, Xiaohua Wang, Haofei Zheng and Jianlong Lu
Agriculture 2026, 16(6), 674; https://doi.org/10.3390/agriculture16060674 (registering DOI) - 17 Mar 2026
Abstract
Soil nitrogen availability is a major constraint to crop productivity in rainfed arid and semi-arid regions. The influence of straw strip mulching on nitrogen availability and transformation across soil layers remains unclear. This study investigates the effect of straw strip mulching on soil [...] Read more.
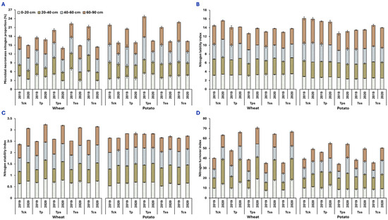
Soil nitrogen availability is a major constraint to crop productivity in rainfed arid and semi-arid regions. The influence of straw strip mulching on nitrogen availability and transformation across soil layers remains unclear. This study investigates the effect of straw strip mulching on soil nitrogen dynamics and crop-specific variation in wheat- and potato-cultivated soils under rainfed semi-arid conditions. This study consisted of five mulching treatments, including without mulching (Tck), black plastic film mulching (Tp), straw strip mulching (Tss), plant strip without mulch (Tps), and composite strip of straw strip mulching and plant strip without mulch (Tcs) applied in wheat and potato cultivation during 2019 and 2020, and soil nitrogen fractions were determined across different soil depths. Tss mulching showed the highest increase in urease activity (48%), nitrite reductase activity (48%), microbial biomass nitrogen (52%), NH4 (11%), acid-hydrolyzed total nitrogen (10%), acid-soluble NH4 (6%), acid-hydrolyzed amino sugar (16%) and acid-hydrolyzable unknown nitrogen (59%) relative to Tck without mulching. While total nitrogen (11%) and acid-hydrolyzed amino acid (9%) were highest in the Tps treatment compared to Tck treatment, the mulching treatment had no significant effect on soil organic nitrogen-derived functional traits. Across all treatments, the 0–20 cm soil layer consistently showed the highest concentrations of observed soil traits, which declined with increasing soil depth. Furthermore, potato-cultivated soils showed consistently higher concentrations of these traits than wheat-cultivated soils, and the concentrations of these traits in 2020 exceeded those observed in 2019. This study highlights that maize straw mulching in strips significantly promotes soil organic nitrogen fractions, particularly in the upper soil layers, and promotes higher nitrogen availability in potato than in wheat-cultivated soils, and is recommended as an effective soil management practice to improve soil nitrogen availability in rainfed semi-arid Loess Plateau conditions. Full article
(This article belongs to the Section Agricultural Soils)
Show Figures

Figure 1

18 pages, 3545 KB  
Article
Effects of High-Rate Organic Amendments Combined with Supporting Management Practices on Topsoil Amelioration and Yield Improvement in Coastal Saline–Alkali Farmland
by Tianyou Liu, Haiwei Wang, Yuzhen Jia, Haishuan Sun, Mengzhu Li, Weifeng Chen and Tianhao Liu
Water 2026, 18(6), 694; https://doi.org/10.3390/w18060694 - 16 Mar 2026
Abstract
This study targets key challenges in ameliorating the plow-layer soil of coastal saline soils. A field experiment under a wheat–maize rotation was established with six treatments: CK, control with no organic inputs; A1, 45 t ha−1 organic manure; A2, 45 t ha [...] Read more.
This study targets key challenges in ameliorating the plow-layer soil of coastal saline soils. A field experiment under a wheat–maize rotation was established with six treatments: CK, control with no organic inputs; A1, 45 t ha−1 organic manure; A2, 45 t ha−1 organic manure + microbial inoculant; A3, 45 t ha−1 organic manure + microbial inoculant + plastic-film mulching; A4, 90 t ha−1 organic manure; and A5, 135 t ha−1 organic manure. By applying high rates of organic manure alone or in combination with microbial inoculation and mulching, we aimed to strengthen soil water–salt regulation, improve plow-layer soil quality, and ultimately promote crop growth and yield formation. We further quantified treatment-induced shifts in soil physicochemical properties and linked them to crop growth and yield responses. The results indicated that, compared with CK, plow-layer soil organic carbon increased by 45.56% and 107.91% under A3 and A4, respectively, while soil salinity decreased by 70.57% and 67.42%. All manure-based treatments increased yield relative to CK, with the highest yields achieved under A3 and A4: wheat yield reached 7628.16 and 7888.01 kg ha−1, and maize yield reached 8828.29 and 8716.01 kg ha−1, respectively. Overall, high-rate organic manure—especially when integrated with microbial inoculation and plastic mulching—substantially enhanced soil fertility while alleviating salinity stress, resulting in an integrated “fertility build-up–salinity reduction–yield enhancement” amelioration effect. This technology package offers a feasible pathway for improving coastal saline farmland and stabilizing productivity under rotation systems, with strong potential for further on-farm demonstration and wider adoption. Full article
15 pages, 2536 KB  
Article
Polyethylene Microplastics Inhibit Peanut Nodulation via Metabolic and Transcriptional Pathways
by Yue Wu, Zhengfeng Wu, Yongmei Zheng, Jishun Yang, Jiancheng Zhang, Hongfeng Wang, Tianyi Yu, Juxiang Wu and Shangxia Li
Plants 2026, 15(6), 915; https://doi.org/10.3390/plants15060915 - 16 Mar 2026
Abstract
Polyethylene (PE) microplastics (MPs) from residual mulch films are prevalent in peanut-cultivated soils, yet their specific effects on peanut nodulation remain unclear. This study investigated the impacts of PE-MPs at concentrations of 0.2%, 0.6%, and 1.0% on peanut nodulation. Results indicated that PE-MPs [...] Read more.
Polyethylene (PE) microplastics (MPs) from residual mulch films are prevalent in peanut-cultivated soils, yet their specific effects on peanut nodulation remain unclear. This study investigated the impacts of PE-MPs at concentrations of 0.2%, 0.6%, and 1.0% on peanut nodulation. Results indicated that PE-MPs significantly reduced peanut nodule number. Transcriptome analysis revealed that all three concentrations of PE-MPs down-regulated nodulation-related flavonoids, promoted lignin deposition in cell walls, disrupted antioxidant system, and enhanced the accumulation of antimicrobial substances, collectively impairing peanut nodulation efficiency. These findings indicate that PE-MPs substantially compromise the symbiosis between peanut and rhizobia, and provide insights into their interference with plant–beneficial microbe interactions in contaminated soils. Full article
Show Figures

Graphical abstract

20 pages, 1768 KB  
Article
The Trade-Offs of Integrating Newly Established Clover Cover Crops as a Living Mulch in Broccoli Production in the Northern Great Plains
by Alexis R. Barnes, Rhoda Burrows and Kristine M. Lang
Horticulturae 2026, 12(3), 364; https://doi.org/10.3390/horticulturae12030364 - 16 Mar 2026
Abstract
Managing weeds and improving soil health are priorities for South Dakota vegetable farmers. Clover (Trifolium spp.), used as a living mulch within and along cash crop rows, may aid in weed suppression and prevent soil erosion. However, prior research has shown living [...] Read more.
Managing weeds and improving soil health are priorities for South Dakota vegetable farmers. Clover (Trifolium spp.), used as a living mulch within and along cash crop rows, may aid in weed suppression and prevent soil erosion. However, prior research has shown living mulch often leads to yield decreases in cash crops. Research conducted in eastern South Dakota investigated the effects of four clover and four in-row soil management treatments on small-scale broccoli production. Whole plots of red (Trifolium pratense), white (Trifolium repens), and white × kura (Trifolium repens × ambiguum) clovers were direct-seeded in early spring; each clover plot and a bare ground control included four in-row management treatments: no-till + fabric, tilled + fabric, no-till, and tilled. Clover and weed growth were measured throughout the season. During the establishment year, 12.8 cm of precipitation was received, which effectively established the clover living mulch plots. However, in 2023, 5.6 cm of precipitation was received, which negatively affected the clover living mulch plots and created favorable conditions for weeds to outcompete the clover and broccoli. The results highlight the potential challenges and opportunities for managing clover cover crops as a living mulch during the first year of establishment in organic broccoli production. Full article
(This article belongs to the Section Medicinals, Herbs, and Specialty Crops)
Show Figures

Figure 1

27 pages, 3861 KB  
Review
Mechanization and Intelligent Technologies for Ginger Harvesting: Evolution, Frontiers, and Prospects
by Haiyang Shen, Guangyu Xue, Gongpu Wang, Wenhao Zheng, Lianglong Hu, Yanhua Zhang and Baoliang Peng
AgriEngineering 2026, 8(3), 112; https://doi.org/10.3390/agriengineering8030112 - 15 Mar 2026
Abstract
Driven by agricultural labor shortages and rising quality requirements, ginger harvesting increasingly demands high-throughput, low-damage operations and a reliable supply chain. This review summarizes harvesting modes and harvester types used in ginger production, with emphasis on critical process modules: digging and lifting, soil [...] Read more.
Driven by agricultural labor shortages and rising quality requirements, ginger harvesting increasingly demands high-throughput, low-damage operations and a reliable supply chain. This review summarizes harvesting modes and harvester types used in ginger production, with emphasis on critical process modules: digging and lifting, soil disintegration and cleaning, vine cutting and anti-tangling, gentle conveying, and collection. We compare major technical routes in terms of field capacity, control of soil and foreign materials, damage mitigation, and reliability under continuous operation, and identify the conditions under which each route performs best. Drawing on advances in harvesting systems for other root and bulb crops, we outline transferable approaches for intelligent sensing, precision control, and system-level integration. We then propose an online monitoring and closed-loop regulation framework for strongly coupled conditions, such as heavy clay soils, plastic-mulch residues, and vine interference. Key bottlenecks include limited cross-regional adaptability, persistent trade-offs between low damage and high throughput, cost constraints on intelligent functions, and the lack of shared datasets and standardized evaluation protocols. Future progress should be anchored in integrated equipment sets and supporting operating specifications, guided by multi-source sensing-based quality indicators and interpretable control strategy libraries, to reduce harvest losses, stabilize marketable quality, improve operational efficiency, and enable scalable adoption. Full article
Show Figures

Figure 1

23 pages, 3050 KB  
Article
Polyethylene Mulch Emissions Differentially Impact the Soil Metabolome and Microbial Community in Field Pea (Pisum sativum L.) Cultivation
by Emoke Dalma Kovacs, Nguyen Khoi Nghia and Melinda Haydee Kovacs
J. Xenobiot. 2026, 16(2), 49; https://doi.org/10.3390/jox16020049 - 15 Mar 2026
Abstract
Background and Objectives: Polyethylene (PE) mulching enhances crop productivity through microclimate optimization but introduces synthetic polymer-derived compounds into agricultural soils. Despite widespread use, biochemical and microbial impacts of PE mulch emissions remain poorly understood. This study investigated the impact of PE mulch emissions [...] Read more.
Background and Objectives: Polyethylene (PE) mulching enhances crop productivity through microclimate optimization but introduces synthetic polymer-derived compounds into agricultural soils. Despite widespread use, biochemical and microbial impacts of PE mulch emissions remain poorly understood. This study investigated the impact of PE mulch emissions on soil metabolomes and microbial communities during field pea (Pisum sativum L.) cultivation. Methods: A 75-day field experiment compared PE-mulched and non-mulched soils across five temporal sampling points (T0–T4). Headspace solid-phase microextraction coupled with gas chromatography–mass spectrometry was used to identify PE-derived organic compounds in mulched soils. Microbial community structure was assessed through the phospholipids derived fatty acids (PLFA) approach, whereas mass spectrometric untargeted metabolomics was used to characterize the soil biochemical profiles. Results: Analysis identified 18 PE-derived organic compounds (n-alkanes, phthalates, and additives) in the mulched soils. PE mulching significantly increased bacterial abundance (anaerobic bacteria, actinomycetes, and aerobic bacteria) but suppressed all functional fungal guilds, particularly saprotrophic fungi (30% reduction) and arbuscular mycorrhizal symbionts. PE-derived organic compounds were associated primarily with the first RDA axis (RDA1), which alone explained 44.6% of the metabolome variance. These compounds presented strong positive correlations with organic nitrogen compounds and lipids and negative correlations with benzenoids and nucleotides. Pathway analysis revealed perturbations in energy metabolism, lipid metabolism, and xenobiotic degradation pathways. Conclusions: PE mulch emissions differentially shift soil microbial communities and metabolic networks, with bacterial proliferation contrasting with fungal suppression. These findings highlight the complex trade-offs between agronomic benefits and soil biological impacts, emphasizing the need for sustainable mulching alternatives. Full article
Show Figures

Figure 1

12 pages, 1441 KB  
Article
Impact of Microplastics on Fagopyrum esculentum: Altered Soil and Plant Responses
by Skaiste Dreskiniene, Modupe Olufemi Doyeni, Karolina Barcauskaitė and Monika Vilkiene
Agronomy 2026, 16(6), 611; https://doi.org/10.3390/agronomy16060611 - 13 Mar 2026
Viewed by 120
Abstract
Microplastics (MPs) are increasingly accumulating in agricultural soils, posing risks to soil health and plant development. This study evaluated the short-term effects of two common secondary MPs, polypropylene (PP) and polyethylene (PE), introduced via mulch films at four concentrations (0.05%, 0.1%, 0.3%, and [...] Read more.
Microplastics (MPs) are increasingly accumulating in agricultural soils, posing risks to soil health and plant development. This study evaluated the short-term effects of two common secondary MPs, polypropylene (PP) and polyethylene (PE), introduced via mulch films at four concentrations (0.05%, 0.1%, 0.3%, and 0.5%), on soil properties and the growth of Fagopyrum esculentum (buckwheat). Buckwheat was grown for 50 days under controlled conditions in soil amended with PP or PE MP, and plant growth parameters, soil nutrients, and microbial biomass carbon were measured. Low PP concentrations, particularly 0.1%, stimulated shoot and root elongation, whereas higher concentrations reduced leaf number and biomass. In contrast, PE predominantly showed negative effects, significantly reducing root length and leaf number at 0.3% and above. Neither MP type caused statistically significant changes in soil element contents but affected buckwheat nutrient accumulation. Notably, soil microbial biomass carbon at the early growth stage (Day 29) decreased from ~240 mg C kg−1 in the control to 70–198 mg C kg−1 (17–71% reduction) under PE and several PP treatments. These findings demonstrate that even short-term exposure to MPs can alter key soil parameters and plant physiological responses, with effects strongly dependent on plastic type and concentration, highlighting concerns about continued plastic use in agriculture. Full article
Show Figures

Graphical abstract

18 pages, 4417 KB  
Article
Effects of Litter Mulch Type and Coverage Amount on Slope Runoff and Sediment Yield in Simulated Rainfall
by Shao-Ping Huang, Hao Wan, Yu-Han Liu, Yun-Yi Xu, Wan-Qing Li, Yao Li, Shang-Ge Liu, Kun Fang and Yuan-Hai Yang
Sustainability 2026, 18(6), 2776; https://doi.org/10.3390/su18062776 - 12 Mar 2026
Viewed by 121
Abstract
Soil erosion poses a significant threat to slope stability and ecological functionality. The litter layer, with its complex physical structure, enhances surface roughness, mitigates direct rainfall impact, and improves rainwater interception and soil retention. A litter of three typical slope-protection plant species from [...] Read more.
Soil erosion poses a significant threat to slope stability and ecological functionality. The litter layer, with its complex physical structure, enhances surface roughness, mitigates direct rainfall impact, and improves rainwater interception and soil retention. A litter of three typical slope-protection plant species from Wuhan, Hubei Province, China (Cynodon dactylon, Indigofera amblyantha, and Cinnamomum camphora) was selected for this experiment. This study quantified the effects of litter mulch at four coverage levels (0, 500, 800, and 1000 g/m2 based on dry mass) on slope runoff and sediment yield under simulated rainfall conditions at an intensity of 60 mm/h for a duration of one hour. The results indicated that (1) all litter types and coverage amounts effectively delayed the initiation of slope runoff, though their efficiencies in runoff and sediment reduction varied significantly. (2) Compared with the bare slope, the sediment yield in the plots covered with litter from Cynodon dactylon, Cinnamomum camphora, and Indigofera amblyantha decreased by 96.5%, 67.5%, and 9.4%, respectively, at a coverage of 800 g/m2. Runoff yield decreased by 56.9% and 29.7% in the plots covered with Cynodon dactylon and Cinnamomum camphora litter, whereas Indigofera amblyantha litter cover instead increased runoff yield by 31.6%. (3) Furthermore, increasing litter coverage from 500 to 1000 g/m2 progressively reduced runoff by 29% to 84% and sediment yield by 27.3% to 93.6% compared to the bare slope. These findings demonstrate the importance of litter cover in reducing runoff and soil erosion, offering quantitative support for optimizing vegetation-based slope management. Full article
(This article belongs to the Special Issue Sustainable Waste Management: Waste Activation and Mineralization)
Show Figures

Figure 1

19 pages, 4538 KB  
Article
YOLO-EGASF: A Small-Target Detection Algorithm for Surface Residual Film in UAV Imagery of Arid-Region Cotton Fields
by Xiao Yang, Ji Shi, Kailin Yang, Xiaoqing Lian, Shufeng Zhang, Hongbiao Wang and Zheng Li
AgriEngineering 2026, 8(3), 106; https://doi.org/10.3390/agriengineering8030106 - 10 Mar 2026
Viewed by 135
Abstract
Mulch-film covering technology has been widely adopted in cotton production in arid regions; however, the associated problem of residual-film pollution has become increasingly prominent, creating an urgent demand for efficient and accurate monitoring approaches. Owing to the small target scale, irregular morphology, blurred [...] Read more.
Mulch-film covering technology has been widely adopted in cotton production in arid regions; however, the associated problem of residual-film pollution has become increasingly prominent, creating an urgent demand for efficient and accurate monitoring approaches. Owing to the small target scale, irregular morphology, blurred boundaries, and complex soil backgrounds of residual-film fragments, residual-film detection based on close-range UAV imagery remains a challenging task. To address these issues, this study proposes an improved algorithm, termed YOLO-EGASF, for residual-film detection in arid-region cotton fields, built upon the lightweight YOLOv11n framework. To enhance the detection of small targets with weak boundary characteristics, the baseline model is improved from three aspects. First, a boundary-enhanced multi-branch small-target extraction module (EMSE) is designed to reinforce shallow-layer details and gradient information through multi-scale convolution and explicit edge enhancement. Second, a GLoCA attention module that integrates global coordinate information with local geometric features is constructed to improve the discriminative capability of the model for residual-film targets under complex background conditions. Third, an ASF-layer multi-scale feature fusion structure is introduced, together with an additional small-target detection layer, to strengthen the participation of high-resolution features in cross-scale fusion and prediction. Experimental results on a self-constructed UAV-based residual-film dataset from cotton fields demonstrate that YOLO-EGASF outperforms several mainstream detection models in terms of Precision, Recall, mAP@0.5, and mAP@0.5:0.95, achieving mAP@0.5 and mAP@0.5:0.95 values of 71.9% and 26.8%, respectively. These results indicate a significant improvement in detection accuracy and robustness, confirming that the proposed method can effectively meet the practical requirements of fine-grained residual-film monitoring in arid-region cotton fields. Full article
(This article belongs to the Special Issue Applications of Computer Vision in Agriculture)
Show Figures

Graphical abstract

16 pages, 1813 KB  
Article
Incubation Time and Size Effects of Biodegradable Mulch Microplastics on Lettuce Plantlets In Vitro
by Mathilde Henrion, Lluis Martin-Closas, Iseult Lynch and Ana M. Pelacho
Plants 2026, 15(5), 849; https://doi.org/10.3390/plants15050849 - 9 Mar 2026
Viewed by 228
Abstract
The use of biodegradable mulch films (BDM) in agriculture has raised concerns about the potential impact of the microplastics (MPs) they release over time, after the BDM’s useful life. The effects of BDM MPs have been explored through a diversity of assays, with [...] Read more.
The use of biodegradable mulch films (BDM) in agriculture has raised concerns about the potential impact of the microplastics (MPs) they release over time, after the BDM’s useful life. The effects of BDM MPs have been explored through a diversity of assays, with still poorly understood and frequently contrasting results. Furthermore, the impact on plants as the MPs evolve in size and as a function of residence time in the soil remains largely unexplored. Through a controlled in vitro lettuce culture, this study explores the effect of BDM MPs size, using fractions 5 to <0.2 mm and pre-incubation times of 0 to 8 weeks, on plant development. Short incubation times, of 1 and 2 weeks, and freshly adding the BDM MPs inhibited plantlet growth, with smaller MPs inducing stronger effects. In contrast, longer MPs incubation, of 8 weeks, promoted plantlet development, enhancing leaf and particularly root elongation while reducing lateral root branching. The effects on roots were more pronounced, as the MPs size decreased. Germination and photosynthetic pigments were unaffected by any treatment. Overall, BDM MPs’ impact on plants was mainly driven by particle size and incubation time in the medium prior to seeding, with adverse effects on plant development observed at short incubation times that were no longer present when incubation was extended. These findings highlight the need to unravel the dynamic and temporal nature of the BDM MPs’ interaction with plants. Full article
(This article belongs to the Special Issue Development and Application of In Vitro Culture Techniques in Plants)
Show Figures

Figure 1

16 pages, 2712 KB  
Article
Herbicidal Activity of the Invasive Weed Malachra capitata L.: Growth Stage Dependence, Bioassay-Guided Fractionation, and Physiological Effects on Seed Germination
by Pattharin Wichittrakarn, Sirichai Sathuwijarn, Nutcha Manichart, Kaori Yoneyama, Potjana Sikhao, Naphat Somala and Chamroon Laosinwattana
Plants 2026, 15(5), 832; https://doi.org/10.3390/plants15050832 - 8 Mar 2026
Viewed by 254
Abstract
The invasive weed Malachra capitata is unsuitable for human or animal consumption but has recently attracted attention for potential alternative uses. In this study, the allelopathic potential of M. capitata for weed control was investigated, as were its allelopathic effects on selected crops. [...] Read more.
The invasive weed Malachra capitata is unsuitable for human or animal consumption but has recently attracted attention for potential alternative uses. In this study, the allelopathic potential of M. capitata for weed control was investigated, as were its allelopathic effects on selected crops. The influence of plant developmental stage on its phytotoxic activity was also assessed. In addition, the physiological effects of the extract on seed germination were investigated. Aqueous leaf extracts were obtained across a range of growth stages and evaluated using seed germination and seedling growth bioassays, followed by bioassay-guided fractionation and GC-MS analysis. Leaves extracts collected at 35 days after planting exhibited the strongest inhibitory activity. Dicot plant species (Phaseolus lathyroides, Cucumis sativus, Brassica oleracea, and B. chinensis) were more susceptible to M. capitata extracts than grassy species (Echinochloa crus-galli, Zea mays, and Oryza sativa), indicating selective phytotoxicity. In pot experiments, application of leaf residues as surface mulch at rates of 100, 200, and 400 g/m2 significantly reduced P. lathyroides emergence by 11.25%, 35.00%, and 71.25%, respectively. Bioassay-guided fractionation indicated the ethyl acetate-soluble acidic fraction to contain the active allelochemicals. This inhibition was associated with reduced water uptake and suppression of α-amylase activity during seed germination. The most abundant GC-MS detectable components of the acidic fraction were octadecane (12.45%), eicosane (9.74%), and hexadecane (9.60%). Overall, these findings highlight the allelopathic potential of M. capitata, providing a foundation for further applied research and supporting its valorization for sustainable weed management. Full article
(This article belongs to the Section Plant Protection and Biotic Interactions)
Show Figures

Figure 1

26 pages, 25311 KB  
Article
Microbial-Mediated Nitrogen Variations and Yield Performances in a Soybean–Maize Strip Intercropping System Under Whole-Field Film Mulching
by Yuhang Liu, Longxing Wang, Yanyan Zhang, Wenyu Yang, Khalid Hussain, Xiaoyan Tang, Ting Lan and Xuesong Gao
Agronomy 2026, 16(5), 578; https://doi.org/10.3390/agronomy16050578 - 7 Mar 2026
Viewed by 266
Abstract
The soybean–maize strip intercropping system enhances soybean yield while maintaining maize production, improving nitrogen use efficiency, and fostering intercropping mutualism. However, vigorous weed growth in warm and humid regions competes for nitrogen, while elevated soil temperatures accelerate nitrification, promoting nitrogen loss, especially during [...] Read more.
The soybean–maize strip intercropping system enhances soybean yield while maintaining maize production, improving nitrogen use efficiency, and fostering intercropping mutualism. However, vigorous weed growth in warm and humid regions competes for nitrogen, while elevated soil temperatures accelerate nitrification, promoting nitrogen loss, especially during the peak nitrogen demand period of maize. Plastic film mulching, which conserves moisture, regulates temperature, and suppresses weeds, can improve the soil environment. A two-year field experiment was conducted with polyethylene (PE) films of various thicknesses (0.01, 0.014, 0.02 millimeters) and colors (black, white, silver-black) with an un-mulched control plot. Soil nitrogen content, microbial diversity, soil properties, and crop productivity were analyzed. The results indicated that plastic film mulching significantly altered soil nutrient availability and rhizosphere microbial community structures, while simultaneously enhancing crop productivity. The 0.014 mm black and white films performed best, showing a positive association with enhanced nitrogen transformation indices, which coincided with increased available nitrogen, biomass, and crop yield. However, long-term soil nutrient depletion remains a risk, suggesting the need for strategies like organic fertilizers or crop rotation to maintain soil fertility and ecological sustainability. Full article
(This article belongs to the Section Agroecology Innovation: Achieving System Resilience)
Show Figures

Graphical abstract

20 pages, 7316 KB  
Article
Effects of Different Biodegradable Mulch Films on Grain Filling Dynamics and Hormone Contents in Maize Grown in a Cold Region
by Yangming Guo, Yating Zhuang, Haoran Li, Danhui Zhang, Fei Li, Shaofeng Bian, Chen Xu, Lihua Zhang, Lizi Zhang, Hongxiang Zhao and Ning Sun
Agriculture 2026, 16(5), 614; https://doi.org/10.3390/agriculture16050614 - 6 Mar 2026
Viewed by 191
Abstract
In the cold and cool region of northeastern China, low temperature and limited soil moisture retention constrain maize yield, and mulching is widely used to alleviate these limitations. To reduce the environmental risks associated with polyethylene (PE) film, a two-year field experiment (2024–2025) [...] Read more.
In the cold and cool region of northeastern China, low temperature and limited soil moisture retention constrain maize yield, and mulching is widely used to alleviate these limitations. To reduce the environmental risks associated with polyethylene (PE) film, a two-year field experiment (2024–2025) was conducted to evaluate biodegradable films suitable for maize production in this region. Five mulching treatments were tested, including PE film (T1) and four biodegradable options—polypropylene carbonate (PPC, T2), polybutylene adipate terephthalate (PBAT, T3), polylactic acid (PLA, T4), and a PBAT + PPC composite film (T5)—with no mulching as the control (CK). Across two growing seasons, T1–T5 increased the effective grain filling duration by 4.74–13.58%, raised grain auxin content during grain filling by 1.54–29.33%, and increased the two-year mean yield by 13.95–24.73% compared with CK. Notably, the PBAT + PPC composite film (T5) did not differ significantly from PE film (T1) in grain filling traits, hormone regulation, or yield improvement (p > 0.05), indicating that T5 is a promising and sustainable alternative to PE film for maize production in cold regions. These findings provide technical support for selecting and applying biodegradable mulch films in cold-region maize systems and contribute to environmentally sustainable high-yield cultivation. Full article
(This article belongs to the Section Crop Production)
Show Figures

Figure 1

14 pages, 1978 KB  
Article
Inter-Row Reflective Film Mulching Revealed the Regulation of Ground-Reflected Light on Grape Flavoromics
by Ning Shi, Hao-Cheng Lu, Meng-Bo Tian, Ming-Yu Li, Chang-Qing Duan, Jun Wang and Fei He
Foods 2026, 15(5), 930; https://doi.org/10.3390/foods15050930 - 6 Mar 2026
Viewed by 123
Abstract
Inter-row mulching with reflective film (RF) has been increasingly adopted in cool-climate vineyards to improve light availability and promote grape ripening. This study investigated the effects of ground-reflected light on the flavoromic profiles of wine grape berries (Vitis vinifera L.) over two [...] Read more.
Inter-row mulching with reflective film (RF) has been increasingly adopted in cool-climate vineyards to improve light availability and promote grape ripening. This study investigated the effects of ground-reflected light on the flavoromic profiles of wine grape berries (Vitis vinifera L.) over two consecutive vintages (2020–2021) in the Beijing Fangshan region of Eastern China, an area characterized by high precipitation and limited sunlight during ripening. Physicochemical analyses showed that RF treatment significantly increased total soluble solids (TSSs) and decreased titratable acidity (TA) at harvest. Targeted metabolomic analyses using HPLC–MS and GC–MS identified 21 flavonoids and 35 volatile compounds responsive to altered light conditions. RF treatment markedly enhanced the accumulation of anthocyanins and flavonols, especially malvidin-based derivatives, and increased terpene and norisoprenoid concentrations, while C6/C9 compounds were more abundant in control berries. Multivariate analysis revealed that PC1 was mainly associated with anthocyanin accumulation, clearly separating RF-treated samples, whereas PC2 reflected differences in flavonols and flavan-3-ols, with higher flavonols under RF and higher skin- and seed-derived flavan-3-ols in controls. Overall, these findings demonstrate that ground-reflected light plays a critical role in modulating grape flavor composition and provides practical guidance for improving fruit quality in suboptimal climatic regions. Full article
(This article belongs to the Section Foodomics)
Show Figures

Figure 1

17 pages, 2762 KB  
Article
Effects of Biodegradable Mulch and Organic Amendments on Maize Root Characteristics and Soil Stabilization Capacity in the Hilly Region of the Loess Plateau
by Ruijun Wang, Lixia Shen, Jia Sun, Jialong Hou, Guoqiang Geng and Liyong Wang
Sustainability 2026, 18(5), 2587; https://doi.org/10.3390/su18052587 - 6 Mar 2026
Viewed by 146
Abstract
Soil erosion is a critical issue on the Loess Plateau due to weak soil and intense summer rainfall. Plant roots provide essential soil stabilization. A split-plot field experiment was conducted in Liulin County, Shanxi Province, to evaluate the effects of biodegradable mulch and [...] Read more.
Soil erosion is a critical issue on the Loess Plateau due to weak soil and intense summer rainfall. Plant roots provide essential soil stabilization. A split-plot field experiment was conducted in Liulin County, Shanxi Province, to evaluate the effects of biodegradable mulch and organic amendments on maize root development and soil stabilization. The main plots included no mulch (N) and biodegradable mulch (M). The subplots comprised five treatments: control (CK, no amendment), peat (PT), biochar (BC), fermented pig manure (PM), and corn stover (CS). Correlation and principal component analyses were used to elucidate the underlying mechanisms. The results showed that organic amendments were the primary factor influencing the root and soil properties. Peat and biochar significantly raised the root surface area density (RSAD, p < 0.05) and root–soil composite cohesion (with increases of 122.56% and 109.06% for NPT and NBC compared to NCK, respectively). Biodegradable mulch, and its interaction with the organic amendments, had no statistically significant effect on either the root–soil composite cohesion or root system parameters. The strong positive correlations of cohesion with the root length density (RLD, r = 0.80) and root volume density (RVD, r = 0.81) highlight that root occupancy is the key mechanism for enhanced shear resistance. Therefore, biochar is recommended for its effectiveness in enhancing soil retention and its potential co-benefits for carbon sequestration. This study provides a technical reference for sustainable agriculture on the Loess Plateau, while also acknowledging the need for further research on long-term carbon dynamics. Full article
Show Figures

Figure 1

Back to TopTop