The Effect of Wool Mulch on Plant Development in the Context of the Physical and Biological Conditions in Soil
Abstract
1. Introduction
2. Results
2.1. The Effect of Wool Mulch on Water Use Efficiency in Different Soil Types
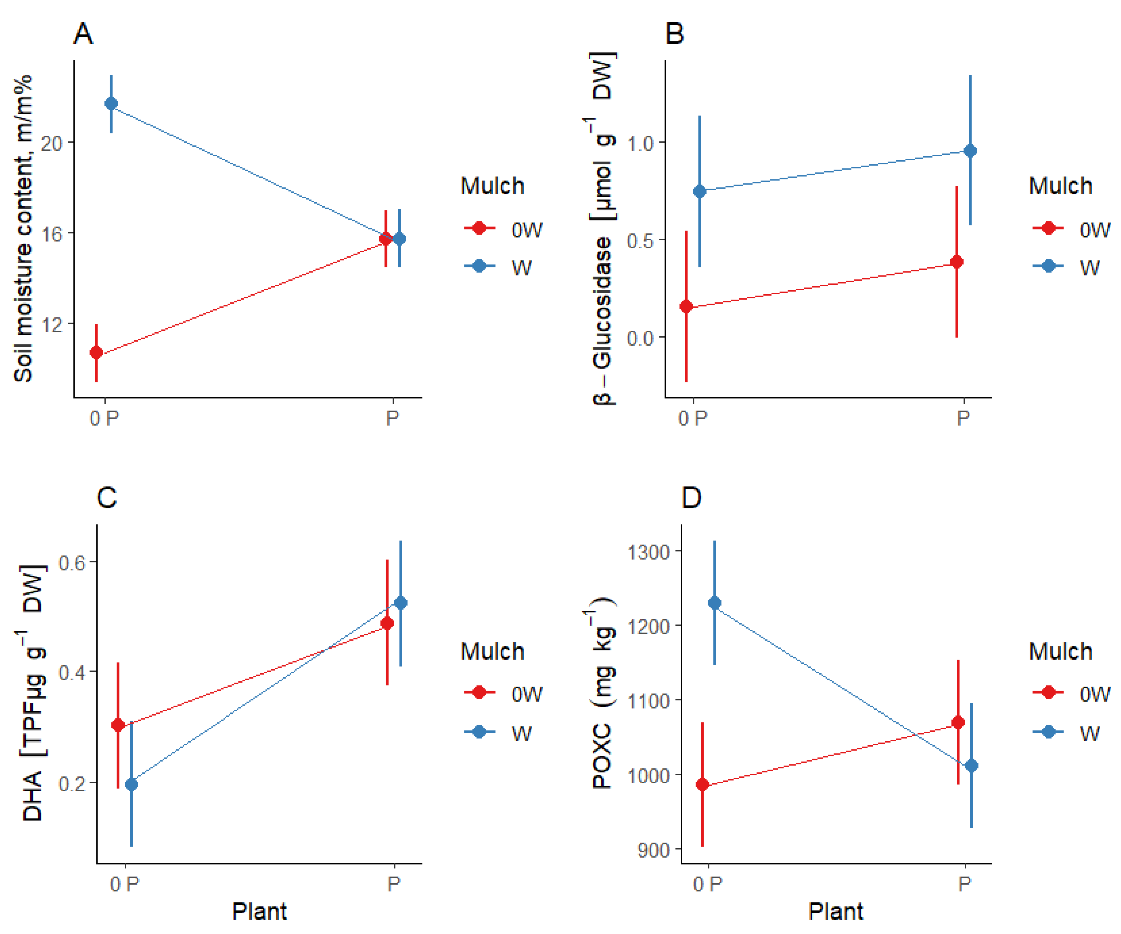
2.2. Wool Mulch–Plant Interaction Assessment in Greece
2.3. Comparison of Wool Mulch and Other Mulch Materials at the Serbian Site
3. Discussion
3.1. The Effect of Wool Mulch on Water Use Efficiency in Different Soil Types
3.2. Effect of Wool Mulch–Plant Interactions on Soil Biological Activity
3.3. Effect of Wool Mulch on the Biological Activity of Soil in Comparison with Other Mulch Materials
4. Materials and Methods
4.1. Pot Trial
4.2. Semi-Field Trials
4.3. Data Analysis
5. Conclusions
Author Contributions
Funding
Data Availability Statement
Acknowledgments
Conflicts of Interest
References
- Kader, M.A.; Senge, M.; Mojid, M.A.; Ito, K. Recent advances in mulching materials and methods for modifying soil environment. Soil Tillage Res. 2017, 168, 155–166. [Google Scholar] [CrossRef]
- Howden, S.M.; Soussana, J.-F.; Tubiello, F.N.; Chhetri, N.; Dunlop, M.; Meinke, H. Adapting agriculture to climate change. Proc. Natl. Acad. Sci. USA 2007, 104, 19691–19696. [Google Scholar] [CrossRef] [PubMed]
- Wheeler, T.; Von Braun, J. Climate Change Impacts on Global Food Security|Science. Available online: https://www.science.org/doi/abs/10.1126/science.1239402 (accessed on 6 December 2022).
- Tugwell-Wootton, T.; Skrzypek, G.; Dogramaci, S.; McCallum, J.; Grierson, P.F. Soil moisture evaporative losses in response to wet-dry cycles in a semiarid climate. J. Hydrol. 2020, 590, 125533. [Google Scholar] [CrossRef]
- Zribi, W.; Aragüés, R.; Medina, E.; Faci, J.M. Efficiency of inorganic and organic mulching materials for soil evaporation control. Soil Tillage Res. 2015, 148, 40–45. [Google Scholar] [CrossRef]
- Or, D.; Lehmann, P.; Shahraeeni, E.; Shokri, N. Advances in Soil Evaporation Physics—A Review. Vadose Zone J. 2013, 12, vzj2012.0163. [Google Scholar] [CrossRef]
- Giorgi, F.; Lionello, P. Climate change projections for the Mediterranean region. Glob. Planet. Chang. 2008, 63, 90–104. [Google Scholar] [CrossRef]
- Kertész, Á.; Jakab, G.; Madarász, B.; Tóth, A.; Szalai, Z. Geotextíliák alkalmazása a talajpusztulás megfékezésére Magyarországon. In Természetföldrajzi Kut. Magy. XXI Sz. Elején; Horváth, E., Mari, L., Eds.; Eötvös Loránd Unversity: Budapest, Hungary, 2012. [Google Scholar]
- Zhao, H.-L.; Yi, X.-Y.; Zhou, R.-L.; Zhao, X.-Y.; Zhang, T.-H.; Drake, S. Wind erosion and sand accumulation effects on soil properties in Horqin Sandy Farmland, Inner Mongolia. CATENA 2006, 65, 71–79. [Google Scholar] [CrossRef]
- Döring, T.F.; Brandt, M.; Heß, J.; Finckh, M.R.; Saucke, H. Effects of straw mulch on soil nitrate dynamics, weeds, yield and soil erosion in organically grown potatoes. Field Crops Res. 2005, 94, 238–249. [Google Scholar] [CrossRef]
- Shen, J.Y.; Zhao, D.D.; Han, H.F.; Zhou, X.B.; Li, Q.Q. Effects of straw mulching on water consumption characteristics and yield of different types of summer maize plants. Plant Soil Environ. 2012, 58, 161–166. [Google Scholar] [CrossRef]
- Parmar, H.N.; Polara, N.D.; Viradiya, R.R. Effect of mulching material on growth, yield and quality of watermelon (Citrullus lanatus Thunb) Cv. Kiran. Univers. J. Agric. Res. 2013, 1, 30–37. [Google Scholar]
- Li, J.; Li, M.; Gao, X.; Fang, F. Corn straw mulching affects Parthenium hysterophorus and rhizosphere organisms. Crop Prot. 2018, 113, 90–96. [Google Scholar] [CrossRef]
- Manna, K.; Kundu, M.C.; Saha, B.; Ghosh, G.K. Effect of nonwoven jute agrotextile mulch on soil health and productivity of broccoli (Brassica oleracea L.) in lateritic soil. Environ. Monit. Assess. 2018, 190, 82. [Google Scholar] [CrossRef] [PubMed]
- Jungić, D.; Turk, P.; Benko, B. Moisture regime in Hortisol and lettuce yield under different mulching conditions. J. Cent. Eur. Agric. 2020, 21, 354–365. [Google Scholar] [CrossRef]
- Adekaldu, E.; Amponsah, W.; Tuffour, H.O.; Adu, M.O.; Agyare, W.A. Response of Chilli Pepper to Different Irrigation Schedules and Mulching Technologies in Semi-Arid Environments|Elsevier En-Hanced Reader. Available online: https://reader.elsevier.com/reader/sd/pii/S2666154321001241?token=C5141B65A9F97D7EC1C95AFAA1B6F22391E93121DD27A2EC2523E47CA05C26ABFA543951B0D4BA04176418A4D3FE1799&originRegion=eu-west-1&originCreation=20221128114452 (accessed on 28 November 2022).
- Hoover, D.E. Bio-Based Weed Control in Strawberries Using Sheep Wool Mulch, Canola Mulch, and Canola Green Manure; Minnesota Department of Agriculture: St Paul, MN, USA, 2000; p. 4.
- Sharma, N.; Allardyce, B.; Rajkhowa, R.; Adholeya, A.; Agrawal, R. A Substantial Role of Agro-Textiles in Agricultural Applications. Front. Plant Sci. 2022, 13, 895740. [Google Scholar] [CrossRef]
- Szarka, G.; Kollar, J.; Mosnáček, J.; Béla, I. Polimerek A Talaj Felett És Alatt: Korszerű Környezetbarát Polimerek. Magy. Kémikusok Lapja 2015, 70, 7–8. [Google Scholar]
- Madarász, B.; Jakab, G.; Szalai, Z.; Juhos, K.; Kotroczó, Z.; Tóth, A.; Ladányi, M. Long-Term Effects of Conservation Tillage on Soil Erosion in Central Europe: A Random Forest-Based Approach|Elsevier Enhanced Reader. Available online: https://reader.elsevier.com/reader/sd/pii/S0167198721000295?token=55DDD56E844909051B235410762714F1902014E45ED0E48A935DE14DC1E99AC75716AD98FE680A36B7FD71867931FB7E&originRegion=eu-west-1&originCreation=20221129161729 (accessed on 29 November 2022).
- Kader, M.A.; Senge, M.; Mojid, M.A.; Nakamura, K. Mulching Type-Induced Soil Moisture and Temperature Regimes and Water Use Efficiency of Soybean under Rain-Fed Condition in Central Japan|Elsevier Enhanced Reader. Available online: https://reader.elsevier.com/reader/sd/pii/S2095633917301090?token=0F1C09C8F02136D2433AAD9ABEBE5E9EF1036C488788B05075751F095068BA481A9C5AB2A7EFB1C33CDF317A6F8C3E5F&originRegion=eu-west-1&originCreation=20221128191528 (accessed on 28 November 2022).
- Ngosong, C.; Okolle, J.N.; Tening, A.S. Mulching: A Sustainable Option to Improve Soil Health. In Soil Fertility Management for Sustainable Development; Panpatte, D.G., Jhala, Y.K., Eds.; Springer: Singapore, 2019; pp. 231–249. ISBN 9789811359040. [Google Scholar]
- Marczak, D.; Lejcuś, K.; Kulczycki, G.; Misiewicz, J. Towards Circular Economy: Sustainable Soil Additives from Natural Waste Fibres to Improve Water Retention and Soil Fertility|Elsevier Enhanced Reader. Available online: https://reader.elsevier.com/reader/sd/pii/S004896972204267X?token=06E3D280B31BA2347A3E446D9E632B18A4F4B8D0CC2B6C3DC9A1D23F5A377D10D1FA61BAD889FB061DC1866313D918EB&originRegion=eu-west-1&originCreation=20221129162159 (accessed on 29 November 2022).
- Sharma, S.C.; Sahoo, A.; Chand, R. Potential use of waste wool in agriculture: An overview. Indian J. Small Rumin. 2019, 25, 1. [Google Scholar] [CrossRef]
- Böhme, M.; Pinker, I.; Grüneberg, H.; Herfort, S. Sheep Wool as Fertiliser for Vegetables and Flowers in Organic Farming. Acta Hortic. 2012, 933, 195–202. [Google Scholar] [CrossRef]
- Yan, N.; Marschner, P.; Cao, W.; Zuo, C.; Qin, W. Influence of salinity and water content on soil microorganisms. Int. Soil Water Conserv. Res. 2015, 3, 316–323. [Google Scholar] [CrossRef]
- Kocsis, T.; Ringer, M.; Biró, B. Characteristics and Applications of Biochar in Soil–Plant Systems: A Short Review of Benefits and Potential Drawbacks. Appl. Sci. 2022, 12, 4051. [Google Scholar] [CrossRef]
- Butcaru, A.C.; Stănică, F.; Madjar, R. Influence of ameliorative plants and mulch on some soil agrochemical characteristics in an organic edible rose crop. Sci. Pap. Ser. B Hortic. 2017, 61, 101–106. [Google Scholar]
- Kar, G.; Kumar, A. Effects of irrigation and straw mulch on water use and tuber yield of potato in eastern India. Agric. Water Manag. 2007, 94, 109–116. [Google Scholar] [CrossRef]
- Wang, Y.; Huang, Q.; Liu, C.; Ding, Y.; Liu, L.; Tian, Y.; Wu, X.; Li, H.; Awasthi, M.K.; Zhao, Z. Mulching practices alter soil microbial functional diversity and benefit to soil quality in orchards on the Loess Plateau. J. Environ. Manag. 2020, 271, 110985. [Google Scholar] [CrossRef] [PubMed]
- Yu, J.-G.; Li, H.X.; Chen, X.Y.; Hu, F. Effects of straw application and earthworm inoculation on soil labile organic carbon. Available online: https://europepmc.org/article/med/17615878 (accessed on 1 December 2022).
- Borowik, A.; Wyszkowska, J. Soil moisture as a factor affecting the microbiological and biochemical activity of soil. Plant Soil Environ. 2016, 62, 250–255. [Google Scholar] [CrossRef]
- Tesfuhuney, W.A.; Swart, W.; Van Rensburg, L.D.; Wolmarans, K.; Walker, S.; Chung Yu, H. Soil microbial activity as influenced by crusted runoff strip length and mulch cover under in-field rainwater harvesting (IRWH). Phys. Chem. Earth Parts ABC 2022, 128, 103258. [Google Scholar] [CrossRef]
- Zhang, Y.; Wang, J.; Gong, S.; Xu, D.; Sui, J.; Wu, Z.; Mo, Y. Effects of film mulching on evapotranspiration, yield and water use efficiency of a maize field with drip irrigation in Northeastern China. Agric. Water Manag. 2018, 205, 90–99. [Google Scholar] [CrossRef]
- Chakraborty, D.; Nagarajan, S.; Aggarwal, P.; Gupta, V.K.; Tomar, R.K.; Garg, R.N.; Sahoo, R.N.; Sarkar, A.; Chopra, U.K.; Sarma, K.S.S.; et al. Effect of mulching on soil and plant water status, and the growth and yield of wheat (Triticum aestivum L.) in a semi-arid environment. Agric. Water Manag. 2008, 95, 1323–1334. [Google Scholar] [CrossRef]
- Mukherjee, A.; Kundu, M.; Sarkar, S. Role of irrigation and mulch on yield, evapotranspiration rate and water use pattern of tomato (Lycopersicon esculentum L.). Agric. Water Manag. 2010, 98, 182–189. [Google Scholar] [CrossRef]
- Huang, Y.; Chen, L.; Fu, B.; Huang, Z.; Gong, J. The wheat yields and water-use efficiency in the Loess Plateau: Straw mulch and irrigation effects. Agric. Water Manag. 2005, 72, 209–222. [Google Scholar] [CrossRef]
- Kovacs, B.; Kotroczó, Z.; Kocsis, L.; Biró, B. Potentials of indoor lettuce production in natural forest soil at limited watering. J. Cent. Eur. Agric. 2020, 21, 531–536. [Google Scholar] [CrossRef]
- Kotroczó, Z.; Veres, Z.; Fekete, I.; Krakomperger, Z.; Tóth, J.A.; Lajtha, K.; Tóthmérész, B. Soil enzyme activity in response to long-term organic matter manipulation. Soil Biol. Biochem. 2014, 70, 237–243. [Google Scholar] [CrossRef]
- Garcia, C.; Hernandez, T.; Costa, F. Potential use of dehydrogenase activity as an index of microbial activity in degraded soils. Commun. Soil Sci. Plant Anal. 1997, 28, 123–134. [Google Scholar] [CrossRef]
- Kotroczó, Z.; Fekete, I. Significance of soil respiration from biological activity in the degradation processes of different types of organic matter. DRC Sustain. Future J. Environ. Agric. Energy 2020, 1, 171–179. [Google Scholar] [CrossRef]
- Balwinder-Singh; Eberbach, P.L.; Humphreys, E.; Kukal, S.S. The effect of rice straw mulch on evapotranspiration, transpiration and soil evaporation of irrigated wheat in Punjab, India. Agric. Water Manag. 2011, 98, 1847–1855. [Google Scholar] [CrossRef]
- Duppong, L.M.; Delate, K.; Liebman, M.; Horton, R.; Romero, F.; Kraus, G.; Petrich, J.; Chowdbury, P.K. The Effect of Natural Mulches on Crop Performance, Weed Suppression and Biochemical Constituents of Catnip and St. John’s Wort. Crop Sci. 2004, 44, 861–869. [Google Scholar] [CrossRef] [PubMed]
- Broda, J.; Przybyło, S.; Kobiela-Mendrek, K.; Biniaś, D.; Rom, M.; Grzybowska-Pietras, J.; Laszczak, R. Biodegradation of sheep wool geotextiles. Int. Biodeterior. Biodegrad. 2016, 115, 31–38. [Google Scholar] [CrossRef]
- Sinsabaugh, R.L.; Klug, M.J.; Yeager, P.E. Characterizing Soil Microbial. In Standard Soil Methods for Long-Term Ecological Research; Oxford University Press: New York, NY, USA, 1999; p. 318. [Google Scholar]
- Veres, Z.; Kotroczó, Z.; Magyaros, K.; Tóth, J.A.; Tóthmérész, B. Dehydrogenase Activity in a Litter Manipulation Experiment in Temperate Forest Soil. Acta Silv. Lignaria Hung. 2013, 9, 25–33. [Google Scholar] [CrossRef]
- Weil, R.R.; Islam, K.R.; Stine, M.A.; Gruver, J.B.; Samson-Liebig, S.E. Estimating active carbon for soil quality assessment: A simplified method for laboratory and field use. Am. J. Altern. Agric. 2003, 18, 3–17. [Google Scholar] [CrossRef]
- Brown, M.B.; Forsythe, A.B. Robust Tests for the Equality of Variances. J. Am. Stat. Assoc. 1974, 69, 364–367. [Google Scholar] [CrossRef]
- Fox, J.; Weisberg, S. Visualizing Fit and Lack of Fit in Complex Regression Models with Predictor Effect Plots and Partial Residuals. J. Stat. Softw. 2018, 87, 1–27. [Google Scholar] [CrossRef]
- Kim, H.-Y. Statistical Notes for Clinical Researchers: Assessing Normal Distribution (2) Using Skewness and Kurtosis. Available online: https://synapse.koreamed.org/articles/1090037 (accessed on 19 December 2022).



| Soil Type | Treatment | Total ET, g | Dry Biomass per Plant, g | ETc, g Water g−1 Dry Biomass | |||
|---|---|---|---|---|---|---|---|
| Clay loam | C | 89.65 | ±19.12 | 0.30 | ±0.11 | 331.47 | ±137.91 |
| WM | 61.80 | ±20.96 | 0.32 | ±0.06 | 204.82 | ±84.17 | |
| Sandy soil | C | 80.58 | ±25.03 | 0.18 | ±0.038 | 457.84 | ±131.28 |
| WM | 81.77 | ±26.54 | 0.30 | ±0.19 | 334.10 | ±156.85 | |
| Potting soil | C | 126.35 | ±13.12 | 0.64 | ±0.08 | 198.14 | ±10.71 |
| WM | 94.12 | ±20.78 | 0.61 | ±0.06 | 152.28 | ±21.31 | |
| Predictors | Response Variable | F-Value | Sig Level | Effect Size (η2) |
|---|---|---|---|---|
| Mulch | Soil moisture | 72.11 | *** | 0.78 |
| β-Glucosidase | 8.68 | * | 0.30 | |
| DHA | 0.37 | ns | 0.02 | |
| POXC | 4.80 | ns | 0.19 | |
| Plant | Soil moisture | 0.47 | ns | 0.02 |
| β-Glucosidase | 1.24 | ns | 0.06 | |
| DHA | 19.29 | *** | 0.49 | |
| POXC | 2.51 | ns | 0.11 | |
| Mulch ∗ Plant | Soil moisture | 71.58 | *** | 0.78 |
| β-Glucosidase | 0.002 | ns | 0.00 | |
| DHA | 1.46 | ns | 0.07 | |
| POXC | 12.57 | * | 0.39 |
| Site | Treatment | Average Sweet Pepper Yield (kg per Plant) |
|---|---|---|
| Serbian site (sandy soil) | Control (C) | 0.503 |
| Straw mulch (SM) | 0.850 | |
| Agro textile (AT) | 0.808 | |
| Wool mulch (WM) | 0.504 | |
| Greek site (coarse loam) | Plant with wool mulch (PW) | 1.283 |
| Plant without wool mulch (P) | 0.904 |
| Location | Date | Average Daily Temperature (°C) | Total Amount of Precipitation (mm) | Humidity (%) |
|---|---|---|---|---|
| Greek site Coarse–loamy neutral soil with low–moderate organic matter content: SOM = 1.57%; pH = 6.90 | June | 25.5 °C | 2.28 mm | 55.27%, |
| July | 27.24 °C | 1.51 mm | 45.72%, | |
| August | 27.99 °C | 1.05 mm | 49.08%, | |
| September | 22.32 °C | 0.95 mm | 60.35% | |
| Serbian site Sandy soil with low soil organic matter content: SOM = 0.75%; pH = 7.44 | June | 25.34 °C | 5.5 mm | 41.66% |
| July | 26.36 °C | 3.9 mm | 35.7% | |
| August | 26.33 °C | 39.7 mm | 43.79% | |
| September | 18.45 °C | 51.1 mm | 57.98% |
Disclaimer/Publisher’s Note: The statements, opinions and data contained in all publications are solely those of the individual author(s) and contributor(s) and not of MDPI and/or the editor(s). MDPI and/or the editor(s) disclaim responsibility for any injury to people or property resulting from any ideas, methods, instructions or products referred to in the content. |
© 2023 by the authors. Licensee MDPI, Basel, Switzerland. This article is an open access article distributed under the terms and conditions of the Creative Commons Attribution (CC BY) license (https://creativecommons.org/licenses/by/4.0/).
Share and Cite
Juhos, K.; Papdi, E.; Kovács, F.; Vasileiadis, V.P.; Veres, A. The Effect of Wool Mulch on Plant Development in the Context of the Physical and Biological Conditions in Soil. Plants 2023, 12, 684. https://doi.org/10.3390/plants12030684
Juhos K, Papdi E, Kovács F, Vasileiadis VP, Veres A. The Effect of Wool Mulch on Plant Development in the Context of the Physical and Biological Conditions in Soil. Plants. 2023; 12(3):684. https://doi.org/10.3390/plants12030684
Chicago/Turabian StyleJuhos, Katalin, Enikő Papdi, Flórián Kovács, Vasileios P. Vasileiadis, and Andrea Veres. 2023. "The Effect of Wool Mulch on Plant Development in the Context of the Physical and Biological Conditions in Soil" Plants 12, no. 3: 684. https://doi.org/10.3390/plants12030684
APA StyleJuhos, K., Papdi, E., Kovács, F., Vasileiadis, V. P., & Veres, A. (2023). The Effect of Wool Mulch on Plant Development in the Context of the Physical and Biological Conditions in Soil. Plants, 12(3), 684. https://doi.org/10.3390/plants12030684

