Degradability and Properties of PBAT-Based Biodegradable Mulch Films in Field and Their Effects on Cotton Planting
Abstract
:1. Introduction
2. Materials & Methods
2.1. Materials
2.2. Preparation of PBAT Films
2.3. Field Tests
2.3.1. Site Description
2.3.2. Experimental Design
2.3.3. Quantitative Degradation Grading Observation
2.3.4. Agronomic Performance Assessment
2.4. Characterization and Properties Tests
2.4.1. Imaging of Sample Surfaces
2.4.2. FTIR Spectroscopy
2.4.3. TG Analysis
2.4.4. Differential Scanning Calorimetry (DSC)
2.4.5. GPC
2.4.6. Water Vapor Permeability Testing
2.4.7. Mechanical Property Testing
3. Result & Discussion
3.1. Morphology
3.2. Structure
3.3. Molecular Weight
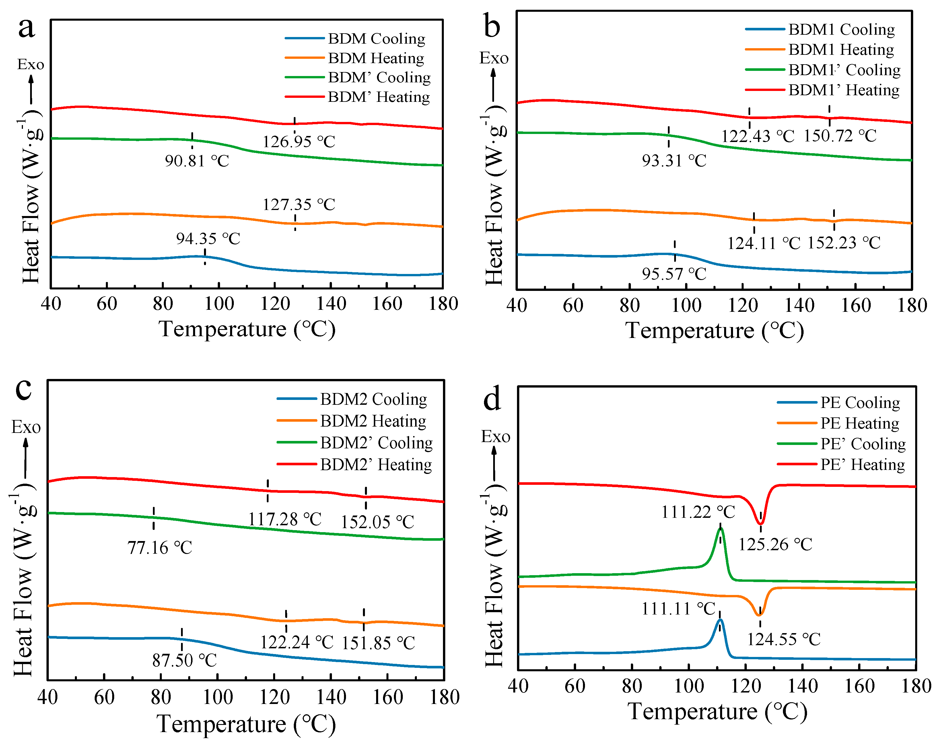
3.4. Thermal Analysis
3.5. Functional Performance for Mulching
3.6. Degradation Behavior
3.7. Effects on Cotton Growth and Yield
4. Conclusions
Supplementary Materials
Author Contributions
Funding
Institutional Review Board Statement
Informed Consent Statement
Data Availability Statement
Conflicts of Interest
References
- Serrano-Ruiz, H.; Martin-Closas, L.; Pelacho, A.M. Biodegradable plastic mulches: Impact on the agricultural biotic environment. Sci. Total Environ. 2021, 750, 141228. [Google Scholar] [CrossRef] [PubMed]
- Griffin-LaHue, D.; Ghimire, S.; Yu, Y.; Scheenstra, E.J.; Miles, C.A.; Flury, M. In-field degradation of soil-biodegradable plastic mulch films in a Mediterranean climate. Sci. Total Environ. 2022, 806, 150238. [Google Scholar] [CrossRef] [PubMed]
- Tosin, M.; Barbale, M.; Chinaglia, S.; Degli-Innocenti, F. Disintegration and mineralization of mulch films and leaf litter in soil. Polym. Degrad. Stabil. 2020, 179, 109309. [Google Scholar] [CrossRef]
- EN 17033, Plastics–Biodegradable Mulch Films for Use in Agriculture and Horticulture-Requirements and Test Methods, European Committee for Standardization. 2018. FSP_PROJECT, FSP_ORG_ID: 41401,6230&cs¼19E53F 436D5E8A6FF49358DA8C195A6E2. Available online: https://standards.cen.eu/dyn/www/f?p¼204:110:0 (accessed on 24 June 2020).
- DeVetter, L.W.; Zhang, H.; Ghimire, S.; Watkinson, S.; Miles, C.A. Plastic biodegradable mulches reduce weeds and promote crop growth in day-neutral strawberry in western Washington. Hortscience 2017, 52, 1700–1706. [Google Scholar] [CrossRef] [Green Version]
- Saglam, M.; Sintim, H.Y.; Bary, A.I.; Miles, C.A.; Ghimire, S.; Inglis, D.A.; Flury, M. Modeling the effect of biodegradable paper and plastic mulch on soil moisture dynamics. Agric. Water Manag. 2017, 193, 240–250. [Google Scholar] [CrossRef]
- Li, Q.; Li, H.; Zhang, L.; Zhang, S.; Chen, Y. Mulching improves yield and water-use efficiency of potato cropping in China: A meta-analysis. Field Crops Res. 2018, 221, 50–60. [Google Scholar] [CrossRef]
- Sekara, A.; Pokluda, R.; Cozzolino, E.; del Piano, L.; Cuciniello, A.; Caruso, G. Plant growth, yield, and fruit quality of tomato affected by biodegradable and non-degradable mulches. Hortic. Sci. 2019, 46, 138–145. [Google Scholar] [CrossRef]
- Wang, Z.; Li, M.; Flury, M.; Schaeffer, S.M.; Chang, Y.; Tao, Z.; Jia, Z.; Li, S.; Ding, F.; Wang, J. Agronomic performance of polyethylene and biodegradable plastic film mulches in a maize cropping system in a humid continental climate. Sci. Total Environ. 2021, 786, 147460. [Google Scholar] [CrossRef]
- Yin, M.; Li, Y.; Fang, H.; Chen, P. Biodegradable mulching film with an optimum degradation rate improves soil environment and enhances maize growth. Agric. Water Manage. 2019, 216, 127–137. [Google Scholar] [CrossRef]
- Dai, J.; Dong, H. Intensive cotton farming technologies in China: Achievements, challenges and countermeasures. Field Crops Res. 2014, 155, 99–110. [Google Scholar] [CrossRef] [Green Version]
- Zhang, D.; Liu, H.B.; Hu, W.L.; Qin, X.H.; Yan, C.R.; Wang, H.Y. The status and distribution characteristics of residual mulching film in Xinjiang, China. J. Integr. Agric. 2016, 15, 2639–2646. [Google Scholar] [CrossRef] [Green Version]
- Hayes, D.G.; Anunciado, M.B.; DeBruyn, J.M.; Bandopadhyay, S.; Schaeffer, S.; English, M.; Sintim, H.Y. Biodegradable plastic mulch films for sustainable specialty crop production. In Polymers for Agri-Food Applications; Gutiérrez, T.J., Ed.; Springer Nature: Cham, Switzerland, 2019; Chapter 11; pp. 183–213. [Google Scholar] [CrossRef]
- Sander, M. Biodegradation of polymeric mulch films in agricultural soils: Concepts, knowledge gaps, and future research directions. Environ. Sci. Technol. 2019, 53, 2304–2315. [Google Scholar] [CrossRef]
- Bao, Q.; Wong, W.H.; Liu, S.R.; Tao, X.M. AcceleratedDegradation of Poly(lactide acid)/Poly(hydroxybutyrate)(PLA/PHB)Yarns/Fabrics by UV and O2 Exposure in SouthChina Seawater. Polymers 2022, 14, 1216. [Google Scholar] [CrossRef] [PubMed]
- Pavon, C.; Aldas, M.; Rosa-Ramírez, H.D.L.; López-Martínez, J.; Arrieta, M.P. Improvement of PBATProcessability and MechanicalPerformance by Blending with Pine ResinDerivativesfor Injection Moulding RigidPackaging withEnhanced Hydrophobicity. Polymers 2020, 12, 2891. [Google Scholar] [CrossRef]
- Shen, S. Prediction of the Miscibility of PBAT/PLA Blends. Polymers 2021, 13, 2339. [Google Scholar] [CrossRef]
- Touchaleaume, F.; Martin-Closas, L.; Angellier-Coussy, H.; Chevillard, A.; Cesar, G.; Gontard, N.; Gastaldi, E. Performance and environmental impact of biodegradable polymers as agricultural mulching films. Chemosphere 2016, 144, 433–439. [Google Scholar] [CrossRef] [PubMed]
- Nelson, T.F.; Remke, S.C.; Kohler, H.P.E.; McNeill, K.; Sander, M. Quantification of Synthetic Polyesters from Biodegradable Mulch Films in Soils. Environ. Sci. Technol. 2019, 54, 266–275. [Google Scholar] [CrossRef] [PubMed]
- Deng, L.; Yu, Y.; Zhang, H.; Wang, Q.; Yu, R. The effects of biodegradable mulch film on the growth, yield, and water use efficiency of cotton and maize in an arid region. Sustainability 2019, 11, 7039. [Google Scholar] [CrossRef]
- Wang, Z.; Wu, Q.; Fan, B.; Zhang, J.; Li, W.; Zheng, X.; Guo, L. Testing biodegradable films as alternatives to plastic films in enhancing cotton (Gossypium hirsutum L.) yield under mulched drip irrigation. Soil Tillage Res. 2019, 192, 196–205. [Google Scholar] [CrossRef]
- Wang, Z.; Wu, Q.; Fan, B.; Zheng, X.; Zhang, J.; Li, W.; Guo, L. Effects of mulching biodegradable films under drip irrigation on soil hydrothermal conditions and cotton (Gossypium hirsutum L.) yield. Agric. Water Manage. 2019, 213, 477–485. [Google Scholar] [CrossRef]
- Wu, Q.; Wang, Z.; Zheng, X.; Zhang, J.; Li, W. Effects of biodegradation film mulching on soil temperature, moisture and yield of cotton under drip irrigation in typical oasis area. Trans. Chin. Soc. Agric. Eng. 2017, 33, 135–143. [Google Scholar] [CrossRef]
- Dou, Q.; Tang, Q.; Wu, F.; Lin, T.; He, W.; Yan, C.; Yang, Z. The impacts of different degradable plastic mulches on growth and yield of Xinjiang cotton. J. Agric. Resour. Environ. 2019, 36, 649. [Google Scholar] [CrossRef]
- Zhao, C.; He, W.; Liu, S.; Yang, C.; Cao, S. Degradation of biodegradable plastic mulching film and its effect on the yield of cotton in China’s Xinjiang region. J. Agro-Environ. Sci. 2011, 30, 1616–1621, (In Chinese with English Abstract). [Google Scholar]
- Al-Itry, R.; Lamnawar, K.; Maazouz, A. Improvement of thermal stability, rheological and mechanical properties of PLA, PBAT and their blends by reactive extrusion with functionalized epoxy. Polym. Degrad. Stabil. 2012, 97, 1898–1914. [Google Scholar] [CrossRef]
- ASTM-E96; Standard Test Methods for Water Vapour Transmission of Materials. ASTM International: West Conshohocken, PA, USA, 2000.
- ASTM-D882; Standard Test Method for Tensile Properties of Thin Plastic Sheeting. ASTM International: West Conshohocken, PA, USA, 2018.
- ASTM-D1004; Test Method for Initial Tear Resistance of Plastic Film and Sheeting. ASTM International: West Conshohocken, PA, USA, 2013.
- ASTM-D6988; Standard Guide for Determination of Thickness of Plastic Film Test Specimens. ASTM International: West Conshohocken, PA, USA, 2013.
- Borrowman, C.K.; Johnston, P.; Adhikari, R.; Saito, K.; Patti, A.F. Environmental degradation and efficacy of a sprayable, biodegradable polymeric mulch. Polym. Degrad. Stabil. 2020, 175, 109126. [Google Scholar] [CrossRef]







| Level | Holes Number | Holes Diameter (cm) | Crack Length (cm) | Fragment Area (m2) |
|---|---|---|---|---|
| 0 | 0 | 0 | 0 | - |
| 1 | >5 | >2 | >5 | - |
| 2 | >5 | >10 | >50 | - |
| 3 | >5 | >20 | >100 | - |
| 4 | >5 | >30 | >200 | - |
| 5 | - | - | - | <0.5 |
| 6 | - | - | - | <0.05 |
| Samples | GPC | DTG | DSC | ||||||
|---|---|---|---|---|---|---|---|---|---|
| Mn b | Mw c | Mw/Mn d | Tmax (°C) e | Tc (°C) | ΔHc (J·g−1) | Tm (°C) | ΔHm (J·g−1) | Θ (%) f | |
| BDM | 13,028 | 69,439 | 5.33 | 395.6 | 94.4 | 15.2 | 127.4 | 11.5 | 12.1 |
| BDM’ | 22,841 | 81,516 | 3.57 | 395.8 | 90.8 | 14.5 | 127.0 | 12.8 | |
| BDM1 | 8092 | 88,280 | 10.9 | 392.8 | 95.6 | 7.77 | 124.1 | 3.51 | −14.1 |
| BDM1′ | 11,814 | 75,028 | 6.35 | 391.2 | 93.3 | 5.17 | 122.4 | 3.01 | |
| BDM2 | 7571 | 66,127 | 8.73 | 392.4 | 87.5 | 7.40 | 122.2 | 3.07 | −59.3 |
| BDM2′ | 8063 | 31,346 | 3.89 | 388.0 | 77.2 | 4.32 | 117.3 | 1.25 | |
| PE | 50,975 | 167,222 | 3.28 | 470.2 | 111.1 | 99.2 | 124.6 | 113.8 | 0.0 |
| PE’ | 53,074 | 172,987 | 3.26 | 470.3 | 111.2 | 94.9 | 125.3 | 113.8 | |
Publisher’s Note: MDPI stays neutral with regard to jurisdictional claims in published maps and institutional affiliations. |
© 2022 by the authors. Licensee MDPI, Basel, Switzerland. This article is an open access article distributed under the terms and conditions of the Creative Commons Attribution (CC BY) license (https://creativecommons.org/licenses/by/4.0/).
Share and Cite
Liu, Q.; Wang, Y.; Liu, J.; Liu, X.; Dong, Y.; Huang, X.; Zhen, Z.; Lv, J.; He, W. Degradability and Properties of PBAT-Based Biodegradable Mulch Films in Field and Their Effects on Cotton Planting. Polymers 2022, 14, 3157. https://doi.org/10.3390/polym14153157
Liu Q, Wang Y, Liu J, Liu X, Dong Y, Huang X, Zhen Z, Lv J, He W. Degradability and Properties of PBAT-Based Biodegradable Mulch Films in Field and Their Effects on Cotton Planting. Polymers. 2022; 14(15):3157. https://doi.org/10.3390/polym14153157
Chicago/Turabian StyleLiu, Qi, Yue Wang, Jialei Liu, Xiaowei Liu, Yanyan Dong, Xin Huang, Zhichao Zhen, Jun Lv, and Wenqing He. 2022. "Degradability and Properties of PBAT-Based Biodegradable Mulch Films in Field and Their Effects on Cotton Planting" Polymers 14, no. 15: 3157. https://doi.org/10.3390/polym14153157
APA StyleLiu, Q., Wang, Y., Liu, J., Liu, X., Dong, Y., Huang, X., Zhen, Z., Lv, J., & He, W. (2022). Degradability and Properties of PBAT-Based Biodegradable Mulch Films in Field and Their Effects on Cotton Planting. Polymers, 14(15), 3157. https://doi.org/10.3390/polym14153157

