Is Cattle Manure Application with Plastic-Film Mulch a Good Choice for Potato Production?
Abstract
1. Introduction
2. Materials and Methods
2.1. Experimental Site and Soil Properties
2.2. Experimental Treatments and Agronomic Practices
2.3. Plant and Tuber Sampling and Analysis
2.4. Soil Sampling and Analysis
2.5. Soil Carbon Dioxide Gas Sampling and Analysis
2.6. Calculation and Statistical Analysis
3. Results
3.1. Air Temperature and Precipitation during Two Growing Seasons
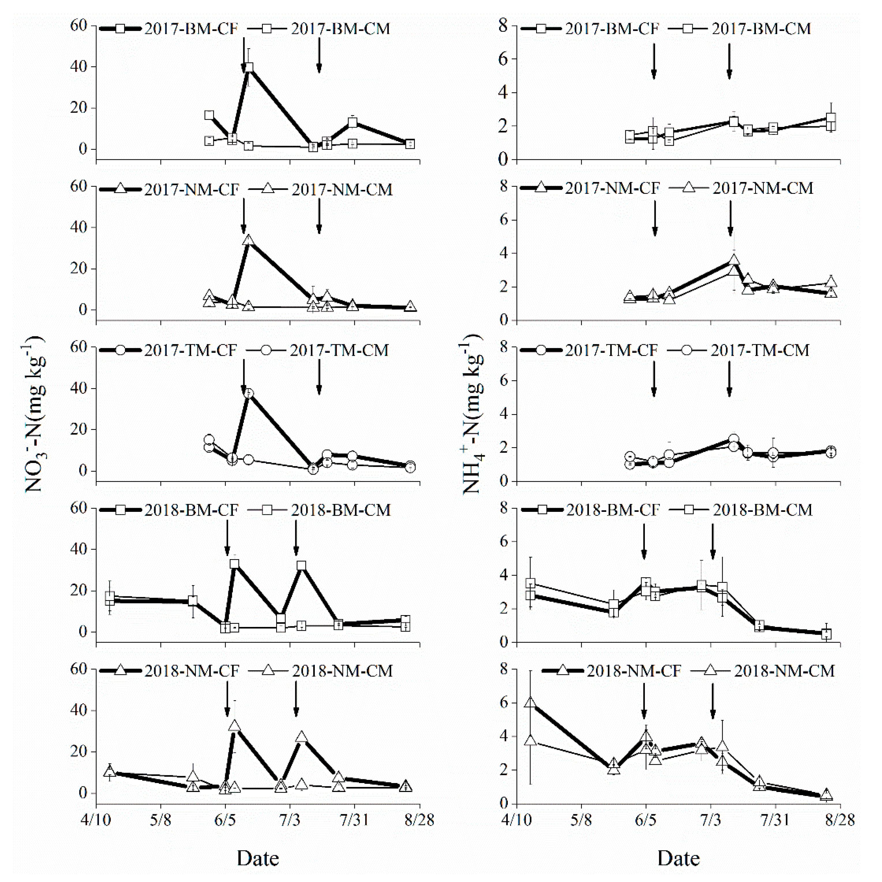
3.2. Soil Inorganic Nitrogen Concentration
3.3. Soil Carbon Dioxide Concentration
3.4. Plant Height
3.5. Leaf Area Index
3.6. Irrigation, Tuber Yields, Potato Evapotranspiration and Water Use Efficiency (WUE)
4. Discussion
5. Conclusions
Author Contributions
Funding
Acknowledgments
Conflicts of Interest
References
- Ministry of Agriculture and Rural Affairs of the People’s Republic of China. Potato will Become the Fourth Staple Food in China, and How to Make Potato as Staple Food in China. Available online: http://www.moa.gov.cn/ztzl/mls/mlszxxx/201507/t20150702_4728612.htm (accessed on 12 April 2019).
- FAO (Food and Agriculture Organization of the United Nations). FAOSTAT Online Database. 2018. Available online: http://www.fao.org/faostat/en/#data/RA (accessed on 11 April 2019).
- Liu, X.; Zhang, F. Nitrogen fertilizer induced greenhouse gas emissions in China. Curr. Opin. Environ. Sust. 2011, 407–413. [Google Scholar] [CrossRef]
- Ji, X.; Xie, R.; Hao, Y.; Lu, J. Quantitative identification of nitrate pollution sources and uncertainty analysis based on dual isotope approach in an agricultural watershed. Environ. Pollut. 2017, 229, 586–594. [Google Scholar] [CrossRef] [PubMed]
- Wang, Q.; Jiang, X.; Guan, D.; Wei, D.; Zhao, B.; Ma, M.; Chen, S.; Li, L.; Cao, F.; Li, J. Long-term fertilization changes bacterial diversity and bacterial communities in the maize rhizosphere of Chinese Mollisols. Appl. Soil Ecol. 2018, 125, 88–96. [Google Scholar] [CrossRef]
- Ishii, S.; Ikeda, S.; Minamisawa, K.; Senoo, K. Nitrogen cycling in rice paddy environments: Past achievements and future challenges. Microbes Environ. 2011, 26, 282–292. [Google Scholar] [CrossRef] [PubMed]
- Yan, X.; Gong, W. The role of chemical and organic fertilizers on yield, yield variability and carbon sequestration—Results of a 19-year experiment. Plant Soil 2010, 331, 471–480. [Google Scholar] [CrossRef]
- Ding, J.; Jiang, X.; Ma, M.; Zhou, B.; Guan, D.; Zhao, B.; Zhou, J.; Cao, F.; Li, L.; Li, J. Effect of 35 years inorganic fertilizer and manure amendment on structure of bacterial and archaeal communities in black soil of northeast China. Appl. Soil Ecol. 2016, 105, 187–195. [Google Scholar] [CrossRef]
- Gale, E.S.; Sullivan, D.M.; Cogger, C.G.; Bary, A.I.; Hemphill, D.D.; Myhre, E.A. Estimating Plant-Available Nitrogen Release from Manures, Composts, and Specialty Products. J. Environ. Qual. 2006, 35, 2321. [Google Scholar] [CrossRef] [PubMed]
- Eckhardt, D.P.; Redin, M.; Jacques, R.J.S.; Lorensini, F.; Santos, M.L.D.; Weiler, D.A.; Antoniolli, Z.I. Mineralization and efficiency index of nitrogen in cattle manure fertilizers on the soil. Ciência Rural 2016, 46, 472–477. [Google Scholar] [CrossRef][Green Version]
- Ghosh, P.K.; Dayal, D.; Bandyopadhyay, K.K.; Mohanty, M. Evaluation of straw and polythene mulch for enhancing productivity of irrigated summer groundnut. Field Crops Res. 2006, 99, 76–86. [Google Scholar] [CrossRef]
- Ramakrishna, A.; Tam, H.M.; Wani, S.P.; Long, T.D. Effect of mulch on soil temperature, moisture, weed infestation and yield of groundnut in northern Vietnam. Field Crops Res. 2006, 95, 115–125. [Google Scholar] [CrossRef]
- Li, Q.; Li, H.; Zhang, L.; Zhang, S.; Chen, Y. Mulching improves yield and water-use efficiency of potato cropping in China: A meta-analysis. Field Crops Res. 2018, 221, 50–60. [Google Scholar] [CrossRef]
- Li, S.; Li, Y.; Lin, H.; Feng, H.; Dyck, M. Effects of different mulching technologies on evapotranspiration and summer maize growth. Agric. Water Manag. 2018, 201, 309–318. [Google Scholar] [CrossRef]
- Zhao, Y.; Zhai, X.; Wang, Z.; Li, H.; Jiang, R.; Lee Hill, R.; Si, B.; Hao, F. Simulation of soil water and heat flow in ridge cultivation with plastic film mulching system on the Chinese Loess Plateau. Agric. Water Manag. 2018, 202, 99–112. [Google Scholar] [CrossRef]
- Zhang, Y.; Wang, F.; Shock, C.C.; Yang, K.; Kang, S.; Qin, J.; Li, S. Influence of different plastic film mulches and wetted soil percentages on potato grown under drip irrigation. Agric. Water Manag. 2017, 180, 160–171. [Google Scholar] [CrossRef]
- Li, Q.; Li, H.; Zhang, S. Yield and water use efficiency of dryland potato in response to plastic film mulching on the Loess Plateau. Acta Agric. Scand. B Soil Plant Sci. 2018, 68, 175–188. [Google Scholar] [CrossRef]
- Zhang, F.; Li, M.; Zhang, W.; Li, F.; Qi, J. Ridge–furrow mulched with plastic film increases little in carbon dioxide efflux but much significant in biomass in a semiarid rainfed farming system. Agric. For. Meteorol. 2017, 244, 33–41. [Google Scholar] [CrossRef]
- Yu, Y.; Tao, H.; Yao, H.; Zhao, C. Assessment of the effect of plastic mulching on soil respiration in the arid agricultural region of China under future climate scenarios. Agric. For. Meteorol. 2018, 256, 1–9. [Google Scholar] [CrossRef]
- Tiquia, S.M.; Lloyd, J.; Herms, D.A.; Hoitink, H.A.J.; Michel, F.C. Effects of mulching and fertilization on soil nutrients, microbial activity and rhizosphere bacterial community structure determined by analysis of TRFLPs of PCR-amplified 16S rRNA genes. Appl. Soil Ecol. 2002, 21, 31–48. [Google Scholar] [CrossRef]
- Li, Z.; Zhang, C.; Zhang, R.; Wang, X.; Wang, J.; Tian, C. Carbon Dioxide Fluxes and Concentrations in a Cotton Field in Northwestern China: Effects of Plastic Mulching and Drip Irrigation. Pedosphere 2011, 21, 178–185. [Google Scholar] [CrossRef]
- Yang, K.; Wang, F.; Shock, C.C.; Kang, S.; Huo, Z.; Song, N.; Ma, D. Potato performance as influenced by the proportion of wetted soil volume and nitrogen under drip irrigation with plastic mulch. Agric. Water Manag. 2017, 179, 260–270. [Google Scholar] [CrossRef]
- Wang, F.; Feng, S.; Hou, X.; Kang, S.; Han, J. Potato growth with and without plastic mulch in two typical regions of Northern China. Field Crops Res. 2009, 110, 123–129. [Google Scholar] [CrossRef]
- Wang, F.; Kang, Y.; Liu, S.; Hou, X. Effects of soil matric potential on potato growth under drip irrigation in the North China Plain. Agric. Water Manag. 2007, 88, 34–42. [Google Scholar] [CrossRef]
- Wang, F.; Wu, X.; Shock, C.C.; Chu, L.; Gu, X.; Xue, X. Effects of drip irrigation regimes on potato tuber yield and quality under plastic mulch in arid Northwestern China. Field Crops Res. 2011, 122, 78–84. [Google Scholar] [CrossRef]
- Wang, X.; Xing, Y. Effects of Mulching and Nitrogen on Soil Nitrate-N Distribution, Leaching and Nitrogen Use Efficiency of Maize (Zea mays L.). PLoS ONE 2016, 11, e161612. [Google Scholar] [CrossRef] [PubMed]
- Ren, X.; Cai, T.; Chen, X.; Zhang, P.; Jia, Z. Effect of rainfall concentration with different ridge widths on winter wheat production under semiarid climate. Eur. J. Agron. 2016, 77, 20–27. [Google Scholar] [CrossRef]
- Liang, S.M.; Ren, C.; Wang, P.J.; Wang, X.T.; Li, Y.S.; Xu, F.H.; Wang, Y.; Dai, Y.Q.; Zhang, L.; Li, X.P.; et al. Improvements of emergence and tuber yield of potato in a seasonal spring arid region using plastic film mulching only on the ridge. Field Crops Res. 2018, 223, 57–65. [Google Scholar] [CrossRef]
- Zhang, Y.; Wang, F.; Shock, C.C.; Yang, K.; Kang, S.; Qin, J.; Li, S. Effects of plastic mulch on the radiative and thermal conditions and potato growth under drip irrigation in arid Northwest China. Soil Tillage Res. 2017, 172, 1–11. [Google Scholar] [CrossRef]
- Pantelić, D.; Dragićević, I.Č.; Rudić, J.; Fu, J.; Momčilović, I. Effects of high temperature on in vitro tuberization and accumulation of stress-responsive proteins in potato. Hortic. Environ. Biotechnol. 2018, 59, 315–324. [Google Scholar] [CrossRef]
- Hou, X.; Wang, F.; Han, J.; Kang, S.; Feng, S. Duration of plastic mulch for potato growth under drip irrigation in an arid region of Northwest China. Agric. For. Meteorol. 2010, 150, 115–121. [Google Scholar] [CrossRef]
- Liu, Y.; Li, S.Q.; Yang, S.J.; Hu, W.; Chen, X.P. Diurnal and seasonal soil CO2 flux patterns in spring maize fields on the Loess Plateau, China. Acta Agric. Scand. B Soil Plant Sci. 2010, 3, 245–255. [Google Scholar] [CrossRef]
- Ma, D.; Chen, L.; Qu, H.; Wang, Y.; Misselbrook, T.; Jiang, R. Impacts of plastic film mulching on crop yields, soil water, nitrate, and organic carbon in Northwestern China: A meta-analysis. Agric. Water Manag. 2018, 202, 166–173. [Google Scholar] [CrossRef] [PubMed]
- Roinila, P.; Väisänen, J.; Granstedt, A.; Kunttu, S. Effects of Different Organic Fertilization Practices and Mineral Fertilization on Potato Quality. Biol. Agric. Hortic. 2003, 21, 165–194. [Google Scholar] [CrossRef]
- Liu, C.; Li, F.; Zhou, L.; Zhang, R.; Yu-Jia Lin, S.; Wang, L.; Siddique, K.H.M.; Li, F. Effect of organic manure and fertilizer on water and crop yields in newly-built terraces with loess soils in a semi-arid environment. Agric. Water Manag. 2013, 123–132. [Google Scholar] [CrossRef]
- Masunga, R.H.; Uzokwe, V.N.; Mlay, P.D.; Odeh, I.; Singh, A.; Buchan, D.; De Neve, S. Nitrogen mineralization dynamics of different valuable organic amendments commonly used in agriculture. Appl. Soil Ecol. 2016, 101, 185–193. [Google Scholar] [CrossRef]
- Edmeades, D.C. The long-term effects of manures and fertilisers on soil productivity and quality: A review. Nutr. Cycl. Agroecosyst. 2003, 66, 165–180. [Google Scholar] [CrossRef]
- Ding, X.; Han, X.; Liang, Y.; Qiao, Y.; Li, L.; Li, N. Changes in soil organic carbon pools after 10 years of continuous manuring combined with chemical fertilizer in a Mollisol in China. Soil Tillage Res. 2012, 122, 36–41. [Google Scholar] [CrossRef]
- Martínez, E.; Domingo, F.; Roselló, A.; Serra, J.; Boixadera, J.; Lloveras, J. The effects of dairy cattle manure and mineral N fertilizer on irrigated maize and soil N and organic C. Eur. J. Agron. 2017, 83, 78–85. [Google Scholar] [CrossRef]
- Curtin, D.; Beare, M.H.; Hernandez-Ramirez, G. Temperature and Moisture Effects on Microbial Biomass and Soil Organic Matter Mineralization. Soil Sci. Soc. Am. J. 2012, 76, 2055. [Google Scholar] [CrossRef]
- Bechmann, M. The effect of phosphorus application and balance on concentrations in streams from agricultural dominated catchments in Norway. Acta Agric. Scand. B Soil Plant Sci. 2014, 63, 162–171. [Google Scholar] [CrossRef]
- Sun, Y.; Cui, X.; Liu, F. Effect of irrigation regimes and phosphorus rates on water and phosphorus use efficiencies in potato. Sci. Hortic. Amst. 2015, 190, 64–69. [Google Scholar] [CrossRef]





| Season | Growth Stage | |||||
|---|---|---|---|---|---|---|
| Sprout | Seedling | Tuber Initiation | Tuber Bulking | Tuber Maturity | ||
| 2017 | Date | 4/26–5/11 | 5/12–6/10 | 6/11–7/13 | 7/14–8/5 | 8/6–8/23 |
| (°C) | 14.6 | 18.5 | 22.6 | 22 | 21.2 | |
| (°C) | 1.5 | 6.3 | 10.2 | 11.9 | 11.4 | |
| (°C) | 26.5 | 31.9 | 37.8 | 36.3 | 33.8 | |
| Days 10 °C | 13 | 14 | 0 | 0 | 0 | |
| Days 30 °C | 0 | 5 | 21 | 12 | 10 | |
| Precipitation days | 2 | 10 | 8 | 7 | 7 | |
| Precipitation (mm) | 2.6 | 33.6 | 12.4 | 57.6 | 18.6 | |
| 2018 | Date | 4/17–5/1 | 5/2–6/5 | 6/6–7/4 | 7/5–7/25 | 7/26–8/22 |
| (°C) | 13.8 | 18.1 | 21.5 | 22.5 | 22.4 | |
| (°C) | –1.8 | 2.8 | 7.9 | 11.4 | 13.0 | |
| (°C) | 26.2 | 35.6 | 34.5 | 38.4 | 34.8 | |
| Days 10 °C | 14 | 19 | 3 | 0 | 0 | |
| Days 30 °C | 0 | 6 | 10 | 12 | 13 | |
| Precipitation days | 1 | 3 | 7 | 6 | 8 | |
| Precipitation (mm) | 12 | 4.6 | 13.6 | 23.2 | 89.6 | |
| Season | Treatment | Soil Nitrate Nitrogen | Soil Ammonium Nitrogen | Plant Height |
|---|---|---|---|---|
| 2017 | Soil surface treatment | NS 1 | NS | * |
| Fertilizer | * | NS | * | |
| Soil surface treatment × fertilizer | NS | NS | NS | |
| 2018 | Soil surface treatment | NS | NS | * |
| Fertilizer | * | NS | * | |
| Soil surface treatment × fertilizer | NS | NS | * |
| Season | Treatment | Growth Stage | ||
|---|---|---|---|---|
| Seedling | Tuber Initiation | Tuber Bulking | ||
| 2017 | Soil surface treatment | * 1 | NS | NS |
| Fertilizer | NS | NS | NS | |
| Soil surface treatment × fertilizer | NS | NS | NS | |
| 2018 | Soil surface treatment | * | * | * |
| Fertilizer | NS | * | * | |
| Soil surface treatment × fertilizer | NS | NS | * | |
| Season | Treatment | Soil Surface Treatment | Fertilizer | Irrigation (mm) | Yields (t ha−1) | ETc (mm) | WUE (kg m−3) |
|---|---|---|---|---|---|---|---|
| 2017 | BM-IF | Black | Inorganic fertilizer | 397 | 100.0 ± 6.6a | 500 ± 11d | 20.0 ± 1.4a |
| BM-CM | Cattle manure | 397 | 87.6 ± 7.2ab | 534 ± 5c | 16.4 ± 1.4bc | ||
| TM-IF | Transparent | Inorganic fertilizer | 417 | 82.3 ± 1.9b | 548 ±2 b | 15.0 ± 0.4c | |
| TM-CM | Cattle manure | 417 | 77.9 ± 0.4c | 562 ± 7a | 13.9 ± 0.2d | ||
| NM-IF | Non-mulch | Inorganic fertilizer | 459 | 94.0 ± 3.5a | 560 ± 7ab | 16.8 ± 0.4b | |
| NM-CM | Cattle manure | 459 | 76.3 ± 5.7c | 572 ± 5a | 13.4 ± 0.9d | ||
| ANOVA | |||||||
| Soil surface treatment | 1* | * | * | ||||
| Fertilizer | * | * | * | ||||
| Soil surface treatment × fertilizer | NS | * | NS | ||||
| 2018 | BM-IF | Black | Inorganic fertilizer | 396 | 82.7 ± 3.6a | 559 ± 11b | 15.4 ± 1.4a |
| BM-CM | Cattle manure | 396 | 76.9 ± 1.3a | 590 ± 10a | 13.0 ± 0.1b | ||
| NM-IF | Non-mulch | Inorganic fertilizer | 396 | 63.6 ± 1.0b | 555 ± 9.6b | 11.5 ± 2.0b | |
| NM-CM | Cattle manure | 396 | 59.7 ± 3.4b | 577 ± 10ab | 10.5 ± 0.9b | ||
| ANOVA | |||||||
| Soil surface treatment | * | NS | * | ||||
| Fertilizer | NS | * | NS | ||||
| Soil surface treatment × fertilizer | NS | NS | NS |
© 2019 by the authors. Licensee MDPI, Basel, Switzerland. This article is an open access article distributed under the terms and conditions of the Creative Commons Attribution (CC BY) license (http://creativecommons.org/licenses/by/4.0/).
Share and Cite
Meng, C.; Wang, F.; Engel, B.A.; Yang, K.; Zhang, Y. Is Cattle Manure Application with Plastic-Film Mulch a Good Choice for Potato Production? Agronomy 2019, 9, 534. https://doi.org/10.3390/agronomy9090534
Meng C, Wang F, Engel BA, Yang K, Zhang Y. Is Cattle Manure Application with Plastic-Film Mulch a Good Choice for Potato Production? Agronomy. 2019; 9(9):534. https://doi.org/10.3390/agronomy9090534
Chicago/Turabian StyleMeng, Chaobiao, Fengxin Wang, Bernard A. Engel, Kaijing Yang, and Youliang Zhang. 2019. "Is Cattle Manure Application with Plastic-Film Mulch a Good Choice for Potato Production?" Agronomy 9, no. 9: 534. https://doi.org/10.3390/agronomy9090534
APA StyleMeng, C., Wang, F., Engel, B. A., Yang, K., & Zhang, Y. (2019). Is Cattle Manure Application with Plastic-Film Mulch a Good Choice for Potato Production? Agronomy, 9(9), 534. https://doi.org/10.3390/agronomy9090534
