Journal Description
Environments
Environments
is an international, peer-reviewed, open access journal on environmental sciences published monthly online by MDPI.
- Open Access— free for readers, with article processing charges (APC) paid by authors or their institutions.
- High Visibility: indexed within Scopus, ESCI (Web of Science), PubAg, AGRIS, GeoRef, and other databases.
- Journal Rank: JCR - Q2 (Environmental Sciences) / CiteScore - Q1 (Ecology, Evolution, Behavior and Systematics)
- Rapid Publication: manuscripts are peer-reviewed and a first decision is provided to authors approximately 19.2 days after submission; acceptance to publication is undertaken in 3.4 days (median values for papers published in this journal in the first half of 2025).
- Recognition of Reviewers: reviewers who provide timely, thorough peer-review reports receive vouchers entitling them to a discount on the APC of their next publication in any MDPI journal, in appreciation of the work done.
- Testimonials: See what our editors and authors say about Environments.
Impact Factor:
3.7 (2024);
5-Year Impact Factor:
3.7 (2024)
Latest Articles
Environmental Pollution in the Alto Atoyac Basin, Mexico: A Systematic, Spatial, and Temporal Review of Contaminants and Monitoring Efforts
Environments 2025, 12(12), 456; https://doi.org/10.3390/environments12120456 (registering DOI) - 26 Nov 2025
Abstract
►
Show Figures
The Alto Atoyac Basin (AAB) in central Mexico is one of the most environmentally degraded regions in the country. This review systematically compiles 60 peer-reviewed studies on environmental contamination from 1975 to 2024. A unified, standardized database supported spatial and temporal analyses using
[...] Read more.
The Alto Atoyac Basin (AAB) in central Mexico is one of the most environmentally degraded regions in the country. This review systematically compiles 60 peer-reviewed studies on environmental contamination from 1975 to 2024. A unified, standardized database supported spatial and temporal analyses using GIS and non-parametric tests, revealing pollution hotspots and disparities in monitoring coverage. Spatial analysis showed a high concentration of studies along the Atoyac River, while nineteen municipalities lacked any records. Research primarily focused on surface water and sediments, with limited attention given to groundwater, soils, air, and food matrices. Data on human exposure remains scarce and fragmented, limiting risk assessment. The evidence reveals widespread contamination linked to industrial, urban, and agricultural pressures. Detected pollutants include pathogens, heavy metals, and diverse organic compounds exceeding national and international thresholds. Spatial analysis highlights pollutant concentrations in densely populated and industrialized zones, while temporal patterns show ongoing degradation from continuous discharges and limited remediation efforts. The findings emphasize long-term ecological degradation and potential health risks, underscoring the need for integrated monitoring and spatially informed management to guide recovery and policy actions. Future efforts should focus on continuous monitoring, multivariate and spatial modeling, and integrated basin-management frameworks to support restoration in the AAB.
Full article
Open AccessReview
Review of Direct Measurement of Thermal Power Carbon Emissions: Technology Integration, Standard Alignment, and Practical Solutions for Carbon Neutrality Goals
by
Jingyu Lei, Yong Wu, Feng Chen, Zilong Liu, Xingchuang Xiong and Xiaoping Song
Environments 2025, 12(12), 457; https://doi.org/10.3390/environments12120457 (registering DOI) - 25 Nov 2025
Abstract
►▼
Show Figures
Global efforts to achieve carbon neutrality have highlighted the critical need for accurate carbon emissions accounting in the thermal power industry, which is a major contributor to greenhouse gas emissions worldwide. Standardized and high-precision direct measurement methods are essential to support emissions reduction
[...] Read more.
Global efforts to achieve carbon neutrality have highlighted the critical need for accurate carbon emissions accounting in the thermal power industry, which is a major contributor to greenhouse gas emissions worldwide. Standardized and high-precision direct measurement methods are essential to support emissions reduction strategies and carbon trading systems. Accurately measuring thermal power carbon emissions is key to “carbon peaking and carbon neutrality (dual carbon)” goals. The direct measurement method, via real-time monitoring of flue gas flow and CO2 concentration, provides high-precision data and is an important industrial direction. This paper reviews its key technologies, compares technical adaptability, anti-interference, and cost-effectiveness, sorts out domestic and international standards, and analyzes core challenges (25~50% errors from complex flow fields, environmental interference, traceability issues, high costs, and standard-engineering gaps). It forecasts future directions (flow field rectification, optical tech localization, and digital twins). The results guide enterprises to optimize monitoring, reduce carbon trading data errors, support standard formulation, and help small-medium plants promote direct measurement, accelerating the carbon neutrality process of the thermal power industry.
Full article

Graphical abstract
Open AccessArticle
Effects of Relative Humidity on Temperature Dynamics in Natural Ecosystems: Comparison of Measured and Model-Predicted Data
by
Daniela de Oliveira Maionchi, Junior Gonçalves da Silva, Iramaia Jorge Cabral de Paulo and Sérgio Roberto de Paulo
Environments 2025, 12(12), 455; https://doi.org/10.3390/environments12120455 - 25 Nov 2025
Abstract
►▼
Show Figures
Understanding the factors influencing temperature variations in natural ecosystems is crucial for processes such as species distribution, phenology, and carbon cycling. This article presents a theoretical framework that investigates the impact of relative humidity ( ) on these variations. Previous analyses
[...] Read more.
Understanding the factors influencing temperature variations in natural ecosystems is crucial for processes such as species distribution, phenology, and carbon cycling. This article presents a theoretical framework that investigates the impact of relative humidity ( ) on these variations. Previous analyses based solely on environmental thermodynamics governed by radiation and the Stefan–Boltzmann law, named the dry model, revealed a nocturnal cooling rate of approximately 0.9 °C/h in low-relative-humidity conditions (<85%) using data of three distinct Brazilian forests within the Amazonian biome. However, this rate decreased significantly at higher , suggesting an additional heating effect, which is likely attributed to the coalescence of water molecules in the air. In this study, a novel humid model is developed, integrating terms proportional to and its time derivative. This model is based on the premise that clusters of water molecules and latent heat depend on the quantity of water molecules and intermolecular forces. The findings demonstrate a superior fit to the data using the proposed model, with values ranging from 0.7 to 0.95, effectively capturing both the nocturnal temperature decline and diurnal variations. This advancement is significant as it underscores the importance of considering water molecule clusters in developing a more precise model that improves upon the dry model methodology.
Full article

Figure 1
Open AccessArticle
Phytostimulating Properties of the Oil-Degrading Strain Rhodococcus qingshengii F2-2
by
Nelli Chayka, Irina Puntus, Natalia Zakharchenko, Elena Rukavtsova, Tatiana Anokhina, Irina Pozdnyakova-Filatova, Lenar Akhmetov, Andrei Shutov, Yanina Delegan, Alexander Bogun, Anton Zvonarev, Irina Kosheleva and Andrey Filonov
Environments 2025, 12(12), 454; https://doi.org/10.3390/environments12120454 - 24 Nov 2025
Abstract
►▼
Show Figures
A genomic analysis of the hydrocarbon-oxidizing strain R. qingshengii F2-2 was conducted to characterize the genes responsible for plant growth stimulation and phytopathogen biocontrol. Understanding these mechanisms is vital for developing effective phytoremediation approaches. It was shown that the F2-2 genome consists of
[...] Read more.
A genomic analysis of the hydrocarbon-oxidizing strain R. qingshengii F2-2 was conducted to characterize the genes responsible for plant growth stimulation and phytopathogen biocontrol. Understanding these mechanisms is vital for developing effective phytoremediation approaches. It was shown that the F2-2 genome consists of a 6.3 Mb chromosome and three plasmids, two of which are linear—pLP156 (155 kb) and pLP337 (337 kb)—and one circular—pCP209 (210 kb). The genes responsible for biosynthesis of phytohormones (auxins, gibberellins, cytokinins), phosphate solubilization, and production of siderophores and antibiotic-active compounds (chloramphenicol and pristinamycin IA) were identified in the strain chromosome. Orthologous genes encoding phenazine antibiotics were found in the linear plasmid pLP156. The phytostimulating properties of the strain, associated with auxin production (2–4 μg/mL); the ability to effectively colonize rapeseed, mustard, and tobacco plants; and protective action against Fusarium spp. under artificial phytopathogenic background conditions, were experimentally confirmed. Thus, the discovered properties of the R. qingshengii F2-2 strain indicate its potential for the phytoremediation of oil-contaminated soils.
Full article

Graphical abstract
Open AccessArticle
Competency-Based Environmental Governance for Zero-Waste Communities Using a Novel ARUN Model
by
Pimnapat Bhumkittipich, Nuttakit Iamsomboon, Issara Siramaneerat, Chatuporn Mueangmin and Krischonme Bhumkittipich
Environments 2025, 12(12), 453; https://doi.org/10.3390/environments12120453 - 24 Nov 2025
Abstract
►▼
Show Figures
Municipal solid waste (MSW) is a rapidly escalating global challenge, with Thailand exemplifying the persistence of a policy–practice gap in zero-waste transitions. Despite national initiatives such as Zero Waste Thailand, household segregation and recycling rates remain modest, particularly in semi-rural municipalities. This
[...] Read more.
Municipal solid waste (MSW) is a rapidly escalating global challenge, with Thailand exemplifying the persistence of a policy–practice gap in zero-waste transitions. Despite national initiatives such as Zero Waste Thailand, household segregation and recycling rates remain modest, particularly in semi-rural municipalities. This study addresses this gap by introducing and validating the ARUN Model, a competency-based governance framework for community-level zero-waste management. Using a mixed-methods sequential explanatory design, quantitative data from 300 households were analyzed using exploratory factor analysis and regression modeling, complemented by focus group interviews with local leaders to interpret behavioral mechanisms. The findings revealed that Responsibility and Nurturing competencies exert the strongest positive effects on household zero-waste behavior, confirming the model’s reliability and construct validity. These results empirically demonstrate how community competencies shape sustainable waste practices and bridge the structural–behavioral divide in waste governance. This research provides the first empirical validation of a competency-based governance framework in a semi-rural Thai context, extending beyond participatory and capacity-based models. By integrating statistical rigor with community insight, the ARUN Model advances theoretical and practical understanding of competency-driven sustainability transitions. This study provides actionable insights for policymakers and supports the achievement of SDGs 11, 12, and 13, offering a locally rooted yet globally relevant pathway toward circular economy governance.
Full article

Figure 1
Open AccessArticle
What Drives Sustainable Energy Use? A Case Study from Jordanian Households
by
Mohammad M. Jaber, Dhia Qasim and Abrar Ghaith
Environments 2025, 12(12), 452; https://doi.org/10.3390/environments12120452 - 23 Nov 2025
Abstract
►▼
Show Figures
This study examines the factors influencing energy-saving behaviors in Jordanian households by expanding the Theory of Planned Behavior (TPB). Incorporating additional variables, such as energy poverty, eco-literacy, and environmental concern, this study utilizes survey data collected through online tools. The findings reveal that
[...] Read more.
This study examines the factors influencing energy-saving behaviors in Jordanian households by expanding the Theory of Planned Behavior (TPB). Incorporating additional variables, such as energy poverty, eco-literacy, and environmental concern, this study utilizes survey data collected through online tools. The findings reveal that environmental concern and eco-literacy significantly influence attitudes, perceived behavioral control, and subjective norms, with attitudes emerging as the dominant predictor of environmentally sustainable intentions. These intentions, in turn, positively influence actual sustainable behaviors. Energy poverty directly affects both intentions and behaviors, moderating key relationships within the model, notably diminishing the influence of attitudes on intentions and the translation of intentions into behavior. The results validate the applicability of TPB to sustainable energy practices and demonstrate the importance of addressing economic barriers. Overall, the findings suggest that fostering environmental concern and eco-literacy is necessary but insufficient without interventions that mitigate financial constraints associated with energy poverty.
Full article

Figure 1
Open AccessArticle
Preferential Allocation of Currently Assimilated Carbon Induced by the Source Leaf Position on Young Cork Oaks (Quercus suber L.) in Late Spring
by
Carla Nóbrega, Helena Marques, Renato Coelho, Margarida Tomé and Augusta Costa
Environments 2025, 12(12), 451; https://doi.org/10.3390/environments12120451 - 23 Nov 2025
Abstract
►▼
Show Figures
The whole-plant preferential allocation patterns of recently assimilated carbon by the source leaves of six-year-old cork oaks (Quercus suber L.) were assessed 7 days after a 14CO2 pulse-labelling in late spring (end of May). The 14CO2 assimilation was
[...] Read more.
The whole-plant preferential allocation patterns of recently assimilated carbon by the source leaves of six-year-old cork oaks (Quercus suber L.) were assessed 7 days after a 14CO2 pulse-labelling in late spring (end of May). The 14CO2 assimilation was separately induced on attached leaves on branches located at the top-down 30% of the crown height, in the middle 40% and at the bottom-up 30% of the crown height of twelve plants. Our results showed that the top source leaves retained the highest amount (64%) of their own current produced carbohydrates compared to either lower (49%) or middle (42%) source leaves. The top source leaves preferentially export current carbohydrates to their most proximal sinks, namely, other leaves or their branches. However, lower source leaves exported the highest amount of current carbon, about 37%, preferentially to the root system. Roots displayed the greatest sink strength for the available current carbohydrates, due to their largest biomass (between 69% and 75% of the whole plant biomass), when other strong sinks, such as the annual leaves, were fully expanded. Taken together, our data revealed that carbon supply by leaves and delivery to roots are critical for maintaining root growth in cork oak under Mediterranean seasonal drought conditions.
Full article

Figure 1
Open AccessArticle
Mixture Probability Distributions for Low-Flow Frequency Analysis in Mexico: Implications for Environmental Impact Assessment, Drought Management, and Regional Water Policy
by
Carlos Escalante-Sandoval
Environments 2025, 12(12), 450; https://doi.org/10.3390/environments12120450 - 21 Nov 2025
Abstract
►▼
Show Figures
Reliable estimation of low-flow statistics is essential for water quality regulation, ecological protection, and drought management. This study evaluates traditional univariate and two-component Mixture Probability Distributions for modeling 7-day annual minimum flows (7Q) using records from 293 gauging stations across Mexico’s 37 hydrological
[...] Read more.
Reliable estimation of low-flow statistics is essential for water quality regulation, ecological protection, and drought management. This study evaluates traditional univariate and two-component Mixture Probability Distributions for modeling 7-day annual minimum flows (7Q) using records from 293 gauging stations across Mexico’s 37 hydrological planning regions, each with at least 20 years of data. Candidate models include Lognormal-3, Gamma-3, Gumbel, Weibull-3, and mixtures (Gumbel–Gumbel, Gumbel–Weibull-3, Weibull-3–Gumbel, Weibull-3–Weibull-3). Parameters are estimated by maximum likelihood, goodness-of-fit is assessed with Kolmogorov–Smirnov and Anderson–Darling tests. Sampling uncertainty is quantified via nonparametric bootstrap, providing 95% confidence intervals for design return levels, including 7Q10. Mixture models are selected as the best fit at 253 of 293 stations (86.3%), with Weibull-3–Weibull-3 dominating (45.1% of all stations) followed by Gumbel–Weibull-3 and Weibull-3–Gumbel; univariate models account for only 13.7% of cases, mainly Lognormal-3, and Gumbel alone is never preferred. Gumbel-only and symmetric G–G mixtures yield negative low-flow return levels at some sites and are therefore considered physically implausible. In contrast, mixtures containing Weibull-3 components ensure non-negative support, provide superior fit to the lower tail, and generally produce narrower bootstrap confidence intervals than the best univariate alternatives, indicating more stable and defensible 7Q10 estimates and providing an additional criterion to distinguish between models with similar goodness-of-fit statistics. These findings have direct implications for Environmental Impact Assessment, effluent permitting, ecological flow setting, drought planning, and regional water policy. The results support integrating Weibull-based mixtures—especially Weibull-3–Weibull-3 and Gumbel–Weibull-3—into Mexico’s national framework for low-flow frequency analysis and regulatory design.
Full article

Figure 1
Open AccessArticle
Who You Are Shapes What You Value: Perspectives on Nature’s Contributions in Mexican Coastal Lagoon Systems
by
Ana Itzel Casarrubias-Jaimez, Luz Piedad Romero-Duque, Sandra Quijas and Jenny Maritza Trilleras-Motha
Environments 2025, 12(12), 449; https://doi.org/10.3390/environments12120449 - 21 Nov 2025
Abstract
►▼
Show Figures
Coastal lagoons are critical socio-ecological systems that face increasing anthropogenic pressures, threatening their sustainability. Understanding how different social actors value Nature’s Contributions to People (NCPs) is essential for developing effective and legitimate governance approaches. This study examines how sociodemographic characteristics and social roles
[...] Read more.
Coastal lagoons are critical socio-ecological systems that face increasing anthropogenic pressures, threatening their sustainability. Understanding how different social actors value Nature’s Contributions to People (NCPs) is essential for developing effective and legitimate governance approaches. This study examines how sociodemographic characteristics and social roles influence plural valuations of NCPs in the Tres Palos lagoon, Mexico. We collected data from different social actor types across three coastal communities, assessing perception values, orientation values, and change projections for eight NCPs, with a focus on pattern identification and hypothesis generation rather than causal inference. Multiple Correspondence Analysis revealed that social actor type (decision-makers and residents) emerged as the primary factor differentiating NCP valuations. Decision-makers consistently rated regulating contributions (habitat creation, climate regulation, and soil formation) as highly important and projected future declines attributed to external pressures. In contrast, residents assigned lower importance to these contributions and anticipated stability through community restoration efforts. Sex also influenced value orientations, with women displaying more egoistic (self-interest) orientations toward habitat creation and the regulation of freshwater and coastal water quality, while men expressed altruistic (interest in others) orientations toward physical and psychological experiences, as well as habitat creation. These valuation mismatches reflect fundamentally different relationships with lagoon ecosystems: institutional regulatory perspectives versus experiential subsistence viewpoints. The divergent responsibility attributions and future projections create governance challenges that traditional top-down approaches cannot adequately address. Our findings underscore the need for reflexive governance frameworks that recognize value pluralism and foster inclusive spaces for dialogue among diverse knowledge systems. This research contributes to the growing literature on plural valuation while providing practical insights for coastal ecosystem management in the context of the Global South.
Full article

Figure 1
Open AccessArticle
Predicting Minute Ventilation from Heart Rate in Adolescents: A Tool for Environmental Health Studies
by
Celia Cacho, Meghana Giri, Kyung Hwa Jung, Ruskin Del Mundo, Aimee Layton and Stephanie Lovinsky-Desir
Environments 2025, 12(12), 448; https://doi.org/10.3390/environments12120448 - 21 Nov 2025
Abstract
Minute ventilation (VE) is central to understanding the interplay between air pollution and exercise. However, real-time measurement of VE in environmental health research is often limited by access to equipment and technical expertise. We aimed to (1) develop predictive equations for VE based
[...] Read more.
Minute ventilation (VE) is central to understanding the interplay between air pollution and exercise. However, real-time measurement of VE in environmental health research is often limited by access to equipment and technical expertise. We aimed to (1) develop predictive equations for VE based on heart rate (HR) in adolescents using metabolic exercise testing data, (2) evaluate which demographic factors influenced model accuracy, and (3) compare our equations to previously published equations applied to our sample. We analyzed cardiopulmonary exercise test (CPET) data from 41 patients. VE was log-transformed, and generalized estimating equations (GEE) were used to model associations between HR and VE, adjusting for age, sex, race, ethnicity, and BMI. In the fully adjusted model, HR was a strong predictor of VE (p-value < 0.001); only sex was a significant covariate (p = 0.003). Stratification revealed a higher predicted VE at a given HR for males compared to females (ymale = 0.020x + 0.813 vs. yfemale = 0.019x + 0.708, where y = lnVE and x = HR) with a pseudo-R2 of 0.80 for males and pseudo-R2 of 0.82 for females. Our predictive equations had the lowest average percent difference between measured and predicted VE, whereas prior models under- or overestimated VE in our sample. Overall, sex-specific GEEs provide a practical method to estimate VE from HR in adolescents and can serve as tools to support exposure assessment and future applications in environmental health research.
Full article
(This article belongs to the Special Issue Ambient Air Pollution, Built Environment, and Public Health)
►▼
Show Figures

Figure 1
Open AccessArticle
Amendment of Contaminated Soils with Biochar and Peat: Effects on Metal Solubility and Uptake in Grass and Earthworms in a Field Trial
by
Charlotta Tiberg, Dan B. Kleja, Carin Sjöstedt, Mats Fröberg, Ingrid Rijk, A. Sigrun Dahlin, Maria Larsson, Alf Ekblad, Viktor Sjöberg and Anja Enell
Environments 2025, 12(11), 447; https://doi.org/10.3390/environments12110447 - 20 Nov 2025
Abstract
The effectiveness of biochar amendment for remediation purposes depends on many factors related to the biochar and the contaminated site. Therefore, each application must be evaluated site-specifically. To facilitate full-scale implementation, more information from field studies on biochar-amended contaminated sites, as well as
[...] Read more.
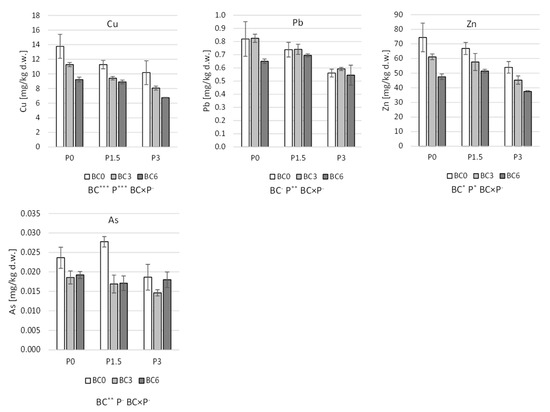
The effectiveness of biochar amendment for remediation purposes depends on many factors related to the biochar and the contaminated site. Therefore, each application must be evaluated site-specifically. To facilitate full-scale implementation, more information from field studies on biochar-amended contaminated sites, as well as cost-effective approaches to evaluate the remediation efficacy of specific biochar materials are needed. We studied the effects of biochar and peat on metal solubility and bioavailability in a contaminated soil in a fully factorial field trial. The biochar was produced from wood via gasification in a floating fixed-bed reactor at 750 °C. Soil solutions from field-installed lysimeters, grass (Lolium perenne L), and earthworms (Eisenia fetida) were analyzed. In addition, a standardized batch leaching test (ISO 21268-2:2019) was performed to evaluate its feasibility to mimic soil solution concentrations. The results showed that biochar generally reduced the solubility and uptake of cationic metals. In situ solubility of Cu and Hg was reduced more than 80%, and Zn up to 70%. Soil solution concentrations of Cr increased in biochar-amended soils, but this effect was reduced by peat. Peat had small effects on in situ solubility of other metals. For cations, the batch test showed the same trends as the soil solution, with biochar decreasing solubility. However, mobilization of colloids during shaking in the batch test induced artefacts, leading to an overestimation of the solubility of some metals, especially Pb and Hg, an effect that was enhanced by peat applications.
Full article
(This article belongs to the Special Issue Biochar as an Environmental Technology)
►▼
Show Figures

Graphical abstract
Open AccessReview
Urban Stormwater and Groundwater Quality: Pathways, Risks, and Green Infrastructure Solutions
by
Amir Motlagh
Environments 2025, 12(11), 446; https://doi.org/10.3390/environments12110446 - 20 Nov 2025
Abstract
►▼
Show Figures
The development of urban areas and the proliferation of impervious surfaces have significantly altered natural hydrological cycles, resulting in an increase in stormwater runoff and substantial risks to groundwater quality. This review synthesizes current research on the transport mechanisms of stormwater contaminants, including
[...] Read more.
The development of urban areas and the proliferation of impervious surfaces have significantly altered natural hydrological cycles, resulting in an increase in stormwater runoff and substantial risks to groundwater quality. This review synthesizes current research on the transport mechanisms of stormwater contaminants, including toxic elements, nutrients, pathogens, and emerging pollutants such as microplastics and pharmaceuticals, into aquifers. This study analyzes the physicochemical and biological processes that affect pollutant mobility and retention in urban soils, emphasizing the vulnerability of groundwater systems, particularly in areas with permeable soils and shallow water tables. The article evaluates a range of green infrastructure (GI) and low-impact development (LID) strategies—including rain gardens, bioswales, infiltration basins, constructed wetlands, and urban forestry—to assess how effectively they can mitigate stormwater pollution and improve groundwater protection. Case studies from North America illustrate the practical implementation and performance of GI systems, emphasizing the importance of site-specific design, monitoring, and adaptive management. The review also discusses global policy frameworks and community engagement strategies that support sustainable stormwater management. Ultimately, it advocates for an integrated, multidisciplinary approach that combines engineering, ecological science, and public policy to safeguard groundwater resources in the face of climate variability and urban expansion.
Full article

Figure 1
Open AccessArticle
Hard Evidence from Turtle Shells: Tracing Metal and Non-Metallic Elements Bioaccumulation in Freshwater Ecosystems
by
Haithem Aib, Badis Bakhouche, Krisztián Nyeste, Boglárka Döncző, Selmane Chabani, Amina Saadi, Zsolt Varga and Herta Mária Czédli
Environments 2025, 12(11), 445; https://doi.org/10.3390/environments12110445 - 18 Nov 2025
Abstract
►▼
Show Figures
The longevity, site fidelity, and trophic position of freshwater turtles have led to their increasing recognition as useful bioindicators of environmental contamination. Mauremys leprosa (n = 25) shells from a Northern African wetland system were examined for trace element concentrations in order
[...] Read more.
The longevity, site fidelity, and trophic position of freshwater turtles have led to their increasing recognition as useful bioindicators of environmental contamination. Mauremys leprosa (n = 25) shells from a Northern African wetland system were examined for trace element concentrations in order to assess shell composition as a non-invasive biomonitoring method. Micro x-ray fluorescence (μXRF) method was used to measure the shell concentrations of 17 elements, including Ca, P, Fe, Zn, Mn, Sr, Pb, Sb, and Al. As would be expected from the structural composition of bony tissues, calcium and phosphorus were the predominant constituents. In addition to bulk concentrations, micro-XRF elemental mapping revealed heterogeneous spatial distributions of essential and toxic elements within the shells, providing visual evidence of bioaccumulation patterns and supporting the use of shells as non-invasive bioindicators. There were statistically significant sex-related differences in the levels of trace elements, with males exhibiting higher concentrations of Mg, Mn, Sb, Pb, and Al (p < 0.05). Spearman correlations revealed strong associations between certain shell elements (e.g., Fe, Mn, Ti, Zn) and morphometric parameters. Comparisons with environmental samples (water and sediment) showed moderate to strong correlations, particularly with sediment metal concentrations, supporting the utility of shell chemistry as an integrative exposure matrix. Nonetheless, there were significant percentages of censored or missing values for certain metals (Cu, Ni, and As). This study emphasizes how viable turtle shells are as non-lethal markers of bioaccumulation and stresses how crucial it is to take environmental matrices, element-specific variability, and sex into account when assessing contamination. Longitudinal monitoring, physiological biomarkers, and isotopic analysis should all be used in future studies to bolster the causal relationships between environmental exposure and turtle health.
Full article

Figure 1
Open AccessArticle
Chemical Changes During Hydrothermal Carbonization of Manure Derived from Free-Range Bred Chickens and Its Potential as Organic Fertilizer for Tomato, Lettuce and Sunflower Plants
by
Francisco J. Moreno-Racero, Marta Velasco-Molina, Rafael López-Núñez, Judy A. Libra and Heike Knicker
Environments 2025, 12(11), 444; https://doi.org/10.3390/environments12110444 - 18 Nov 2025
Abstract
Hygienization by hydrothermal carbonization (HTC) of chicken manure (CM) at 250 °C allows its valorization as soil amendment or even organic fertilizer. To test if this hypothesis is also valid for feedstocks from free-range breeding, respective material of a small farm in southern
[...] Read more.
Hygienization by hydrothermal carbonization (HTC) of chicken manure (CM) at 250 °C allows its valorization as soil amendment or even organic fertilizer. To test if this hypothesis is also valid for feedstocks from free-range breeding, respective material of a small farm in southern Spain was comprehensively chemically characterized. The hydrochar of the manure collected from the ground of the farm was rich in mineral matter. After HTC, 68% of the organic carbon (C) was recovered, whereas 82% of the nitrogen (N) was lost most likely by volatilization and with the discarded process water. Despite this, 2.8% of the total N in the hydrochar was identified as inorganic N (Ni). Solid-state 13C and 15N NMR spectroscopy revealed aromatization of organic C and N, although alkyl C and amide N still contributed with 23% and 35% to the total organic C and N, respectively. The obtained distribution of N-forms indicated that enough Ni is plant-available for early plant growth, while the remaining N occurs in structures that can be slowly mobilized during advanced plant development. Low heavy metal concentrations suggest low phytotoxicity. Pot experiments with lettuce, sunflower, and tomato plants confirmed species- and dosage-dependent effects. A dosage of 3.25 t ha−1 improved lettuce and sunflower yields, whereas a dosage of 6.5 t ha−1 provided no additional growth benefits but caused phytotoxic reactions of the tomato plants. Our results support HTC as a strategy to valorize CM from free-range farms, although, due to the high variability of such materials, we recommend a thorough chemical characterization and phytotoxic tests before its application.
Full article
(This article belongs to the Special Issue Preparation and Application of Biochar (Second Edition))
►▼
Show Figures

Figure 1
Open AccessArticle
Livestock and Climate Change: How Do Livestock Practices Impact Greenhouse Gas Emissions in Holders Fields in Zamora Chinchipe?
by
Leticia Jiménez, Daniel Capa-Mora, Natacha Fierro, Jefferson Lasso, Junior Roa, Juan Bermeo, Juan Merino and Rubén Carrera
Environments 2025, 12(11), 443; https://doi.org/10.3390/environments12110443 - 17 Nov 2025
Abstract
►▼
Show Figures
Agricultural production in Zamora Chinchipe is primarily focused on dairy farming, an activity that constitutes a key component of land use in the region. Accordingly, the objectives of this study were as follows: (a) to estimate greenhouse gas (GHG) emissions from dairy farms
[...] Read more.
Agricultural production in Zamora Chinchipe is primarily focused on dairy farming, an activity that constitutes a key component of land use in the region. Accordingly, the objectives of this study were as follows: (a) to estimate greenhouse gas (GHG) emissions from dairy farms using the GLEAM model and (b) to evaluate the influence of altitude and livestock management practices on soil properties and the estimated GHG emissions associated with cattle production. This study encompassed 100 dairy farms, where the GLEAM methodology was applied to quantify emissions-related data. In addition, 300 soil samples (three per farm) were collected, and the perimeter of each farm, as well as the remaining forest areas, was mapped. The results indicate that although the farms generate CO2-equivalent emissions associated with livestock activities, the remaining forest areas contribute to mitigation by storing carbon in the soil. Altitude was found to positively influence soil quality, increasing organic matter and nitrogen content, whereas overgrazing negatively affected key soil properties and was associated with higher levels of GHG emissions. These findings underscore the need to implement sustainable management strategies that integrate agricultural production with the conservation of ecosystem services.
Full article

Figure 1
Open AccessArticle
Integrated Environmental Conditions Index (IECI) for Assessing Emerging/Legacy Pollutants and Environmental Integrity
by
Rubén Rafael Granados-Sánchez, Jacinto Elías Sedeño-Díaz and Eugenia López-López
Environments 2025, 12(11), 442; https://doi.org/10.3390/environments12110442 - 17 Nov 2025
Abstract
Current environmental pollution and degradation are problems of global concern. Environmental assessment indices are commonly applied for managing and diagnosing the health of ecosystems. However, most indices are specific to a type or group of pollutants or environmental characteristics. Therefore, this study focused
[...] Read more.
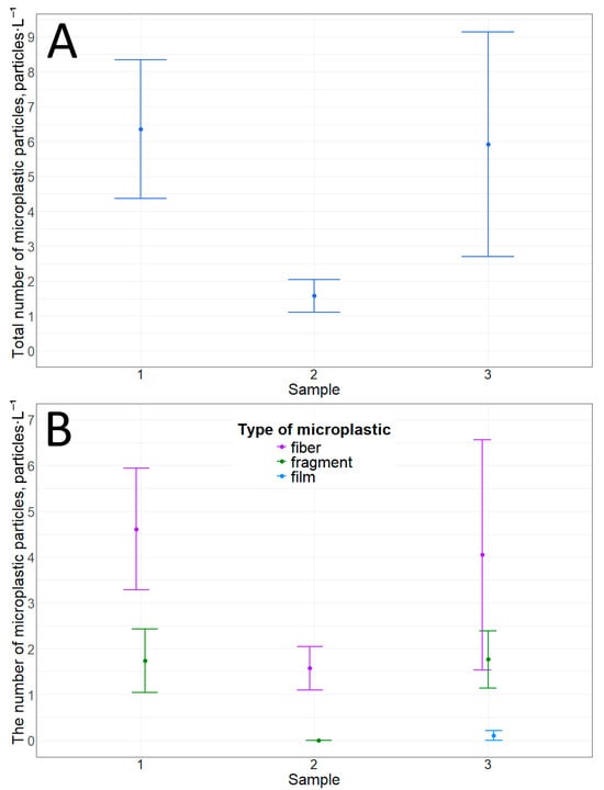
Current environmental pollution and degradation are problems of global concern. Environmental assessment indices are commonly applied for managing and diagnosing the health of ecosystems. However, most indices are specific to a type or group of pollutants or environmental characteristics. Therefore, this study focused on the development of a multi-metric index with the potential to integrate the environmental conditions assessed by specific indices. This index was named the Integrated Environmental Conditions Index (IECI). The IECI was applied to assess the environmental condition of rivers (Escanela, Jalpan, Ayutla, and Santa María) in the Sierra Gorda Biosphere Reserve in Mexico during two periods: the rainy and dry seasons. The study of surface water and sediment in riverbeds was addressed. We characterised ten study sites using both environmental indices and pollution indices associated with toxic metals/metalloids and microplastics. The IECI detected spatio-temporal changes. Seasonal variations in the environmental conditions were evident, as well as a reduction in environmental integrity in upstream sites, mainly due to the presence of microplastics and toxic metals/metalloids. The IECI proved effective in assessing environmental integrity and represents a valuable management tool for integrating environmental data and supporting informed decision-making.
Full article
(This article belongs to the Special Issue Potentially Toxic Elements in the Environment and Their Ecotoxicology)
►▼
Show Figures

Graphical abstract
Open AccessArticle
Bibliometric Analysis of Research on Nanoplastics (NPs): Uptake, Bioaccumulation, and Cellular Internalization in Scientific Literature
by
Rossana Romano, Adele Cocozza di Montanara, Roberto Sandulli and Palma Simoniello
Environments 2025, 12(11), 441; https://doi.org/10.3390/environments12110441 - 16 Nov 2025
Abstract
Nanoplastics, due to their small size and high surface reactivity, have emerged as critical pollutants with potential impacts on both environmental and biological systems. Their capacity for cellular internalization, bioaccumulation, and trophic transfer raises serious concerns for ecosystem and human health. The objective
[...] Read more.
Nanoplastics, due to their small size and high surface reactivity, have emerged as critical pollutants with potential impacts on both environmental and biological systems. Their capacity for cellular internalization, bioaccumulation, and trophic transfer raises serious concerns for ecosystem and human health. The objective of this study is to conduct a comprehensive bibliometric assessment of global research trends pertaining to biological endpoints such as the uptake, cell internalization, and bioaccumulation of nanoplastics. Using the Scopus database and VOSviewer software (version 1.6.20), 638 relevant scientific articles published between 2012 and 2024 were analyzed. The number of publications has grown significantly in recent years, particularly from 2020 onward, indicating increasing scientific attention. Co-authorship among authors and among countries analyses highlights the global and interdisciplinary nature of this field, with strong contributions from China, Europe, and the United States. Keyword co-occurrence analysis reveals a strong thematic focus on oxidative stress, genotoxicity, and the interaction of nanoplastics with heavy metals, suggesting emerging interest in combined toxicity effects. Citation analysis of journals confirms that leading publications in environmental science and toxicology have been central to the dissemination of key findings. The results emphasize a growing international commitment to understanding the behavior of nanoplastics in biological systems, particularly their accumulation and potential health risks. This analysis not only maps the evolution of research but also identifies gaps of knowledge and future directions, offering a foundation for guiding subsequent investigations and informing regulatory frameworks. The use of software tools such as VOSviewer (version 1.6.20) is essential for synthesizing large volumes of scientific data, reducing subjectivity, and, thus, providing visual insights into the structure and development of this research field.
Full article
(This article belongs to the Special Issue Environmental Risk Assessment of Aquatic Environments)
►▼
Show Figures

Figure 1
Open AccessArticle
Adsorption-Desorption of Selenium on Different Nanoscale Waste Materials in Contaminated Water
by
Ahmed M. Mahdy, Nieven O. Fathi and Zhi-Qing Lin
Environments 2025, 12(11), 440; https://doi.org/10.3390/environments12110440 - 16 Nov 2025
Abstract
►▼
Show Figures
Different sources of nanomaterials on the adsorption of selenium (Se) in aqueous solutions were evaluated, including nanoscale municipal drinking water treatment residues (nWTRs) and agricultural waste pomegranate peels (PNPs), in comparison with commercial carbon nanoparticles (CNPs). Different Se(IV) treatments and application doses of
[...] Read more.
Different sources of nanomaterials on the adsorption of selenium (Se) in aqueous solutions were evaluated, including nanoscale municipal drinking water treatment residues (nWTRs) and agricultural waste pomegranate peels (PNPs), in comparison with commercial carbon nanoparticles (CNPs). Different Se(IV) treatments and application doses of each nanomaterial were evaluated. The Se adsorption kinetics were determined at different time intervals. The results showed that the Se sorption capacity of different nanomaterials and their mixtures varied significantly (p < 0.05). Se concentration, the application dosage of nanoparticles, and the interaction time of Se and nanoparticles in Se solutions significantly affect the efficiency of Se adsorption at pH 3.51. The sorption isotherm of Se varied amongst different nanomaterials. Se adsorption on CNPs, nWTRs-CNPs, nWTRs, PNPs-CNPs, nWTRs-PNPs, and PNPs at the 800 mg Se/L treatment was 79.93, 77.48, 76.00, 72.97, 70.49, and 68.16 mg Se/g sorbent, respectively. The H-type isotherm became dominant, indicating intensive interaction between Se and nanoparticles. With the Se treatment of 50 mg/L, the Se removal efficiency of CNPs, nWTRs-CNPs, nWTRs, PNPs-CNPs, nWTRs-PNPs, and PNPs was 100, 96, 93, 87, 85, and 80%, respectively, but became 100, 97, 95, 91, 88, and 85%, respectively, at a higher Se concentration of 800 mg/L. Increasing the application dosage of nanomaterials resulted in a significant increase in Se mass sorbed by the nanoparticles. Se adsorption was best predicted by the Langmuir isotherm model. The desorption rate of the Se mass sorbed by nanoparticles at 800 mg Se/L was 0.4% of the total Se adsorbed by CNPs, with 0.88% by nWTRs-CNPs and 1.69% by PNPs-CNPs, while higher Se desorption rates of 4.2, 7.3, and 17.6% were observed with nWTRs, nWTRs-PNPs, and PNPs, respectively. This study demonstrates that nanoscale municipal and agricultural solid waste materials can be effective in removing Se from contaminated water.
Full article

Graphical abstract
Open AccessArticle
Isotopic Evidence from the Po River Under Prolonged Drought Conditions (Northern Italy, 2022–2023)
by
Gianluca Bianchini, Valentina Brombin, Chiara Marchina and Claudio Natali
Environments 2025, 12(11), 439; https://doi.org/10.3390/environments12110439 - 16 Nov 2025
Abstract
The Po River, the largest watercourse in northern Italy, represents a fundamental resource for the socio-economic system of the Padanian Plain. Between February 2022 and February 2023, the basin was affected by exceptional climatic anomalies, with unprecedented high temperatures, marked precipitation deficits, and
[...] Read more.
The Po River, the largest watercourse in northern Italy, represents a fundamental resource for the socio-economic system of the Padanian Plain. Between February 2022 and February 2023, the basin was affected by exceptional climatic anomalies, with unprecedented high temperatures, marked precipitation deficits, and the most severe hydrological drought documented in the instrumental record. Po river waters sampled during this period showed variable increases (Na+, K+, Mg2+, HCO3−, Cl−, SO42−) or decreases (Ca2+, NO3−) in the geochemical composition of major ions compared to data from previous decades collected under various climatic and hydrological conditions In contrast, the water stable isotope composition (δ2H and δ18O) of the period 2022–2023 displayed distinct and peculiar signatures, ranging from −64.1 to −53.5‰ for δ2H and from −9.4 to −5.7‰ for δ18O, compared to historical averages for 1998–2014 (−71.3 to −58.0‰ and −10.0 to −8.7‰, respectively). These values indicate a strong enrichment in heavy isotopes, reflecting warmer and drier climatic conditions, comparable only to those observed during the severe drought of 2015. Two groups of data were identified: Group 1, showing affinities with Eastern Mediterranean precipitation, and Group 2, characterized by pronounced evaporative isotopic enrichment due to prolonged drought, as evidenced by strongly negative d-excess and LC-excess values, consistent with those from arid and semi-arid regions worldwide. This study demonstrates how climate change and increasing hydrological stress are altering the isotopic composition of one of Europe’s most important river systems. Stable isotopes provide a sensitive tool for tracing moisture sources, quantifying evaporative processes, and assessing drought impacts, confirming their role as Essential Climate Variables (ECVs) in climate and water-resource studies.
Full article
(This article belongs to the Topic Past, Current and Future Processes in the Earth Critical Zone)
►▼
Show Figures

Figure 1
Open AccessArticle
Coevolving Citizen Science, Bats, and Urban Planning to Support More-Than-Human Healthy Cities: Lessons from Florida
by
Nicole Sarver, Glen Cousquer and Peter Lurz
Environments 2025, 12(11), 438; https://doi.org/10.3390/environments12110438 - 13 Nov 2025
Abstract
Urbanisation has resulted in habitat degradation and destruction for native bat species in Florida, USA, posing a continuing threat to bat populations and ecosystem health. Citizen science has been documented to fill population data gaps and outline bat responses to urbanisation, but an
[...] Read more.
Urbanisation has resulted in habitat degradation and destruction for native bat species in Florida, USA, posing a continuing threat to bat populations and ecosystem health. Citizen science has been documented to fill population data gaps and outline bat responses to urbanisation, but an understanding of how this influences societal perceptions of bats and can shape and evolve urban planning initiatives are under-researched and poorly understood. This paper explores how citizen science could contribute to urban planning for bat conservation. A literature review of citizen science projects and native species’ responses to urbanisation mapped the current situation and was supplemented by an analysis of semi-structured interviews with three key informants in the field of bat conservation. Only four of Florida’s thirteen species were featured in the citizen science projects reported in the literature. There was a clear lack of attention to the impact of urbanisation on these species, demonstrating a need for reimagining how data collection and public participation can be improved. An analysis of interviews identified themes of evolving individual perspectives and complex societal connections whose interdependence and coevolution influences the success of both citizen science and urban planning. Understanding this coevolution of society and bat conservation alongside our current knowledge could provide future opportunities for bat-friendly urban planning in Florida with the potential for this to be framed in terms of healthy more-than-human cities.
Full article
(This article belongs to the Special Issue Environmental Challenges and Sustainable Contributions to the One Health Approach)
►▼
Show Figures

Figure 1
Journal Menu
► ▼ Journal Menu-
- Environments Home
- Aims & Scope
- Editorial Board
- Topical Advisory Panel
- Instructions for Authors
- Special Issues
- Topics
- Topical Collections
- Article Processing Charge
- Indexing & Archiving
- Editor’s Choice Articles
- Most Cited & Viewed
- Journal Statistics
- Journal History
- Journal Awards
- Conferences
- Editorial Office
Journal Browser
► ▼ Journal BrowserHighly Accessed Articles
Latest Books
E-Mail Alert
News
Topics
Topic in
Entropy, Environments, Land, Remote Sensing
Bioterraformation: Emergent Function from Systemic Eco-Engineering
Topic Editors: Matteo Convertino, Jie LiDeadline: 30 November 2025
Topic in
Applied Microbiology, Bioengineering, Biology, Environments, Microorganisms
Environmental Bioengineering and Geomicrobiology
Topic Editors: Xian-Chun Zeng, Deng LiuDeadline: 20 December 2025
Topic in
Agriculture, Agronomy, Environments, IJMS, Nitrogen, Plants
Ammonium Biology: From Molecular Response to Fertilization
Topic Editors: Dongwei Di, Soichi Kojima, Byoung Ryong Jeong, Monika SkowrońskaDeadline: 31 December 2025
Topic in
Gels, Polymers, Nanomaterials, Pharmaceutics, Environments, J. Compos. Sci.
Polymer and Biopolymer Nanocomposites for Emerging Medical, Industrial, and Environmental Applications
Topic Editors: Madhappan Santhamoorthy, Seongcheol KimDeadline: 28 February 2026
Conferences
Special Issues
Special Issue in
Environments
IV 1H-TOXRUN International Congress 2025—Empowering Future Generations: The Synergy of Science, Education and Society
Guest Editors: Joana Prata, Ana R. Freitas, Cláudia Maria Rosa Ribeiro, Sara Ricardo, Inês Caldas, Ricardo Dinis-Oliveira, Áurea Madureira-CarvalhoDeadline: 15 December 2025
Special Issue in
Environments
Coping with Climate Change: Fate of Nutrients and Pollutants in Soil
Guest Editors: Ming Zhang, Shuang Wang, Yao ZhaoDeadline: 15 December 2025
Special Issue in
Environments
Balancing Energy and Environmental Sustainability: Innovations, Impacts, and Pathways
Guest Editors: Tamíris Da Costa, Nick Holden, Daniele Costa, Mateus Guimarães da SilvaDeadline: 15 December 2025
Special Issue in
Environments
Advanced Catalytic Processes and Nanomaterials for Environmental Remediation
Guest Editors: Pedro Arce, Pierantonio de LucaDeadline: 15 December 2025
Topical Collections
Topical Collection in
Environments
Trends and Innovations in Environmental Impact Assessment
Collection Editor: Manuel Duarte Pinheiro





