Sign in to use this feature.

Years

Between: -

Subjects

remove_circle_outline
remove_circle_outline
remove_circle_outline
remove_circle_outline
remove_circle_outline
remove_circle_outline
remove_circle_outline
remove_circle_outline
remove_circle_outline

Journals

remove_circle_outline
remove_circle_outline
remove_circle_outline
remove_circle_outline
remove_circle_outline
remove_circle_outline
remove_circle_outline
remove_circle_outline
remove_circle_outline
remove_circle_outline
remove_circle_outline
remove_circle_outline
remove_circle_outline
remove_circle_outline
remove_circle_outline
remove_circle_outline
remove_circle_outline
remove_circle_outline
remove_circle_outline

Article Types

Countries / Regions

remove_circle_outline
remove_circle_outline
remove_circle_outline
remove_circle_outline
remove_circle_outline
remove_circle_outline
remove_circle_outline

Search Results (1,636)

Search Parameters:
Keywords = diffuse optics

Order results
Result details
Results per page
Select all
Export citation of selected articles as:
20 pages, 5179 KB  
Article
P–N Nanoporous Silicon Fabrication Using Photoelectrochemical Etching and Ultrasonic Vibration and Liquid-Phase Bonding for Optoelectronic Applications
by Chao-Ching Chiang and Philip Nathaniel Immanuel
Micromachines 2026, 17(1), 73; https://doi.org/10.3390/mi17010073 - 4 Jan 2026
Viewed by 275
Abstract
We systematically investigated the optical properties of P-N nanoporous silicon (NPS) diodes fabricated using photoelectrochemical etching and ultrasonic vibration (PEEU), followed by liquid-phase bonding and thermal treatment. Ultrasonic vibration during etching promoted uniform pore formation by enhancing reactant diffusion and suppressing hydrogen bubble [...] Read more.
We systematically investigated the optical properties of P-N nanoporous silicon (NPS) diodes fabricated using photoelectrochemical etching and ultrasonic vibration (PEEU), followed by liquid-phase bonding and thermal treatment. Ultrasonic vibration during etching promoted uniform pore formation by enhancing reactant diffusion and suppressing hydrogen bubble accumulation, while laser-induced photocarriers improved etching selectivity, facilitating the formation of NPS with pronounced quantum confinement. The fabricated NPS devices exhibited significantly enhanced photoluminescence (PL) and electroluminescence (EL) properties, with an average external quantum efficiency of 7.3% at a bias of 10 V. Subsequent liquid-phase bonding and thermal annealing further enhanced structural stability and interface quality, resulting in an 180% increase in PL intensity. These results demonstrate that the combination of PEEU with liquid-phase bonding and thermal annealing yields a versatile approach to tailor the optical and electrical properties of P–N porous silicon nanostructures for high-performance light-emitting diodes and quantum-confined silicon photonics, highlighting the critical role of process-induced nanostructures and thermal modifications in device performance. Full article
(This article belongs to the Special Issue Two-Dimensional Materials for Electronic and Optoelectronic Devices)
Show Figures

Figure 1

20 pages, 3425 KB  
Article
Sensing Through Tissues Using Diffuse Optical Imaging and Genetic Programming
by Ganesh M. Balasubramaniam, Ami Hauptman and Shlomi Arnon
Sensors 2026, 26(1), 318; https://doi.org/10.3390/s26010318 - 3 Jan 2026
Viewed by 301
Abstract
Diffuse optical imaging (DOI) uses scattered light to non-invasively sense and image highly diffuse media, including biological tissues such as the breast and brain. Despite its clinical potential, widespread adoption remains limited because physical constraints, limited available datasets, and conventional reconstruction algorithms struggle [...] Read more.
Diffuse optical imaging (DOI) uses scattered light to non-invasively sense and image highly diffuse media, including biological tissues such as the breast and brain. Despite its clinical potential, widespread adoption remains limited because physical constraints, limited available datasets, and conventional reconstruction algorithms struggle with the strongly nonlinear, ill-posed inverse problem posed by multiple photon scattering. We introduce Diffuse optical Imaging using Genetic Programming (DI-GP), a physics-guided and fully interpretable genetic programming framework for DOI. Grounded in the diffusion equation, DI-GP evolves closed-form symbolic mappings that enable fast and accurate 2-D reconstructions in strongly scattering media. Unlike deep neural networks, Genetic Programming (GP) naturally produces symbolic expressions, explicit rules, and transparent computational pipelines—an increasingly important capability as regulatory and high-stakes domains (e.g., FDA/EMA, medical imaging regulation) demand explainable and auditable AI systems, and where training data are often scarce. DI-GP delivers substantially faster inference and improved qualitative and quantitative reconstruction performance compared to analytical baselines. We validate the approach in both simulations and tabletop experiments, recovering targets without prior knowledge of shape or location at depths exceeding ~25 transport mean-free paths. Additional experiments demonstrate centimeter-scale imaging in tissue-like media, highlighting the promise of DI-GP for non-invasive deep-tissue imaging and its potential as a foundation for practical DOI systems. Full article
Show Figures

Figure 1

20 pages, 5514 KB  
Article
The Remarkable Properties of Oil-in-Water Zein Protein Microcapsules
by Alessandra Quarta, Chiara Del Balzo, Francesca Cavalieri, Raffaella Lettieri and Mariano Venanzi
Molecules 2026, 31(1), 153; https://doi.org/10.3390/molecules31010153 - 1 Jan 2026
Viewed by 140
Abstract
Zein (ZP) is the major storage protein of corn (maize). It is safe, biodegradable, edible, and characterized by unique self-assembly properties. These properties were exploited to prepare ZP microcapsules filled with soybean oil (SO) by ultrasound-assisted emulsification of oil-in-water (o/w) dispersions under optimal [...] Read more.
Zein (ZP) is the major storage protein of corn (maize). It is safe, biodegradable, edible, and characterized by unique self-assembly properties. These properties were exploited to prepare ZP microcapsules filled with soybean oil (SO) by ultrasound-assisted emulsification of oil-in-water (o/w) dispersions under optimal experimental conditions. The morphology and stability of o/w ZP/SO microcapsules were investigated by optical spectroscopy (electronic circular dichroism and fluorescence) and dynamic light scattering, as well as bright-field, laser confocal fluorescence, and scanning electron microscopies. The results showed that ZP formed a stable protein shell protecting the inner oily phase from diffusion of the confined compounds. It was also found that ZP/SO microcapsules, stored under suitable conditions, could be redissolved in water, maintaining their spherical morphology. Proof-of-principle studies on the inclusion and release of curcumin, a very active anti-inflammatory and nutraceutical substance, from ZP/SO microcapsules under temperature and pH stimuli are also reported. Full article
(This article belongs to the Special Issue Peptide and Protein-Based Materials: Technology and Applications)
Show Figures

Graphical abstract

18 pages, 3270 KB  
Article
Characterization and Antimicrobial Assessment of Cadmium Sulfide Nanoparticles
by Ezinne Uchechi Ekwujuru, Moses Gbenga Peleyeju, Cornelius Ssemakalu, Mzimkhulu Monapathi and Michael Klink
Int. J. Mol. Sci. 2026, 27(1), 432; https://doi.org/10.3390/ijms27010432 - 31 Dec 2025
Viewed by 230
Abstract
Resistance to conventional antibiotics remains a global health challenge. The search for more effective antimicrobial agents has led to the consideration of nanoparticles due to their potential biocidal activities. This study synthesized, characterized, and evaluated the antimicrobial behavior of cadmium sulfide nanoparticles (CdS [...] Read more.
Resistance to conventional antibiotics remains a global health challenge. The search for more effective antimicrobial agents has led to the consideration of nanoparticles due to their potential biocidal activities. This study synthesized, characterized, and evaluated the antimicrobial behavior of cadmium sulfide nanoparticles (CdS NPs) during incubations at 37 °C and at room temperature (rt; 23 to 27 °C). XRD results showed that the synthesized nanoparticles had a cubic zinc blende structure, while microscopic investigations confirmed the particle size to be 7.236 nm on average. UV-Vis spectroscopy showed that the nanoparticles are active in the visible light region. Raman spectroscopy results showed peaks at 302.3 cm−1 and 601 cm−1, which represent the first- and second-order longitudinal optical phonon. Agar well diffusion, minimum inhibitory concentration (MIC), and minimum bactericidal concentration (MBC) assays were conducted to investigate the antimicrobial activity of CdS NPs (50 mg/mL, 25 mg/mL, and 10 mg/mL) against Escherichia coli and Staphylococcus aureus. CdS NPs were effective against both test organisms. However, they were more effective against Gram-negative E. coli. The higher the concentration of CdS NPs, the more effective they were against the test organisms. Furthermore, MBC results showed greater bactericidal activity of CdS NPs at 37 °C. With increasing incidences of antimicrobial resistance against conventional antimicrobial agents, especially in wastewater treatment, nanoparticles are considered promising alternatives and the next generation of antimicrobial agents. Full article
Show Figures

Figure 1

19 pages, 2372 KB  
Article
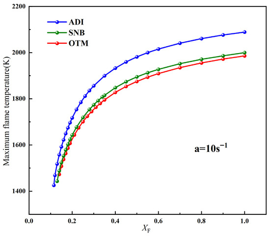
Effects of Radiation Reabsorption on the Flammability Limit and Critical Fuel Concentration of Methane Oxy-Fuel Diffusion Flame
by Shuochao Wang, Jingfu Wang, Ying Chen, Yi Li, Jiquan Chen, Shun Li and Zewei Yan
Molecules 2026, 31(1), 124; https://doi.org/10.3390/molecules31010124 - 29 Dec 2025
Viewed by 168
Abstract
This study numerically investigates the critical fuel concentration and flammable regions of methane–air and methane oxy-fuel counterflow diffusion flames. The goal is to determine the effects of strain rate, oxidizer composition, and radiative heat transfer models on flame extinction. Calculations were performed using [...] Read more.
This study numerically investigates the critical fuel concentration and flammable regions of methane–air and methane oxy-fuel counterflow diffusion flames. The goal is to determine the effects of strain rate, oxidizer composition, and radiative heat transfer models on flame extinction. Calculations were performed using the counterflow diffusion flame with the adiabatic (ADI), optically thin (OTM), and statistical narrow-band (SNB) radiation models at strain rates of 10 s−1, 80 s−1, and 200 s−1. The key findings are as follows: For methane–air flames, radiation reabsorption has a negligible impact. The flammable region decreases with increasing strain rate (SLow > SMid > SHigh) across all models. In O2/CO2 flames, radiation plays a significant role. While the ADI and SNB models maintain the same trend as in air flames, the OTM yields a different order (SMid > SHigh > SLow). Reducing oxygen concentration increases the critical fuel concentration and shrinks the flammable region. When the oxygen concentration is between 0.35 and 0.40, the combustion characteristics of O2/CO2 flames resemble those of conventional air flames. In conclusion, this work highlights the critical influence of radiation modeling and oxidizer composition on oxy-fuel flame extinction limits, providing insights for combustion system design under CO2 dilution. Full article
(This article belongs to the Special Issue Chemical Conversion and Utilization of CO2)
Show Figures

Figure 1

25 pages, 3489 KB  
Article
Citicoline Oral Solution Induces Functional Enhancement and Synaptic Plasticity in Patients with Open-Angle Glaucoma
by Vincenzo Parisi, Lucia Ziccardi, Lucia Tanga, Lucilla Barbano, Emanuele Tinelli, Gianluca Coppola, Antonio Di Renzo, Manuele Michelessi, Gloria Roberti, Carmela Carnevale, Sara Giammaria, Carmen Dell’Aquila, Mattia D’Andrea, Gianluca Manni and Francesco Oddone
J. Clin. Med. 2026, 15(1), 223; https://doi.org/10.3390/jcm15010223 - 27 Dec 2025
Viewed by 360
Abstract
Objectives: To evaluate the changes in retinal function and neural conduction along the visual pathways after 12 months of treatment with Citicoline oral solution in patients with open-angle glaucoma (OAG). Methods: In this randomized, prospective, double-blind study, 29 OAG patients were enrolled. Fifteen [...] Read more.
Objectives: To evaluate the changes in retinal function and neural conduction along the visual pathways after 12 months of treatment with Citicoline oral solution in patients with open-angle glaucoma (OAG). Methods: In this randomized, prospective, double-blind study, 29 OAG patients were enrolled. Fifteen patients (Citicoline Group, 15 eyes) received Citicoline oral solution (Neurotidine®, 500 mg/day), and 14 patients (Placebo Group, 14 eyes) received placebo for 12 months. Visual field (VF), pattern electroretinogram (PERG), visual evoked potentials (VEP), and Retinocortical Time (RCT) were assessed at baseline and after 6 and 12 months. Brain Diffusion Tensor Imaging (DTI)-Magnetic Resonance Imaging (MRI) was performed at baseline and at 12 months. Results: PERG, VEP, and RCT baseline values were comparable between groups (p > 0.01) at baseline. After 12 months of Citicoline treatment, significant (p < 0.01) increases in PERG P50–N95 and VEP N75-P100 amplitudes, and significant shortening of PERG P50, VEP P100 implicit times and RCT were observed. VEP implicit times shortening significantly correlated with the changes in VF Mean Deviation, and RCT shortening was associated with changes in DTI-MRI metrics in the lateral geniculate nucleus and on optic radiations, without reaching the level of significance. No significant changes were found in the Placebo Group. Conclusions: In OAG, Citicoline oral solution enhances retinal function likely through neuromodulation processes and changes post-retinal visual pathway connectivity. This could explain the improvement of visual field defects. Full article
(This article belongs to the Section Ophthalmology)
Show Figures

Figure 1

11 pages, 2631 KB  
Article
A Bidirectional Design Method for Through-Glass Vias with Selective Laser Wet Etching Based on the Cross-Modal Learning Method
by Yongbo Meng, Liqing Wu, Bo Yuan, Xingping Zhou, Yan Li, Zhijun Zhang and Yuechun Shi
Micromachines 2026, 17(1), 33; https://doi.org/10.3390/mi17010033 - 27 Dec 2025
Viewed by 241
Abstract
As an interposer, Through-Glass Vias (TGVs) play a critical role in advanced packaging such as Co-packaged optics (CPO). Currently, due to the complex influence of laser wet-etching process parameters, the precise bidirectional prediction of TGV parameters and the etching morphology still remains a [...] Read more.
As an interposer, Through-Glass Vias (TGVs) play a critical role in advanced packaging such as Co-packaged optics (CPO). Currently, due to the complex influence of laser wet-etching process parameters, the precise bidirectional prediction of TGV parameters and the etching morphology still remains a challenge. In this paper, a bidirectional design method for TGVs is proposed, which is based on the cross-modal learning method. By integrating a Cellular Automaton Etch-Diffusion (CAED) physical model with a Stable Diffusion (SD) architecture, accurate forward prediction from laser parameters to TGV morphology is realized successfully. In addition, the Contrastive Language–Image Pre-training (CLIP) model is also applied to achieve an efficient inverse design of TGVs. Furthermore, the generalization ability is examined in this paper, demonstrating significant robustness and stability of the generative model. The results provide an efficient method for enhancing TGV quality within a deep learning framework. Full article
Show Figures

Figure 1

12 pages, 3402 KB  
Article
Variation in Alpha-Case Thickness of Ti-xAl Castings
by Byungil Kang, Taekyu Ha, Seul Lee, Youngkyu Ju and Youngjig Kim
Materials 2026, 19(1), 29; https://doi.org/10.3390/ma19010029 - 21 Dec 2025
Viewed by 302
Abstract
Alpha-case formation, originating from interfacial reactions between molten titanium and oxide molds, remains a critical issue limiting the surface integrity and mechanical performance of titanium castings. In this study, the effect of aluminum content (0–52 at%) on alpha-case formation was systematically investigated using [...] Read more.
Alpha-case formation, originating from interfacial reactions between molten titanium and oxide molds, remains a critical issue limiting the surface integrity and mechanical performance of titanium castings. In this study, the effect of aluminum content (0–52 at%) on alpha-case formation was systematically investigated using plasma arc melting and drop casting with alumina-based molds. The reaction kinetics between titanium melts and alumina molds were evaluated through cooling rate measurements and thermodynamic modeling. Microstructural and compositional analyses using optical microscopy, hardness testing, and electron probe microanalysis revealed that increasing aluminum content effectively suppressed alpha-case development. No distinct reaction layer was observed when the aluminum concentration exceeded 30 at%. The alpha-case consisted primarily of Ti3Al, TiO2, and Ti5Si3 phases, indicating that the molten titanium reacted with both alumina and silica constituents of the mold. Oxygen was identified as the dominant element controlling the reaction depth, consistent with its diffusion behavior across titanium phases. Calculated alpha-case thicknesses showed excellent agreement with experimental measurements, confirming that the reduction in alpha-case depth with increasing aluminum content results from decreased oxygen diffusivity, shorter reaction time, and lower interfacial temperature. These findings establish aluminum addition as a key strategy for minimizing interfacial reactions during titanium investment casting, thereby improving dimensional accuracy and surface quality in high-temperature components. Full article
Show Figures

Figure 1

20 pages, 6044 KB  
Article
Photocatalytic Decomposition of Carmoisine and Crystal Violet by Ho-Doped TiO2 Sol-Gel Powders
by Nina Kaneva, Stefani Petrova and Albena Bachvarova-Nedelcheva
Materials 2026, 19(1), 17; https://doi.org/10.3390/ma19010017 - 20 Dec 2025
Viewed by 346
Abstract
This study explores the sol–gel synthesis, structural characterization, and photocatalytic performance of Ho3+-doped TiO2 nanopowders at two dopant levels (0.5 and 2 mol%). Transparent, homogeneous gels were prepared using titanium (IV) butoxide and holmium (III) nitrate pentahydrate in ethanol, followed [...] Read more.
This study explores the sol–gel synthesis, structural characterization, and photocatalytic performance of Ho3+-doped TiO2 nanopowders at two dopant levels (0.5 and 2 mol%). Transparent, homogeneous gels were prepared using titanium (IV) butoxide and holmium (III) nitrate pentahydrate in ethanol, followed by drying and optional annealing at 500 °C. X-ray diffraction confirmed anatase TiO2 as the dominant crystalline phase, with Ho incorporation suppressing crystal growth and yielding smaller crystallite sizes than undoped TiO2. FT-IR and UV-Vis spectroscopy verified complete hydrolysis–condensation during gel formation, while diffuse reflectance spectra revealed a red-shifted absorption edge, indicating reduced band gaps. SEM analysis showed nanoscale particles with agglomeration, which intensified after annealing. Photocatalytic activity was tested under UV irradiation using Crystal Violet (anionic dye) and Carmoisine (cationic dye). Annealed Ho-doped powders exhibited markedly higher degradation rates, with the 2 mol% sample achieving the greatest efficiency, particularly against Crystal Violet. These findings demonstrate that Ho3+ doping enhances TiO2’s UV-driven photocatalytic activity by tailoring its structural and optical properties. Full article
Show Figures

Figure 1

17 pages, 7003 KB  
Article
Synthesis, Optical, Electrical, and Thermoelectric Characterization of SbSI/Graphite Nanocomposite
by Bartłomiej Nowacki, Krystian Mistewicz, Jakub Jała, Mateusz Kozioł and Albert Smalcerz
Energies 2026, 19(1), 9; https://doi.org/10.3390/en19010009 - 19 Dec 2025
Viewed by 280
Abstract
Carbon nanocomposites have gained interest due to the rapid development of nanotechnology. The graphite-based composites have been demonstrated to possess unique mechanical, electrical, and thermal properties. This paper presents a facile one-step sonochemical synthesis of antimony sulfoiodide (SbSI)/graphite nanocomposite. The weight concentrations of [...] Read more.
Carbon nanocomposites have gained interest due to the rapid development of nanotechnology. The graphite-based composites have been demonstrated to possess unique mechanical, electrical, and thermal properties. This paper presents a facile one-step sonochemical synthesis of antimony sulfoiodide (SbSI)/graphite nanocomposite. The weight concentrations of graphite in the prepared material varied from 0% to 33.3%. The morphology and chemical composition of the SbSI/graphite nanocomposites are studied with scanning electron microscopy (SEM) and energy-dispersive X-ray spectroscopy (EDS), respectively. SEM examination shows that SbSI/graphite nanocomposite consists of one-dimensional SbSI nanostructures and graphite microparticles. The influence of graphite concentration on the energy band gap of SbSI/graphite nanocomposite is investigated using diffuse reflectance spectroscopy (DRS). The prepared materials are cold-pressed to obtain the bulk samples. They are characterized by direct current (DC) electrical measurements and thermoelectric examination. The increase in the graphite concentration in the SbSI/graphite nanocomposite resulted in a significant reduction in the electrical resistivity of the material. The Seebeck coefficients of the pristine SbSI nanowires and SbSI/graphite nanocomposite are determined for the first time. The investigations of the thermoelectric effect reveal that these nanomaterials exhibited p-type electrical conductivity. The thermoelectric power factor of the SbSI/graphite nanocomposite is examined as a function of the graphite concentration. The presented work demonstrates the comprehensive optical, electrical, and thermoelectric characterization of novel hybrid SbSI/graphite nanocomposites, which has not been studied before. Full article
Show Figures

Figure 1

21 pages, 11847 KB  
Article
Microstructural Insights into Strain Partitioning During Incipient Folding in Mechanically Layered Strata: Evidence from Deformation Bands in the Outer Carpathians, Poland
by Piotr J. Strzelecki
Appl. Sci. 2025, 15(24), 13212; https://doi.org/10.3390/app152413212 - 17 Dec 2025
Viewed by 212
Abstract
Deformation bands provide a microscale record of strain localisation within sandstones and offer key insights into deformation mechanisms and conditions. This study integrates detailed field observations with optical microscopy and three-dimensional X-ray microtomography (µCT) to characterise deformation bands in thick-bedded sandstones of the [...] Read more.
Deformation bands provide a microscale record of strain localisation within sandstones and offer key insights into deformation mechanisms and conditions. This study integrates detailed field observations with optical microscopy and three-dimensional X-ray microtomography (µCT) to characterise deformation bands in thick-bedded sandstones of the Krosno Formation (Silesian Nappe, Outer Carpathians). Two sections within a regional first-order fold were examined: an upper, mudstone-rich and mechanically weak unit, and an underlying sandstone-dominated competent unit. The contrasting kinematics of the deformation bands reflect layer-parallel strain partitioning during the onset of folding. Normal-shear bands developed in the weaker upper unit, whereas compaction bands formed pervasively in the competent unit. Microstructurally, shear bands are sharply bounded, organised in arrays, and dominated by grain rearrangement with local cataclasis, while compaction bands exhibit diffuse margins, tight grain packing, and disaggregation through progressive cataclasis. These features indicate that the bands formed under shallow-burial (<500 m) conditions. µCT imaging reveals the bands as darker, low-attenuation zones relative to the host rock, reflecting post-deformational cementation and the absence of cement within the bands. This diagenetic contrast enhanced mechanical heterogeneity and promoted later reactivation and fracture development. The study provides a three-dimensional microstructural assessment of early strain localisation in mechanically layered rocks in the buckle fold limb. Full article
(This article belongs to the Special Issue Advances in Structural Geology)
Show Figures

Figure 1

13 pages, 3609 KB  
Article
Microstructural White Matter Alterations in Pediatric Idiopathic Intracranial Hypertension: A Diffusion Tensor Imaging Study
by Bilge Özgör, Hüseyin Ayvaz, Mahir Tan, Sevgi Demiröz Taşolar, Gül Yücel, Işınsu Bıçakcıoğlu and Serdal Güngör
Children 2025, 12(12), 1704; https://doi.org/10.3390/children12121704 - 17 Dec 2025
Viewed by 283
Abstract
Background/Objectives: Idiopathic intracranial hypertension (IIH) is an uncommon but clinically important cause of elevated intracranial pressure in children. Conventional MRI findings such as perioptic subarachnoid space (SAS) distension and posterior globe flattening are helpful but may lack sensitivity or specificity in certain [...] Read more.
Background/Objectives: Idiopathic intracranial hypertension (IIH) is an uncommon but clinically important cause of elevated intracranial pressure in children. Conventional MRI findings such as perioptic subarachnoid space (SAS) distension and posterior globe flattening are helpful but may lack sensitivity or specificity in certain cases. Diffusion tensor imaging (DTI), which quantifies white matter microstructure through metrics such as fractional anisotropy (FA), mean diffusivity (MD), axial diffusivity (AD), and radial diffusivity (RD), offers additional diagnostic potential, yet its role in pediatric IIH remains insufficiently defined. Methods: This retrospective case–control study included 26 pediatric patients with IIH and 26 age- and sex-matched controls who underwent brain MRI with DTI between 2010 and 2025. DTI parameters were measured in major white matter tracts, and conventional MRI findings associated with raised intracranial pressure were recorded. Associations between DTI metrics and conventional imaging markers were analyzed using standardized statistical tests. Results: Children with IIH demonstrated significantly reduced FA and increased MD and RD values in several key white matter regions, particularly within the optic radiation, splenium of the corpus callosum, and posterior limb of the internal capsule. FA values showed a negative correlation with perioptic SAS width, while RD and MD were positively correlated with posterior globe flattening and empty sella grade. Receiver operating characteristic analysis identified FA in the optic radiation as the strongest discriminator between IIH and controls (AUC = 0.83). Inter-observer reliability for FA measurements was excellent (ICC = 0.91). Conclusions: Pediatric IIH appears to be associated with pressure-related microstructural alterations in white matter, detectable through DTI. Among the diffusion metrics, FA demonstrated the strongest diagnostic potential and may serve as a complementary tool to conventional MRI. Validation in larger, prospective pediatric cohorts is required to establish its clinical utility. Full article
(This article belongs to the Section Pediatric Radiology)
Show Figures

Figure 1

15 pages, 3499 KB  
Article
Photothermal Heat Transfer in Nano-Hydroxyapatite/Carbon Nanotubes Composites Modeled Through Cellular Automata
by Cecilia Mercado-Zúñiga and José Antonio García-Merino
Crystals 2025, 15(12), 1062; https://doi.org/10.3390/cryst15121062 - 17 Dec 2025
Viewed by 265
Abstract
Modeling elementary diffusion processes in nanostructured materials is essential for developing platforms capable of interacting with high-speed physical signals. In this work, the photothermal response of a nano-hydroxyapatite/carbon nanotube (nHAp/CNT) composite was experimentally characterized and modeled through a cellular automaton (CA) framework designed [...] Read more.
Modeling elementary diffusion processes in nanostructured materials is essential for developing platforms capable of interacting with high-speed physical signals. In this work, the photothermal response of a nano-hydroxyapatite/carbon nanotube (nHAp/CNT) composite was experimentally characterized and modeled through a cellular automaton (CA) framework designed to capture the thermal propagation of the hybrid system. Synthesizing nHAp/CNT composites enables the combination of the biocompatible and piezoelectric nature of nHAp with the enhanced photothermal response introduced by CNTs. UV–Vis reflectance measurements confirmed that CNT incorporation increases the optical absorption of the ceramic matrix, resulting in more efficient photothermal conversion. The composite was irradiated with a nanosecond pulsed laser, and the resulting thermal transients were compared with CA simulations based on a D2Q9 lattice configuration. The model accurately reproduces experiments, achieving R2 > 0.991 and NRMSE below 2.4% for all tested laser powers. This strong correspondence validates the CA approach for predicting spatiotemporal heat diffusion in heterogeneous nanostructured composites. Furthermore, the model revealed a sensitive thermal coupling when two heat sources were considered, indicating synergistic enhancement of local temperature fields. These findings demonstrate both the effective integration of CNTs within the nHAp matrix and the capability of CA-based modeling to describe their photothermal behavior. Overall, this study establishes a computational–experimental basis for designing controlled thermal-wave propagation and guiding future multi-frequency or multi-source photothermal mixing experiments. Full article
Show Figures

Figure 1

35 pages, 20186 KB  
Article
Magnetoplasmonic Nanostructures from Magnetite with Noble Metal Surface Modification and Their Antimicrobial Activity
by Helmina Ardeleanu, Maria-Crinela Ardeleanu, Simona Dunca, Marian Grigoras, Gabriel Ababei, Daniela Pricop, Laura Ursu, Georgiana Bulai, Daniel Timpu, Nicoleta Lupu, Alin Ciobica, Mihaela Racuciu and Dorina Creanga
Int. J. Mol. Sci. 2025, 26(24), 12092; https://doi.org/10.3390/ijms262412092 - 16 Dec 2025
Viewed by 236
Abstract
Multifunctional nanomaterials have been extensively investigated in theranostics to enhance therapeutic specificity, biocompatibility, and responsiveness to external magnetic gradients. We synthesized magnetoplasmonic nanocomposites comprising magnetite nanoparticles modified with gold and silver. Magnetite was synthesized via chemical co-precipitation and stabilized in an aqueous medium [...] Read more.
Multifunctional nanomaterials have been extensively investigated in theranostics to enhance therapeutic specificity, biocompatibility, and responsiveness to external magnetic gradients. We synthesized magnetoplasmonic nanocomposites comprising magnetite nanoparticles modified with gold and silver. Magnetite was synthesized via chemical co-precipitation and stabilized in an aqueous medium using glucose, which also served as a reducing agent for Au3+ and Ag+ ions on the nanoparticle surface. Microstructural, magnetic, spectral, and optical characterizations confirmed the successful formation of nanocomposites with properties suitable for biomedical applications. Plasmonic behavior was evidenced by visible-range absorbance maxima at 398 nm (Ag) and 538 nm (Au), while Transmission Electron Microscopy (TEM) revealed mean diameters of 21 and 23 nm. Zeta potential values of +23 mV for magnetite–silver and −40 mV for magnetite–gold nanocomposite samples indicated good suspension stability. Antibacterial activity against Gram-positive and Gram-negative bacteria was evaluated using agar diffusion and by determining the minimum inhibitory (MIC) and bactericidal (MBC) concentrations. Silver-modified magnetite nanocomposites exhibited the most potent effects, with MIC values of 0.01 mg/mL for Escherichia coli (E. coli) and 0.02 mg/mL for Staphylococcus aureus (S. aureus), and corresponding MBC values of 0.027 mg/mL and 0.055 mg/mL, respectively. These magnetoplasmonic nanostructures have significant potential for overcoming antibiotic resistance and enabling targeted therapeutic action through magnetic guidance. Full article
(This article belongs to the Special Issue Multifunctional Nanocomposites for Bioapplications)
Show Figures

Graphical abstract

13 pages, 2545 KB  
Article
Source-Specific PM2.5 Exposure and Associated Health Risks During Beijing Winter
by Xin Liu, Zhiqing Liu, Wenming Pei, Xiaoyu Zhang, Xiaoting Jie, Zhi Yang, Liwei Liu, Yuxing Gao, Ruoyu Hu and Mingzhu Zhang
Toxics 2025, 13(12), 1081; https://doi.org/10.3390/toxics13121081 - 16 Dec 2025
Viewed by 669
Abstract
Atmospheric fine particles (PM2.5, aerodynamic diameter ≤ 2.5 µm) have a serious effect on human health. This study combined concentration weighted trajectory (CWT) analysis with the HYSPLIT trajectory ensemble (Ens-HYSPLIT-CWT), to separate the sources of PM2.5 transported to Beijing, and [...] Read more.
Atmospheric fine particles (PM2.5, aerodynamic diameter ≤ 2.5 µm) have a serious effect on human health. This study combined concentration weighted trajectory (CWT) analysis with the HYSPLIT trajectory ensemble (Ens-HYSPLIT-CWT), to separate the sources of PM2.5 transported to Beijing, and further investigate the effect of PM2.5 originated from different sources on human health. We found that north region air masses usually come with clean events under the blessing of meteorological conditions, combined with the clean air mass transported from the north, as high wind speed near the surface promotes the horizontal diffusion of pollutants. Additionally, north region air masses contribute to the decrease in aerosol optical depth (AOD) at Beijing and surrounding areas, with AF (daily attributable fraction associated with short-term PM2.5 exposure) values of Beijing only at 0.14. During the study period (from January to March 2024), south region air masses usually come with high PM2.5 values, which is correlated to the meteorological conditions and pollutant spatial distribution. The air masses coming from the south region contain high temperature and relative humidity (RH), promoting the occurrence of high pollution events. AOD spatial distribution observed from satellites showed that except for the dominance of north region air mass sources, the south region presents high AOD values, further resulting in the highest AF value of 0.75 obtained at Beijing, which is 5 times higher than the north region’s dominant AF mean value. It is worth noting that the air mass originated from the east region, which originally contributed relatively clean air masses before emission reduction, increased its contribution to air mass pollution after emission reduction due to the decrease in pollution concentration in other regions. As a result, the mean PM2.5 in this source area was second only to south region air masses and local emission sources, and the AF value even exceeded local emissions, second only to south region air mass sources, reaching 0.5. This result emphasizes that in future pollution control policy adjustments and research on human health, attention needs to be paid to the contribution of eastward air masses. Full article
(This article belongs to the Special Issue Monitoring and Modeling of Air Pollution)
Show Figures

Figure 1

Back to TopTop