Effect of Wall Temperature on Acetylene Diffusion Flame–Wall Interaction Based on Optical Diagnostics and CFD Simulation
Abstract
:1. Introduction
2. Experimental Setup and Approaches
2.1. Acetylene Diffusion Flame–Wall Interaction Device
2.2. Optical Setup and Methodology
3. Numerical Simulation
4. Results and Discussion
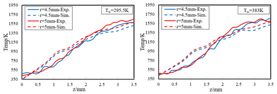
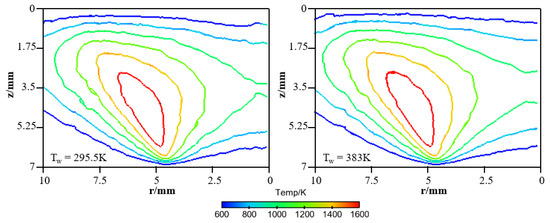
4.1. Temperature Distribution and Quenching Distance
4.2. Emissions Near the Wall
5. Conclusions
Author Contributions
Acknowledgments
Conflicts of Interest
Abbreviations
| AMR | Adaptive Mesh Refinement |
| CARS | Coherent Anti-Stokes Raman Spectroscopy |
| CFD | Computed Fluid Dynamic |
| DNS | Direct Numerical Simulation |
| FGM | Flamelet Generated Manifold |
| FWI | Flame–Wall Interaction |
| HOQ | Head-On Quenching |
| ICCD | Intensified Charge Coupled Device |
| LIF | Laser Induced Fluorescence |
| LII | Laser Induced Incandescence |
| PAH | Polycyclic Aromatic Hydrocarbons |
| SWQ | Side-Wall Quenching |
| TP | Two-Photon LIF and Phosphor Thermometry |
| UHC | Unburned Hydrocarbon |
References
- Laget, O.; Muller, L.; Truffin, K.; Kashdan, J.; Kumar, R.; Sotton, J.; Boust, B.; Bellenoue, M. Experiments and modeling of flame/wall interaction in spark-ignition (SI) engine conditions. SAE Pap. 2013. [Google Scholar] [CrossRef]
- Demesoukas, S.; Caillol, C.; Higelin, P.; Boiarciuc, A.; Floch, A. Near wall combustion modeling in spark ignition engines. Part A: Flame–wall interaction. Energy Convers. Manag. 2015, 106, 1426–1438. [Google Scholar] [CrossRef]
- Lakshmanan, T.; Nagarajan, G. Experimental investigation on dual fuel operation of acetylene in a DI diesel engine. Fuel Process. Technol. 2010, 91, 496–503. [Google Scholar] [CrossRef]
- Lakshmanan, T.; Nagarajan, G. Experimental investigation of port injection of acetylene in DI diesel engine in dual fuel mode. Fuel 2011, 90, 2571–2577. [Google Scholar] [CrossRef]
- Fuyuto, T.; Kronemayer, H.; Lewerich, B.; Brubach, J.; Fujikawa, T.; Akihama, K.; Dreier, T.; Schulz, C. Temperature and species measurement in a quenching boundary layer on a flat-flame burner. Exp. Fluids 2010, 49, 783–795. [Google Scholar] [CrossRef]
- Kim, D.; Ekoto, I.; Colban, W.F.; Miles, P.C. In-cylinder CO and UHC Imaging in a Light-Duty Diesel Engine during PPCI Low-Temperature Combustion. SAE Pap. 2008, 1, 933–956. [Google Scholar] [CrossRef]
- Heeger, C.; Gordon, R.L.; Tummers, M.J.; Sattelmayer, T.; Dreizler, A. Experimental analysis of flashback in lean premixed swirling flames: Upstream flame propagation. Exp. Fluids 2010, 49, 853–863. [Google Scholar] [CrossRef]
- Künne, G. Large Eddy Simulation of Premixed Combustion Using Artificial Flame Thickening Coupled with Tabulated Chemistry, 1st ed.; Optimus Verlag: Göttingen, Germany, 2012. [Google Scholar]
- Liu, H.; Ma, S.; Zhang, Z.; Zheng, Z.; Yao, M. Study of the control strategies on soot reduction under early-injection conditions on a diesel engine. Fuel 2015, 139, 472–481. [Google Scholar] [CrossRef]
- Mann, M.; Jainski, C.; Euler, M.; Bohm, B.; Dreizler, A. Experimental analysis using spectroscopic temperature and CO concentration measurements. Combust. Flame 2014, 161, 2371–2386. [Google Scholar] [CrossRef]
- Dreizler, A.; Bohm, B. Advanced laser diagnostics for an improved understanding of premixed flame-wall interactions. Proc. Combust. Inst. 2015, 35, 37–64. [Google Scholar] [CrossRef]
- Boust, B.; Sotton, J.; Labuda, S.A.; Bellenoue, M. A thermal formulation for single-wall quenching of transient laminar flames. Combust. Flame 2007, 149, 286–294. [Google Scholar] [CrossRef]
- Dabireau, F.; Cuenot, B.; Vermorel, O.; Poinsot, T. Interaction of flames of H2 + O2 with inert walls. Combust. Flame 2003, 135, 123–133. [Google Scholar] [CrossRef]
- Wang, Y.; Trouve, A. Direct numerical simulation of nonpremixed flame-wall interactions. Combust. Flame 2006, 144, 461–475. [Google Scholar] [CrossRef]
- Desoutter, G.; Cuenot, B.; Habchi, C.; Poinsot, T. Interaction of a premixed flame with a liquid fuel film on a wall. Proc. Combust. Inst. 2005, 30, 259–266. [Google Scholar] [CrossRef]
- Heinrich, A.; Ganter, S.; Kuenne, G.; Jainski, C.; Dreizler, A.; Janicka, J. 3D Numerical Simulation of a Laminar Experimental SWQ Burner with Tabulated Chemistry. Flow Turbul. Combust. 2017, 1, 1–25. [Google Scholar] [CrossRef]
- Tang, Q.L.; Zhang, P.; Liu, H.F.; Yao, M.F. Quantitative Measurements of Soot Volume Fractions in Diesel Engine Using Laser-Induced Incandescence Method. Acta Phys. Chim. Sin. 2015, 31, 980–988. [Google Scholar]
- Melton, L.A. Soot diagnostics based on laser heating. Appl. Opt. 1984, 23, 2201–2208. [Google Scholar] [CrossRef] [PubMed]
- Hofeldt, D.L. Real-Time Soot Concentration Measurement Technique for Engine Exhaust Streams. SAE Pap. 1993. [Google Scholar] [CrossRef]
- Quay, B.; Lee, T.W.; Ni, T.; Santoro, R.J. Spatially resolved measurements of soot volume fraction using laser-induced incandescence. Combust. Flame 1994, 97, 384–392. [Google Scholar] [CrossRef]
- Chen, B.; Liu, X.; Liu, H.; Wang, H.; Kyritsis, D.C.; Yao, M. Soot reduction effects of the addition of four butanol isomers on partially premixed flames of diesel surrogates. Combust. Flame 2017, 177, 123–136. [Google Scholar] [CrossRef]
- Liu, H.; Zhang, P.; Liu, X.; Chen, B.; Geng, C.; Li, B.; Wang, H.; Li, Z.; Yao, M. Laser diagnostics and chemical kinetic analysis of PAHs and soot in co-flow partially premixed flames using diesel surrogate and oxygenated additives of n-butanol and DMF. Combust. Flame 2018, 188, 129–141. [Google Scholar] [CrossRef]
- Lawrence Livermore National Laboratory, C1-C2 Detailed Mechanism, Version 1.2. Available online: https://library-ext.llnl.gov/ (accessed on 16 November 1996).















| Parameter | Value |
|---|---|
| Distance between wall and burner exit | 7 mm |
| Flow rate of fresh gas | 0.05 L/min |
| Air co-flow rate | 30 L/min |
| Wall temperature (Tw) | 295.5 K, 383 K |
© 2018 by the authors. Licensee MDPI, Basel, Switzerland. This article is an open access article distributed under the terms and conditions of the Creative Commons Attribution (CC BY) license (http://creativecommons.org/licenses/by/4.0/).
Share and Cite
Liu, H.; Geng, C.; Yang, Z.; Cui, Y.; Yao, M. Effect of Wall Temperature on Acetylene Diffusion Flame–Wall Interaction Based on Optical Diagnostics and CFD Simulation. Energies 2018, 11, 1264. https://doi.org/10.3390/en11051264
Liu H, Geng C, Yang Z, Cui Y, Yao M. Effect of Wall Temperature on Acetylene Diffusion Flame–Wall Interaction Based on Optical Diagnostics and CFD Simulation. Energies. 2018; 11(5):1264. https://doi.org/10.3390/en11051264
Chicago/Turabian StyleLiu, Haifeng, Chao Geng, Zhi Yang, Yanqing Cui, and Mingfa Yao. 2018. "Effect of Wall Temperature on Acetylene Diffusion Flame–Wall Interaction Based on Optical Diagnostics and CFD Simulation" Energies 11, no. 5: 1264. https://doi.org/10.3390/en11051264
APA StyleLiu, H., Geng, C., Yang, Z., Cui, Y., & Yao, M. (2018). Effect of Wall Temperature on Acetylene Diffusion Flame–Wall Interaction Based on Optical Diagnostics and CFD Simulation. Energies, 11(5), 1264. https://doi.org/10.3390/en11051264

