Next Article in Journal
Graphical Approach to Optimization of Maximally Efficient-Gain-Boosted Feedback Amplifiers
Previous Article in Journal
Unconditionally Stable System Incorporated Factorization-Splitting Algorithm for Blackout Re-Entry Vehicle
 
 
Font Type:
Arial Georgia Verdana
Font Size:
Aa Aa Aa
Line Spacing:
Column Width:
Background:
Article

Possibilities of Diffuse Reflectance Spectroscopy in Determining and Operational Control of the Optical Properties of Finely Dispersed Scattering Media

1
Department of Electronics and Information Technology, Lublin University of Technology, Nadbystrzycka 38D, 20-618 Lublin, Poland
2
Department of Radiophysics and Computer Technologies, Belarusian State University, Nezavisimosti Avenue 4, 220030 Minsk, Belarus
*
Author to whom correspondence should be addressed.
Electronics 2023, 12(13), 2893; https://doi.org/10.3390/electronics12132893
Submission received: 9 June 2023 / Revised: 23 June 2023 / Accepted: 27 June 2023 / Published: 30 June 2023
(This article belongs to the Special Issue Advanced Photonic Applications)

Abstract

The characteristics of modern portable spectrometers based on photodetector arrays make it possible to create on their basis a new class of devices for operational control of the optical properties of various media. The introduction into the practice of diffuse reflectance spectroscopy with spatial resolution is hampered by the lack of an analysis of the influence of the width of the spectral region used and other sources of measurement uncertainty on the unambiguous determination of the optical properties of finely dispersed scattering materials. This article describes a method of determining the coefficient of local diffuse reflection and calculating the spectral parameters of the reduced scattering and absorption of radiation based on the differences in their shape, which are clearly manifested in a wide range of the spectrum. This allows the reduction in the determination of the desired spectral dependencies to the formation of a residual function that requires varying the values of only two parameters. A method for normalising the recorded spectral dependencies is described, which makes it possible to minimise the influence of the spectral characteristics of the equipment used on the recorded spectral–spatial profiles. Approbation of the method was carried out on examples of processing spectral–spatial diffuse reflection profiles of four samples of finely dispersed scattering structural materials, as well as diffuse reflection profiles of living tissue in the palm thenar region. The sources of uncertainty that affect the uniqueness of the obtained solutions are found, and solutions are proposed to minimise their influence on the desired spectral dependencies. The results obtained indicate the prospects of using the described method for creating equipment for non-destructive control of the optical properties of finely dispersed materials and media, including living tissues and food products.

1. Introduction

The problem of non-destructive testing of various materials and media is multifaceted and has several directions for its solution. Optical spectroscopy is widely used in the analysis of media composition [1,2,3]. A fairly new direction in the optical control of inhomogeneous, strongly scattering media is the spectroscopy of back diffuse reflection of light radiation with spatial resolution [4,5,6,7]. The values of the reduced scattering coefficient μ′s of these media significantly exceed the values of the reduced absorption coefficient μa. This leads to the fact that even with a relatively small optical thickness, there is multiple scattering of radiation in the medium. By recording the spectra of radiation reflected back by the medium at different distances between the emitting and receiving fibre-optic probes ρk, it is possible to determine its optical characteristics. With their further analysis, it becomes possible to assess the deviation of the composition of the controlled medium from the predetermined or reference values [4,5,6,7,8,9]. The potential possibilities of diffuse reflection spectroscopy are attractive for the creation of new small-sized optical-electronic equipment designed for the rapid determination and control of the properties of various scattering media and composite materials. The complexity of the principles of operation of this equipment and the lack of an assessment of the uncertainty of the measurement results, which is due to both the instability of the parameters of the equipment being created and the unknown properties of the media and samples under study, requires a thorough investigation that clarifies the prospects for the considered direction in the development of optoelectronic instrumentation.
The regularities of light scattering in inhomogeneous media are complex [10]. Analytical solutions of the integro-differential equation of radiation transfer in scattering media have not been found [10,11]. Therefore, the search for possible simplifications of this solution in the analysis of the optical properties of strongly scattering media has been carried out for several decades [12,13,14,15,16,17,18,19,20]. At present, when studying the optical properties of strongly scattering media, the Monte Carlo simulation of photon migration in a medium with given values of the absorption coefficient μa, scattering coefficient μs, and anisotropy factor g is mainly used [19]. Since this method requires time-consuming numeric calculations, a number of authors have obtained approximate expressions based on the use of the diffusion approximation [21,22] and the photon diffusion scheme with a set of positive and negative radiation sources [14,15,16,17,18,23]. The authors of these approximations compare the obtained dependencies both with experimental ones and with dependencies calculated using the Monte Carlo method and show their applicability when certain limitations are imposed on the values of absorption coefficient μa, scattering coefficient μs, and anisotropy factor g = 〈cos(Θs)〉, where Θs is the photon deflection angle during the scattering. The presence of such analytical expressions greatly simplifies the algorithms for fitting (when solving a system of nonlinear equations) the given values of the coefficients μa0) and μ′s0) = μs0) (1 − g) so that they best correspond to the experimentally obtained dependencies of the local diffuse reflection coefficient Rm0k) on the distance between the probes ρk, obtained at a wavelength λ0 [24]. It should be noted here that the complex nonlinear dependency between the experimentally obtained dependencies Rm0k) and the values μa0), μs0), and g0), as well as the influence of the state of the surface of the controlled scattering medium, can lead to the ambiguity of the obtained values μa0) and μ′s0) when solving the inverse problem since it is not possible to separate their influence on the experimentally obtained dependencies successfully.
The ambiguity in determining the optical properties of finely dispersed scattering media can be significantly reduced by registering the spectral–spatial diffuse reflection profiles in a wide range of the spectrum. Spatially resolved optical spectroscopy provides more information than systems that record the spectra at a fixed distance between the probes. Therefore, the analysis of back diffuse reflection spectra recorded at several distances ρk between the illuminating and receiving fibre-optic probes is a promising direction for further development of the discussed methods and equipment. Considering the transformation of the shape of the recorded spectral dependencies that occurs when changing ρk, it should, in principle (with the introduction of some assumptions), improve the unambiguity in determining the spectral absorption μa(λ) and the reduced scattering μ′s(λ) coefficients. Absorption of radiation mainly occurs in resonance bands, which are quite wide for condensed media. The scattering of light radiation is determined by the inhomogeneity of the medium and depends on its microphysical parameters. When describing scattering media, elastic scattering of radiation is usually considered, and several types of radiation are distinguished: Rayleigh scattering, Mie scattering, and scattering by optical inhomogeneities. In strongly scattering media, multiple scattering is predominant.
The dimensions of the inhomogeneities of the medium affect the intensity, angular distribution, and spectrum of the scattered radiation. At the average size of inhomogeneities a < λ/15, Rayleigh scattering dominates, for which the scattered light intensity is proportional to 1/λ4. With an increase in the size of inhomogeneities or scattering particles, the number of elementary dipoles in them becomes large, and they can be arranged arbitrarily. This requires taking into account the difference in the phases of the re-radiation of electromagnetic oscillations by these elementary dipoles and the distance between them, which leads to the appearance of the corresponding lobes on the scattered radiation pattern. The dependency of the attenuation of radiation on the wavelength becomes much weaker in this case. For example, for water droplets in a cloud with an average radius a ≈ λ, the physical mechanism of Mie scattering is observed, and the scattering cross section is proportional to σs~a42. This indicates that the scattering coefficient of finely dispersed media usually smoothly decreases with wavelength, and it is often approximated by a power-law hyperbola μs(λ)~asn [5,25], where as has the dimension µmn/cm or normalised expression μs(λ) ≈ a0⋅(λ/λ0)b, where a0 with a dimension of 1/cm determines μs0), and b is the slope of the dependency μs(λ) [26]. In the presence of a mathematical model that adequately describes the optical characteristics of the medium, the noted differences in the behaviour of the spectral dependencies μa(λ) and μ′s(λ) make it possible to fit the model parameters in a wide range of wavelengths to the experimentally obtained spectral dependencies to provide better solution stability.
Finding a connection between the microphysical and optical characteristics of scattering media is a difficult task. It requires significant effort and time by specialists to calculate radiation patterns and simulate scattering processes [27,28]. Due to the wide variety of such substances, their variability, and the need to verify the created mathematical models, their development, in many cases, will not be commercially viable. Therefore, it is advisable to develop measurement methods that allow the experimental determination of the dependencies μa(λ) and μ′s(λ), which will contribute to the widespread introduction of these methods for monitoring in practice.
Taking into account the potential possibilities of diffuse reflectance spectroscopy with spatial resolution, the aim of the article is the analysis of the possibilities of increasing the unambiguity of determining the spectral coefficients μa(λ) and μ′s(λ) of scattering media using the known diffusion approximations of radiation transfer in a wide part of the spectrum. It is obvious that the unambiguity of determining the spectral coefficients μa(λ) and μ′s(λ) will open up the possibility of a wide application of diffuse reflection spectroscopy with spatial resolution when creating the appropriate small-sized optical-electronic equipment for the operational control of the properties of scattering media and composite materials.

2. Existing Diffusion Approximations

When describing the subsurface radiation transfer in scattering media, it is desirable to simplify the solution of the linearised Boltzmann equation [13,16,28,29,30] using the angular brightness integrals [11,13]. When considering stationary problems, in the process of simplifying the description, a diffusion approximation is obtained, which makes it possible to describe the radiation brightness at point r in direction s by the expression [11,16]:
L r , s = 1 4 π ϕ r + 3 4 π J r , s s = 1 4 π ϕ r 3 D 4 π ϕ r s   ,
where J r , s = 4 π s L r , s d Ω is the luminous flux from the elementary area in the direction of the unit vector s , which in the literature is called the current density.
For an infinite homogeneous medium containing a point isotropic source, the solution to Equation (1) is the Green function for diffusion [11,13]:
ϕ r = Φ S 4 π D r e μ eff r   ,
where r is the distance from the isotropic source to the surface of a sphere with radius r; ΦS is the radiation power of an isotropic source, D = 1/(3μ′tr) = 1/[3(μ′s + μa)] is the optical diffusion length, and μ eff = μ a / D = 3 μ a μ a + μ s is the effective coefficient of the attenuation of radiation by the medium. Usually, the units W/cm2 or W/mm2 are used for ϕ.
Spatially resolved diffuse reflectance spectroscopy is based on recording the spectra of radiation leaving the surface of a scattering medium at different distances ρ from the input point of the initial photon flux. Therefore, when obtaining analytical expressions describing the local luminosity M ρ , s (W/cm2) or the coefficient of local diffuse reflection R(ρ) (1/cm2), several simplifying assumptions are used. When a narrow beam of light illuminates a semi-infinite scattering medium with anisotropic scattering, it is replaced by an isotropic radiation source, which is located in the scattering medium at a depth z0 approximately corresponding to 1/μ′s. This assumption is fulfilled in cases where the absorption coefficient μa is small compared to μ′s. Therefore, the placement depth of an equivalent isotropic source is often chosen equal to one photon’s transport mean free path ltr = 1/μtr = 1/(μ′s + μa) [11].
The authors of [17], using these assumptions, considered the case when the input of radiation into a semi-infinite medium and registration of diffusely reflected radiation is carried out using fibre-optic probes oriented normally to the surface (as shown in Figure 1a), and proposed an approximate analytical expression for calculating the coefficient of directional diffuse reflection of a sample of a semi-infinite medium:
R ρ = z 0 S f 2 π μ eff ρ 2 + z 0 2 + 1 ρ 2 + z 0 2 3 / 2 e μ eff ρ 2 + z 0 2 1 / 2 ,  
where z0 = K/μ′s is the extrapolation length, K is a dimensionless constant, the value of which depends on the anisotropy parameter of the scattering particles and the surface reflection coefficient, and Sf is the area of the end face of the optical fibre probe.
The drawback of expression (3) is the need to select the value of K included in z0, which turns out to be inconvenient in practice. Also, there is no consideration of the refractive indices of radiation of both the scattering medium nsm and the transparent medium nex, in which the fibre-optic probes are located. The authors of [14,18] proposed a method for solving the diffusion equation, which solves the problem of the adequate setting of boundary conditions and the impossibility of using (2) in a semi-infinite medium. They noticed that when a weakly divergent radiation beam is introduced into a medium with multiple photon scattering, the beam of this radiation can be replaced by an isotropic emitter, which is located under the interface. This allows the introduction of a dipole radiation source shown in Figure 1b, which consists of two point sources located in an infinite homogeneous scattering medium. The first of them is a positive source and is located at a depth of z0. It is a source of photons and “pushes out” a stream of light from the medium. The second negative source is located higher and simulates the extraction of radiation from the surrounding space [14,15], which hypothetically represents a scattering medium extended upwards to infinity. Therefore, between the sources, there must be an extrapolated boundary on which the values of ϕ are equal to zero, since these two hypothetical sources of different polarity simultaneously affect the light fluxes. It should be located above the interface between the media, i.e., at a distance of zb, since in the real case, part of the scattered radiation leaves the medium through its surface, i.e., at z = 0. It is also assumed that the gradient ϕ ρ , z / z is in the range −zbz ≤ 0 and changes linearly [14,15].
Since it is necessary to take into account the influence of both hypothetical radiation sources on the light fluxes, we obtain that at z = 0, the flux density is as follows:
ϕ ρ , z = 0 = Φ S 4 π D 1 r 1 e μ eff r 1 1 r 2 e μ eff r 2 ,  
where r 1 = z 0 2 + ρ 2 , r 2 = z 0 + 2 z b 2 + ρ 2 .
Careful consideration of the boundary conditions [15,30,31,32,33,34] makes it possible to find an expression for the local diffuse reflection coefficient of this semi-infinite medium in the form of two components, which are determined through the illumination ϕ of the scattering medium by the dipole source and the diffusion component j [14,18]:
R ρ = k ϕ n s m ϕ ρ , z = 0 Φ S + k j n s m j z ρ Φ S   ,
where
j ρ = D ϕ ρ z z = 0 = Φ S 4 π z 0 r 1 2 μ eff + 1 r 1 e μ eff r 1 + z 0 + 2 z b r 2 2 μ eff + 1 r 2 e μ eff r 2 ,  
k ϕ n s m = 1 2 0 π / 2 1 R f r Θ , n s m sin Θ cos Θ d Θ ,  
k j n s m = 3 2 0 π / 2 1 R f r Θ , n s m sin Θ cos 2 Θ d Θ ,  
Θ is the angle of incidence of radiation from the medium relative to the normal to the surface directed into the medium, and RFr(Θ,nsm) are the Fresnel formulas for unpolarised light [32]. Additionally, when setting the boundary conditions necessary for solving differential Equation (1), we used the ratio A = (1 + Reff)/(1 − Reff), which depends on the effective reflection coefficient Reff of radiation incident from a semi-infinite medium onto the interface between the media, into the back hemisphere, the expression for which was obtained by the authors of [32].
The authors of [18] experimentally confirmed the possibility of using the considered diffusion approximation (5) in calculating R(ρ) of a phantom in the form of a polystyrene plate (matrix) 22 mm thick with a refractive index nsm = 1.59 and a filler in the form of titanium oxide particles TiO2. The influence of the refractive index nex was checked by replacing the air medium (nex ≈ 1) above the phantom with a layer of water with nex ≈ 1.333. In the expression given in [18], the values of kϕ and kj were 0.089 and 0.239, respectively (0.239 close to 3/4π) in the air above the phantom and 0.169 and 0.406 in the case of using a thick layer of water above the phantom. Other experimental measurements [15,24] confirm the possibility of determining the optical characteristics of phantoms with a relative root-mean-square error of about 10–20%.
Comparison of the results obtained using the diffusion approximation with the results of the Monte Carlo simulation R(ρ) [15,24] shows that the diffusion approximation with one dipole source poorly describes the dependency of the local reflection coefficient R(ρ) at small values μeff⋅ρ < 0.7. A detailed discussion and corresponding graphical dependencies can be found in [15,24]. Interest in the clinical use of the diffusion approximation in single-probe endoscopes with a set of optical fibres has caused the need to overcome the noted drawback of the diffusion approximation, i.e., the incorrect description of the aggressive diffuse reflection peak near the point where the radiation enters the tissue. The authors of [23] proposed a modification of the model with one dipole source, supplementing it with one more auxiliary dipole source. These positive and negative auxiliary sources are located much closer to the surface of the scattering medium than the main ones, which makes it possible to simulate an aggressive peak of diffusely reflected radiation in the vicinity of the point where the radiation enters the tissue due to the pumping of a part of the diffusely reflected light radiation into it by the regions of the medium with large values of ρ. We have used the analytical expressions for calculating R(ρ) in order to assess the possibility of using the three considered diffusion approximation models [14,17,23] when determining the spectral indices μ′s(λ) and μa(λ) of several scattering materials in the spectral range from about 420 to 1130 nm.

3. Experimental Setup

The study of the possibilities of spatially resolved diffuse reflectance spectroscopy was carried out using computerised experimental equipment based on fibre-optic technology and an AvaSpec 2048WL compact spectrometer manufactured by Avantes (Apeldoorn, The Netherlands). The operation of the installation is controlled using a program created by the authors of this article in the C# integrated development environment. The graphical interface of the program has all the necessary elements for control and a window for displaying the resulting family of spectra View in the form of 10 graphic diffuse reflection spectra obtained at different distances ρ between the emitting and receiving probes. It provides calibration of the initial position of the movable probe, selection of measurement settings, acquisition of families of spectra, as well as visualisation and storage of the recorded series of measurements of families of diffuse reflection spectra.
Light radiation was introduced into the scattering medium, and the diffusely reflected flux was recorded using two identical FC-UVIR600-1-1.5 × 100 fibre-optic probes with needle-shaped tips. The length of these tips, equipped with a steel shell, is 100 mm, and the diameter is 1.5 mm. To ensure a good signal-to-noise ratio in these probes, a quartz fibre with a light guide diameter of 600 μm, numerical aperture NA = 0.22, and a normalised operating spectral range from 200 to 2500 nm was used. The opposite ends of the fibres used are equipped with SMA connectors for connecting probes to radiation sources and the spectrometer.
The probes were fixed in a special device, which ensures both the holding of the probes in a vertical position and the possibility of precise movement of the end of one needle-shaped tip relative to the end of the second fixed one using a stepping micromotor. This motor is controlled by the A4988 stepper motor driver, which receives control signals generated by the Arduino nano microprocessor. The Arduino microprocessor is connected to the control PC via the USB interface. Figure 2 shows the layout of the ends of fibre-optic tips and their positions used in experimental measurements. The minimum possible distance between the fixed and movable ends of the probes h is 2.2 mm, since a blackened duralumin partition dp = 0.7 mm thick is installed between them. The length of the limiting slot, in which the end of the movable probe moves, is chosen to be 17.2 mm. This provides a symmetrical displacement of the end of the movable probe to the left and to the right from the central position by about 7.85 mm. Such a scheme of the symmetrical position of locations xk of the movable probe was chosen to control the effect of surface roughness on the obtained diffuse reflection spectra since, for a smooth surface, these spectra obtained to the right and left of the emitting probe should coincide. The distance between the surface of the sample under study and the ends of the fibre-optic probes was chosen to be 0.1–0.2 mm so that there was no direct contact of the ends with the sample.
To illuminate the studied samples of scattering media, two radiation sources were used: an AvaLight-HAL-S-Mini halogen radiation source and a source using an ultra-bright white light emitting diode (LED) TDS-P005L8011. They have SMA connectors for connecting a fibre-optic probe. The AvaLight-HAL-S-Mini uses a 10W halogen lamp and focusing optics to provide the minimum required flux at the fibre probe output from 350 nm to 2500 nm. The halogen source is equipped with a controlled TTL shutter, which blocks the flux from the lamp during the registration of the background radiation spectrum. This background spectrum is subtracted from the obtained spectra in order to eliminate the influence of the dark current of the spectrometer linear CCD array and external background light sources.
The LED radiation source is used to study dense, highly scattering media in the visible region of the spectrum from 410 to 750 nm.
To reduce the uncertainty Δxud of setting the position of the centre of the end face of the movable probe relative to the centre of the end face of the fixed xk, the initial reference position of the end face of the movable probe must be calibrated before measurements. To carry this out, the end face of the movable probe is moved by a stepper motor, first to the left until it stops against the wall of the guide slot, and then to the right closer to the centre, and the spectrometer registers step by step in each of the positions the total spectral fluxes IΣ(x) formed by diffuse backscattering of the test sample, which are collected by a movable probe. Further, the maximum of this dependence is found, which corresponds to the zero position of the centre of the end of the movable probe. To eliminate the influence of external illumination, the shutter of the halogen lamp is periodically closed at each step of the movement, and the background flux is measured. It is subtracted from the flux recorded with the shutter open. The x value corresponding to the maximum of the dependence IΣ(x) is taken as the initial reference position. The control program provides the ability to select up to 10 positions of the movable probe relative to the fixed ones. If the signal-to-noise ratio of the recorded spectra is insufficient, it is possible to carry out their digital accumulation with subsequent averaging over Nk realisations. There is also the possibility of preliminary automatic determination of the required exposure time τk so that the maximum values of the recorded spectra would be near the values of 40,000 readings of the ADC of the spectrometer. The selected settings can be saved to a file on the hard disk and used when conducting a repeated series of measurements.

4. Method of Measurement and Processing of Spectral Dependencies

When carrying out experimental measurements of the spatial–spectral profile of the diffuse reflection coefficient R(λ,ρk), a number of difficulties arise, without overcoming which it is impossible to adequately use the diffusion approximation. A significant problem is the need to exclude the influence of the spectral characteristics of the equipment used, including the spectral characteristics of the source of light radiation introduced into the scattering medium. Also, when taking into account the influence of the refractive index of the matrix of the scattering medium nsm on the values of coefficients kϕ and kj, it is necessary to justify the choice of the internal reflection coefficient Reff. Here, it is necessary to take into account the state of the surface of the sample under study, since the Fresnel equations are applicable only for homogeneous materials with a smooth surface. Another difficulty is the need to strictly keep the parameters of the measurement scheme and ensure the optimal choice of the positions of the movable probe ρk used in obtaining a family of local diffuse reflection spectra.
The spectral characteristics of the equipment used in spatially resolved diffuse reflectance spectroscopy are usually taken into account by normalising the recorded spectral dependencies to the spectral dependency VWnorm(λ,ρ0) obtained for a white diffuse reflectance standard normalised to unity. Pressed polytetrafluoroethylene (PTFE) powder is used as a material for such white reference reflectors [35]. The spectral reflection coefficient of such standards is measured using an integrating sphere at the normal incidence of the initial radiation beam. Diffuse reflectance standards made of this material in the spectral range of 300–1700 nm have a radiation reflection coefficient of about 98–99%. They are widely used in spectroscopy and are usually supplied with spectrometers, for example, the diffuse reflectance standard WS-2 from Avantes. Despite the good reflective properties of this material, it cannot be considered an isotropic scattering medium, since it is sintered from powder and does not have a homogeneous base, the so-called matrix. The light radiation falling on its surface, due to the presence of numerous air microcavities, is quickly re-radiated back already in a thin (about 2 mm) surface layer. Therefore, approximately 98% of the incident flux is reflected back by the reference white reflector WS-2.
Manufacturers of compact spectrometers based on photodetector arrays usually do not calibrate them according to the intensity of the recorded radiation fluxes. Therefore, the obtained initial spectra as the dependencies of digital counts Dsi) on wavelengths λi, where the index i denotes the i-th element of the array, are distorted by the spectral characteristics of the equipment used. It is also necessary to take into account the integration time τk of the photocurrents generated by the photosensitive elements of the photodetector arrays, i.e., in further calculations, the ratio V(λ,ρk) = Dsik)/τk should be used. After normalising the obtained dependencies to the calculated dependency VWnorm(λ,ρ0) = [V(λ,ρ5) + V(λ,ρ6)]/max[V(λ,ρ5) + V(λ,ρ6)], distortions caused by the influence of spectral characteristics of equipment are eliminated.
In experimental measurements, to determine the local spectral diffuse reflection coefficient R(λ,ρk), it is necessary to know the spectral power density of the ΦλS(λ) flux introduced into the scattering medium under study, and the local density of diffuse reflection luminosity M(λ,ρk). This requires determining the spectral dependencies ΦλHL(λ) and ΦλLED(λ) and mandatory calibration, i.e., determining the absolute spectral sensitivity of the equipment by the brightness of the radiation SL(λ) = L(λ)/V(λ) using a reference emitter (high-temperature blackbody model) [36,37]. Application of the traditionally used normalisation of the measured values V(λ,ρk) to the normalising dependency VWnorm(λ,ρ0) obtained using a standard white reference reflector, i.e.,
V n W λ , ρ k = V λ , ρ k V W n o r m λ , ρ 0 ,  
allows us, with the subsequent multiplication of (9) by the factor SLm)/ΦHLm), to obtain the absolute values of the local spectral diffuse reflection coefficient per unit solid angle Ω:
R L λ , ρ k = L λ , ρ k Φ λ HL λ m = S L λ m V n W λ , ρ k Φ λ HL λ m ,  
since VWnormm0) = 1. Moreover, this normalisation takes into account the non-uniformity of the radiation spectrum of the source used, since the obtained values of L(λ,ρk) are corrected and correspond to the brightness when using a source with a uniform spectrum Φs(λ) = ΦHLm) = const. Expression (10) makes it possible to use the values SL(λ) and ΦHL(λ) (or ΦLED(λ)) determined in a narrow part of the spectrum near λm. To go from RL(λ,ρ) with the dimension 1/(cm2⋅sr) to R(λ,ρ) with the dimension 1/cm2 or 1/mm2, it is necessary to integrate the resulting dependencies of the spectral brightness of the radiation leaving the medium over the solid angle Ω within the upper hemisphere:
M λ , ρ k = 0 2 π 0 π / 2 L λ , ρ k , Θ , φ cos Θ u h d Θ u h d φ u h .  
In the case when the radiation leaving the medium has the same brightness in all directions, L(λ,ρkuhuh) = L(λ,ρk) = const, i.e., corresponds to Lambertian emitters, by integrating (11) one can obtain the following expression:
M λ , ρ k = π L λ , ρ k .
Then, the local reflection coefficient is expressed as follows:
R λ , ρ k = M λ , ρ k Φ λ HL λ m = k M 1 r t r λ π S L λ m V n W λ , ρ k Φ λ HL λ m ,
where kM is a factor that takes into account the effect of the state of the sample surface (glossy or rough) on the obtained values of Rm(λ,ρk), and rtr is the reflection coefficient of the input radiation directly from the sample surface (specular component), which can be written as follows:
r t r λ = n s m λ 1 2 + χ s m 2 λ n s m λ + 1 2 + χ s m 2 λ ,
where nsm(λ) is the real part of the complex spectral refractive index of the sample n ˜ s m = n s m i χ s m , and χ s m λ = μ a λ λ / 4 π is the imaginary part.
It should be noted that for scattering media with a glossy surface and small reduced scattering coefficients μ′s, the condition of invariance of brightness Luh) = const for the angle Θuh may not be fulfilled due to the influence of the phenomenon of total internal reflection at angles of incidence Θ > ΘC, and the factor kM in (13) will be less than 1.
The recorded spectral–spatial profiles Rm(λ,ρk) contain the necessary information to determine the spectral dependence μa(λ) when specifying the dependence μ′s(λ) and parametric representation of the relationship between μa and μ′s in the form of μa (μ′s). Indeed, by simulating the spectral dependencies μa(λ) и μ′s(λ), and by using their parametric representation μa (μ′s) to construct the three-dimensional dependencies Ra(μ′s),ρk] in a parametric form, shown in Figure 3 by bold coloured lines, one can make sure that each of them lies in its own plane of dependencies R[μ′sak] with the corresponding value of ρk. The noted properties of Ra(λ),μ′s(λ),ρk] make it possible to propose a method for studying the applicability of the diffusion approximation models under consideration in diffuse reflection spectroscopy with a spatial resolution, which is based on fitting the varied simulated dependencies Ra(λ),μ′s(λ),ρk] to the dependencies Rm[λ,ρk] measured experimentally and on using the difference in the behaviour of the spectral dependencies μ′s(λ) and μa(λ).
The fitting of the parameters of the diffusion approximation used in order to bring the varied simulated dependencies as close as possible to those measured experimentally was carried out by forming the corresponding residual function and minimising it by the least squares method using the Levenberg–Marquardt algorithm.
The spectral reduced scattering coefficient μ′s(λ) usually increases smoothly with decreasing wavelength, and the spectral absorption index μa(λ) increases mainly in the absorption bands of the molecules included in the finely dispersed material under study, i.e., μa(λ) has a resonant character. Therefore, as noted above, when forming the variable spectral dependency μ′s(λ), it is advisable to use the following hyperbolic dependency:
μ s λ = μ s λ 0 λ 0 / λ m λ ,  
where μ′s0) is the variable value of the reduced scattering coefficient at wavelength λ0, and mλ is the variable exponent of the hyperbola degree λ0/λ. This expression reduces to a power hyperbolic function μ s λ = a 0 λ m λ depending on only two parameters, a0 and m λ . For the convenience of interpretation of μ′s(λ), the article uses Formula (15), since the given value of the wavelength λ0 allows one to locate a point with a unit value of the ratio λ0/λ in the selected region of the wavelength scale. Note that the real dependencies μ′s(λ) in a wide range of the spectrum may differ from (13), despite the good flexibility of this expression when varying μ′s(λ). Therefore, in practice, more complex dependencies than (15) may be required.
Since the possibility of using the diffusion approximation has already been confirmed by Monte Carlo simulations and experimental measurements [14,15,18,23,24], it is inappropriate to repeat them. Therefore, in our studies, we used samples of several of the most common finely dispersed materials, consisting of a homogeneous matrix with filler particles embedded in it. Their spectral dependencies μ′s(λ) and μa(λ) were unknown.
At the first stage of the applied method, the normalised dependencies VnWik) (9) are calculated from the obtained spectral dependencies Vik). After that, using (13), an experimentally measured spectral–spatial profile of the local diffuse reflection coefficient Rm(λ,ρk) is formed.
When calibrating the equipment used according to the method described in [36,37], it was found that the sensitivity of the spectrometer in terms of the spectral brightness density L at λm = 658.4 nm is SLm) = 4.72 × 10−7 W⋅ms/(cm2⋅sr⋅μm). The power spectral density of the flux measured by calibrated spectrometer from the end of the optical fibre of the emitting probe when using a halogen lamp turned out to be equal to ΦλHLm) = 4.46 × 10−3 W/μm. When studying samples of scattering media with a glossy surface, small values of μ′s, and with the brightness of the diffusely reflected radiation, which depends on the angle Θuh, i.e., Luh) ≠ const, the coefficient kM < 1, was used in front of the factor π in (13), which is necessary when taking into account the decrease in the luminosity M of the surface due to the effect of reflection from the interface of the light radiation both introduced into the medium and scattered by it.
At the second stage, the spectral–spatial profile Ra[μ′s(λ)],ρk}, modelled using the diffusion approximation, was fitted to the experimentally measured profile Rm(λ,ρk) by varying the parameters μ′s(λ) (15) and minimising the residual function.
The key point in compiling the residual function is the calculation of variable dependencies μ a λ i , ρ k , which depend on the applied diffusion approximation model and the specified variable dependency μ′s(λ). As can be seen from Figure 3, for this, one can use pre-calculated planes of dependencies R(μ′s, μa, ρk), where the values of ρk correspond to the values used in experimental measurements. Then, using the function of numerical two-dimensional interpolation F2D on a non-uniform sampling grid Rmik), μ′s, it is possible to calculate the required family of variable spectral dependencies:
μ a λ i , ρ k = F 2 D R μ s , μ a , ρ k , μ s , μ a , R m λ i , ρ k , μ s λ i .
This makes it possible to form the residual function for the measurement scheme used in the following form:
f R , λ μ s λ 0 , m λ , λ i = k = 1 5 R μ s λ i , μ a λ i , ρ k R m λ i , ρ k 1 2 + R μ s λ i , μ a λ i , ρ k + 5 R m λ i , ρ k + 5 1 2 ,  
Which, in numerical representation, is an array containing ten columns with the number of elements in each, determined by the number of readings of wavelengths λi in the spectrum range used in the calculations. This approach reduces the fit of the simulated variable dependencies Ra[μ′si)],ρk} to the experimentally measured Rmik), i.e., minimisation of the residual function by varying only two parameters μ′s0) and mλ.
With a good agreement in the process of minimisation of (17) of all ten spectral dependencies μ a λ i , ρ k obtained as a result of fitting with each other, it can be stated that the diffusion approximation is valid in a wide range of the spectrum for the ρk set of values used. When visualising the position of the minimum for the dependencies of the residual function values summed over λi, one can use the square root of the total residual function as follows:
σ R , Δ μ a μ s λ 0 , m λ = λ i f R , λ μ s λ 0 , m λ , λ i .
Modelling the fitting process with the addition of normal noise to the generated dependencies Rmik) shows that the residual function used has a global minimum, so the resulting values μ′s0) and mλ with a good signal-to-noise ratio are determined quite accurately, i.e., have little spread.
There are three groups of sources of uncertainty that affect the results of determining the estimates μ′si) и 〈μaik)〉, which are determined by the following:
(1)
Heterogeneity and a priori uncertainty of the properties of the sample under study;
(2)
Time instability of the parameters of the spectral equipment used and the unevenness of its spectral power density of the total noise;
(3)
Limitations inherent in the applied diffusion approximation and the method for determining the desired dependencies μ′si) and 〈μaik)〉.
Spatial averaging of the recorded spectral–spatial profiles of the local diffuse reflection coefficient Rmik) will be effective in the presence of inhomogeneity of both the surface of the investigated sample and its properties. For example, averaging will have to be used with uneven mixing of the components of the sample under study at the stage of its production.
Note that the presence of surface inhomogeneity of the sample under study, radiation noise, and intrinsic noise of the spectrometer linear CCD array, as well as the deterioration of the signal-to-noise ratio of the recorded spectra at the edges of the spectral range used, limit the possibilities of the proposed technique. Therefore, in the process of research, it is necessary to choose a spectral range in which the dependencies of the resulting deviations of the obtained dependencies μ a λ , ρ k from their average value μ a λ , ρ k were approximately the same over the entire spectrum. In some cases, when this cannot be achieved, it is necessary to refine the position of the wavelength λ0 used so that the deviations μ a λ , ρ k μ a λ , ρ k are more uniform.
The uncertainty of the used values of the effective coefficient of internal reflection into the rear hemisphere of the radiation Reff that falls on the interface when leaving the medium requires separate consideration. The authors of [15,35,38] point out that the expression for this coefficient used in [14,18] gives a somewhat underestimated value of it, since photons approaching the boundary at small angles relative to the surface are mainly reflected back into the medium, and their concentration near the surface increases with increasing ρ compared to calculations based on the diffusion approximation. Therefore, if the dependencies coincide poorly with each other, it is necessary to investigate the influence of the used value of this coefficient Reff on the deviations μ a λ , ρ k for the applied set of values ρk. In this case, it is necessary to accurately determine the refractive index of the medium nsm [39].
The spectral resolution of modern portable spectrometers based on concave diffraction gratings and linear CCD arrays is sufficient for the problem under consideration [36,40,41], since the absorption spectra of condensed media are smooth, in contrast to the spectra of gases. The presence of instability of the parameters of the equipment used, radiation noise, and intrinsic noise of the spectrometer linear CCD array, as well as the deterioration of the signal-to-noise ratio of the recorded spectra at the edges of the spectral range used, limits the possibilities of the proposed method. Therefore, in the process of research, it is necessary to choose a spectral range in which the dependencies of the resulting deviations of the obtained dependencies μa(λ,ρk) on their average value 〈μa(λ,ρk)〉 were approximately the same over the whole spectrum. In some cases, when this cannot be achieved, it is necessary to refine the position of the used wavelength λ0 so that the deviations μa(λ,ρk)–〈μa(λ,ρk)〉 are more uniform.
The fulfilment of the requirements, determined by the limitations of the diffusion approximation μ′s(λ) >> μa(λ) and 3 μ a μ s + μ a ρ > 0.7 , is carried out by the correct choice of sample parameters and the ρk set of values used. A noticeable effect on the results of determining μ′si) and 〈μaik)〉 can cause a deviation (in the short-wavelength part of the spectrum range used) of the real dependence μ′s(λ) from the approximation used (15). Therefore, it is necessary to check the coincidence of the dependencies μ′si) obtained during fitting when the short-wave boundary of the spectrum range used is shifted to the right.
Since there is a significant number of terms and their designations in the article, Appendix A provides a list of them, which facilitates the perception and interpretation of the results.

5. Results of Experimental Investigation

To conduct experimental studies of the applicability of the diffusion approximation, the four samples of solid scattering structural materials were selected: 1—polyurethane with the addition of a red filler, 2—polyethylene terephthalate (caprolon) with a slight yellowish tinge, 3—white fluoroplastic, and 4—food grade white polystyrene. They were ranked according to the criterion of increasing the reduced scattering coefficient μ′s, averaged in the visible region of the spectrum. The surfaces of samples 2 and 4 were smoothed by grinding until a glossy sheen appeared in order to reduce the effect of its inhomogeneity on the obtained dependencies Rm(λ,ρk). The ends of the more elastic cylindrical samples 1 and 3 were machined on a lathe with a flat cutter to obtain a smooth, diffusely scattering surface.
A narrow beam of light radiation, when it enters a strongly scattering medium, immediately loses its directionality since the scattering is multiple. Therefore, the authors of the diffusion approximation models under consideration [14,17,23] replace the directed radiation beam with a point emitter located at a depth z0, as shown in Figure 1b. The loss of radiation directivity leads to a rapid decrease in its intensity with distance r compared to a transparent medium, since the radiation is scattered in all directions, and its intensity is described by Green’s diffusion function (2). This leads to a rapid decrease in the local reflection coefficient R(ρ), which makes it possible to apply the diffusion approximation to samples of scattering media with finite dimensions. Indeed, the effect of weak scattered radiation reflected back by the sample boundaries on the results of measurements of Rm(ρ) at small used values of ρ < 1 cm turns out to be vanishingly small.
When processing the experimentally obtained spectral–spatial profiles using the above-described technique, it was found that approximation [17] describes the experimental dependencies much worse than those in [14] and [23]. Therefore, below are the results of processing using approximation [14], since approximation [23] was developed for biological tissues with g ≈ 0.8 and small values of ρ. For small values of the anisotropy factor g, the results of applying [23] are approximately the same as for [14].
As expected, the inhomogeneity of the surface leads to differences in the experimental dependencies Rmik), which are obtained to the left and right of the fixed probe. Basically, these differences cause a small parallel shift of the dependencies Rmik) relative to each other, since the recorded fluxes depend on the surface state at each point ρk. This behaviour of Rmik) influences the minimisation of the deviation of the spectral dependencies of the local diffuse reflection coefficient Ra[μ′si)],ρk} from the experimentally measured ones and causes a shift along the y-axis of estimates of the spectral dependencies μai) obtained by fitting using (17).
It has been established that it is necessary to carefully choose the set of distances ρk used between emitting and receiving probes in order to satisfy the conditions of applicability of the diffusion approximation, for example, μeff⋅ρ < 0.7. On the one hand, at small values of ρk, there is a rapid increase in the positive deviation of the experimentally determined values Rmik) from the simulated ones. On the other hand, for values ρk > 0.6 cm, there is also a gradual increase in the positive deviation of the measured dependencies Rmik) from the simulated ones, which may be due both to the shortcomings of taking into account the effect of internal reflection of radiation by the surface of the medium, and to a small deviation axis of the movable probe from the vertical position.
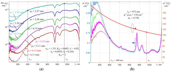
The noted features are clearly manifested in the dependencies obtained by processing the experimentally obtained spectral–spatial profiles of Rmik). Figure 4a shows the Rmik) dependencies for sample 1 in a semi-logarithmic scale obtained with the moving probe positioned to the left (L) (solid colour lines) and to the right (R) (solid thin black lines) of the stationary probe. The dashed lines (coloured and black, respectively) show the fitting results. When calculating the variable dependence μ′si) (15), the wavelength λ0 = 955 nm was chosen in the region of the local minimum of the total attenuation of radiation by the medium of this sample. The spectral dependencies μ′s(λ) and μa(λ,ρk) obtained as a result of fitting are shown in Figure 4b with a bold red line and a thin coloured line, respectively. The average dependency μ ¯ a 2 , 9 λ i = μ a λ i , ρ 2 + μ a λ i , ρ 9 / 2 is shown with a bold magenta line.
This polyurethane sample was sufficiently elastic, so that its surface did not have a glossy sheen, and the nature of the diffusely scattered radiation emerging from it approximately corresponded to that of Lambert. Therefore, the coefficient kM was assumed to be equal to 1 for it when fitting the spectral dependencies. The presence of a red filler in this sample affected the behaviour of the measured spectral–spatial profile of Rmik) in the visible region of the spectrum. The absorption of radiation by the filler particles caused a significant dip in the spectral–spatial profile of the local reflection coefficient, which is illustrated by the dependencies in Figure 4. Strong radiation absorption reduced the signal-to-noise ratio of the recorded spectral dependencies. Therefore, they were pre-smoothed with a digital Savitzky–Golay filter in order to visually improve their appearance at the short- and long-wavelength decreases in the spectral sensitivity of the equipment used.
The surface roughness of sample 1 reduces the effect of internal reflection. Therefore, as can be seen from Figure 4a, the fitted dependencies in the spectrum range from λaL = 540 nm to λaL = 1100 nm agree well with the experimentally measured values of Rm(λ,ρk). The verification of the fulfilment of the condition for the applicability of the diffusion approximation μeff⋅ρk ≥ 0.7 for the set of values ρk used showed that it is partly not met only for the two smallest distances ρk between the probes in the long-wavelength part of the spectrum.
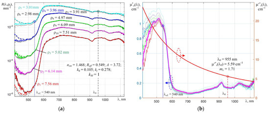
The surface of the second, less elastic caprolon sample had a glossy sheen; therefore, the value of the coefficient kM when fitting the spectral dependencies was chosen to be 0.72. This sample exhibits a noticeable absorption of radiation in the region of the spectrum corresponding to the blue colour, which is illustrated by the spectral dependencies in Figure 5. Two pronounced absorption bands of the matrix of this finely dispersed material appear in the infrared region of the spectrum. At two minimum distances between the probes ρk, the condition of applicability for the diffusion approximation μeff⋅ρk ≥ 0.7 is also partly not satisfied.
This sample exhibits a larger spread of the fitted dependencies μa(λ,ρk) and noticeable deviations of the dependencies Ra[μ′si)],ρk} from the experimentally obtained ones Rmik). Moreover, the values Rmik) obtained for the extreme points ρk turn out to be slightly larger than Ra[μ′si)],ρk} obtained as a result of the fitting.
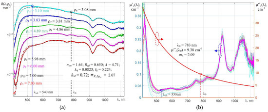
The noted deviations are more clearly manifested in the corresponding dependencies for the white fluoroplastic (3rd sample), which are shown in Figure 6. For it, the applicability condition for the diffusion approximation μeff⋅ρk ≥ 0.7 was fulfilled for all used values of ρk.
The inhomogeneity of the surface of the sample under investigation, the presence of noise and distortions of the recorded spectral–spatial profiles, as well as their real shape, affect the uniqueness of the solutions obtained. In the presence of changes in the absorption index μa(λ) in the short-wavelength part of the spectrum range used, the global minimum of the residual function (18) is quite clearly pronounced. The foregoing is well illustrated by the dependency σ R , Δ μ a μ s λ 0 , m λ for sample 1, shown in Figure 7a. In order to improve the visual perception of the presence of secondary local minima in a wide range of μ′s0) and mλ values, when forming (18) and constructing the surface σ R , Δ μ a μ s λ 0 , m λ , the square root was extracted from the sum of the squares of the components of the residual function. Additionally, when forming this surface, the limitation of σ R , Δ μ a values was used, so a flat area is observed on it. For sample 1, the solution point shown in Figure 7a with a red circle is quite stable and weakly depends on the shift of the short-wavelength boundary λaL of the spectral range used in the fitting.
With a monotonic dependency μa(λ), the resulting spectral–spatial profile is formed by smooth changes in the spectral dependencies μ′s(λ) and μa(λ). Therefore, when fitting, there can be several solutions, i.e., local minima of the dependency σ R , Δ μ a μ s λ 0 , m λ . The corresponding dependency calculated for sample 3 is shown in Figure 7b. One can see that in such cases, when carrying out the fitting, it is necessary to check whether the obtained solution falls into the unacceptable range of μ′s(λ) and mλ values. With smooth changes in μa(λ), the dependency of σ R , Δ μ a μ s λ 0 , m λ on mλ becomes weak, since such a monotonous change is formed by a decrease in the values of μa(λ), a gradual increase in μ′s(λ), and a simultaneous change in the slope of μ′s(λ) by decreasing the value of mλ. This behaviour of σ R , Δ μ a μ s λ 0 , m λ for sample 3 is well illustrated by the dependency in Figure 7b. Along the mλ axis, the σ R , Δ μ a value changes slightly, and the minimum is much less pronounced than along the μ′s0) axis.
There are also two points of local minima, which are located at the bottom of two adjacent ravines. The second point with a large value of μ′s0) was discarded since, for it, a significant part of the obtained dependencies μa(λ) turns out to be less than zero, which is not true. The first point with a smaller value μ′s0) is taken as a solution and is used in plotting the dependencies in Figure 6b.
Distortions of the recorded spectral–spatial profiles lead to greater uncertainty in the solutions obtained. In the short-wavelength part of the spectral dependencies for the second and fourth samples, the influence of parasitic radiation is manifested, which is scattered by the concave diffraction grating of the spectrometer into the zero order of diffraction. This effect was revealed by us earlier when calibrating AvaSpec 2048WL and C12880MA Hamamatsu spectrometers according to reference emitters with different temperatures [37,40,41]. The halo maximum of weak radiation scattered by the concave diffraction grating of the AvaSpec 2048WL spectrometer to zero order is located in the area that corresponds to diffracted blue radiation. This scattered radiation is added to the diffracted one, which causes a significant distortion (overestimation) of the spectral Rmik) in the visible region. For the absorption bands of the material of sample 4 in the infrared region of the spectrum, there is no such shift; therefore, the fitted Rik) and measured Rmik) dependencies in Figure 8a, as well as μa(λ) in Figure 8b, are close to each other in this region. Verification of the applicability condition for the diffusion approximation μeff⋅ρk ≥ 0.7 for sample 4 showed that it is satisfied for all values of ρk used.
As can be seen from the comparison of dependencies in Figure 5 and Figure 8, the influence of this effect is more clearly manifested for sample 4, in which the coefficients of reduced scattering μ′s(λ) and radiation absorption μa(λ) in the visible region are greater than those of sample 2. Therefore, in comparison with sample 2, the contribution of radiation with λ > 600 nm, scattered to the zero order, for sample 4 is much larger, which leads to a strong distortion of Rmik) in the visible region of the spectrum.
This forces the left boundary λaL of the spectral range used to be shifted to the right so that these distortions do not lead to a shift in the solution point for the fitted dependencies. When the boundary λaL is shifted to the point λaL = 500 nm, the noted distortions of the spectral–spatial profile lead to a slight shift of the solution point towards lower values of μs0) with a simultaneous increase in the value of mλ to bring the simulated dependencies closer to the distorted ones.
Since in the fitted dependency μa(λ), the bands of absorption of radiation by polystyrene are visible, the global minimum of the dependency is quite pronounced, and the resulting solution is quite stable.
The opposite slopes of the spectral dependencies of the coefficient of local diffuse reflection of radiation Rm(λ,ρk) for the first and second samples compared to the fourth sample in the near-infrared region of the spectrum are caused by the different behaviour of the spectral radiation absorption indices μa(λ) by these samples. For the first and second samples, the dependencies μa(λ) decrease, on average, with increasing λ, and for the fourth sample, on the contrary, they increase. Expression (5) for calculating R(λ,ρk) includes the spectral radiation attenuation index μeff(λ) = 3 μ a λ μ a λ + μ s λ , so the interaction μa(λ) and μ′s(λ) determines the shape of the registered dependencies Rmik). Elementary electric dipoles of particles of finely dispersed fillers introduced into the material matrix participate in the absorption of light radiation, which can lead to their significant contribution to the obtained dependencies of the calculated absorption index μa(λ).
It should be noted that living tissues differ from isotropically scattering materials by a strong structural inhomogeneity. Subcutaneous tissues have different structures and contain an extensive circulatory system. In the spectral range λ < 600 nm, haemoglobins contained in blood erythrocytes have a high radiation absorption index μa(λ). Therefore, the effect of parasitic radiation noted above, which is scattered by the concave diffraction grating of the spectrometer to zero order, also manifests itself in the obtained dependencies, which is illustrated by Figure 9.
Since the diffusion approximation model [23] is intended for biological tissues, it is interesting to compare the results of applying models [14,23] for living blood-filled tissues. It is considered that for biological tissues, the anisotropy factor is g = 0.8, and the refractive index is nsm = 1.4 [11]. Since the proposed method for estimating the spectral indices μ′s(λ) and μa(λ) for media with μ′s(λ) < 40 cm−1 is applicable at distances between probes ρ ≥ 0.3 cm, the spectral–spatial profiles of living blood-filled tissue in the region of the adductor muscle of the thumb (thenar) of the hand with a sufficient thickness of muscle tissue were measured. An example of the results of fitting this spectral–spatial profile of the local reflection coefficient Ra[μ′s(λ)],ρk} to the experimentally obtained Rm(λ,ρk) using approximation [14] is shown in Figure 9a. When using approximation [23], the corresponding dependencies are approximately the same.
Since the source of radiation was a halogen lamp and biological tissues weakly absorb radiation in the near-infrared region, the addition of parasitic infrared radiation, which is scattered by the diffraction grating in the zero order, leads to significant distortions of the fitted dependencies in the visible region of the spectrum, which is also illustrated by the dependencies in Figure 9. Therefore, to study the dependencies μ′s(λ) and μa(λ) of living tissues in the visible region of the spectrum, it is necessary to use another radiation source instead of a halogen lamp, for example, a super bright white LED. Then, the contribution of radiation with a wavelength λ > 600 nm to the formed distortions will sharply decrease.
The total power of the main and auxiliary dipole sources of radiation introduced into the scattering medium for the approximation [23] must coincide with the power of the dipole source for approximation [14]. Therefore, due to the transfer of a part of the diffusely reflected light flux to the central peak of the diffuse reflection for approximation [23] in comparison with approximation [14], there is a slight decrease in the calculated local reflection coefficient R(ρ) for ρk > 1 mm. Despite the coincidence of the fitted dependencies Ra[μ′s0)],ρk} when using [14,23], the noted difference leads to a noticeable shift in the resulting spectral dependency μ′s(λ) down and the corresponding shift of μa(λ) up when using [23] compared to [14]. Therefore, the possibility of using approximation [23] in diffuse scattering spectroscopy with a spatial resolution even at small distances ρ between the probes requires thorough additional study. Our estimate of the volumetric concentration of water in the thenar tissues from its absorption band with a maximum of about 970 nm gives a value of about 70% when using [14], which approximately corresponds to the physiological norm of muscle tissue hydration.
The inhomogeneity of the tissue in the thenar region, as shown in Figure 9b, leadsto approximately a twofold increase in the value of the global minimum of dependency σ R , Δ μ a μ s λ 0 , m λ described by (18). In this case, the global minimum of the dependency becomes weakly pronounced along the mλ axis. Therefore, when studying the dependencies μ′s(λ) and μa(λ) of living tissues, it is necessary to carefully choose the studied point of the body so that the influence of the heterogeneity of the distribution in the small vessel compartment is minimal. It is also advisable to narrow the range of distances ρk used between the point of input of radiation into the tissue and the points of registration of diffusely scattered radiation. It is desirable that the thickness of the tissue is significantly greater than the maximum of the used values of ρk. This is observed for thenar, since the radiation is almost completely absorbed by the tissues of this area of the palm.

6. Discussion of the Research Results

The study of the applicability of the diffusion approximation in determining the spectral coefficients of reduced scattering μ′s(λ) and absorption μa(λ) of radiation for four samples of solid scattering structural materials and living tissue in the thenar area of the palm made it possible to identify the main sources affecting the accuracy of estimates μ′s(λ) and μa(λ) obtained when using diffuse reflectance spectroscopy with spatial resolution.
It is shown that at small values of μ′s(λ) at the boundaries of the range of variation of the distance ρk between the probes, there are slight excesses of the experimentally obtained values of the coefficient of local diffuse reflection of radiation Rm(λ,ρk) over the fitted Ra[μ′s0)],ρk} ones using the diffusion approximation. These excesses manifest themselves at small distances (ρk < 3 mm) between the point of input of radiation into the scattering medium and the point of its registration, i.e., when the condition for the feasibility of the diffusion approximation μeff(λ)⋅ρk > 0.7 is violated [14]. Incomplete consideration of the processes of reflection of radiation from the interface between the media, as entered into the scattering medium, and leaving it, can also lead to a similar excess of the values of Rm(λ,ρk) over the fitted values Ra[μ′s0)],ρk} for a glossy surface and maximum values of ρk. Also, at small values of μ′s(λ), a significant deviation of the diffuse reflection brightness distribution from the Lambert one can be observed, which requires a decrease in the value of the coefficient km. These deviations lead to a shift or a noticeable spread along the y-axis of the dependencies μa(λ,ρk), which are calculated in the process of fitting the varied spectral–spatial profiles of the local reflection coefficient Ra[μ′si)],ρk} to the experimentally determined Rmik). In the presence of noted deviations, the set of distances ρk used between the probes should be optimised, which will reduce the spread μa(λ,ρk). If it is not possible to correct the boundaries of the range of variation of the set ρk used, it is necessary to use a correction function that should increase the concavity of the recorded dependencies Rm(λ,ρk) along the ρ axis in order to reduce the shift of the obtained dependencies μa(λ,ρk) relatively to each other.
The inhomogeneity of the surface of the scattering medium, i.e., the presence of its roughness, also leads to a similar shift of the dependencies μa(λ,ρk) along the ordinate axis, which forces one to resort to averaging the recorded spectral–spatial profiles Rm(λ,ρk) to reduce the spread of μa(λ,ρk).
In order to exclude the influence of the characteristics of the spectral equipment used on the shape of the determined spectral–spatial profile Rmik), the normalisation of the recorded dependencies Vik) to the normalised spectrum of the reference white reflector with a maximum equal to unity, and the determination of the absolute spectral sensitivity of the equipment used by its calibration according to the reference emitter, should be conducted.
Distortions are revealed in the recorded spectral–spatial profiles of the local reflection coefficient Rm(λ,ρk) in the visible region of the spectrum, which arise due to parasitic radiation scattered by a concave diffraction grating to zero order. These distortions are characteristic of compact spectrometers based on linear CCD arrays. Moreover, the maximum distortion is usually located in the region that corresponds to the dispersed blue radiation of the first-order diffraction. Therefore, if it is necessary to determine the spectral indices μ′s(λ) and μa(λ) in the visible region of the spectrum, one must carefully choose the radiation source used so that its intensity in the infrared region of the spectrum would be less than in the visible region.
The possibility of using the diffusion approximation [23] in diffuse reflection spectroscopy with spatial resolution requires additional study, since the results of its use differ from the results obtained using the classical approximation [14].
It is necessary to add the error in determining the refractive index of the controlled material nsm and the error in determining the local diffuse reflection coefficient Rm(λ,ρk) to the sources of uncertainty listed above. Moreover, the accuracy of determining Rm(λ,ρk) is determined by the calibration errors of the spectral equipment used, i.e., the absolute sensitivity SL(λ) and the measurement accuracy of the spectral flux Φλ(λ) introduced into the sample of the scattering medium under study, as well as the state of its surface.
To reduce the effect of spatial inhomogeneity on the properties of the sample under study, averaging of the recorded spectral–spatial profiles of diffuse reflection over its surface should be applied.
Thus, when using the registration of spectral–spatial profiles of diffuse reflection Rm(λ,ρk) in a wide part of the spectrum, it is possible to increase the unambiguity of determining the spectral indices μ′s(λ) and μa(λ), since the minimum of the residual function (16) becomes more pronounced. However, the shape of the spectral–spatial profile of the local diffuse reflection coefficient Rm(λ,ρk) affects the unambiguity of the obtained dependencies μ′s(λ) and μa(λ). This requires a mandatory check for the unambiguity of the solution. The proposed method for determining μ′s(λ) and μa(λ) makes it possible to visualise the surface σ R , Δ μ a μ s λ 0 , m λ and not consider incorrect results corresponding to the hit of the solution point μ′s0),mλ in a side local minimum.
It should be noted that standard spectral equipment for alternative verification of the reliability of the obtained spectral properties of the studied samples of scattering materials and living tissue is not commercially available. This fact must be considered as a limitation inherent in the study. Therefore, further efforts are needed to create appropriate spectral equipment and their standardisation.
The described possibilities of diffuse reflection spectroscopy in determining the optical properties of finely dispersed scattering media are attractive to manufacturers of optoelectronic equipment designed for the rapid determination and control of the spectral indices μ′s(λ) and μa(λ) of various scattering materials, including living tissues. In the industry, such equipment can be required for operational control of composite materials at the stage of their production. With the optimal choice of the spectral parts used and the possibility of averaging the spectral–spatial profiles Rm(λ,ρk), the discussed equipment can be used in agriculture, for example, for the rapid determination of the optical properties of milk and dairy products. The possibility of determining the dependencies μ′s(λ) and μa(λ) in absolute measure (with the dimensions of cm−1 or mm−1) is attractive for operational control of the optical properties and volume concentration of the main chromophores of fruits and vegetables and their changes during storage. The potential capabilities of the appropriate equipment for determining hydration and the main parameters of the microcirculatory bed of the circulatory system of the body’s tissues are attractive for assessing the condition of the skin in cosmetology and monitoring the treatment of burns, tissue oedema, and hypertension in medicine.

7. Conclusions

The proposed method for registering the spectral–spatial profiles of the local diffuse reflection coefficient R(λ,ρk) of light radiation by scattering media and their further processing makes it possible to determine the spectral coefficients of reduced scattering μ′s(λ) and absorption μa(λ) of radiation by these media under additional limiting conditions (namely, μ′s(λ) >> μa(λ), the monotonicity of the change μ′s(λ) in the part of the spectrum used, and μeff(λ)⋅ρk > 0.7). The assessment of the possibility of using known diffusion approximations [14,17,23] showed that approximation [17] should not be used in determining μ′s(λ) and μa(λ). The results of determining μ′s(λ) and μa(λ) when applying approximation [23] to the recorded spectral–spatial profiles Rm(λ,ρk) of a non-isotropic medium (living blood-filled tissue in the area of the thenar of the palm) differ from μ′s(λ) and μa(λ) obtained using the classical approximation [14]. Therefore, to elucidate the possibility of using approximation [23], further thorough studies are required.
The sources of uncertainty of the obtained solutions are identified, and solutions are proposed to reduce their influence on the errors in determining the desired dependencies μ′s(λ) and μa(λ). In order to improve the accuracy of determining the composition of optically active components of scattering media, it is important to expand the spectrum range used to the mid-infrared region, where the main vibrational–rotational absorption bands of radiation of various molecules are located.
The results of the study presented in the article will be useful for the developers of new small-sized optoelectronic equipment designed for non-destructive online control of the main optical characteristics of various finely dispersed scattering media, including living tissues. The potential for its practical application is extensive—from various applications in industry and agriculture to medical equipment for clarifying diagnostics.

Author Contributions

Conceptualisation, O.H. and V.F.; methodology, O.H., V.F. and K.S.; software, V.F. and K.S.; validation, K.S.; formal analysis, O.H. and V.F.; investigation, O.H., V.F., K.S. and P.K.; writing—original draft preparation, K.S. and P.K.; writing—review and editing, O.H. and V.F.; visualisation, K.S. and P.K.; supervision, V.F. All authors have read and agreed to the published version of the manuscript.

Funding

This research received no external funding.

Institutional Review Board Statement

Not applicable.

Informed Consent Statement

Not applicable.

Data Availability Statement

Not applicable.

Conflicts of Interest

The authors declare no conflict of interest.

Appendix A

Table A1. Glossary of symbols used.
Table A1. Glossary of symbols used.
SymbolUnitsDescription
μacm−1absorption coefficient
μscm−1scattering coefficient
Θsraddeviation angle during the scattering
ganisotropy factor g = 〈cos(Θs)〉
μ′scm–1reduced scattering coefficient μ′s = (1 − g) μs
rcm or mmdistance from an isotropic radiation source to its registration point in an infinite scattering medium
ΦS, Wradiation flux generated by the light source used
ΦλS, W/µmspectral density of the radiation flux generated by the light source used
ΦλHL, ΦλLEDW/µmspectral density of the radiation flux at the end of the fibre generated by a halogen lamp or LED
MW/cm2surface radiation luminosity
LW/(cm2⋅sr)surface radiation brightness
ϕW/cm2illumination of an elementary area by a light flux from a point isotropic emitter (scattered by the medium), provided that the normal to the area coincides with the direction to the isotropic emitter
JW/cm2density of radiation flux from the elementary area of the scattering medium in the direction of the unit vector
Dcm or mmoptical diffusion length, i.e., the distance at which ϕ is decreased by a factor of e due to scattering and absorption, i.e., D ≈ 1/[3(μ′s + μa)]
μeffcm−1effective coefficient of the attenuation of radiation by the medium μ eff = μ a / D = 3 μ a μ a + μ s
nsmreal part of the complex spectral refractive index of the sample
nexrefractive index of the medium from which radiation is introduced into the sample of the scattering material
Θradangle of incidence of radiation from the scattering medium relative to the normal to the surface directed into the medium
Θcradangle of total internal reflection of radiation
Θuh, ϕ uhradelevation and azimuth angles used when integrating the radiation emerging from the scattering medium over the solid angle Ω within the upper hemisphere
zcm or mmdepth z in the scattering sample
λnmwavelength of light radiation
μa(λ), μ′s(λ) cm−1spectral coefficients of absorption and reduced scattering varied during the fitting
mλvariable exponent in approximation expression μ′s(λ)
λ0nmwavelength of light radiation used when setting the variable spectral coefficient of reduced scattering, for example, in the form μ s λ = μ s λ 0 λ 0 / λ m λ
ρcm or mmdistance between the point of input of radiation into a sample of a finely dispersed medium or material and the point of recording of diffusely scattered radiation emerging from the medium
ρkcm or mmset of distances used between the fixed emitting and movable receiving probes
kϕ(nsm)coefficient that takes into account the influence of the refractive index of the scattering medium nsm on the component of the local diffuse reflection coefficient R(ρ), the value of which is determined by the illumination of the medium created in the registration point directly by the radiation of an isotropic point source
kj(nsm)coefficient similar to kϕ(nsm), which is determined by the illumination of the medium at the registration point, created due to the diffusion of photons from a more illuminated area of the scattering medium
Reffeffective reflection coefficient of radiation entering the interface between the media from the scattering medium into the back hemisphere, i.e., back into the scattering medium
Aratio A = (1 + Reff)/(1 − Reff) used when setting the boundary conditions for ϕ(ρ)
zbcm or mmheight of placement of the extrapolated boundary zb = 2AD above the surface of the sample of the scattering medium
RL(λ,ρk)m−2⋅sr−1spectral–spatial local profile of diffuse reflection per unit solid angle
R(λ,ρk)mm−2spectral–spatial profile of diffuse reflection of a scattering semi-infinite medium
Rmik)mm−2measured spectral–spatial profile of diffuse reflection of the material sample under study
Ra[μ′si)],ρk}mm−2spectral–spatial profile of diffuse reflection modelled during fitting
λaLnmleft (short-wavelength) boundary of the part of the spectrum used in fitting the simulated profiles to the measured ones Rmik)
kMfactor that takes into account the effect of the state of the sample surface (glossy or rough) on the obtained values Rm(λ,ρk), kM ≤ 1
rtrreflection coefficient of the input radiation directly from the sample surface (specular component)
Dsi)digital readings at the output of the spectrometer corresponding to the code received by the analogue-to-digital converter of the spectrometer from the i-th photosensitive element of the spectrometer linear CCD array detector
τkmsset of used exposure times during recording Rmik)
Vik)ms–1family of recorded spectral dependencies Vik) = Dsik)/τk
λmnmwavelength corresponding to the maximum absolute spectral sensitivity SLi) of the spectral equipment used
SLi) W ms cm 2 sr μ m absolute spectral sensitivity of the applied spectral equipment in terms of the spectral density of the radiation brightness L(λ), which is determined when it is calibrated according to the reference emitter [36,37] and is used to calculate the spectral density of the brightness of the surface radiation Lik) = SLi)Vik)
fRresidual function used when fitting the simulated profile Ra[μ′si)],ρk} to the measured one Rmik)
σ R , Δ μ a root-mean-square deviation of residual function at wavelength λ0 when varying the parameters μ′s(λ)
σ R , Δ μ a μ s λ 0 , m λ = λ i f R , λ μ s λ 0 , m λ , λ i

References

  1. Aernouts, B.; Van Beers, R.; Watté, R.; Huybrechts, T.; Lammertyn, J.; Saeys, W. Visible and near-infrared bulk optical properties of raw milk. J. Dairy Sci. 2015, 98, 6727–6738. [Google Scholar] [CrossRef]
  2. Nicolaï, B.M.; Beullens, K.; Bobelyn, E.; Peirs, A.; Saeys, W.; Theron, K.I.; Lammertyn, J. Nondestructive measurement of fruit and vegetable quality by means of NIR spectroscopy: A review. Postharvest Biol. Technol. 2007, 46, 99–118. [Google Scholar] [CrossRef]
  3. Vaudelle, F.; L’Huillier, J.-P.; Askoura, M.L. Light source distribution and scattering phase function influence light transport in diffuse multi-layered media. Opt. Commun. 2017, 392, 268–281. [Google Scholar] [CrossRef]
  4. Do Trong, N.N.; Erkinbaev, C.; Tsuta, M.; De Baerdemaeker, J.; Nicolaï, B.; Saeys, W. Spatially resolved diffuse reflectance in the visible and near-infrared wavelength range for non-destructive quality assessment of ‘Braeburn’ apples. Postharvest Biol. Technol. 2014, 91, 39–48. [Google Scholar] [CrossRef]
  5. Doornbos, R.M. The determination of in vivo human tissue optical properties and absolute chromophore concentrations using spatially resolved steady-state diffuse reflectance spectroscopy. Phys. Med. Biol. 1999, 44, 967–981. [Google Scholar] [CrossRef] [PubMed]
  6. Thueler, P.; Charvet, I.; Bevilacqua, F.; Ghislain, M.S.; Ory, G.; Marquet, P.; Meda, P.; Vermeulen, B.; Depeursinge, C. In vivo endoscopic tissue diagnostics based on spectroscopic absorption, scattering, and phase function properties. J. Biomed. Opt. 2003, 8, 495–503. [Google Scholar] [CrossRef] [PubMed]
  7. Abookasis, D.; Zafrir, E.; Nesher, E.; Pinhasov, A.; Sternklar, S. Diffuse near-infrared reflectance spectroscopy during heatstroke in a mouse model: Pilot study. J. Biomed. Opt. 2012, 17, 105009-1–105009-11. [Google Scholar] [CrossRef]
  8. Abookasis, D.; Shochat, A.; Mathews, S.M. Monitoring hemodynamic and morphologic responses to closed head injury in a mouse model using orthogonal diffuse near-infrared light reflectance spectroscopy. J. Biomed. Opt. 2013, 18, 04503-1–04503-11. [Google Scholar] [CrossRef]
  9. Bevilacqua, F.; Piguet, D.; Marquet, P.; Gross, J.D.; Tromberg, B.J.; Depeursinge, C. In vivo local determination of tissue optical properties: Applications to human brain. Appl. Opt. 1999, 38, 4939–4950. [Google Scholar] [CrossRef]
  10. Ishimaru, A. Wave Propagation and Scattering in Random Media; Wiley-IEEE Press: Piscataway, NJ, USA, 1997. [Google Scholar]
  11. Tuchin, V. Tissue Optics: Light Scattering Methods and Instruments for Medical Diagnostics, 3rd ed.; SPIE Press: Bellingham, WA, USA, 2015. [Google Scholar]
  12. Ripoll, J.; Yessayan, D.; Zacharakis, G.; Ntziachristos, V. Experimental determination of photon propagation in highly absorbing and scattering media. J. Opt. Soc. Am. A Opt. Image Sci. Vis. 2005, 22, 546–551. [Google Scholar] [CrossRef] [PubMed]
  13. D’Eon, E.; Irving, G. A quantized-diffusion model for rendering translucent materials. ACM Trans. Graph. (TOG) 2011, 30, 1–14. [Google Scholar] [CrossRef]
  14. Farrell, T.J.; Patterson, M.S.; Wilson, B.C. A diffusion theory model of spatially resolved, steady-state diffuse reflectance for the noninvasive determination of tissue optical properties in vivo. Med. Phys. 1992, 19, 881–888. [Google Scholar] [CrossRef] [PubMed]
  15. Jacques, S. Video reflectometry to specify optical properties of tissue in vivo. In Medical Optical Tomography: Functional Imaging and Monitoring, Proceedings of the SPIE, Bellingham, WA, USA, 15 August 1993; SPIE Optical Engineering Press: Bellingham, WA, USA, 1993; Volume 10311, pp. 103110D-1–103110D-16. [Google Scholar] [CrossRef]
  16. Haskell, R.C.; Svaasand, L.O.; Tsay, T.-T.; Feng, T.-C.; McAdams, M.S.; Tromberg, B.J. Boundary Conditions for the Diffusion Equation in Radiative Transfer. J. Opt. Soc. Am. A 1994, 11, 2727–2741. [Google Scholar] [CrossRef] [PubMed]
  17. Kumar, G.; Schmitt, J.M. Optimal probe geometry for near-infrared spectroscopy of biological tissue. Appl. Opt. 1997, 36, 2286–2293. [Google Scholar] [CrossRef]
  18. Farrell, T.J.; Patterson, M.S. Experimental verification of the effect of refractive index mismatch on the light fluence in a turbid medium. J. Biomed. Opt. 2001, 6, 468–473. [Google Scholar] [CrossRef]
  19. Jacques, S.L. Modeling tissue optics using Monte Carlo modeling: A tutorial. In Optical Interactions with Tissue And Cells Xix, San Jose, CA, USA, 21–23 January 2008; SPIE Optical Engineering Press: Bellingham, WA, USA, 2008; Volume 6854, p. 68540T. [Google Scholar] [CrossRef]
  20. Liang, S.; Shimizu, K. Development of a technique to measure local scattering in turbid media using backscattered light at the surface for noninvasive turbidity evaluation of blood in subcutaneous blood vessels. Jpn. J. Appl. Phys. 2021, 60, 022002. [Google Scholar] [CrossRef]
  21. Cappon, D.J.; Farrell, T.J.; Fang, Q.; Hayward, J.E. Fiber-optic probe design and optical property recovery algorithm for optical biopsy of brain tissue. J. Biomed. Opt. 2013, 18, 107004-1–107004-10. [Google Scholar] [CrossRef]
  22. Kanick, S.C.; Sterenborg, H.J.C.M.; Amelink, A. Empirical model of the photon path length for a single fiber reflectance spectroscopy device. Opt. Express 2009, 17, 860–871. [Google Scholar] [CrossRef]
  23. Piao, D.; Patel, S. Simple empirical master–slave dual-source configuration within the diffusion approximation enhances modeling of spatially resolved diffuse reflectance at short-path and with low scattering from a semi-infinite homogeneous medium. Appl. Opt. 2017, 56, 1447–1452. [Google Scholar] [CrossRef]
  24. Seo, I.; Hayakawa, C.; Venugopalan, V. Radiative transport in the delta-P1 approximation for semi-infinite turbid media. Med. Phys. 2008, 35, 681–693. [Google Scholar] [CrossRef]
  25. Amelink, A.; Haringsma, J.; Sterenborg, H. Noninvasive measurement of oxygen saturation of the microvascular blood in Barrett’s dysplasia by use of optical spectroscopy. Gastroint. Endosc. 2009, 70, 1–6. [Google Scholar] [CrossRef] [PubMed]
  26. Kanick, S.C.; van der Leest, C.; Djamin, R.S.; Janssens, A.M.; Hoogsteden, H.C.; Henricus, J.C.M.; Sterenborg, A.; Amelink, J.; Aerts, G.J.V. Characterization of Mediastinal Lymph Node Physiology In Vivo by Optical Spectroscopy during Endoscopic Ultrasound-Guided Fine Needle Aspiration. J. Thorac. Oncol. 2010, 5, 981–987. [Google Scholar] [CrossRef]
  27. Lisenko, S.A.; Firago, V.A.; Kugeiko, M.M.; Kubarko, A.I. Determination of structural and morphological parameters of human bulbar conjunctiva from optical diffuse reflectance spectra. J. Appl. Spectrosc. 2016, 83, 617–626. [Google Scholar] [CrossRef]
  28. Lisenko, S. Methods for Optical Diagnostics of Biological Objects, BSU, Minsk. 2014. Available online: http://elib.bsu.by/handle/123456789/114155 (accessed on 20 April 2023). (In Russian).
  29. Mishchenko, M.I. Radiative Transfer: A New Look of the Old Theory; Radiative Transfer, V., Menguç, M.P., Selcuk, N., Eds.; Begell House: New York, NY, USA; Danbury, CT, USA, 2007; pp. 1–30. [Google Scholar]
  30. Mishchenko, M.I. “Independent” and “dependent” scattering by particles in a multi-particle group. OSA Contin. 2018, 1, 243–260. [Google Scholar] [CrossRef]
  31. Shendeleva, M. Influence of boundary conditions on photon diffusion through an interface between two turbid media with different refractive indices. J. Opt. Soc. Am. 2010, 7, 1521–1528. [Google Scholar] [CrossRef] [PubMed]
  32. Aronson, R.; Corngold, N. Photon diffusion coefficient in an absorbing Medium. J. Opt. Soc. Am. 1999, 16, 1066–1071. [Google Scholar] [CrossRef] [PubMed]
  33. Groenhuis, R.; Ferwerda, H.; Bosch, J. Scattering and absorption of turbid materials determined from reflection measurements. 1: Theory. Appl. Opt. 1983, 22, 2456–2462. [Google Scholar] [CrossRef] [PubMed]
  34. Firago, V.A.; Shuliko, K.I. Application of the Diffusion Approximation in Research of Optical Properties of Condensed Finely Dispersed Environment. In Proceedings of the XIII International Scientific Conference “Quantum Electronics”, Minsk, Belarus, 22–26 November 2021; pp. 329–332. Available online: https://elib.bsu.by/handle/123456789/271782 (accessed on 20 April 2023).
  35. Weidner, V.; Hsia, J. Reflection properties of pressed polytetrafluoroethylene powder. J. Opt. Soc. Am. 1981, 71, 856–861. [Google Scholar] [CrossRef]
  36. Firago, V.; Hotra, O.; Sakovich, I. Radiometric calibration of fiber optic spectrophotometers. In Proceedings of the Optical Fibers and Their Applications 2018, Naleczow, Poland, 20–23 November 2018; SPIE Optical Engineering Press: Bellingham, WA, USA, 2019; p. 1104516. [Google Scholar] [CrossRef]
  37. Firago, V.A.; Levkovich, N.V.; Shuliko, K.I. Diffuse Reflectance Spectrophotometers Based on C12880MA and C11708MA Mini-Spectrometers Hamamatsu. Devices Methods Meas. 2022, 13, 50–59. [Google Scholar] [CrossRef]
  38. Jacques, S.L. Simple theory and rules of thumb for dosimetry during therapy. In Proceedings of the Photodynamic Therapy: Mechanisms, Los Angeles, CA, USA, 5–20 January 1989; SPIE Optical Engineering Press: Bellingham, WA, USA, 1989; Volume 1065, pp. 100–108. [Google Scholar] [CrossRef]
  39. Sultanova, N.G.; Kasarova, S.N.; Nikolov, I.D. Characterization of optical properties of optical polymers. Opt. Quant. Electron. 2013, 45, 212–232. [Google Scholar] [CrossRef]
  40. Firago, V.A.; Wojcik, W.; Dzhunisbekov, M.S. Monitoring of the Metal Surface Temperature during Laser Processing. Russ. Metall. 2019, 11, 1224–1230. [Google Scholar] [CrossRef]
  41. Hotra, O.; Firago, V.; Levkovich, N.; Shuliko, K. Investigation of the Possibility of Using Microspectrometers Based on CMOS Photodiode Arrays in Small-Sized Devices for Optical Diagnostics. Sensors 2022, 22, 4195. [Google Scholar] [CrossRef] [PubMed]
Figure 1. Scheme for measuring diffusely reflected light by a scattering medium using fibre-optic probes (a) and the geometry of extrapolated model of photon boundary diffusion (used in [14]) (b).
Figure 1. Scheme for measuring diffusely reflected light by a scattering medium using fibre-optic probes (a) and the geometry of extrapolated model of photon boundary diffusion (used in [14]) (b).
Electronics 12 02893 g001
Figure 2. Scheme of the used positions of the light guide end of the movable receiving probe relative to the centre of the light guide end of the fixed emitting optical fibre.
Figure 2. Scheme of the used positions of the light guide end of the movable receiving probe relative to the centre of the light guide end of the fixed emitting optical fibre.
Electronics 12 02893 g002
Figure 3. Dependencies lg[R(μ′sak)] calculated for diffusion approximation model [14] and modelled dependencies lg{Ra(μ′s)],ρk} (bold coloured lines) at their parametric representation, illustrating that each of them is located within its plane of ρk values.
Figure 3. Dependencies lg[R(μ′sak)] calculated for diffusion approximation model [14] and modelled dependencies lg{Ra(μ′s)],ρk} (bold coloured lines) at their parametric representation, illustrating that each of them is located within its plane of ρk values.
Electronics 12 02893 g003
Figure 4. Families of dependencies of the measured spectral local reflection coefficient Rmik) (solid coloured lines (when the movable probe is positioned on the left L from the emitter) and black lines (when it is positioned to the right R)) and dependencies, obtained by fitting Ra[μ′si)],ρk} (dashed coloured and black lines, respectively) (a), and dependencies of spectral coefficients of reduced scattering μ′si) (bold red line) and absorption μaik) (coloured continuous lines for L and dotted lines for R) (b) for sample 1 at different values of ρk.
Figure 4. Families of dependencies of the measured spectral local reflection coefficient Rmik) (solid coloured lines (when the movable probe is positioned on the left L from the emitter) and black lines (when it is positioned to the right R)) and dependencies, obtained by fitting Ra[μ′si)],ρk} (dashed coloured and black lines, respectively) (a), and dependencies of spectral coefficients of reduced scattering μ′si) (bold red line) and absorption μaik) (coloured continuous lines for L and dotted lines for R) (b) for sample 1 at different values of ρk.
Electronics 12 02893 g004
Figure 5. Families of dependencies of the measured spectral local reflection coefficient Rmik) (solid coloured lines (when the movable probe is positioned on the left L from the emitter) and black lines (when it is positioned to the right R)) and dependencies, obtained by fitting Ra[μ′si)],ρk} (dashed coloured and black lines, respectively) (a), and estimates of spectral coefficients of reduced scattering μ′si) (bold red line) and absorption μaik) (coloured continuous lines for L and dotted lines for R) (b) for sample 2 at different values of ρk.
Figure 5. Families of dependencies of the measured spectral local reflection coefficient Rmik) (solid coloured lines (when the movable probe is positioned on the left L from the emitter) and black lines (when it is positioned to the right R)) and dependencies, obtained by fitting Ra[μ′si)],ρk} (dashed coloured and black lines, respectively) (a), and estimates of spectral coefficients of reduced scattering μ′si) (bold red line) and absorption μaik) (coloured continuous lines for L and dotted lines for R) (b) for sample 2 at different values of ρk.
Electronics 12 02893 g005
Figure 6. Families of dependencies of the measured spectral local reflection coefficient Rmik) (solid coloured lines (when the movable probe is positioned on the left L from the emitter) and black lines (when it is positioned to the right R)) and dependencies, obtained by fitting Ra[μ′si)],ρk} (dashed coloured and black lines, respectively) (a), and estimates of spectral coefficients of reduced scattering μ′si) (bold red line) and absorption μaik) (coloured continuous lines for L and dotted lines for R) (b) for sample 3 at different values of ρk.
Figure 6. Families of dependencies of the measured spectral local reflection coefficient Rmik) (solid coloured lines (when the movable probe is positioned on the left L from the emitter) and black lines (when it is positioned to the right R)) and dependencies, obtained by fitting Ra[μ′si)],ρk} (dashed coloured and black lines, respectively) (a), and estimates of spectral coefficients of reduced scattering μ′si) (bold red line) and absorption μaik) (coloured continuous lines for L and dotted lines for R) (b) for sample 3 at different values of ρk.
Electronics 12 02893 g006
Figure 7. Calculated dependency of the square root of the function of residual σ R , Δ μ a μ s λ 0 , m λ on μ′s0) and mλ for sample 1 (a) for initial data presented in Figure 3 and for sample 3 (b) for initial data presented in Figure 6.
Figure 7. Calculated dependency of the square root of the function of residual σ R , Δ μ a μ s λ 0 , m λ on μ′s0) and mλ for sample 1 (a) for initial data presented in Figure 3 and for sample 3 (b) for initial data presented in Figure 6.
Electronics 12 02893 g007
Figure 8. Families of dependencies of the measured spectral local reflection coefficient Rmik) (solid coloured lines (when the movable probe is positioned on the left L from the emitter) and black lines (when it is positioned to the right R)) and dependencies, obtained by fitting Ra[μ′si)],ρk} (dashed coloured and black lines, respectively) (a), and estimates of spectral coefficients of reduced scattering μ′si) (bold red line) and absorption μaik) (coloured continuous lines for L position and dotted lines for R position) (b) for sample 4 at different values of ρk.
Figure 8. Families of dependencies of the measured spectral local reflection coefficient Rmik) (solid coloured lines (when the movable probe is positioned on the left L from the emitter) and black lines (when it is positioned to the right R)) and dependencies, obtained by fitting Ra[μ′si)],ρk} (dashed coloured and black lines, respectively) (a), and estimates of spectral coefficients of reduced scattering μ′si) (bold red line) and absorption μaik) (coloured continuous lines for L position and dotted lines for R position) (b) for sample 4 at different values of ρk.
Electronics 12 02893 g008
Figure 9. Families of dependencies of the measured spectral local reflection coefficient Rmik) (solid coloured lines (when the movable probe is positioned on the left L from the emitter) and black lines (when it is positioned to the right R)) and dependencies, obtained by fitting Ra[μ′si)],ρk} (dashed coloured and black lines, respectively) (a), and estimates of spectral coefficients of reduced scattering μ′si) (bold red line) and absorption μaik) (coloured continuous lines for L position and dotted lines for R position) (b) for living tissue in the thenar region of the palm at different values ρk.
Figure 9. Families of dependencies of the measured spectral local reflection coefficient Rmik) (solid coloured lines (when the movable probe is positioned on the left L from the emitter) and black lines (when it is positioned to the right R)) and dependencies, obtained by fitting Ra[μ′si)],ρk} (dashed coloured and black lines, respectively) (a), and estimates of spectral coefficients of reduced scattering μ′si) (bold red line) and absorption μaik) (coloured continuous lines for L position and dotted lines for R position) (b) for living tissue in the thenar region of the palm at different values ρk.
Electronics 12 02893 g009
Disclaimer/Publisher’s Note: The statements, opinions and data contained in all publications are solely those of the individual author(s) and contributor(s) and not of MDPI and/or the editor(s). MDPI and/or the editor(s) disclaim responsibility for any injury to people or property resulting from any ideas, methods, instructions or products referred to in the content.

Share and Cite

MDPI and ACS Style

Hotra, O.; Firago, V.; Shuliko, K.; Kisała, P. Possibilities of Diffuse Reflectance Spectroscopy in Determining and Operational Control of the Optical Properties of Finely Dispersed Scattering Media. Electronics 2023, 12, 2893. https://doi.org/10.3390/electronics12132893

AMA Style

Hotra O, Firago V, Shuliko K, Kisała P. Possibilities of Diffuse Reflectance Spectroscopy in Determining and Operational Control of the Optical Properties of Finely Dispersed Scattering Media. Electronics. 2023; 12(13):2893. https://doi.org/10.3390/electronics12132893

Chicago/Turabian Style

Hotra, Oleksandra, Vladimir Firago, Konstantin Shuliko, and Piotr Kisała. 2023. "Possibilities of Diffuse Reflectance Spectroscopy in Determining and Operational Control of the Optical Properties of Finely Dispersed Scattering Media" Electronics 12, no. 13: 2893. https://doi.org/10.3390/electronics12132893

APA Style

Hotra, O., Firago, V., Shuliko, K., & Kisała, P. (2023). Possibilities of Diffuse Reflectance Spectroscopy in Determining and Operational Control of the Optical Properties of Finely Dispersed Scattering Media. Electronics, 12(13), 2893. https://doi.org/10.3390/electronics12132893

Note that from the first issue of 2016, this journal uses article numbers instead of page numbers. See further details here.

Article Metrics

Back to TopTop