Next Issue
Volume 15, May
Previous Issue
Volume 15, March
 
 

Metals, Volume 15, Issue 4 (April 2025) – 130 articles

Cover Story (view full-size image): This study examines topology optimization and the laser powder bed fusion of face mills with experimental modal characteristics and cutting performance. The aim was to decrease vibration magnitudes of full tool assembly while keeping them stiff against deformation due to cutting forces. Three distinct designs were benchmarked, each with different weight reduction targets, and were fabricated using PBF-LB with M300 maraging steel. Tap tests and machining of wrought Ti6Al4V were conducted to compare the developed tools. The advantages of utilizing optimized tools highlighted an extension of the insert tool life and successfully reduced flank wear to 100µm after one-hour Ti6Al4V machining. View this paper
  • Issues are regarded as officially published after their release is announced to the table of contents alert mailing list.
  • You may sign up for e-mail alerts to receive table of contents of newly released issues.
  • PDF is the official format for papers published in both, html and pdf forms. To view the papers in pdf format, click on the "PDF Full-text" link, and use the free Adobe Reader to open them.
Order results
Result details
Section
Select all
Export citation of selected articles as:
22 pages, 16153 KB  
Article
Effects of Annealing on Carbide Size Distribution and Mechanical Properties of 1.0C-1.5Cr Bearing Steel Prepared by Continuous Casting with 510 mm × 390 mm × 250 mm Dimensions
by Peiheng Ding, Jicong Zhang, Changqing Shu, Shuaipeng Yu and Zhengjun Yao
Metals 2025, 15(4), 467; https://doi.org/10.3390/met15040467 - 21 Apr 2025
Cited by 2 | Viewed by 2071
Abstract
As the cross-sectional size of bearing steel increases, maintaining a uniform microstructure becomes more difficult. To address this issue in large-section 1.0C-1.5Cr bearing steel, the behavior of carbides during isothermal spheroidization annealing at different positions within the steel was investigated. Quantitative metallography was [...] Read more.
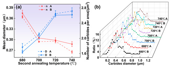
As the cross-sectional size of bearing steel increases, maintaining a uniform microstructure becomes more difficult. To address this issue in large-section 1.0C-1.5Cr bearing steel, the behavior of carbides during isothermal spheroidization annealing at different positions within the steel was investigated. Quantitative metallography was used to measure the mean diameter of carbides (D), the number of carbides per area (n), and the carbide particle size distribution at both the 1/2 position and the center position of the steel. The results of the study showed good spheroidization of carbides in all the specimens except for the presence of lamellar pearlite organization in the specimens with austenitizing temperatures of 760 °C and 880 °C. As the austenitizing and second annealing temperatures and times increased, the mean diameter of carbides (D) became larger, while the number of carbides per area (n) decreased. It is worth noting that the carbides in the center position are smaller than in the 1/2 position, although the center position had a higher density of carbides. Based on the measured values of D and n, a model was developed to describe the relationship between them. In addition, the mechanical properties were influenced by this uneven carbide distribution: as the carbide size increased, tensile strength decreased, while elongation followed a similar trend. Additionally, tensile strength was higher at the center position than at the 1/2 position, whereas elongation was greater at the 1/2 position. Full article
Show Figures

Figure 1

13 pages, 5748 KB  
Article
Recovery of Palladium and Silver from Copper Sludge and Spent Petrochemical Catalysts via Effective Pyrometallurgical Processing
by Hyunju Kim, Hyunsik Park and Joohyun Park
Metals 2025, 15(4), 466; https://doi.org/10.3390/met15040466 - 21 Apr 2025
Cited by 1 | Viewed by 2386
Abstract
Copper-containing sludge and spent petrochemical catalyst (SPC) were investigated for recovering palladium (Pd) and silver (Ag). Increasing the mixing ratio of alumina-based SPC leads to reduced recovery rates at 1500 °C. Specifically, as the SPC mixing ratio increases from 10% to 30%, the [...] Read more.
Copper-containing sludge and spent petrochemical catalyst (SPC) were investigated for recovering palladium (Pd) and silver (Ag). Increasing the mixing ratio of alumina-based SPC leads to reduced recovery rates at 1500 °C. Specifically, as the SPC mixing ratio increases from 10% to 30%, the recovery rate of Pd and Ag sharply decreases to 62.1% and 91.0%, respectively. This is attributed to an increase in the slag viscosity as well as to the higher sulfur content in the metal phase by decreasing the CaO/Al2O3 ratio of the slag. An increase in the slag viscosity causes a decrease in the metal recovery, as it lowers the settling velocity of metal droplets, resulting in imperfect metal separation, i.e., an increase in physical loss. Additionally, the presence of sulfur at the slag–metal interface was found to reduce interfacial tension, facilitating the entrapment of copper droplets within the slag. This further hindered phase separation and contributed to an increase in physical loss. This study highlights that physical loss is more serious in metal recovery rather than chemical loss, which is dependent on the thermochemical solubility of the target metals in the slag. The results emphasize the need for the precise control of slag properties to maximize the metal recovery processes in conjunction with a mitigation of CO2 emissions. Full article
Show Figures

Graphical abstract

24 pages, 20493 KB  
Article
Enhancing High-Temperature Durability of Aluminum/Steel Joints: The Role of Ni and Cr in Substitutional Diffusion Within Intermetallic Compounds
by Masih Bolhasani Hesari, Reza Beygi, Tiago O. G. Teixeira, Eduardo A. S. Marques, Ricardo J. C. Carbas and Lucas F. M. da Silva
Metals 2025, 15(4), 465; https://doi.org/10.3390/met15040465 - 20 Apr 2025
Cited by 7 | Viewed by 1618
Abstract
The automotive and aerospace industries increasingly rely on lightweight, high-strength materials to improve fuel efficiency, making the joining of dissimilar metals such as aluminum and steel both beneficial and essential. However, a major challenge in these joints is the formation of brittle intermetallic [...] Read more.
The automotive and aerospace industries increasingly rely on lightweight, high-strength materials to improve fuel efficiency, making the joining of dissimilar metals such as aluminum and steel both beneficial and essential. However, a major challenge in these joints is the formation of brittle intermetallic compounds (IMCs) at the interface, even when using low heat-input solid-state welding methods like friction stir welding (FSW). Furthermore, IMC growth at elevated temperatures significantly limits the service life of these joints. In this study, an intermediate layer of stainless steel was deposited on the steel surface prior to FSW with aluminum. The resulting Al–Steel joints were subjected to heat treatment at 400 °C and 550 °C to investigate IMC growth and its impact on mechanical strength, with results compared to conventional joints without the intermediate layer. The intermediate layer significantly suppressed IMC formation, leading to a smaller reduction in mechanical strength after heat treatment. Joints with the intermediate layer achieved their highest strength (350 MPa) after heat treatment at 400 °C, while conventional joints exhibited their highest strength (225 MPa) in the as-welded condition. At 550 °C, both joint types experienced a decline in strength; however, the joint with the intermediate layer retained a strength of 100 MPa, whereas the conventional joint lost its strength entirely. This study provides an in-depth analysis of the role of IMC growth in joint strength and demonstrates how the intermediate layer enhances the thermal durability and mechanical performance of Al–Steel joints, offering valuable insights for their application in high-temperature environments. Full article
(This article belongs to the Special Issue Welding and Joining Technology of Dissimilar Metal Materials)
Show Figures

Figure 1

17 pages, 8034 KB  
Article
Design and Evaluation of the Mechanical Performance of Hollow BCC Truss AlSi10Mg Lattice Structures
by Wanqi Ma, Yangwei Wang, Qingtang Li, Bingyue Jiang and Jingbo Zhu
Metals 2025, 15(4), 464; https://doi.org/10.3390/met15040464 - 20 Apr 2025
Cited by 5 | Viewed by 1692
Abstract
Lattice materials demonstrate exceptional advantages in lightweight design applications due to their low mass density, high specific strength, and customizable topology. Inspired by the hollow vascular bundle structure of bamboo, this study develops four bio-inspired lattice configurations through two key modifications to conventional [...] Read more.
Lattice materials demonstrate exceptional advantages in lightweight design applications due to their low mass density, high specific strength, and customizable topology. Inspired by the hollow vascular bundle structure of bamboo, this study develops four bio-inspired lattice configurations through two key modifications to conventional body-centered cubic (BCC) structures: Z-axis (loading direction) strut reinforcement and strut hollowing. The specimens were fabricated using AlSi10Mg powder via selective laser melting (SLM) technology, followed by the systematic evaluation of the compressive properties and the energy absorption characteristics. The experimental results reveal that the synergistic combination of Z-strut reinforcement and hollow design significantly enhances both the compressive resistance and the energy absorption capacity. The optimized BCC-5ZH configuration (5 Z-struts with full hollowing) achieves remarkable performance metrics at 0.5 g/cm3 density: yield strength (16.78 MPa), compressive strength (27.91 MPa), and volumetric energy absorption (10.4 MJ/m3). These values represent 236.9%, 283.4%, and 239.3% enhancements, respectively, compared to the reference BCC lattices with an equivalent density. Z-strut integration induces homogeneous stiffness distribution throughout the lattice architecture, while strut hollowing increases the effective moment of inertia. This structural evolution induces a failure mode transition from single shear band deformation to dual X-shaped shear band propagation, resulting in enhanced deformation sequence regulation within the lattice system. Full article
Show Figures

Figure 1

25 pages, 6917 KB  
Article
Solid-State Welding of Thin Aluminum Sheets: A Case Study of Friction Stir Welding Alloys 1050 and 5754
by Georgios Patsalias, Konstantinos Sofias and Achilles Vairis
Metals 2025, 15(4), 463; https://doi.org/10.3390/met15040463 - 20 Apr 2025
Cited by 7 | Viewed by 1967
Abstract
This study explores the friction stir welding (FSW) of thin aluminum sheets, focusing on alloys 1050 and 5754. FSW, a solid-state joining technique, offers advantages like minimal deformation and high joint strength, but optimizing welding parameters is crucial for sound welds. In order [...] Read more.
This study explores the friction stir welding (FSW) of thin aluminum sheets, focusing on alloys 1050 and 5754. FSW, a solid-state joining technique, offers advantages like minimal deformation and high joint strength, but optimizing welding parameters is crucial for sound welds. In order to investigate the optimum welding parameters, the Taguchi method was employed, in which key parameters such as rotational and welding speed were optimized to enhance tensile strength and weld quality. The tensile testing of the welded specimens revealed that the optimal combination—1000 RPM rotational speed and 250 mm/min welding speed—produced the highest tensile strength and weld quality. The results highlight the importance of parameter optimization in ensuring strong, stable welds, with rotational speed having the most significant influence. Additionally, excessive rotational speeds were found to weaken welds due to excessive heat input, while a slower welding speed contributed to greater weld stability. Full article
(This article belongs to the Special Issue New Welding Materials and Green Joint Technology—2nd Edition)
Show Figures

Figure 1

14 pages, 1696 KB  
Article
Influence of a Novel Thermomechanical Processing Route on the Structural, Mechanical, and Corrosion Properties of a Biodegradable Fe-35Mn Alloy
by Kerolene Barboza da Silva, João Pedro Aquiles Carobolante, Roberto Zenhei Nakazato, Angelo Caporalli Filho and Ana Paula Rosifini Alves
Metals 2025, 15(4), 462; https://doi.org/10.3390/met15040462 - 20 Apr 2025
Cited by 2 | Viewed by 1130
Abstract
Recent studies have focused on developing temporary metallic implants made from biodegradable biomaterials, such as iron and its alloys, along with the associated manufacturing methods. These biomaterials allow the implant to gradually degrade after fulfilling its function, which reduces the risks of complications [...] Read more.
Recent studies have focused on developing temporary metallic implants made from biodegradable biomaterials, such as iron and its alloys, along with the associated manufacturing methods. These biomaterials allow the implant to gradually degrade after fulfilling its function, which reduces the risks of complications associated with permanent implants. Iron is particularly appealing from a structural standpoint, and adding manganese enhances its potential for use. The Fe-35Mn alloy demonstrates excellent mechanical properties and degradation characteristics, making it an ideal choice within the Fe-Mn system. As a result, new processing techniques can be applied to this alloy to further improve its performance. The objective of this research is to propose a new processing route and evaluate its impact on the properties of the Fe-35Mn alloy. The experimental alloy was produced using an arc melting furnace, followed by homogenization, hot swaging, and solution treatment. Alloy characterization was conducted using various techniques, including X-ray fluorescence (XRF), optical microscopy (OM), X-ray diffraction (XRD), differential scanning calorimetry (DSC), microhardness testing, tensile strength measurements, Young’s modulus determination, and potentiodynamic polarization analysis. The microstructural evolution throughout the applied processing route was analyzed in relation to the alloy’s mechanical performance and corrosion resistance. The typical microstructure of the Fe-35Mn alloy is primarily composed of austenitic grains stabilized at room temperature. Its mechanical properties—yield strength (297 MPa), ultimate tensile strength (533 MPa), and elongation to failure (39%)—are comparable to, or even surpass, those of conventional biomedical materials such as 316 L stainless steel and pure iron. The reduced Young’s modulus (171 GPa), compared to other alloys, further underscores its potential for biomedical applications. Electrochemical testing revealed lower corrosion resistance than that of similar alloys reported in the literature, with a corrosion potential of −0.76 V and a current density of 3.88 µA·cm−2, suggesting an enhanced corrosion rate. Full article
(This article belongs to the Special Issue Feature Papers in Biobased and Biodegradable Metals)
Show Figures

Graphical abstract

27 pages, 3841 KB  
Article
Modeling and Carbon Emission Assessment of Novel Low-Carbon Smelting Process for Vanadium–Titanium Magnetite
by Yun Huang, Jue Tang and Mansheng Chu
Metals 2025, 15(4), 461; https://doi.org/10.3390/met15040461 - 19 Apr 2025
Cited by 1 | Viewed by 1150
Abstract
The iron and steel industry, as a major energy consumer, was critically required to enhance operational efficiency and reduce CO2 emissions. Conventional blast furnace processing of vanadium–titanium magnetite (VTM) in China had been associated with persistent challenges, including suboptimal TiO2 recovery [...] Read more.
The iron and steel industry, as a major energy consumer, was critically required to enhance operational efficiency and reduce CO2 emissions. Conventional blast furnace processing of vanadium–titanium magnetite (VTM) in China had been associated with persistent challenges, including suboptimal TiO2 recovery rates (<50%) and elevated carbon intensity (the optimal temperature range for TiO2 recovery lies within 1400–1500 °C). Shaft furnace technology has emerged as a low-carbon alternative, offering accelerated reduction kinetics, operational flexibility, and reduced environmental impact. This study evaluated the low-carbon PLCsmelt process for VTM smelting through energy–mass balance modeling, comparing two gas-recycling configurations. The process integrates a pre-reduction shaft furnace and a melting furnace, where oxidized pellets are initially reduced to direct reduced iron (DRI) before being smelted into hot metal. In Route 1, CO2 emissions of 472.59 Nm3/tHM were generated by pre-reduction gas (1600 Nm3/tHM, 64.73% CO, and 27.17% CO2) and melting furnace top gas (93.98% CO). Route 2 incorporated hydrogen-rich gas through the blending of coke oven gas with recycled streams, achieving a 56.8% reduction in CO2 emissions (204.20 Nm3/tHM) and altering the pre-reduction top gas composition to 24.88% CO and 40.30% H2. Elevating the pre-reduction gas flow in Route 2 resulted in increased CO concentrations in the reducing gas (34.56% to 37.47%) and top gas (21.89% to 26.49%), while gas distribution rebalancing reduced melting furnace top gas flow from 261.03 to 221.93 Nm3/tHM. The results demonstrated that the PLCsmelt process significantly lowered carbon emissions without compromising metallurgical efficiency (CO2 decreased about 74.48% compared with traditional blast furnace which was 800 Nm3/tHM), offering a viable pathway for sustainable VTM utilization. Full article
(This article belongs to the Special Issue Modern Techniques and Processes of Iron and Steel Making)
Show Figures

Figure 1

19 pages, 8956 KB  
Article
Atomic-Scale Study on the Composition Optimization and Deformation Mechanism of FeNiAl Alloys
by Chen Chen, Yachen Gui, Xingchang Tang, Yufeng Li, Changbo Wang, Jie Sheng, Zhijian Zhang, Xuefeng Lu and Junqiang Ren
Metals 2025, 15(4), 460; https://doi.org/10.3390/met15040460 - 18 Apr 2025
Cited by 1 | Viewed by 1485
Abstract
The generalized stacking fault energy (GSFE) and shear modulus (G) are critical parameters in determining the strength and ductility balance of Fe-based alloys, playing a significant role in alloy design and performance optimization. This study focuses on FeNiAl alloys and proposes a composition [...] Read more.
The generalized stacking fault energy (GSFE) and shear modulus (G) are critical parameters in determining the strength and ductility balance of Fe-based alloys, playing a significant role in alloy design and performance optimization. This study focuses on FeNiAl alloys and proposes a composition optimization method based on molecular dynamics simulations. The results reveal that Fe90Ni9Al alloy exhibits the best synergy between strength and ductility, achieving a yield strength of up to 16.33 GPa and a yield strain of 10.4%. During tensile deformation, this alloy demonstrates a complex microstructural evolution, including dislocation slip, phase transformations, and deformation twinning. These mechanisms collectively contribute to the significant enhancement of its mechanical properties. This study not only elucidates the profound influence of GSFE and G on the micro-deformation mechanisms and macroscopic mechanical properties of FeNiAl alloys but also establishes an efficient composition design and screening system. This system provides theoretical support and practical guidance for the rapid development of novel alloy materials with balanced strength and ductility. The proposed method is broadly applicable to the design and optimization of high-performance structural materials, offering critical insights for advancing the application of lightweight and high-strength metallic materials in aerospace, automotive manufacturing, and other fields. Full article
Show Figures

Figure 1

13 pages, 5089 KB  
Article
Effect of TiC Coating Thickness on Carbon Fiber Surface on Microstructure and Properties of Aluminum Matrix Composites
by Hongkui Zhang, Yipeng Lan, Xiangjia Meng, Wenjie Liu and Guanglong Li
Metals 2025, 15(4), 459; https://doi.org/10.3390/met15040459 - 18 Apr 2025
Cited by 1 | Viewed by 1244
Abstract
In this paper, the synthesis of TiC-coated carbon fibers (TiC-CFs) with varying thicknesses is achieved through the manipulation of the molten salt reaction, along with the fabrication of TiC-coated carbon fiber-reinforced aluminum matrix (TiC-CF/Al) composites via the vacuum pressure infiltration technique. The results [...] Read more.
In this paper, the synthesis of TiC-coated carbon fibers (TiC-CFs) with varying thicknesses is achieved through the manipulation of the molten salt reaction, along with the fabrication of TiC-coated carbon fiber-reinforced aluminum matrix (TiC-CF/Al) composites via the vacuum pressure infiltration technique. The results show that modulating the holding time of the molten salt reaction significantly enhances the wettability between the carbon fiber (CF) and the aluminum, thereby augmenting the mechanical integrity of the composite materials. Should the holding time be excessively short, the coating on the CF surface develops an uneven distribution, and its efficacy in obstructing the direct interaction with the aluminum is inadequate. As the holding time prolongs, the TiC coating thickens, achieving a comprehensive coverage after 2 h of holding. The presence of a pristine TiC coating on the CF surface not only optimizes the wettability with the aluminum melt but also mitigates the reaction between the CF and aluminum. However, an excessively thick coating not only reduces the strength of the fibers, due to excessive reactions, but also makes the coating prone to detachment during the preparation process due to stress. At a holding time of 3 h, the tensile strength of the CF/Al composite material reaches its highest value, with a tensile strength of 103.93 MPa and an impressive 72.35% enhancement over that of the aluminum. Full article
Show Figures

Figure 1

33 pages, 28780 KB  
Article
Failure Strain and Related Triaxiality of Aluminum 6061-T6, A36 Carbon Steel, 304 Stainless Steel, and Nitronic 60 Metals, Part I: Experimental Investigation
by Ron Harwell, Robert Spears and Arya Ebrahimpour
Metals 2025, 15(4), 458; https://doi.org/10.3390/met15040458 - 18 Apr 2025
Viewed by 3459
Abstract
The objective of this study is to develop failure-limit material models for Aluminum 6061-T6, A36 Carbon Steel, 304 Stainless Steel, and Nitronic 60 metals, based on parameters of plastic equivalent strain (failure strain) and stress triaxiality. The research is conducted in two parts. [...] Read more.
The objective of this study is to develop failure-limit material models for Aluminum 6061-T6, A36 Carbon Steel, 304 Stainless Steel, and Nitronic 60 metals, based on parameters of plastic equivalent strain (failure strain) and stress triaxiality. The research is conducted in two parts. This paper presents Part One of the study. In Part One, custom-designed test specimens undergo controlled uniaxial tension and compression testing at ambient temperature. These tests are performed at quasi-static speeds using Universal Testing Machines (UTMs) in accordance with ASTM E8 and ASTM E9 standards. Experimental data, specifically engineering stress–strain and force–displacement curves, are recorded from the onset of loading until specimen fracture, or in the case of compression tests, until the capacity of the testing machine is reached. In Part Two, the emphasis shifts to the calibration of Finite Element Analysis (FEA) models of the custom-designed test specimens. Plastic equivalent strain and the corresponding stress triaxiality values at failure are extracted from each test specimen for the given metal. These values are then systematically plotted onto a single graph to construct the failure-limit curve, which delineates the boundary conditions for material failure. This approach will facilitate the development of a comprehensive material property definition that correlates plastic equivalent strain with stress triaxiality at failure for Aluminum 6061-T6, A36 Carbon Steel, 304 Stainless Steel, and Nitronic 60 metals. Full article
Show Figures

Graphical abstract

11 pages, 5152 KB  
Article
Heterogeneous Deformation-Induced Strengthening Achieves the Synergistic Enhancement of Strength and Ductility in Mg–Sc Alloys
by Wei Zhao, Mengyu Zhang, Ruxia Liu and Jian Zhang
Metals 2025, 15(4), 457; https://doi.org/10.3390/met15040457 - 18 Apr 2025
Cited by 1 | Viewed by 1526
Abstract
Magnesium alloys are essential lightweight materials for engineering applications. However, conventional single-phase hexagonal close-packed (HCP) magnesium alloys exhibit poor cold workability and insufficient strength at room temperature, which limits their engineering applications. Compared to HCP structures with limited slip systems at room temperature, [...] Read more.
Magnesium alloys are essential lightweight materials for engineering applications. However, conventional single-phase hexagonal close-packed (HCP) magnesium alloys exhibit poor cold workability and insufficient strength at room temperature, which limits their engineering applications. Compared to HCP structures with limited slip systems at room temperature, body-centered cubic (BCC) structures possess 12 independent slip systems, enabling better plasticity. Therefore, Mg–Sc alloys with a dual-phase structure (HCP + BCC) exhibit superior plasticity compared to single-phase HCP magnesium alloys. In this study, the deformation behavior of dual-phase Mg-19.2 at.% Sc alloy was investigated, revealing its deformation characteristics and multiscale strengthening mechanisms. Experimental findings indicate that with the rise in annealing temperature, the volume fraction of the α phase progressively declines, while that of the β phase expands. Moreover, the grain size of the α phase first grows and then reduces, whereas the β phase grain size consistently enlarges. When the annealing temperature reaches 600 °C, the alloy exhibits an optimal strength–ductility combination, with an ultimate tensile strength of 329 MPa and an elongation of 20.5%. At this condition, the α phase volume fraction is 20%, while the β phase volume fraction is 80%, with corresponding grain sizes of 5.9 µm and 30.1 µm, respectively. Microstructural analysis indicates that the plastic incompatibility between the α and β phases induces significant heterogeneous deformation-induced (HDI) strengthening. Moreover, the unique bimodal grain size distribution, where the α phase grains are significantly smaller than the β phase grains, enhances the “hard phase harder, soft phase softer” heterogeneous structural effect, further amplifying the HDI strengthening contribution. This study provides new theoretical insights into multiphase interface engineering for designing high-performance dual-phase magnesium alloys. Full article
(This article belongs to the Special Issue Light Alloy and Its Application (2nd Edition))
Show Figures

Figure 1

15 pages, 3236 KB  
Article
Optimization and Finite Element Simulation of Wear Prediction Model for Hot Rolling Rolls
by Xiaodong Zhang, Zizheng Li, Boda Zhang, Jiayin Wang, Sahal Ahmed Elmi and Zhenhua Bai
Metals 2025, 15(4), 456; https://doi.org/10.3390/met15040456 - 18 Apr 2025
Cited by 4 | Viewed by 2176
Abstract
Roll wear significantly affects production efficiency and product quality in hot-rolled strip steel manufacturing by reducing roll lifespan and impeding the control of strip shape. This study addresses these challenges through a comprehensive analysis of the roll wear mechanism and the integration of [...] Read more.
Roll wear significantly affects production efficiency and product quality in hot-rolled strip steel manufacturing by reducing roll lifespan and impeding the control of strip shape. This study addresses these challenges through a comprehensive analysis of the roll wear mechanism and the integration of an elastic deformation model. We propose an optimized wear prediction model for work and backup rolls in a hot continuous rolling finishing mill, dynamically accounting for variations in strip specifications and cumulative wear effects. A three-dimensional elastic–plastic thermo-mechanical coupled finite element model was established using MARC 2020 software, with experimental calibration of wear coefficients under specific production conditions. The developed dynamic simulation software achieved high-precision wear prediction, validated by field measurements. The optimized model reduced prediction deviations for work and backup rolls to 0.012 and 0.004, respectively, improving accuracy by 5.3% and 3.25% for uniform and mixed strip specifications. This research provides a robust theoretical framework and practical tool for precision roll wear management in industrial hot rolling processes. Full article
(This article belongs to the Special Issue Advances in Metal Rolling Processes)
Show Figures

Figure 1

16 pages, 7169 KB  
Article
Prediction and Prevention of Edge Waves in Continuous Cold Forming of Thick-Wall High-Strength Welded Pipe
by Shengde Hu, Junhao Zhao and Yu Liu
Metals 2025, 15(4), 455; https://doi.org/10.3390/met15040455 - 18 Apr 2025
Cited by 1 | Viewed by 1321
Abstract
In order to reduce the edge waves and defects of the strip in the forming process and obtain better properties of the strip, it is urgent to establish a better flexible cold forming process. In this paper, a finite element model of the [...] Read more.
In order to reduce the edge waves and defects of the strip in the forming process and obtain better properties of the strip, it is urgent to establish a better flexible cold forming process. In this paper, a finite element model of the production line was established to simulate the forming process, and the effective stress distribution at the corner of the strip was simulated. The effect of cold working hardening was basically consistent with that calculated by the analytical method and tensile test results. A mathematical model of the maximum normal strain along the tangent direction of the strip’s outer edge of each pass was established. With the constraint conditions that the maximum value of the normal strain value of each pass is less than the critical value and the upper and lower limit of the horizontal value of each test factor, and the maximum value of the normal strain of each pass as the goal, the number of cold forming passes, the bending angle of each pass and the working roll diameter of the roll have been determined. The optimized process parameters were used in the simulations. No edge wave at the strip edge and no “Bauschinger effect” in forming before high-frequency induction welding was found. The method proposed in this paper can optimize the key process parameters before the production line is put into operation, minimize the possible buckling of the strip edge during the forming process, and reduce the possible loss caused by design defects. Full article
Show Figures

Figure 1

24 pages, 12327 KB  
Article
Thermomechanical Behavior and Experimental Study of Additive Manufactured Superalloy/Titanium Alloy Horizontal Multi-Material Structures
by Yanlu Huang, Tianyu Wang, Linqing Liu, Yang Li, Changjun Han, Hua Tan, Wei Zhou, Yongqiang Yang and Di Wang
Metals 2025, 15(4), 454; https://doi.org/10.3390/met15040454 - 17 Apr 2025
Cited by 4 | Viewed by 1466
Abstract
In laser powder bed fusion (LPBF) forming multi-material structures, the thermal stress mismatch caused by the different thermophysical properties of different materials can cause interface cracking and delamination defects. An in-depth investigation of the complex interfacial thermomechanical behavior caused by it is of [...] Read more.
In laser powder bed fusion (LPBF) forming multi-material structures, the thermal stress mismatch caused by the different thermophysical properties of different materials can cause interface cracking and delamination defects. An in-depth investigation of the complex interfacial thermomechanical behavior caused by it is of great significance for reducing stress concentration, suppressing defects, and enhancing interfacial bond strength. In this study, the effects of scanning strategy and interface shape on the temperature distribution, thermal cycling, and thermal stress distribution at the interface are analyzed by the IN718-Ti6Al4V horizontal multi-material thermally coupled finite element model. The results show that the 45° scanning strategy is helpful for the uniform distribution of energy and the reduction of overheating and residual stress concentration. The maximum residual stress at the interface in the Ti6Al4V/IN718 structure is more than 700 MPa, which is higher than that in the IN718/Ti6Al4V structure. The first formation of Ti6Al4V will likely lead to higher residual stresses at the interface, which are difficult to release in subsequent printing. The analysis of different interface shapes shows that different interface shapes change the crack formation and extension paths. This study contributes to an in-depth understanding of improving the strength of horizontal multi-material interfacial bonding at the LPBF forming. It provides a reference for optimizing LPBF forming of difficult-to-bond materials. Full article
Show Figures

Figure 1

14 pages, 5068 KB  
Article
Fatigue Threshold and Microstructure Characteristic of TC4 Titanium Alloy Processed by Laser Shock
by Sixin Zha, Heng Zhang, Jiong Yang, Zhen Zhang, Xinxin Qi and Qun Zu
Metals 2025, 15(4), 453; https://doi.org/10.3390/met15040453 - 17 Apr 2025
Cited by 5 | Viewed by 1555
Abstract
Laser shock peening (LSP) is an effective method to improve the fatigue property of metallic materials, and a thorough understanding of its strengthening mechanism is crucial for technology application. In this study, the LSP and fatigue tests of TC4 titanium alloy have been [...] Read more.
Laser shock peening (LSP) is an effective method to improve the fatigue property of metallic materials, and a thorough understanding of its strengthening mechanism is crucial for technology application. In this study, the LSP and fatigue tests of TC4 titanium alloy have been carried out. Combined with the structural characterization and the crystal plasticity finite element (CPFE) simulation, the relationship of stress distribution, microstructure evolution and fatigue performance caused by LSP is revealed. The results indicate that the material’s fatigue life initially increases and subsequently declines with the rising pulse energy. At the optimal pulse energy condition, the laser-shocked specimen demonstrates a 126% increase in fatigue life relative to the untreated specimen, which is accompanied by the higher residual compressive stress along the depth. Meanwhile, the grains become more refined with a uniform size change gradient, and the β phase content drops from 4.1% to 2.2%. Notably, regions with <1-21-0> crystal orientation can be selectively achieved. With the favorable <1-21-0> slip direction orthogonal to the applied fatigue loading axis, the generation and propagation of dislocations are effectively constrained, thereby significantly enhancing the material’s fatigue performance. The stress distribution and fatigue life in models with different grain sizes and phase contents are further analyzed by the CPFE method, showing good consistency with the experimental results. Theoretically, the excessively high pulse energy causes the transient temperature (1769 °C) to surpass the melting point (1660 °C), which can affect the recrystallization structure and stress distribution. Full article
(This article belongs to the Special Issue Laser Shock Peening: From Fundamentals to Applications)
Show Figures

Figure 1

15 pages, 5143 KB  
Article
Microstructure Evolution During Preparation of Semi-Solid Billet for 7075 Aluminum Alloy by EASSIT Process
by Yanghu Hu, Ming Chang, Shuqin Fan, Boyang Liu, Yongfei Wang, Shuangjiang Li, Chao Zhang, Peng Zhang and Shengdun Zhao
Metals 2025, 15(4), 452; https://doi.org/10.3390/met15040452 - 17 Apr 2025
Cited by 1 | Viewed by 1227
Abstract
The 7075 aluminum alloy semi-solid billet is prepared using the extrusion alloy semi-solid isothermal treatment (EASSIT) process. These findings indicate that as the isothermal time increases, there is a noticeable increase in both the average grain size (AGS) and shape factor (SF). The [...] Read more.
The 7075 aluminum alloy semi-solid billet is prepared using the extrusion alloy semi-solid isothermal treatment (EASSIT) process. These findings indicate that as the isothermal time increases, there is a noticeable increase in both the average grain size (AGS) and shape factor (SF). The relationship between the AGS, SF, and isothermal temperature is complex due to the influence of grain refinement mechanisms. The HV0.2 of isothermal samples decreased with the increase in isothermal temperature, which may be related to the increase in liquid-phase composition and AGS; Cu and Si show obvious segregation at grain boundaries and within intracrystalline droplets. The segregation of Cu and Si in the initially melted solid grains leads to the creation of intracrystalline droplets. The diffraction peaks of Al7Cu2Fe, Al6(Cu, Fe), Al2CuMg, and MgZn2 gradually decrease as the isothermal temperature increases. Due to the influence of the grain refinement mechanism and melting mechanism, the coarsening behavior of grains at high isothermal temperatures is more complicated, and the coarsening rate constant shows an increment followed by a subsequent decrease as the isothermal temperature rises. The coarsening kinetics of 7075 aluminum alloy in a semi-solid state can be described using the LSW equation of n = 3. Full article
Show Figures

Figure 1

23 pages, 10327 KB  
Article
Excessive Fe Contamination in Secondary Al Alloys: Microstructure, Porosity, and Corrosion Behaviour
by Helder Nunes, Rui Madureira, Manuel F. Vieira, Ana Reis and Omid Emadinia
Metals 2025, 15(4), 451; https://doi.org/10.3390/met15040451 - 17 Apr 2025
Cited by 4 | Viewed by 2051
Abstract
The characterisation of aluminium casting alloys with iron concentrations exceeding current standards is essential, as upcycling has recently become a significant concern in achieving a more circular economy. Secondary aluminium casting alloys often exhibit insufficient mechanical properties for load-bearing automotive applications due to [...] Read more.
The characterisation of aluminium casting alloys with iron concentrations exceeding current standards is essential, as upcycling has recently become a significant concern in achieving a more circular economy. Secondary aluminium casting alloys often exhibit insufficient mechanical properties for load-bearing automotive applications due to contamination with iron, mainly due to alloy mixing or remnants from end-of-life products during downcycling. This trend is anticipated to soon lead to a surplus of scrap. This study aims to fully understand the microstructural changes, intermetallic phase morphologies, and defect formation in AlSiMg alloy highly contaminated with Fe that exists in Al scraps and is detrimental for upcycling purposes. The investigation examined the AlSi7Mg0.3 alloy with Fe concentrations ranging from 0.1 to 3.8 wt.% Fe, employing thermodynamic simulations, hardness testing, quantitative image analysis, and corrosion tests. Among these alloys, the AlSi7Mg0.3-3.8Fe, containing the highest level of contamination, exhibited the most complex microstructure. This microstructure is characterised by the presence of two distinct Fe-rich intermetallic phases with diverse shapes and sizes: petal-like α′-Al8Fe2Si, long and thick β-Al4.5FeSi plaques, and very thin β-Al4.5FeSi needles. The significant growth in these phases with higher Fe concentration resulted in increases in hardness (15 HBW), porosity (1.39%), and corrosion rate (approximately 12 times). Full article
Show Figures

Graphical abstract

19 pages, 5584 KB  
Article
A Novel Model for Transformation-Induced Plasticity and Its Performance in Predicting Residual Stress in Quenched AISI 4140 Steel Cylinders
by Junpeng Li, Yingqiang Xu, Haiwei Wang, Youwei Liu and Yanlong Xu
Metals 2025, 15(4), 450; https://doi.org/10.3390/met15040450 - 16 Apr 2025
Cited by 1 | Viewed by 2087
Abstract
A better residual stress prediction model can lead to more accurate life assessments, better manufacturing process design and improved component reliability. Accurate modeling of transformation-induced plasticity (TRIP) is critical for improving residual stress simulation fidelity in advanced manufacturing processes. In this work, a [...] Read more.
A better residual stress prediction model can lead to more accurate life assessments, better manufacturing process design and improved component reliability. Accurate modeling of transformation-induced plasticity (TRIP) is critical for improving residual stress simulation fidelity in advanced manufacturing processes. In this work, a novel TRIP model is implemented within a finite element framework to predict residual stress in quenched AISI 4140 steel cylinders. The proposed model incorporates a dual-exponential normalized saturation function to capture TRIP kinetics. Residual stress characterization through X-ray diffraction (XRD) is employed to validate the predictive capability of the finite element model that couples the new TRIP model. In addition, the performance of the new TRIP model in predicting residual stress is compared with traditional TRIP models such as Leblond and Desalos model. Systematic comparison of finite element models incorporating different TRIP models reveals that traditional TRIP models exhibit more deviations from the measurements, while the new TRIP model demonstrates more accurate predictive accuracy, with both the axial and hoop residual stress distribution curves showing a better degree of agreement with XRD results. The findings of this study provide a reliable numerical simulation tool for optimizing the quenching process, particularly for improving fatigue life predictions of critical components such as gears and bearings. Full article
(This article belongs to the Special Issue Microstructure and Mechanical Behavior of High-Strength Steel)
Show Figures

Figure 1

15 pages, 2166 KB  
Article
A First-Principles Study on Defects in Zirconium Monoxide
by Hanyu Shi, Zhixiao Liu, Dong Wang, Tianguo Wei and Yi Zhao
Metals 2025, 15(4), 449; https://doi.org/10.3390/met15040449 - 16 Apr 2025
Cited by 1 | Viewed by 1471
Abstract
Zirconium monoxide (ZrO) plays a key role in the water-side corrosion resistance of Zr alloys as cladding materials in nuclear reactors. This study investigates the behavior of intrinsic defects in ZrO through first-principles calculations, and the influence of main alloying elements (Cr, Fe, [...] Read more.
Zirconium monoxide (ZrO) plays a key role in the water-side corrosion resistance of Zr alloys as cladding materials in nuclear reactors. This study investigates the behavior of intrinsic defects in ZrO through first-principles calculations, and the influence of main alloying elements (Cr, Fe, Nb and Sn) is also evaluated. We focus on the formation and migration properties of vacancies and interstitials. The results show that the formation energy of oxygen vacancy is 5.31 eV. The formation energy of interstitial Oi-tet in ZrO is −4.04 eV, indicating that Oi-tet can be formed spontaneously. Another interstitial oxygen Oi-mid with a formation energy of 0.03 eV can also be found in large quantities in ZrO. As for the migration properties, oxygen vacancy in ZrO without doping tends to diffuse along Path 2, and the diffusion barrier is 2.96 eV. Cr and Fe reduce the migration barriers of oxygen vacancies, while Nb and Sn increase them. In contrast, alloying elements generally hinder the formation of oxygen interstitials and increase their migration barriers, particularly in the case of Cr and Fe. The migration barrier of interstitial oxygen diffusion along Path a in pure ZrO is 2.91 eV. However, the migration barriers of interstitial oxygen in ZrO with Cr or Fe doping could increase to more than 4 eV. These findings provide critical insights into the role of alloying elements in modifying defect dynamics, offering a theoretical basis for improving the corrosion resistance and performance of zirconium alloys in practical applications. Full article
(This article belongs to the Section Computation and Simulation on Metals)
Show Figures

Figure 1

18 pages, 16904 KB  
Article
Analysis of Composition, Properties, and Usage Efficiency of Different Commercial Salt Fluxes for Aluminum Alloy Refining
by Boris Kulikov, Evgeniy Partyko, Aleksandr Kosovich, Pavel Yuryev, Yulbarskhon Mansurov, Nikita Stepanenko, Yuriy Baykovskiy, Dmitry Bozhko, Alexander Durnopyanov, Nikolay Dombrovskiy and Maxim Baranov
Metals 2025, 15(4), 448; https://doi.org/10.3390/met15040448 - 16 Apr 2025
Cited by 6 | Viewed by 3018
Abstract
One of the key problems in the billet and shaped casting of aluminum alloys is the presence of various undesirable inclusions and impurities in the melt, which can serve as stress concentrators in the finished product, as well as dissolved hydrogen, which contributes [...] Read more.
One of the key problems in the billet and shaped casting of aluminum alloys is the presence of various undesirable inclusions and impurities in the melt, which can serve as stress concentrators in the finished product, as well as dissolved hydrogen, which contributes to the formation of porosity. The interaction of aluminum with other gases produced by the combustion of fuel particles, oil, and paint materials brought into the furnace together with charge and scrap increases the amount of nitrides, oxides, carbides, and sulfides in the melt. Flux treatment is widely used as protection of aluminum alloys from oxidation and removal of impurities. The present paper reports the data of a comparative analysis of five widely used flux compositions based on sodium, potassium, and magnesium chlorides. The study covers the following aspects: chemical composition, moisture content, melting temperature and melting range, particle size distribution, and refining ability as measured by the change in Na, Ca, and H2 content after melt treatment. Full article
(This article belongs to the Section Metal Casting, Forming and Heat Treatment)
Show Figures

Figure 1

10 pages, 1181 KB  
Article
Prediction of Weld Geometry in Laser Overlap Welding of Low-Carbon Galvanized Steel
by Kamel Oussaid, Narges Omidi, Abderrazak El Ouafi and Noureddine Barka
Metals 2025, 15(4), 447; https://doi.org/10.3390/met15040447 - 16 Apr 2025
Cited by 2 | Viewed by 1949
Abstract
Accurate prediction of weld bead geometry is critical for optimizing laser overlap welding of low-carbon galvanized steel, as it directly affects joint quality and mechanical performance. Traditional finite element method (FEM)-based models provide reliable predictions but are computationally expensive and impractical for real-time [...] Read more.
Accurate prediction of weld bead geometry is critical for optimizing laser overlap welding of low-carbon galvanized steel, as it directly affects joint quality and mechanical performance. Traditional finite element method (FEM)-based models provide reliable predictions but are computationally expensive and impractical for real-time applications. This study presents an artificial neural network (ANN)-based predictive model trained on a combination of experimental data and validated FEM simulations to estimate key weld characteristics, including depth of penetration (DOP), weld bead width at the surface (WS), and weld bead width at the interface (WI). The ANN model was evaluated using various improved statistical metrics. Results demonstrated a strong correlation between ANN predictions and experimental measurements, with R2 values exceeding 95% for WS and DOP and 92% for WI, and mean errors below 7%. A comparative analysis between ANN, FEM, and experimental data confirmed the model’s reliability across different welding conditions. Additionally, ANN significantly reduced computational time compared to FEM while maintaining high accuracy, making it a practical tool for real-time process optimization. These findings highlight the potential of ANN models as efficient alternatives to conventional simulation techniques in laser overlap welding applications. Future improvements may involve integrating real-time sensor data and deep learning techniques to further enhance predictive performance. Full article
(This article belongs to the Special Issue New Welding Materials and Green Joint Technology—2nd Edition)
Show Figures

Figure 1

15 pages, 16740 KB  
Article
Effect of Stress on High-Temperature Molten Salt Corrosion of T91 Steel
by Kai Yan, Bingjie Shi, Shaohai Ma, Peihan Li and Zhongliang Zhu
Metals 2025, 15(4), 446; https://doi.org/10.3390/met15040446 - 16 Apr 2025
Cited by 4 | Viewed by 1465
Abstract
This paper reports the effects of different levels of tensile stress caused by quasi-static loading on the corrosion behavior of T91 steel in a molten salt environment. Corrosion tests were carried out in a molten salt environment with a NaCl:K2SO4 [...] Read more.
This paper reports the effects of different levels of tensile stress caused by quasi-static loading on the corrosion behavior of T91 steel in a molten salt environment. Corrosion tests were carried out in a molten salt environment with a NaCl:K2SO4:Na2SO4 ratio of 1:1:8 under different applied stresses. The corrosion behavior was investigated through measurements of the phase composition, oxide morphology, and elementary composition. The results indicated that a low tensile stress promotes the growth of chromium oxides near the substrate and enhances the corrosion resistance, but with an increase in stress, the chromium oxides that formed on the T91 steel are destroyed, accelerating the inward diffusion of sulfur into the substrate to increase corrosion. The mechanism underlying the effects of applied stress and temperature on the corrosion behavior of T91 steel is discussed. Full article
Show Figures

Figure 1

20 pages, 5550 KB  
Article
The Key Process Factors in Prestressed Laser Peen Forming and the Design of Parameters Through an Artificial Neural Network
by Jiayang Lyu, Yongjun Wang, Zhiwei Wang and Junbiao Wang
Metals 2025, 15(4), 445; https://doi.org/10.3390/met15040445 - 16 Apr 2025
Viewed by 918
Abstract
This research investigated the influences of some key factors in the prestressed laser peen forming (PLPF) process, namely, the plate thickness, the coverage ratio, and the prestress, on the deformation of 2024-T351 rectangular plates through experiments and numerical simulations. In the experiments, laser [...] Read more.
This research investigated the influences of some key factors in the prestressed laser peen forming (PLPF) process, namely, the plate thickness, the coverage ratio, and the prestress, on the deformation of 2024-T351 rectangular plates through experiments and numerical simulations. In the experiments, laser parameters, such as the laser energy and spot size, were kept unchanged, and prestress was applied through a piece of self-developed, four-point-bending equipment. The curvature radius of the samples was measured through a digital radius gauge. A corresponding finite element analysis (FEA) model of PLPF was also established to simulate the full procedure of the PLPF, including prebending, laser shock peening, and spring back. Based on the PLPF experimental results, an artificial neural network (ANN) was trained to help to design the process parameters, including the coverage ratio and the amount of prebending, according to the plate thickness and the target curvature radius. By adding a penalty term to the loss function, the amount of prebending (AOP) can be reduced as much as possible. The validation of the ANN was confirmed by three other PLPF experiments. Full article
Show Figures

Figure 1

16 pages, 5023 KB  
Article
Study on the Morphology, Wear Resistance, and Corrosion Resistance of CuSn12 Alloys Subjected to Machine Hammer Peening
by Ning Nie, Lu Yu, Shouwei Xu, Qiyuan Tian, Chenchen Ding, Lihong Su and Hui Wang
Metals 2025, 15(4), 444; https://doi.org/10.3390/met15040444 - 16 Apr 2025
Cited by 2 | Viewed by 1145
Abstract
In this study, machine hammer peening (MHP) was employed to enhance the surface properties of CuSn12 alloys, and the effects of different impact energies on the surface morphology, mechanical properties, and electrochemical properties were systematically investigated. The results revealed that the surface morphology [...] Read more.
In this study, machine hammer peening (MHP) was employed to enhance the surface properties of CuSn12 alloys, and the effects of different impact energies on the surface morphology, mechanical properties, and electrochemical properties were systematically investigated. The results revealed that the surface morphology evolution after MHP treatment exhibited unique non-monotonic characteristics, which significantly differed from the surface effects of conventional shot peening technology. Microhardness tests indicated that the surface hardness increased by 40% to approximately 150 HV after treatment with 3.5 J impact energy. Friction and wear tests demonstrated that specimens treated with 2.7 J impact energy exhibited optimal wear resistance, with an 82.7% reduction in volume wear loss, and the wear mechanism transformed from composite wear to mild fatigue wear. Electrochemical performance tests showed that corrosion resistance continuously improved as the impact energy increased from 2.7 J to 3.5 J, primarily attributed to grain refinement and passive film formation; however, treatment with 1.7 J impact energy resulted in decreased corrosion resistance. The results demonstrate that optimizing MHP process parameters can significantly enhance the overall properties of CuSn12 alloys, providing a novel technical approach for the surface-strengthening of this alloy. Full article
(This article belongs to the Section Metal Casting, Forming and Heat Treatment)
Show Figures

Figure 1

12 pages, 2985 KB  
Article
A Temperature Field Simulation of the Pressure Quenching Process of 18Cr2Ni2MoVNbA Gears
by Yu Wang, Ziheng Zhao, Jingang Liu, Xiaoxuan Tu and Sisi Liu
Metals 2025, 15(4), 443; https://doi.org/10.3390/met15040443 - 16 Apr 2025
Cited by 1 | Viewed by 995
Abstract
In this paper, gears made of 18Cr2Ni2MoVNbA steel were taken as the research object, and their cooling curves under different flow rate conditions were determined. By calculating the corresponding heat transfer coefficients, a finite element simulation method was used to study the temperature [...] Read more.
In this paper, gears made of 18Cr2Ni2MoVNbA steel were taken as the research object, and their cooling curves under different flow rate conditions were determined. By calculating the corresponding heat transfer coefficients, a finite element simulation method was used to study the temperature field distribution law of different flow rate combinations on the gears in the cooling process of pressure quenching. The results show that among the four representative flow combinations, the working condition 1 (A + (A − b − c) + (A − b − c)) has the smallest temperature difference between the inner and outer gears, and can better reduce the temperature difference between the inner and outer parts. Furthermore, in the pressure quenching process of gears, the appropriate extension of the quenching time can keep the quenched gear with a lower average temperature, while promoting the martensitic transformation on the surface of the workpiece. Comparing the simulation results with the experimental data, the reliability of the pressure-quenching temperature field model is verified, which can provide theoretical guidance for the optimization of the pressure quenching process. Full article
Show Figures

Figure 1

29 pages, 20381 KB  
Article
A Study on the Force/Position Hybrid Control Strategy for Eight-Axis Robotic Friction Stir Welding
by Wenjun Yan and Yue Yu
Metals 2025, 15(4), 442; https://doi.org/10.3390/met15040442 - 16 Apr 2025
Cited by 4 | Viewed by 3145
Abstract
In aerospace and new-energy vehicle manufacturing, there is an increasing demand for the high-quality joining of large, curved aluminum alloy structures. This study presents a robotic friction stir welding (RFSW) system employing a force/position hybrid control. An eight-axis linkage platform integrates an electric [...] Read more.
In aerospace and new-energy vehicle manufacturing, there is an increasing demand for the high-quality joining of large, curved aluminum alloy structures. This study presents a robotic friction stir welding (RFSW) system employing a force/position hybrid control. An eight-axis linkage platform integrates an electric spindle, multidimensional force sensors, and a laser displacement sensor, ensuring trajectory coordination between the robot and the positioner. By combining long-range constant displacement with small-range constant pressure—supplemented by an adaptive transition algorithm—the system regulates the axial stirring depth and downward force. The experimental results confirm that this approach effectively compensates for robotic flexibility, keeping weld depth and pressure deviations within 5%, significantly improving seam quality. Further welding verification was performed on typical curved panels for aerospace applications, and the results demonstrated strong adaptability under high-load, multi-DOF conditions, without crack formation. This research could advance the field toward more robust, automated, and adaptive RFSW solutions for aerospace, automotive, and other high-end manufacturing applications. Full article
(This article belongs to the Section Welding and Joining)
Show Figures

Figure 1

17 pages, 16535 KB  
Article
The Annealing Effect on Microstructure and Texture Evolution of Spun Al-Mg Alloy Tubes with Cross Inner Ribs
by Ke Yuan, Hongsheng Chen, Fei Chai and Zhuoran Wang
Metals 2025, 15(4), 441; https://doi.org/10.3390/met15040441 - 15 Apr 2025
Viewed by 1046
Abstract
Tubes with a cross inner rib exhibit significant internal residual stresses after spinning, which seriously affects their properties. The recrystallization and texture evolution of the tube at different annealing temperatures were investigated. The results showed that severe plastic deformation occurred during the spinning [...] Read more.
Tubes with a cross inner rib exhibit significant internal residual stresses after spinning, which seriously affects their properties. The recrystallization and texture evolution of the tube at different annealing temperatures were investigated. The results showed that severe plastic deformation occurred during the spinning process, with an average grain size of 10.94 μm and a residual compressive stress of −75 MPa. The annealing treatment increased the yield strength and elongation but decreased the ultimate tensile strength. At 290 °C, the residual stress decreased to −50.1 MPa, the grain size was refined to 5.9 μm, the β-fiber structure was retained, and excellent mechanical properties were obtained, with a yield strength of 106.22 MPa, an elongation of 42.43%, and an ultimate tensile strength of 378.55 MPa. At 350 °C, the grain size increased to 7.2 μm, the β-fiber structure disappeared, the mechanical properties decreased, and the residual stress was further reduced to −24.01 MPa. The fracture mode after annealing was a ductile fracture. Full article
(This article belongs to the Special Issue Plasticity and Metal Forming)
Show Figures

Figure 1

20 pages, 4851 KB  
Article
Corrosion Behavior of Mild Steel in Various Environments Including CO2, H2S, and Their Combinations
by Yuanguang Yue, Zhibiao Yin, Shiming Li, Ziyue Zhang and Qifu Zhang
Metals 2025, 15(4), 440; https://doi.org/10.3390/met15040440 - 15 Apr 2025
Cited by 7 | Viewed by 2892
Abstract
This paper investigates the corrosion behavior of mild steel in simulated oilfield wastewater under CO2, H2S, and their mixture. Using the electrical resistance method, the corrosion rates were monitored, and the influence of corrosion product films on overall performance [...] Read more.
This paper investigates the corrosion behavior of mild steel in simulated oilfield wastewater under CO2, H2S, and their mixture. Using the electrical resistance method, the corrosion rates were monitored, and the influence of corrosion product films on overall performance was analyzed. The results show that the CO2/H2S mixture causes the highest corrosion rate. Metallographic examination and X-ray diffraction (XRD) provided insights into the nature of the corrosion products formed on the steel surface. While hydrogen sulfide (H2S) does not prevent general corrosion, it plays a role in mitigating localized damage. Corrosion leads to deep, narrow pits that weaken the structural integrity without significant surface damage, making it more dangerous than uniform corrosion. In CO2-only environments, electrochemical reactions form protective oxide layers. However, H2S alters this process by forming iron sulfides (FeS), which are less protective but still act as a barrier against further corrosion. In mixed CO2/H2S environments, interactions between the gases complicate the corrosion dynamics, increasing medium aggressiveness and accelerating material degradation. Understanding these mechanisms is critical for the petroleum industry, where equipment is exposed to harsh conditions with varying CO2 and H2S concentrations. Recognizing the dual role of H2S—its inability to inhibit general corrosion but its effectiveness in reducing pitting—can guide material selection and inhibitor development. This knowledge enhances the durability and safety of oil and gas infrastructure by addressing the most damaging forms of corrosion. Full article
Show Figures

Figure 1

16 pages, 4641 KB  
Article
Optimizing the High-Temperature Oxidation Resistance of Nb-Si-Based Alloys by Adding Different Ti/Mo/Hf Elements
by Youwei Zhang, Zhongde Shan, Lei Luo, Zhaobo Li, Xiao Liang, Yanqing Su, Tao Yang, Yong Zang and Dehua Jin
Metals 2025, 15(4), 439; https://doi.org/10.3390/met15040439 - 14 Apr 2025
Cited by 4 | Viewed by 1258
Abstract
As a candidate material for turbine blades in aerospace engines, Nb-Si-based alloys have attracted significant research attention due to their high melting point and low density. However, their poor high-temperature oxidation resistance limits practical applications. Different alloying elements, including Ti, Mo, and Hf, [...] Read more.
As a candidate material for turbine blades in aerospace engines, Nb-Si-based alloys have attracted significant research attention due to their high melting point and low density. However, their poor high-temperature oxidation resistance limits practical applications. Different alloying elements, including Ti, Mo, and Hf, were added to Nb-Si-based alloys to study the microstructural evolution of alloys. Additionally, the oxidation behavior and the oxidation kinetics of different alloys, as well as the morphology and microstructure of oxide scale and interior alloys at 1523 K from 1 h to 20 h were analyzed systematically. The current findings indicated that the Mo element is more conducive to promoting the formation of high-temperature precipitates of β-Nb5Si3 than the Ti and Hf elements. Inversely, the Ti element tends to cause the transition from high-temperature-phase β-Nb5Si3 to low-temperature-phase α-Nb5Si3, while the Hf element improves the appearance of the γ-Nb5Si3 phase but inhibits the other phases and refines the primary Nbss effectively. Noteworthily, compared with the oxidation weight gain of different alloys, Nb-16Si-20Ti-5Mo-3Hf-2Al-2Cr alloy has excellent high-temperature oxidation resistance, in which the oxidation products are TiNb2O7, Nb2O5, SiO2, TiO2, and HfO2. It can be determined that in the oxidation process, the Ti element will preferentially form an oxide film of TiO2, thereby wrapping around the matrix phases, protecting the matrix, and improving the antioxidant capacity, while the Hf element can form an infinite solid solution with the matrix and consume the small number of oxygen atoms entering the matrix, so as to achieve the effect of improving the oxidation resistance. Full article
Show Figures

Figure 1

42 pages, 3137 KB  
Review
Preventing Catastrophic Failures: A Review of Applying Acoustic Emission Testing in Multi-Bolted Flanges
by Jan Lean Tai, Mohamed Thariq Hameed Sultan, Andrzej Łukaszewicz, Zbigniew Siemiątkowski, Grzegorz Skorulski and Farah Syazwani Shahar
Metals 2025, 15(4), 438; https://doi.org/10.3390/met15040438 - 14 Apr 2025
Cited by 9 | Viewed by 4001
Abstract
The integrity of multi-bolted flanges is crucial for ensuring safety and operational efficiency in industrial systems across sectors such as oil and gas, chemical processing, and water treatment. Traditional non-destructive testing (NDT) methods often require operational downtime and may lack sensitivity for early-stage [...] Read more.
The integrity of multi-bolted flanges is crucial for ensuring safety and operational efficiency in industrial systems across sectors such as oil and gas, chemical processing, and water treatment. Traditional non-destructive testing (NDT) methods often require operational downtime and may lack sensitivity for early-stage defect detection. This review examines acoustic emission testing (AET), a real-time monitoring technique for detecting acoustic waves generated by material defects. An analysis of 145 studies demonstrated AET’s effectiveness in detecting early-stage defects across various materials and industrial applications. Recent advances in sensor technology and signal processing have significantly enhanced AET’s capabilities. However, challenges remain regarding environmental noise interference and the need for specialized expertise. The review identifies knowledge gaps and proposes future research directions, including planned laboratory experiments to characterize defect signals in multi-bolted flange systems under different operational conditions. The findings position AET as a transformative solution for industrial inspection and maintenance, offering enhanced safety and reliability for critical infrastructures. Full article
(This article belongs to the Special Issue Nondestructive Testing Methods for Metallic Material)
Show Figures

Figure 1

Previous Issue
Next Issue
Back to TopTop