Next Article in Journal
Thermo-Mechanical Properties and Oxidation Behavior of FeCrAl Alloys with Si and Y Addition
Next Article in Special Issue
Influencing Factors and Mechanisms of Zinc Recovery from Electric Arc Furnace Dust via Microwave-Assisted Carbothermic Reduction
Previous Article in Journal
Selective Removal of Copper from Nickel–Copper Leach Solution by Electrolysis Cells with High Convection
Previous Article in Special Issue
Froth Flotation for Boehmite Recovery from a Water-Treatment Process Using Electrocoagulation
 
 
Due to scheduled maintenance work on our servers, there may be short service disruptions on this website between 11:00 and 12:00 CEST on March 28th.
Font Type:
Arial Georgia Verdana
Font Size:
Aa Aa Aa
Line Spacing:
Column Width:
Background:
Article

Selective Leaching Bastnaesite from Bayan Obo Rare Earth Concentrate and the Recovery Process of Rare Earths, Aluminum, Fluoride and Calcium

1
Institute of Rare Earths, Nanchang University, Nanchang 330031, China
2
State Key Laboratory of Bayan Obo Rare Earth Resources Research and Comprehensive Utilization, Baotou 014000, China
*
Author to whom correspondence should be addressed.
Metals 2025, 15(4), 431; https://doi.org/10.3390/met15040431
Submission received: 7 March 2025 / Revised: 22 March 2025 / Accepted: 10 April 2025 / Published: 12 April 2025
(This article belongs to the Special Issue Advances in Flotation Separation and Mineral Processing)

Abstract

Bayan Obo rare earth concentrate (BOREC) is composed of bastnaesite, monazite and fluorite, which is recognized as a refractory mineral in the world. In order to solve the problems of waste gas treatment and comprehensive utilization efficiency of BOREC decomposed by the current concentrated sulfuric acid roasting method (500–700 °C), H2SO4-HCl mixed acid assisted by aluminum salt was used to leach out the bastnaesite, and the optimal conditions were determined as follows: c(H+) = 7 mol/L, c(1/2H2SO4):c(HCl) = 5:1, c(Al2(SO4)3) = 0.25 mol/L, temperature 135 °C, liquid–solid ratio of 42:1, and reaction time 3 h. At this time, the leaching rates of concentrate and rare earth (La, Ce, Pr and Nd) were 74.08% and 71.95%, respectively, and the decomposition rate of bastnaesite was 96.83%. At the same time, the yield of calcium sulfate was 77.35% and the purity was 99.22%. Subsequently, sodium sulfate was added with m(Na2SO4):m(RE2O3) = 2.5:1, and the recovery rate of rare earth was 99.5%, and the purity of rare earth double salt product was 98.47% at a temperature of 90 °C. After most of the acid had been extracted with triethyloctanamine, sodium fluoride was added with a fluorine–aluminum ratio of 6:1, sodium carbonate was used to adjust pH = 3, and cryolite was obtained with a purity of 95.59% and an aluminum recovery rate of 99.6% at 90 °C. Since the separation of bastnaesite and monazite has been basically realized in the leaching stage, it is conducive to the docking of subsequent alkali decomposition and recovery of trisodium phosphate, realizing the comprehensive recovery of rare earth, fluorine, calcium, aluminum and phosphorus.

1. Introduction

Bayan Obo rare earth concentrate (BOREC) is a mixture of bastnaesite and monazite; the ratio of bastnaesite to monazite ranges from 9:1 to 1:1. Therefore, the comprehensive recovery of fluorine and phosphorus resources is of importance for the industrial production of rare earths (RE). However, due to the complexity in the treatment of waste gas and waste residue produced in the decomposition of both high-temperature concentrated sulfuric acid roasting and high concentration of alkali conversion methods, the comprehensive utilization target is far from being reached [1,2,3,4]. For example, the waste gas produced by the sulfuric acid decomposition method contains fluorine, sulfur, phosphorus, silicon, etc., and its subsequent comprehensive recovery and waste gas treatment are very difficult. The filtrate produced during alkaline decomposition contains both trisodium phosphate and sodium fluoride, and finally, it is treated as wastewater using lime to precipitate fluorine and phosphate, which not only does not recover fluorine and phosphorus resources due to the poor quality of by-products but also produces a large amount of solid waste. Therefore, the efficient recovery of fluorine and phosphorus has always been a difficult point in the comprehensive utilization of BOREC.
In order to realize the efficient leaching and comprehensive utilization of BOREC, some new processes for the decomposition of BOREC have been developed [4,5,6,7,8,9,10,11,12], such as roasting the ore in an inert and oxidative atmosphere followed by a hydrochloric acid countercurrent optimal solution leaching process, an alkali decomposition process, an acid–alkali combined low-temperature decomposition process and an acid–alkali two-step decomposition process. However, due to the complexity of the metallurgical extraction processes of BOREC, there are still many problems, such as the efficiency of mineral decomposition; the recovery rate and quality indicators of rare earth, fluorine, phosphorus and other resources; the saving of acid and alkali consumption in the whole process and the reduction in wastewater and residue [12].
In contrast, both the single bastnaesite and monazite metallurgical extraction processes are relatively simple, inexpensive and environmentally friendly [13]. If the bastnaesite and monazite are separated into two concentrates, respectively, and then leached or decomposed by two different processes, it is easy to meet the requirements of the comprehensive utilization of elements. Therefore, many works have been carried out around the beneficiation and separation of bastnaesite and monazite [13,14,15,16,17,18,19,20,21,22]. For example, Ren et al. [14] used benzoic acid as a collector and alum as an inhibitor to separate bastnaesite and monazite via flotation under acidic conditions. Alum had a selective flotation effect on monazite but had little effect on the flotation of bastnaesite; Sarvaramini et al. [15] and Wang et al. [16,17] found that the recovery of monazite was approximately 75% when citric acid was used as the inhibitor of bastnaesite, and monoalkyl phosphate was used as the collector. Moreover, the recovery of bastnaesite was only 15% at a citric acid dosage of 50 mg/L, which was favorable for the selective separation of bastnaesite and monazite. However, the separation efficiency and serious chemical contamination make it difficult to meet the requirements of their widespread industrial application [18,19,20,21,22,23].
Therefore, chemical beneficiation linked to wet selective leaching has attracted extensive attention. According to the leaching order of bastnaesite and monazite by acids, selectively leaching bastnaesite from monazite can be realized by tuning the acidity and other conditions. However, although increasing the acid concentration and reaction temperature can improve the leaching efficiency of bastnaesite, the leaching rate of monazite will also increase. Therefore, the selective leaching of bastnaesite at low acid concentrations and low temperatures is the key to solving this technical problem [24,25].
Based on the principle of chemical equilibrium, the leaching of bastnaesite can be enhanced by any reagent and reaction method that can reduce the concentration of hydrogen fluoride (HF) produced during the acid leaching process of bastnaesite. Among them, the formation of fluorine complexes is an effective way. For example, boric acid complex leaching was used to recover F from the bastnaesite leaching solution by preparing the by-product KBF4 [26].
In fact, iron, aluminum and boron can form stable complexes with fluorine. In particular, aluminum has a stronger coordination ability toward F [27]. Li et al. and Zhang et al. studied the separation of bastnasite from monazite by using a solution of HCl-AlCl3 for leaching bastnasite [28,29,30,31]. Accordingly, they used aluminum to complex fluorine in bastnaesite to promote the decomposition of BOREC and studied the complex leaching effect of HCl-AlCl3 and HNO3-Al(NO3)3 systems on BOREC. These methods proved effective in leaching a significant portion of bastnasite and addressed the challenge of dissolving bastnasite. The results show that under the optimal leaching conditions, the HCl-AlCl3 system can achieve a concentrate leaching rate (CLR) of 74.80% and a rare earth leaching rate (RELR) of 69.08% in BOREC [28,29]. The HNO3-Al(NO3)3 system can make the fluorine leaching rate (FLR) reach 97.59% [30]. They also used microwaves to facilitate the reaction and reduce the amount of HCl by 30%, AlCl3 by 46.7% and the reaction time by 16.67% under optimal conditions [31], achieving the separation purpose of bastnaesite from monazite.
Meanwhile, a green process involving selective mineral phase transformation by heating, followed by leaching to separate bastnaesite and monazite in BOREC to facilitate their subsequent decomposition or extraction, was proposed [13]. Under suitable conditions, bastnasite decomposed into REOF with a leaching efficiency of 93.7%, and monazite remained unchanged with a leaching efficiency of only 3.2%. Furthermore, the content of monazite in the leach residue was 91.2%.
Recently, we studied the leaching of bastnaesite from BOREC in the H2SO4-Al2(SO4)3 system, and the results showed that under the optimal conditions, the CLR in BOREC could reach 68.00%, the RELR could reach 66.91%, and the FLR could reach 94.42%. At the same time, N1923 was used to extract rare earth from leachate with an extraction rate of 97.38%, and then a rare earth chloride solution with a ratio of 0.008 for aluminum to rare earth was obtained after stripping with hydrochloric acid, which basically realized the separation of RE from Al [32]. The fluorine and aluminum in the raffinate are recovered in the form of cryolite, which realizes the recycling of RE, F and Al resources [33].
It is demonstrated that the leaching capacity of HCl for bastnaesite is higher than that of sulfuric acid, but HCl is easy to volatilize at higher temperatures and produces acid-containing waste gas. Moreover, in HCl media, the separation of REs from Al is more difficult. Although the REs can be recovered via sodium rare earth sulfate (SRES) double salt, the consumption of sulfate is high. Furthermore, the sulfate and calcium ions in the leachate can be precipitated in the form of calcium sulfate (CS) and will remain in the leaching slag with the undecomposed monazite, which will increase the alkali consumption of the subsequent alkaline decomposition of monazite and affect the purity of the trisodium phosphate by-product.
In this study, a small amount of HCl was added to the sulfuric acid and aluminum sulfate (AS) mixture solution to improve the leaching selectivity of bastnaesite. The RE in the leaching solution can be precipitated by sodium sulfate (SS) or extracted by N1923, achieving an efficient separation of REs from Al. Therefore, the effects of the ratio of c(H2SO4) to c(HCl), hydrogen ion concentration, liquid–solid ratio, Al concentration, reaction time, reaction temperature and other factors on the leaching rate (LR) of bastnaesite from BOREC with H2SO4-HCl-Al2(SO4)3 were studied, and the optimal leaching conditions and the kinetic equation of leaching bastnaesite were determined. Subsequently, the process conditions of respectively isolating calcium sulfate, SRES and cryolite were studied. It was found that the addition of HCl in the leaching solution can avoid the precipitation of calcium sulfate in the acid leaching process. Excellent conditions are provided for the recovery of calcium sulfate from the filtered leachate by the addition of seed crystals.

2. Materials and Methods

2.1. Composition Analysis Results of BOREC

BOREC was provided by the Baotou Research Institute of Rare Earths (Baotou, China). The determination of RE content in BOREC was carried out by the ammonium ferrous sulfate cerium method, and the F ion test was performed by the selective fluoride ion selective electrode method. The contents of total RExOy, F, P, Th, Fe and Si were determined to be 52.81%, 9.40%, 3.78%, 0.15%, 2.99% and 0.27%, respectively. Meanwhile, the bastnaesite content is 51.83%, of which the F content is 4.50%, the monazite content is 20.05%, and its P content is 2.64%, the ratio of bastnaesite to monazite was determined to be 73.5:26.5. The F content in CaF2 is 4.90%, and the P content in calcium phosphate is 1.14%.
The ammonium ferrous sulfate cerium method: take an appropriate amount of the sample; in a phosphoric acid medium, perchloric acid oxidizes cerium(III)(Ce3+) to cerium(IV)(Ce4+). In a dilute sulfuric acid medium, add urea to eliminate the interference of manganese; using o-phenylanthranilic acid as an indicator, titrate the Ce4+ in the test solution with a standard ammonium ferrous sulfate titration solution; the Ce4+ is reduced to Ce3+; calculate the content of cerium based on the consumption of the standard ammonium ferrous sulfate solution.
The selective fluoride ion selective electrode method: take 1–5 mL of the solution; add an appropriate amount of buffer solution (TISAB), respectively; insert the fluoride ion selective electrode and the saturated calomel electrode; substitute the potential difference formed by the two electrodes into the Nernst equation; calculate the concentration of fluoride ions in the sample according to the standard curve.

2.2. Leaching BOREC by H2SO4-HCl-Al2(SO4)3

Different concentrations of sulfuric acid and their mixed solutions with aluminum sulfate and HCl were prepared and used to leach BOREC according to the set liquid–solid ratio; the leaching experiments were carried out in a three-necked flask respectively connected to the stirrer, the sampling port and the evolved gas absorption solution (sodium hydroxide solution). First, the set concentration and volume of the leaching solution and BOREC were added to the three-necked flask, and then they were placed in the oil bath, stirred and heated to the set temperature to start the timing. The sampling intervals for the absorption solution and the leaching solution are controlled at 15 min and 30 min, respectively, enabling the determination of the amount of hydrogen fluoride (HF) escaping and the concentration of rare earth (RE).
The optimization of leaching conditions involved the effects of sulfuric acid concentration, aluminum sulfate concentration, liquid–solid ratio, reaction temperature, reaction time, etc., on the concentrate leaching rate (CLR), RE leaching rate (RELR) and F leaching rate (FLR) of BOREC. With the obtained optimal experimental conditions, the relationship between the leaching rate and time (t) and the kinetic equation of the leaching process were determined (the temperature interval is 30 min). The calculation methods of concentrate leaching rate and RE leaching rate of BOREC are as follows:
CLR = [(W − W1)/W] × 100%; RELR = [CV/(CV + W1Q)] × 100%
where W-weight of BOMREC/g; W1-weight of leaching slag/g; C-Concentration of cerium in leaching solution/gL−1; V-volume of leachate/L; Q-Cerium content in leaching slag/%. C = V1C1/Vm;V1 is the volume of ammonium ferrous sulfate consumed during titration, C1 is the concentration of ammonium ferrous sulfate and Vm is the volume of leaching solution taken out during titration; Q = [V2C1/m] × 100%; V2 is the volume of ammonium ferrous sulfate consumed during titration, C1 is the concentration of ammonium ferrous sulfate and m is the weight of the leaching slag taken out during titration.

2.3. Isolation of Calcium Sulfate, Sodium Rare Earth Sulfate and Cryolite

The process flow diagram of leaching and enrichment separation as well as the isolation of calcium sulfate (CS), sodium rare earth sulfate (SRES) and cryolite is shown in Figure 1. The leaching slag after filtration contains monazite, which is linked to an alkali treatment process, and the filtrate is allowed to isolate calcium sulfate under seeding with crystals. Then, sodium rare earth sulfate was isolated by sodium sulfate at a temperature of 90 °C, filtrated while hot and washed with 5% sodium sulfate. The filtrate was fixed to a fixed volume, and the cake was dried and weighed. The RE content in the filtrate and filter cake was determined by ICP-MS, and the recovery of REs in the leachate was calculated as follows:
R = w m w m + C 1 V 1 × 100 %
where R is the recovery rate (%) of RE in the leaching solution; m is the total mass of the precipitate (g); w is the RE content in the precipitation (%); C1 is the concentration of RE in the filtrate (g·L−1); V1 is the total volume of filtrate (L).
Finally, cryolite was precipitated by NaF after the residual acid in the filtrate was extracted by an organic phase with volume ratio of triethyloctanamine, isooctanol and kerosene at 8:5:7 and tuned pH at 3 with sodium carbonate solution. After stirring for a predetermined time, the isolated solid was filtered and washed, dried at 80 °C and weighed. The concentration of Al ions in the filtrate and filter cake was determined by ICP-MS, and the concentration of F ions was determined using the fluoride ion selective electrode method. The formula for calculating the recovery rate of Al ions R1 and the recovery rate of F ions R2 in solution is as follows:
R 1 = 1 C 2 V 2 C 3 V 3 × 100 %              R 2 = 1 C 4 V 2 C 5 V 3 × 100 %
R1 indicates the recovery of Al in solution (%); R2 indicates the recovery of F in solution (%); C2 and C3 indicate the concentration (g·L−1) of Al ions in the filtrate and the original solution; V2 and V3 are the total volume (L) of filtrate and the original solution; C4 and C5 are the concentration (g·L−1) of F ions in the filtrate and the original solution.
The extracted sulfuric acid in the organic phase of triethyloctamine can be scrubbed with water and recycled to prepare sulfuric acid solution; sodium rare earth sulfate undergoes alkali conversion and then preferential dissolution with HCl to prepare a high-concentration RECl3 solution, and the residue is combined with monazite and treated by alkali to prepare RE chloride and trisodium phosphate.

2.4. Other Analytical Methods

The sulfate concentration was tested by barium chromate turbidimetry: Under acidic conditions, barium chromate reacts with sulfate ions to form barium sulfate precipitate and chromate ions. The chromate ions in the solution establish a precipitation–dissolution equilibrium with the excess solid barium chromate. The turbidity of the solution, measured at 420 nm, serves as an indirect indicator for determining the concentration of sulfate ions.
The chloride concentration was determined by silver nitrate turbidimetry: Chloride ions react with silver nitrate to form silver chloride precipitate. The precipitate forms a suspension in the solution, and the turbidity of the suspension is proportional to the chloride ion concentration. By measuring the turbidity of the solution at 680 nm and comparing it with the turbidity of standard solutions with known chloride ion concentrations, the chloride ion content in the test solution can be quantitatively determined.
Determination of free acids in metal-containing solutions using fixed pH method: Ca-EDTA complexing agent was added to the leaching solution to chelate metal ions, thereby eliminating their interference in the determination of free acids. The free acids in the solution were then titrated with a standardized strong base solution. The titration endpoint was determined by monitoring the pH change, and the titration was stopped when the pH reached a fixed value of 4.5. The concentration of free acids was calculated based on the volume of the strong base solution consumed.

3. Results and Discussion

3.1. Inhibition of Al Coordination on HF Evolution and REF3 Precipitation

Figure 2a shows the effect of the addition and concentration of aluminum sulfate on the evolution of HF over time in a mixed leaching BOREC with a sulfuric acid to HCl equivalent ratio of 5:1. As can be seen, almost no HF escapes in the first 15 min when leaching with mixed acids alone, which proves that the HF decomposed at this stage can be absorbed by the aqueous solution and does not escape. HF evolution began after 15 min, and the general trend was to increase sharply at first and then flatten, reaching a stable state after 165 min. When 0.05 mol/L of aluminum sulfate was added to the mixed acid, almost no HF escaped during the first 120 min reaction period, which proved that the HF generated at this time could be coordinated by Al and stabilized in solution. Only after 120 min of the reaction did a small amount of HF escape, which proved that the Al ions in the solution had been completely complexed by fluoride ions, and the HF formed during the reaction could also escape. Only after 180 min of the reaction did the amount of HF no longer increase. When the concentration of aluminum sulfate in the mixed acid is increased to 0.15 mol/L, no HF escapes during the whole reaction, which proves that the concentration of Al ions at this time is high and can be coordinated with all the formed HF and be stabilized in solution. In the current acid decomposition process, the escape of HF needs to be absorbed by special equipment and methods, and when HF and sulfur oxides escape at the same time, they will undergo a redox reaction, generate solid sulfur, block the gas path and cause safety accidents. The coordination stability of AS can avoid this problem.
On the other hand, the presence of free HF in the leached RE solution will produce REF3 precipitation and lead to RE loss. Figure 2b compares the variation of the RE precipitation loss rate with or without aluminum sulfate in HF solution containing REs and proves that RE and HF can form precipitation, and the loss rate increases with time. When aluminum sulfate is added, the precipitate formed by HF and RE at the beginning will slowly dissolve, which is the coordination between F and Al, resulting in the dissolution of the precipitated REF3.
REFCO3 + 3H+ = RE3+ + CO2 + H2O + HF
6HF + Al3+ = [AlF6]3- + 6H+
2REF3 + Al3+ = [AlF6]3- + 2RE3+

3.2. Optimization Conditions for Leaching BOMREC by H2SO4-HCl-Al2(SO4)3

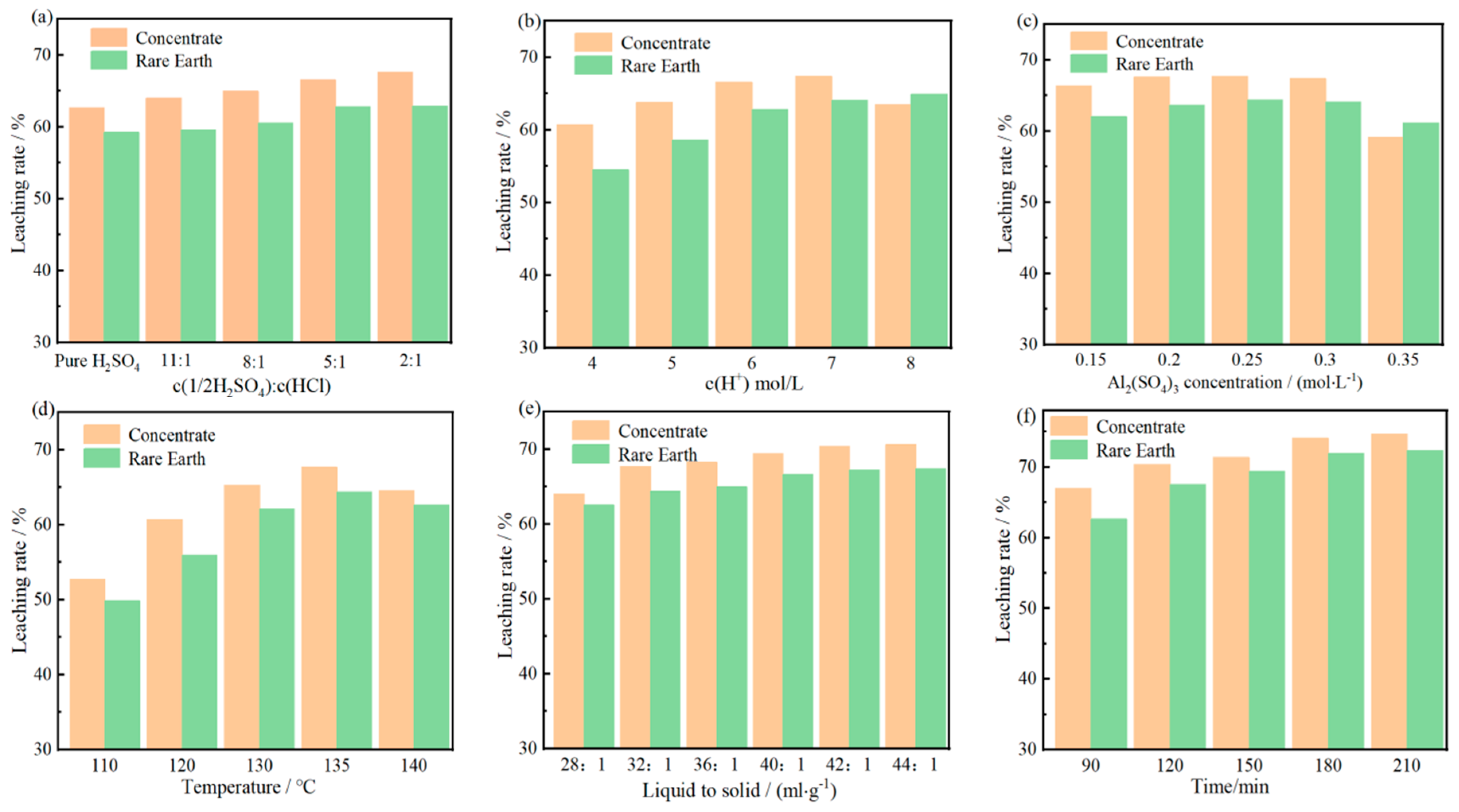
Figure 3 shows the variation curves of the concentrate leaching rate and RE leaching rate measured under fixed conditions while changing one condition in the concentration ratio of sulfuric acid to HCl, acid concentration, aluminum sulfate concentration, liquid–solid ratio, reaction temperature and time. The results show that increasing the proportion of HCl in the mixed acid, prolonging the reaction time and increasing the liquid–solid ratio will make the concentrate leaching rate and RE leaching rate continue to increase, which generally increases rapidly at the beginning and tends to be stable in the later stage. With the increase in total acidity, aluminum sulfate concentration and temperature, the concentrate leaching and RE leaching rate first increased and then decreased, and a maximum value appeared. Especially when the concentration of aluminum sulfate exceeds 0.3 mol/L and the temperature exceeds 135 °C, the concentrate leaching and RE leaching rate decreases sharply. The decrease in the concentrate leaching and RE leaching rate due to increased temperature can be explained by the decrease in volume due to water evaporation and the low solubility of RE sulphate. However, the concentrate leaching and RE leaching rate decreased due to the increase in the aluminum sulfate concentration, and the solubility of RE sulfate was caused by the homoionic effect shadow of aluminum sulfate.
Considering the production cost and energy equipment and other factors, under the premise of ensuring the concentrate leaching rate and RE leaching rate, the optimal experimental conditions for Al2(SO4)3-assisted H2SO4-HCl mixed acid leaching of BOREC were as follows: c(1/2H2SO4): c(HCl) = 5:1, c(H+) = 7 mol/L, AS concentration 0.25 mol/L, liquid–solid ratio 42:1, temperature 135 °C and time 3 h. Triplicate experiments were performed under these optimized conditions; the CLR were 74.12%, 73.98% and 74.13%, respectively, and the average value was 74.08%. The RELR were 71.99%, 71.81% and 72.04%, respectively, and the average value was 71.95%. Under the same acidity, temperature, AS concentration, liquid–solid ratio and reaction time, when only H2SO4 was used without the addition of HCl, the concentrate leaching rate and RE leaching rate were 71.35% and 70.39%, respectively. The leaching rates of bastnaesite in BOREC are calculated to be 96.84% for mixed acid and 94.74% for pure sulfuric acid within the temperature range of 110–140 °C, which proves that the addition of HCl can increase the decomposition rate of bastnaesite by 2.1%.

3.3. Comparison of Composition, Phase and Electron Microscope Photos of BOREC and Its Leaching Slag

XRD and SEM images of BOREC and its leaching slag under optimal conditions are shown in Figure 4. XRD images of BOREC prove the existence of bastnaesite, monazite and fluorite, among which the peak of bastnaesite is the strongest, indicating that the main component of BOREC is bastnaesite. In the XRD pattern of the leaching slag, the characteristic peaks of monazite become stronger, and the peaks of bastnaesite become smaller or even disappear, and the characteristic peaks of fluorite are almost invisible, proving that the leaching slag is mainly monazite phase, while fluorite and bastnaesite have been basically completely leached. Comparing the SEM images of the raw ore and the leaching slag, it can be seen that the particle size of BOREC is larger than that of the leaching slag, and the surface is smoother. The particles of the leaching slag are smaller, there are traces of erosion on the surface, there are holes and unevenness, and the reaction traces are obvious. The composition analysis results of BOREC and leaching slag showed that the CaO content decreased from 11.46% to 0.47% and F from 9.88% to 0.55%, respectively, showing a significant decrease. The calculated F leaching rate was 94.43%. Meanwhile, the P content (P2O5) was increased from 9.6% to 21.89%, indicating that the monazite content in the leaching slag accounted for the vast majority, indicating that the goal of separating bastnaesite from monazite was achieved.

3.4. Kinetics of Leaching Bassanite from BOREC by H2SO4-HCl-Al2(SO4)3

Figure 5a shows the curve of the RE leaching rate with time at different temperatures, and the RE leaching rate increases with the increase in the reaction time. At 60 min of reaction, the RE leaching rate at 110 °C and 135 °C were 47.56% and 56.84%, respectively, indicating that increasing the reaction temperature could significantly increase the RE leaching rate, especially at the beginning stage of the reaction. With the extension of time, the variation of the RE leaching rate is decreasing, and the reaction gradually tends to be balanced. The RE leaching rates of 150 min and 180 min at 135 °C were 70% and 71.99%, respectively, which did not increase much. At 110 °C, the RE leaching rate increased from 60.94% to 64.5%.
According to the new shrinking core kinetic reaction model, assuming that the mineral particles are spherical, the initial radius is r0, the distance from the interface to the center at time t is L, and the radius of the particles after the reaction is r, r = r0-L is obtained, and the following shrinking core kinetic reaction model can be derived, and assuming that mass transfer and diffusion at the product layer interface affect the reaction rate together, the following nuclear contraction kinetic reaction model can be derived [29]:
1 3 ln 1 x + 1 x 1 3 1 = K t
where x is the reaction conversion rate, t is the reaction time, K is the reaction rate constant, ln is the natural logarithmic function, and (1 − x) represents the proportion of the unreacted substance.
The main factors affecting the reaction rate constant K are hydrogen ion concentration, Al2(SO4)3 concentration and liquid–solid ratio (L/S). According to the Arrhenius equation, K can be written as:
K = k 0 H + a A l 2 S O 4 3 b [ L S ] c e E a R T
So, the kinetic equations can also be written:
1 3 ln 1 x + 1 x 1 3 1 = k 0 H + a A l 2 S O 4 3 b [ L S ] c e E a R T t
where k0 is the Arrhenius constant, R is the molar constant of the gas 8.314 (J/mol·K), Ea is the activation energy, and a, b, and c are the reaction orders of each factor.
The results of the RELR are substituted into the above kinetic equation, the relationship between 1/3ln(1 − x) + [(1 − x) −1/3 − 1] and t is obtained, the kinetic curve of the RE leaching process is obtained, and the results are shown in Figure 5b. The linear correlation coefficient R2 is greater than 0.97, indicating that the linear fitting relationship is good, and this kinetic model can be used to describe the kinetic process of RE leaching. Figure 5c is a graph of the rate constant vs. temperature, and the calculated activation energy is 25.75 kJ/mol using its linear slope. Compared with the pure sulfuric acid leaching, the activation energy of RE leaching under this system is lower, indicating that the addition of HCl is conducive to promoting the occurrence of the reaction and improving the RE leaching rate.

3.5. Precipitation of Calcium Sulfate

According to the temperature-dependent solubility curve of calcium sulfate, its solubility at 0 °C and in boiling water represents the minimum points, reaching its maximum value at 48 °C [34]. At the same time, the precipitation of calcium sulfate is greatly influenced by kinetic factors, and it is prone to supersaturation at higher temperatures without immediately precipitating. And when there are a large number of chloride ions in water, the solubility of calcium sulfate will be significantly increased [35]. Fluorite and apatite in BOREC are easily dissolved and leached by acid. Adding HCl can prevent calcium sulfate from entering the slag and affect the purity of monazite. The composition analysis results of the leaching residue and raw ore mentioned above also prove that the addition of HCl can ensure that the vast majority of calcium enters the solution, and there is very little calcium sulfate in the leaching residue.
Calcium sulfate has a wide range of applications, including construction, agriculture, petrochemicals and other fields, and is an indispensable industrial product. The leaching solution of BOREC by H2SO4-HCl-Al2(SO4)3 solution will precipitate calcium sulfate at room temperature, but it requires a long time. Adding calcium sulfate seeds to this metastable solution can reduce the energy barrier of crystal nucleation, accelerate the precipitation of calcium sulfate and achieve the goal of calcium removal. Figure 6a compares the precipitation efficiency of calcium sulfate under various conditions, including standing at room temperature and in an ice water bath, and adding different amounts of calcium sulfate as a seed crystal. Then, the effects of adding 0.05%, 0.1% and 0.25% calcium sulfate dihydrate seeds on the precipitation rate of calcium ions in the leaching solution were investigated at room temperature. The calcium ion concentration in the solution was measured after 1 day and 2 days of standing, and the precipitation rate was calculated.
The results show that using dihydrate calcium sulfate with relatively low solubility to induce the formation of calcium sulfate can accelerate the precipitation of calcium sulfate in solution, achieving the goal of calcium removal. When left to stand for 1 day, the calcium ion precipitation rate under normal temperature and ice water bath conditions were 56.83% and 64.11%, respectively. The precipitation rate of calcium ions with 0.05%, 0.1% and 0.25% seed crystals were 72.87%, 75.5% and 74.68%, respectively. The best effect is achieved with a 0.1% seed crystal addition. Extending the settling time to 2 days resulted in varying degrees of increase in the precipitation rate of calcium ions, with the most significant increase observed at room temperature, reaching 8.67%. Under the condition of adding 0.1% seed crystals, the precipitation rate of calcium ions was 77.35%, an increase of only 1.85%. Adding seed crystals to induce the formation of calcium sulfate will result in faster precipitation and a higher precipitation rate of calcium sulfate. The solution filtered did not precipitate during further storage. The XRD patterns of calcium sulfate precipitation under different conditions are shown in Figure 6b. The crystallinity of calcium sulfate obtained under room temperature and ice water bath conditions is poor, while the calcium sulfate induced by adding seed crystals has good crystallinity.
The ICP-MS determination results of RE content in calcium sulfate are shown in Figure 6c. As the amount of added seed crystals increases, the RE content in calcium sulfate continues to decrease, indicating that the RE ions contained in the calcium sulfate induced by seed crystals are less, which can reduce the loss of REs and increase the purity of calcium sulfate. The XRF measurement results of the calcium sulfate product induced by the addition of 0.1% seed crystals are 25.4% calcium, 19.01% sulfur, 54.81% oxygen, 0.13% lanthanum, 0.36% cerium and 0.17% neodymium; no impurities such as Al, Cl and F were detected. The purity of calcium sulfate products is 99.22%, and the impurities are mainly REs, with a content of 0.66%. The electron microscopy image of calcium sulfate is shown in Figure 6d. The calcium sulfate induced by the addition of seed crystals presents a relatively regular sheet-like structure, which is similar in shape to the calcium sulfate seed crystals themselves. However, the shape of the calcium sulfate generated by standing at room temperature and in an ice water bath is not regular enough and tends to accumulate.

3.6. Precipitation of Sodium Rare Earth Sulfate (SRES) Double Salt

After removing calcium by precipitating from the leachate of H2SO4-HCl-Al2(SO4)3, the RE is recovered by the SS precipitation method. Figure 7 shows the variation curves of the RE precipitation rate obtained by changing the SS dosage ratio, reaction time and reaction temperature under fixed other conditions.
From Figure 7a, it can be seen that the RE recovery rate increases with the increase in the ratio of m (Na2SO4) to m (RE2O3). When the ratio of m (Na2SO4) to m (RE2O3) exceeds 2.5:1, the RE recovery rate no longer increases. Choosing m (Na2SO4): m (RE2O3) = 2.5:1 as the optimal condition, the RE recovery rate at this time is 96.18%. The results in Figure 7b indicate that as the reaction time increases, the RE recovery rate continuously increases. However, from a reaction time of 10 min to 50 min, the RE recovery rate only increases from 96.02% to 96.21%, which is less than 0.2%. This indicates that the reaction to generate sodium rare earth sulfate is very rapid, and the time to reach equilibrium is short. Therefore, choosing a reaction time of 30 min as the optimal condition resulted in a RE recovery rate of 96.18%.
The curve of the RE recovery rate changing with reaction temperature is shown in Figure 7c. As the reaction temperature increases, the RE recovery rate continues to rise and reaches equilibrium at 90 °C. With a further increase in the reaction temperature, the RE recovery rate remains almost unchanged. In acidic solutions, the solubility of sodium rare earth sulfate decreases with increasing temperature. Therefore, a high reaction temperature is beneficial for reducing the solubility of sodium rare earth sulfate in the leaching solution, thereby increasing the recovery rate of REs. Therefore, the optimal reaction temperature was selected as 90 °C, and the RE recovery rate at this time was 99.5%, an increase of about 3% compared to 96.18% at 20 °C.
Under the optimal conditions with m(Na2SO4):m(RE2O3) = 2.5:1, a reaction time of 30 min and a reaction temperature of 90 °C, the XRF measurement results of dry SRES product are Ca1.38%, S17.98%, O 35.44%, La10.84%, Ce18.85%, Pr1.71%, Nd5.83%, Al0.02%, Cl0.02%, Na7.17% and Th0.11%. The purity of sodium rare earth sulfate is 98.47%. The main impurities in SRES are Ca and a small amount of Th, while the content of Al, F and Cl is very low, proving that the precipitation method of sodium rare earth sulfate can effectively separate REs from the leaching solution containing Al, F and Cl. The XRD pattern of the sodium rare earth sulfate proves that its main phase is sodium rare earth sulfate, with a small amount of calcium sulfate phase present, which corresponds to the results of XRF. From Figure 8, it can be seen that the morphology of sodium rare earth sulfate is regular and spindle-shaped, with a relatively uniform particle size below 2 µm.

3.7. Precipitation of Cryolite

The solution after the precipitation of REs as sodium rare earth sulfate mainly contains Al (5330 ppm), F (719 ppm), Na (1058 ppm) and H (2406 ppm), as well as a small amount of REs (11 ppm), but no U or Th. The best way to handle this solution is to allow it to precipitate cryolite. According to the precipitation conditions of cryolite [34], it is necessary to adjust the ratio of F to Al and Na in the solution as well as the acidity of the solution.
Cryolite is prone to precipitation under weakly acidic conditions, so it is necessary to choose a suitable alkali to adjust the pH of the solution. We compared the use of sodium hydroxide and sodium carbonate to adjust the pH, reacted for 1 h under the condition of n (F): n (Al3+) = 6, then cooled to room temperature and filtered. It was found that when the pH was adjusted to above 3 with sodium hydroxide, the color of the product turned to yellow and deepened with increasing pH. When adjusting the pH with sodium carbonate, the color of the product remained white. The XRD patterns of the obtained products are shown in Figure 9a, which proves that adjusting the pH with sodium hydroxide will result in impurities such as SS in the generated cryolite, reducing the purity of the cryolite product. The product obtained by adjusting the pH with sodium carbonate does not contain a sodium sulfate phase, but its crystallinity is not as good as that of sodium hydroxide. Figure 9b shows the XRD patterns of the precipitate products obtained under different F:Al ratios, which demonstrate that they are all cryolite structures. Cryolite synthesized under different F:Al ratios is relatively pure and does not contain other phases, but the crystallinity of cryolite gradually deteriorates with the increase in the F:Al ratio.
Figure 10 shows the changes in Al and F precipitation rates in the solution after cryolite precipitation, calculated by changing the reaction temperature, the reaction time and the pH under the conditions of a F:Al ratio of 6:1 and a stirring speed of 150 r/min. It can be seen that the precipitation rate of Al is above 99%, while the precipitation rate of F varies significantly with changes in conditions, indicating that the F content in the product is also increasing, which affects the quality of the product. As shown in the figure, increasing the temperature, prolonging the reaction time and controlling the pH of the solution at around 3 resulted in the highest F recovery rate, approaching 40%. The optimal pH for the complexation of F and Al is between 4 and 6; as the pH of the solution increases, the OH in the solution also increases, leading to competitive coordination between F and OH, hindering the complexation of F with Al and resulting in a decrease in the recovery rate of F in the solution. To increase the pH of the solution, more sodium carbonate needs to be added, and cryolite will react with sodium carbonate as follows:
Na3AlF6 + 2Na2CO3→NaAl(CO3)2 + 6NaF
Cryolite has a certain solubility in weakly acidic solutions. To ensure complete precipitation of Al ions, excess F is required, so the utilization rate of F is not high. To improve the utilization rate of F, it is necessary to increase the concentration of F and Al in the solution, for example, using a higher concentration of sodium carbonate solution to adjust the pH. For this purpose, the recovery rates of F were compared using 1 mol/L, 2 mol/L and 2.5 mol/L sodium carbonate solutions to adjust the pH, which were 39.64%, 41.93% and 50.24%, respectively.
Another way to enhance the F recovery rate is to extract excess acid from the leachate using triisooctylamine in the organic phase. Compared with directly neutralizing excess acid in the solution with alkali, extracting and recovering excess acid from the solution with triisooctylamine and regenerating the organic phase can reduce the consumption of alkali and the loss of acid. Consequently, the majority of the acid is initially extracted from the leachate utilizing triisooctylamine, followed by pH adjustment employing sodium carbonate.
Figure 11a shows the comparison of the extraction efficiency of various acids using triisooctylamine from a simulated solution with an equivalent hydrogen ion concentration of 2 mol/L, c (1/2H2SO4): c (HCl) = 5:1, and c (F) = 0.1 g/L, with and without the addition of 0.1 mol/L Al2 (SO4)3 and a phase ratio of 1, 2, 3 and 4. The results showed that the extraction rate of acids increased with the increase in the phase ratio; however, no significant increase was observed when the ratio was 2 or above. In the absence of Al, the triisooctylamine extraction ability of HCl is the strongest, followed by sulfuric acid, and the worst is HF. After adding Al, HF is no longer extracted. Figure 11b,c show the extraction results of the actual solution. The extraction pattern is similar to Figure 11a.
The selection phase ratio is 2; under this condition, the acid concentration in the solution is 1.094 mol/L, which represents a 54.53% decrease compared to the initial concentration of 2.406 mol/L. The acid extracted by triisooctylamine is a mixed acid consisting of HCl and H2SO4, with a notably stronger extraction capability for HCl; as a result, the concentration of Cl ions in the solution is effectively reduced. The acid in the organic phase can be scrubbed with water to obtain a 1–2 mol/L acid solution, which can be used to prepare mixed acids for recycling.
After extracting the excess acid and adjusting the pH to 3 with 2.5 mol/L sodium carbonate, sodium fluoride was added according to a F:Al ratio of 6:1 under stirring at a speed of 150 r/min for a period of 60 min at a reaction temperature of 90 °C. The recovery rates of Al and F ions were 99.6% and 62.02%, respectively. Compared with the simple neutralization method by sodium carbonate, 59.3% of sodium carbonate can be saved. After the precipitation of cryolite, the solution mainly contains sodium and sulfate ions, as well as a small amount of chloride ions, except for a small amount of incomplete precipitation of fluoride ions. It almost does not contain REs and Al. It can be used to prepare sodium carbonate solution and sodium sulfate solution, which are respectively circulated for the precipitation of cryolite and sodium rare earth sulfate precipitation, achieving the goal of recycling.
The XRF determination results of the obtained cryolite showed that the contents of Na, Al and F were 31.53%, 12.29% and 51.77%, respectively, with a small amount of Ca and sulfate ions; the calculated purity is 95.59%. From Figure 12a, the XRD pattern of the synthesized cryolite matches the standard PDF card of cryolite and does not contain any other impurity phases, such as Al2O3 and CaF2. The electron microscope image of the cryolite product proves that its particle size is relatively uniform, the particle size is small, and the overall size is below 1 µm, belonging to powdered cryolite.

4. Conclusions

Adding appropriate amounts of HCl into the mixture solution of sulfuric acid and aluminum sulfate can improve the leaching rate and selectivity of bastnaesite, avoid the precipitation of calcium sulfate in the leaching residue during leaching between 115 and 135 °C, preserve the content of monazite and reduce the difficulty of subsequent alkaline decomposition. At the same time, it can also meet the requirements for recovering REs via the sodium rare earth sulfate precipitation method, and the rare earth leaching process follows the shrinking core kinetic model, with an activation energy of 25.75 kJ/mol.
The optimal leaching conditions for bastnaesite in BOREC using the H2SO4-HCl-Al2(SO4)3 mixed leaching system are determined to be c(1/2H2SO4):c(HCl) = 5:1, the liquid–solid ratio 42:1, hydrogen ion concentration 7 mol/L, aluminum sulfate concentration 0.25 mol/L, temperature 135 °C and the time 3 h. At this time, the concentrate leaching rate is 74.08%, and the RE leaching rate is 71.95%.
The main mineral phase of the leaching residue is monazite, which only contains a very small amount of bastnaesite. There are traces of erosion on the surface of the particles, with pores and unevenness, and obvious reaction marks. The contents of Ca and F in the leaching residue decreased significantly, indicating that almost all the Ca and F in BOREC have been leached out; the total F element in the mineral has decomposed by 94.43%. However, the P content in the slag increased significantly, and the decomposition rate of bastnaesite was 96.84%.
The calcium sulfate product obtained by adding 0.1% calcium sulfate seeds has better crystallinity. After stirring at room temperature for 1 h and standing at room temperature for 2 days, the calcium ion precipitation rate is 77.35%. The XDR and XRF determination results confirmed that the obtained product is indeed calcium sulfate with no other impurity peaks. Its purity is 99.22%, and the impurities are mainly REs, with a content of 0.66%.
The optimal conditions for the sodium rare earth sulfate precipitation method are reaction time of 30 min, stirring speed of 100 r/min, reaction temperature of 90 °C and m(Na2SO4):m(RE2O3) = 2.5:1 At this time, the RE recovery rate is 99.5%. The XRD, XRF and SEM analysis results show that the purity of the obtained SRES product is 98.47%, with a regular spindle-shaped morphology and relatively uniform particle size below 2 µm.
By adding NaF to make the F:Al ratio of 6:1, adjusting the pH to 3 with 1 mol/L sodium carbonate and stirring at 150 r/min for 60 min at 90 °C, the recovery rates of Al and F ions were 99.59% and 39.64%, respectively. Extracting the residual acid from the leachate using triisooctylamine at a phase ratio of 2:1, and then adjusting the pH with sodium carbonate, the extraction rate of acid is 54.53%, which can save 59.3% of sodium carbonate. At this time, the recovery rates of Al and F ions are 99.6% and 62.02%, respectively. The purity of the obtained cryolite is 95.59%, with the main impurity being SO42−. The XRD, XRF and SEM analysis results show that the product is composed of a single cryolite phase with a relatively uniform particle size and a small overall particle size of less than 1 µm.
This study primarily addresses the issues associated with the decomposition of Baotou rare earth ore using concentrated sulfuric acid. Based on the complex leaching method, a more environmentally friendly process flow is proposed. However, further work is still required, mainly including the following points:
Further purification of the obtained rare earth sulfate double salt products, such as through alkali conversion, to ultimately obtain high-purity rare earth products.
Further optimization of the synthesis conditions for cryolite or purification of the cryolite product to meet industrial standards.
Further refinement of the entire process flow to enable the recycling of inputs such as acid and sodium sulfate throughout the process, making the process more environmentally friendly and energy efficient.

Author Contributions

Conceptualization, L.L. and Y.L. (Yanzhu Liu); methodology, L.L., X.Y. and X.H.; software, Y.D. and X.H.; validation, Y.D., X.Y. and X.H.; formal analysis, L.L.; investigation, L.L. and Y.L. (Yanzhu Liu); resources, Y.D.; data curation, L.L. and H.X.; writing—original draft preparation, H.X. and Y.L. (Yanzhu Liu); writing—review and editing, Y.L. (Yanzhu Liu), Y.L. (Yongxiu Li) and Y.D.; visualization, Y.L. (Yongxiu Li); supervision, Y.L. (Yanzhu Liu) and Y.L. (Yongxiu Li); project administration, Y.L. (Yanzhu Liu) and Y.L. (Yongxiu Li); funding acquisition, Y.D. and Y.L. (Yongxiu Li). All authors have read and agreed to the published version of the manuscript.

Funding

This work is supported financially by the State Key Laboratory of Baiyun Obo Rare Earth Resources Research and Comprehensive Utilization (grant number 202172362) and the National Key Research Development Program of China (grant number 2022YFC2905201).

Data Availability Statement

The original contributions presented in this study are included in the article. Further inquiries can be directed to the corresponding author.

Acknowledgments

The authors sincerely thank Fen Nie, Ying Ma, Bingwei Li, Shaohua Zeng, Dongping Li and Jing Li for their support of this article.

Conflicts of Interest

The authors declare no conflicts of interest.

Abbreviations

The following abbreviations are used in this manuscript:
BORECBayan Obo rare earth concentrate
RELRrare earth leaching rate
FLRfluorine leaching rate
CLRconcentrate leaching rate
CScalcium sulfate
SRESsodium rare earth sulfate
ASaluminum sulfate
SSsodium sulfate

References

  1. Li, Y.X.; Zhu, W.C.; Zhang, L.Z.; Liu, Y.Z. Rare Earth Metallurgy and Environmental Protection, 1st ed.; Chemical Industrial Press: Beijing, China, 2024; Volume 1, ISBN 978-7-122-46001-1. [Google Scholar]
  2. Cheng, S.; Li, W.; Han, Y.; Sun, Y.; Gao, P.; Zhang, X. Recent process developments in beneficiation and metallurgy of rare earths: A review. J. Rare Earths 2024, 42, 629–642. [Google Scholar] [CrossRef]
  3. Ma, Y.; Li, N.; Wang, Q.W.; Yang, Q.S. Characteristics and current research situation of rare earth resources in Bayan Obo Ore. J. Chin. Soc. Rare Earths 2016, 34, 641–649. [Google Scholar]
  4. Wang, L.; Huang, X.; Yu, Y.; Zhao, L.; Wang, C.; Feng, Z.; Cui, D.; Long, Z. Towards cleaner production of rare earth elements from bastnaesite in China. J. Clean. Prod. 2017, 165, 231–242. [Google Scholar] [CrossRef]
  5. Wang, H.; Li, M.; Zhang, D.; Gao, K.; Li, J.; Weng, Z.; Xu, W. Phase change, micro- structure and reaction mechanism during high temperature roasting of high grade rare earth concentrate. J. Rare Earths 2020, 38, 1140–1150. [Google Scholar] [CrossRef]
  6. Zhao, J.; Pan, F.; Liu, H. An environmental friendly Na2CO3-roasting decomposition strategy for the mixed rare earth concentrate. Sep. Purif. Technol. 2016, 168, 161–167. [Google Scholar] [CrossRef]
  7. Zhao, L.; Wang, L.; Shuai, G.; Long, Z.; Cui, D.; Huang, X. Thermal decomposition and oxidation of bastnaesite concentrate in inert and oxidative atmosphere. J. Rare Earths 2018, 36, 758–764. [Google Scholar] [CrossRef]
  8. Li, M.; Zhang, D.; Yan, Y.; Gao, K.; Liu, X.; Li, J. Effect of oxidation behavior of cerium during the roasting process on the leaching of mixed rare earth concentrate. Hydrometallurgy 2017, 174, 156–166. [Google Scholar] [CrossRef]
  9. Liu, X.; Huang, L.; Liu, Z.; Zhang, D.; Gao, K.; Li, M. A novel, clean, closed-loop process for directional recovery of rare earth elements, fluorine, and phosphorus from mixed rare earth concentrate. J. Clean. Prod. 2021, 321, 128784. [Google Scholar] [CrossRef]
  10. Liu, W.; Feng, X.; Noble, A.; Yoon, R.H. Ammonium sulfate leaching of NaOH- treated monazite. Miner. Eng. 2022, 188, 107817. [Google Scholar] [CrossRef]
  11. Li, K.; Chen, J.; Zou, D.; Liu, T.; Li, D. Kinetics of nitric acid leaching of cerium from oxidation roasted Baotou mixed rare earth concentrate. J. Rare Earths 2019, 37, 198–204. [Google Scholar] [CrossRef]
  12. Liu, C.H.; Zhang, H.P.; Luo, B.; Li, L.Q.; Sun, X.Q. A quantitative recovery process of rare earth in bastnaesite leachate for energy saving and emission reduction. Miner. Eng. 2022, 190, 107920. [Google Scholar] [CrossRef]
  13. He, J.H.; Gao, P.; Yuan, S.; Cheng, S.K.; Ning, J.L.; Zhou, Z.Y.; Sun, Y.S.; Li, W.B. High efficiency separation of bastnaesite (REFCO3) and monazite (REPO4) in mixed rare earth concentrate by heating under N2 and leaching with HCl/AlCl3. Hydrometallurgy 2024, 228, 106338. [Google Scholar] [CrossRef]
  14. Ren, J.; Song, S.X.; Lopez-Valdivieso, A.; Lu, S.C. Selective flotation of bastnaesite from monazite in rare earth concentrates using potassium alum as depressant. Int. J. Miner. Process. 2000, 59, 237–245. [Google Scholar] [CrossRef]
  15. Sarvaramini, A.; Azizi, D.; Larachi, F. Hydroxamic acid interactions with solvated cerium hydroxides in the flotation of monazite and bastnasite—Experiments and DFT study. Appl. Surf. Sci. 2016, 387, 986–995. [Google Scholar] [CrossRef]
  16. Wang, W.W.; Li, E.R.; Peng, Z.K.; Guo, C.L.; Hou, S.C.; Li, Q. Flotation separation of bastnaesite from monazite using depressant dextrin hydrate and its depression mechanism. Miner. Eng. 2023, 200, 108151. [Google Scholar] [CrossRef]
  17. Wang, W.W.; Peng, Z.K.; Guo, C.L.; Li, Q.; Liu, Y.J.; Hou, S.C.; Jin, H.L. Exploring rare earth mineral recovery through characterization of riebeckite type ore in Bayan Obo. Heliyon 2023, 9, e14060. [Google Scholar] [CrossRef] [PubMed]
  18. Yang, X.S.; Satur, J.V.; Sanematsu, K.; Laukkanen, J.; Saastamoinen, T. Beneficiation studies of a complex REE ore. Miner. Eng. 2015, 71, 55–64. [Google Scholar] [CrossRef]
  19. Zhou, H.; Xu, L.H.; Wang, D.H.; Xue, K.; Tian, J. Selective adsorption mechanism of SHMP onto fine fluorite in bastnaesite flotation system. Colloids Surf. A Physicochem. Eng. Aspects 2023, 670, 131527. [Google Scholar] [CrossRef]
  20. Marion, C.; Li, R.; Waters, K.E. A review of reagents applied to rare-earth mineral flotation. Adv. Colloid Interface Sci. 2020, 279, 102142. [Google Scholar] [CrossRef]
  21. Wang, Z.J.; Wu, H.Q.; Yang, J.; Tang, Z.; Luo, L.P.; Shu, K.Q.; Xu, Y.B.; Xu, L.H. Selective flotation separation of bastnaesite from calcite using xanthan gum as a depressant. Appl. Surf. Sci. 2020, 512, 145714. [Google Scholar] [CrossRef]
  22. Yang, Z.R.; Bian, X.; Wu, W.Y. Flotation performance and adsorption mechanism of styrene phosphonic acid as a collector to synthetic (Ce, La)2O3. J Rare Earths 2017, 35, 621–628. [Google Scholar] [CrossRef]
  23. Cao, Z.; Cao, Y.D.; Qu, Q.Q.; Zhang, J.S.; Mu, Y.F. Separation of bastnäsite from fluorite using ethylenediamine tetraacetic acid as depressant. Miner. Eng. 2019, 134, 134–141. [Google Scholar] [CrossRef]
  24. Zhou, X.Z.; Li, H.Y.; Liu, Y.Z.; Li, Y.X. Function, energy and environmental orientation in innovation research of rare earth materials. Sci. China Technol. Sci. 2019, 62, 2303–2305. [Google Scholar] [CrossRef]
  25. Cen, P.; Bian, X.; Liu, Z.; Gu, M.; Wu, W.; Li, B. Extraction of rare earths from bastnaesite concentrates: A critical review and perspective for the future. Miner Eng. 2021, 171, 107081. [Google Scholar] [CrossRef]
  26. Li, Y.L.; Zou, D.; Chen, J.; Deng, Y.F.; Li, D.Q. Stepwise recovery of cerium and fluorine from bastnaesite: Utilizing complex properties of B-F to obtain high purity CeO2 and KBF4. Sep. Purif. Technol. 2023, 310, 123152. [Google Scholar] [CrossRef]
  27. Li, Y.Y.; Hu, Q.Y.; Li, H.Y.; Li, J.; Liu, Y.Z.; Zhou, X.Z.; Li, D.P.; Li, Y.X. Rare earths and aluminum: From entanglement to respect with each other. J. Chin. Soc. Rare Earths 2021, 39, 479–489. [Google Scholar]
  28. Li, M.; Zhang, X.W.; Liu, Z.G.; Wang, M.T.; Liu, J.; Yang, J.P. Mixed rare earth concentrate leaching with HCl–AlCl3 solution. Rare Metals 2013, 32, 312–317. [Google Scholar] [CrossRef]
  29. Li, M.; Zhang, X.W.; Liu, Z.G.; Wang, M.T.; Liu, J.; Yang, J.P. Kinetics of leaching fluoride from mixed rare earth concentrate with hydrochloric acid and aluminum chloride. Hydrometallurgy 2013, 140, 71–76. [Google Scholar] [CrossRef]
  30. Zhang, X.; Li, M.; Liu, Z.; Hu, Y.; Liu, J.; Yang, J. Separation of Baotou mixed rare earth concentrate by HNO3-Al(NO3)3 solution. J. Chin. Soc. Rare Earths 2013, 31, 588–596. [Google Scholar]
  31. Zhang, D.; Li, M.; Gao, K.; Li, J.; Yan, Y.; Liu, X. Physical and chemical mechanism underlying ultrasonically enhanced hydrochloric acid leaching of non-oxidative roasting of bastnaesite. Ultrason. Sonochem. 2017, 39, 774–781. [Google Scholar] [CrossRef]
  32. Li, C.C.; Yang, L.F.; Wang, Y.; Li, H.Y.; Wang, D.S.; Liu, Y.Z.; Zhou, X.Z.; Wang, X.F.; Liu, M.B.; Li, Y.X. Extraction separation of rare earth and aluminum from ion-adsorbed rare earth leaching solution by Primary Amine N1923. J. Chin. Soc. Rare Earths. 2019, 37, 351–360. [Google Scholar]
  33. Li, J.; Yang, Y.; Tao, W.; Wang, Z.; Yu, J.; Yang, J.; Liu, Z. Study on preparation of aluminum fluoride from cryolite. Mater. Today Commun. 2023, 37, 107440. [Google Scholar] [CrossRef]
  34. LI, H.P.; Han, M.X.; Hu, G.S.; Wang, B.; Tian, B. Reduction during Rare Earth Extraction and Separation by Induced Crystallization. J. Rare Earths 2021, 42, 93–98. [Google Scholar]
  35. Lai, F.G.; Guo, H.; Xiao, Y.F.; Xu, Z.F. Research progress on solubility phase diagrams of calcium sulfate in chloride-sulfate solutions. J. Inorg. Chem. Ind. 2018, 50, 16–21. [Google Scholar]
Figure 1. Process flow diagram of leaching BOREC by H2SO4-HCl-Al2(SO4)3 and the resource recovery.
Figure 1. Process flow diagram of leaching BOREC by H2SO4-HCl-Al2(SO4)3 and the resource recovery.
Metals 15 00431 g001
Figure 2. Time dependence of HF overflow (a) and the coordination dissolution of REF3 (b).
Figure 2. Time dependence of HF overflow (a) and the coordination dissolution of REF3 (b).
Metals 15 00431 g002
Figure 3. Effects of ratio of [H2SO4] to [HCl] (c(H+) = 6 mol/L, AS concentration 0.3 mol/L, liquid–solid ratio 32:1, temperature 135 °C, and time 2 h) (a), [H](c(1/2H2SO4): c(HCl) = 5:1, AS concentration 0.3 mol/L, liquid–solid ratio 32:1, temperature 135 °C, and time 2 h) (b), [Al](c(1/2H2SO4): c(HCl) = 5:1, c(H+) = 7 mol/L, liquid–solid ratio 32:1, temperature 135 °C, and time 2 h) (c), reaction temperature (c(1/2H2SO4): c(HCl) = 5:1, c(H+) = 7 mol/L, liquid–solid ratio 32:1, AS concentration 0.25 mol/L, and time 2 h) (d), liquid–solid ratio (c(1/2H2SO4): c(HCl) = 5:1, c(H+) = 7 mol/L, temperature 135 °C, AS concentration 0.25 mol/L, and time 2 h) (e), and reaction time (c(1/2H2SO4): c(HCl) = 5:1, c(H+) = 7 mol/L, temperature 135 °C, AS concentration 0.25 mol/L, and liquid–solid ratio 42:1) (f) on CLR and RELR.
Figure 3. Effects of ratio of [H2SO4] to [HCl] (c(H+) = 6 mol/L, AS concentration 0.3 mol/L, liquid–solid ratio 32:1, temperature 135 °C, and time 2 h) (a), [H](c(1/2H2SO4): c(HCl) = 5:1, AS concentration 0.3 mol/L, liquid–solid ratio 32:1, temperature 135 °C, and time 2 h) (b), [Al](c(1/2H2SO4): c(HCl) = 5:1, c(H+) = 7 mol/L, liquid–solid ratio 32:1, temperature 135 °C, and time 2 h) (c), reaction temperature (c(1/2H2SO4): c(HCl) = 5:1, c(H+) = 7 mol/L, liquid–solid ratio 32:1, AS concentration 0.25 mol/L, and time 2 h) (d), liquid–solid ratio (c(1/2H2SO4): c(HCl) = 5:1, c(H+) = 7 mol/L, temperature 135 °C, AS concentration 0.25 mol/L, and time 2 h) (e), and reaction time (c(1/2H2SO4): c(HCl) = 5:1, c(H+) = 7 mol/L, temperature 135 °C, AS concentration 0.25 mol/L, and liquid–solid ratio 42:1) (f) on CLR and RELR.
Metals 15 00431 g003
Figure 4. XRD patterns (a) and SEM of BOMREC (c,d) and its leaching residue (b,e,f) from H2SO4-HCl-Al2(SO4)3.
Figure 4. XRD patterns (a) and SEM of BOMREC (c,d) and its leaching residue (b,e,f) from H2SO4-HCl-Al2(SO4)3.
Metals 15 00431 g004
Figure 5. Time dependence of rare earth leaching rate at different temperatures (a) and the relationship between 1/3ln(1 − x) + [(1 − x) −1/3 − 1] and t (b), Arrhenius plot for decomposition rate of RE minerals between 110 °C and 135 °C (c).
Figure 5. Time dependence of rare earth leaching rate at different temperatures (a) and the relationship between 1/3ln(1 − x) + [(1 − x) −1/3 − 1] and t (b), Arrhenius plot for decomposition rate of RE minerals between 110 °C and 135 °C (c).
Metals 15 00431 g005
Figure 6. Precipitation rate (a), XRD (b), RE content (c), and electron microscopy images ((d1) CS dihydrate seeds; (d2) room temperature; (d3) ice water bath; (d4) add 0.05% CS seed crystals at room temperature; (d5) add 0.1% seed crystals at room temperature; (d6) add 0.25% seed crystals at room temperature) (d) of CS under different precipitation conditions.
Figure 6. Precipitation rate (a), XRD (b), RE content (c), and electron microscopy images ((d1) CS dihydrate seeds; (d2) room temperature; (d3) ice water bath; (d4) add 0.05% CS seed crystals at room temperature; (d5) add 0.1% seed crystals at room temperature; (d6) add 0.25% seed crystals at room temperature) (d) of CS under different precipitation conditions.
Metals 15 00431 g006
Figure 7. Effects of SS dosage (the reaction temperature is 20 °C, the reaction time is 30 min) (a), reaction time (m(Na2SO4):m(RE2O3) = 2.5:1, the reaction temperature is 20 °C) (b) and temperature (m(Na2SO4):m(RE2O3) = 2.5:1, the reaction time is 30 min (c) on RE recovery rate.
Figure 7. Effects of SS dosage (the reaction temperature is 20 °C, the reaction time is 30 min) (a), reaction time (m(Na2SO4):m(RE2O3) = 2.5:1, the reaction temperature is 20 °C) (b) and temperature (m(Na2SO4):m(RE2O3) = 2.5:1, the reaction time is 30 min (c) on RE recovery rate.
Metals 15 00431 g007
Figure 8. XRD (a) and SEM (b,c) images of SRES.
Figure 8. XRD (a) and SEM (b,c) images of SRES.
Metals 15 00431 g008
Figure 9. XRD patterns of cryolite products synthesized under different alkaline pH adjustments (a) and different F:Al ratios (b).
Figure 9. XRD patterns of cryolite products synthesized under different alkaline pH adjustments (a) and different F:Al ratios (b).
Metals 15 00431 g009
Figure 10. Effects of reaction temperature (reaction time is 60 min, pH = 3) (a), time (reaction time is 60 min, and temperature is 90 °C) (b), and pH (temperature is 90 °C, pH = 3) (c) on the recovery rate of F and Al.
Figure 10. Effects of reaction temperature (reaction time is 60 min, pH = 3) (a), time (reaction time is 60 min, and temperature is 90 °C) (b), and pH (temperature is 90 °C, pH = 3) (c) on the recovery rate of F and Al.
Metals 15 00431 g010
Figure 11. Compares the extraction efficiency of triisooctylamine for different acids (a,b) and changes in hydrogen ion concentration in the extract (c).
Figure 11. Compares the extraction efficiency of triisooctylamine for different acids (a,b) and changes in hydrogen ion concentration in the extract (c).
Metals 15 00431 g011
Figure 12. XRD (a) and electron microscopy images (b,c) of cryolite products.
Figure 12. XRD (a) and electron microscopy images (b,c) of cryolite products.
Metals 15 00431 g012
Disclaimer/Publisher’s Note: The statements, opinions and data contained in all publications are solely those of the individual author(s) and contributor(s) and not of MDPI and/or the editor(s). MDPI and/or the editor(s) disclaim responsibility for any injury to people or property resulting from any ideas, methods, instructions or products referred to in the content.

Share and Cite

MDPI and ACS Style

Liu, Y.; Xiao, H.; Liu, L.; Ye, X.; Hu, X.; Ding, Y.; Li, Y. Selective Leaching Bastnaesite from Bayan Obo Rare Earth Concentrate and the Recovery Process of Rare Earths, Aluminum, Fluoride and Calcium. Metals 2025, 15, 431. https://doi.org/10.3390/met15040431

AMA Style

Liu Y, Xiao H, Liu L, Ye X, Hu X, Ding Y, Li Y. Selective Leaching Bastnaesite from Bayan Obo Rare Earth Concentrate and the Recovery Process of Rare Earths, Aluminum, Fluoride and Calcium. Metals. 2025; 15(4):431. https://doi.org/10.3390/met15040431

Chicago/Turabian Style

Liu, Yanzhu, Huifang Xiao, Lihui Liu, Xiaofan Ye, Xiaoqian Hu, Yanrong Ding, and Yongxiu Li. 2025. "Selective Leaching Bastnaesite from Bayan Obo Rare Earth Concentrate and the Recovery Process of Rare Earths, Aluminum, Fluoride and Calcium" Metals 15, no. 4: 431. https://doi.org/10.3390/met15040431

APA Style

Liu, Y., Xiao, H., Liu, L., Ye, X., Hu, X., Ding, Y., & Li, Y. (2025). Selective Leaching Bastnaesite from Bayan Obo Rare Earth Concentrate and the Recovery Process of Rare Earths, Aluminum, Fluoride and Calcium. Metals, 15(4), 431. https://doi.org/10.3390/met15040431

Note that from the first issue of 2016, this journal uses article numbers instead of page numbers. See further details here.

Article Metrics

Back to TopTop