Sound Velocities in Vanadium Reveal Complex Elastic Behavior at High Pressures
Abstract
1. Introduction
2. Materials and Methods
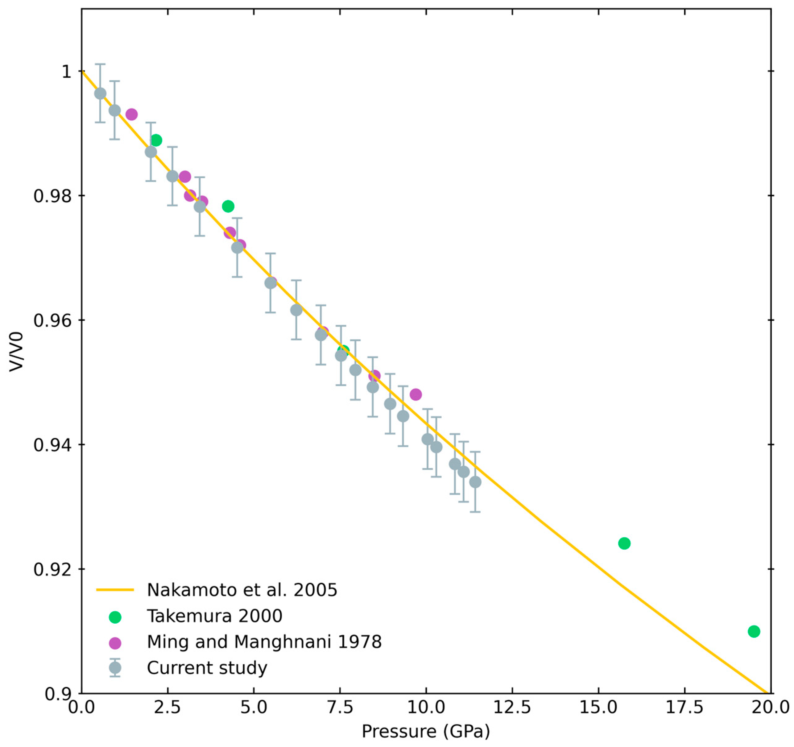
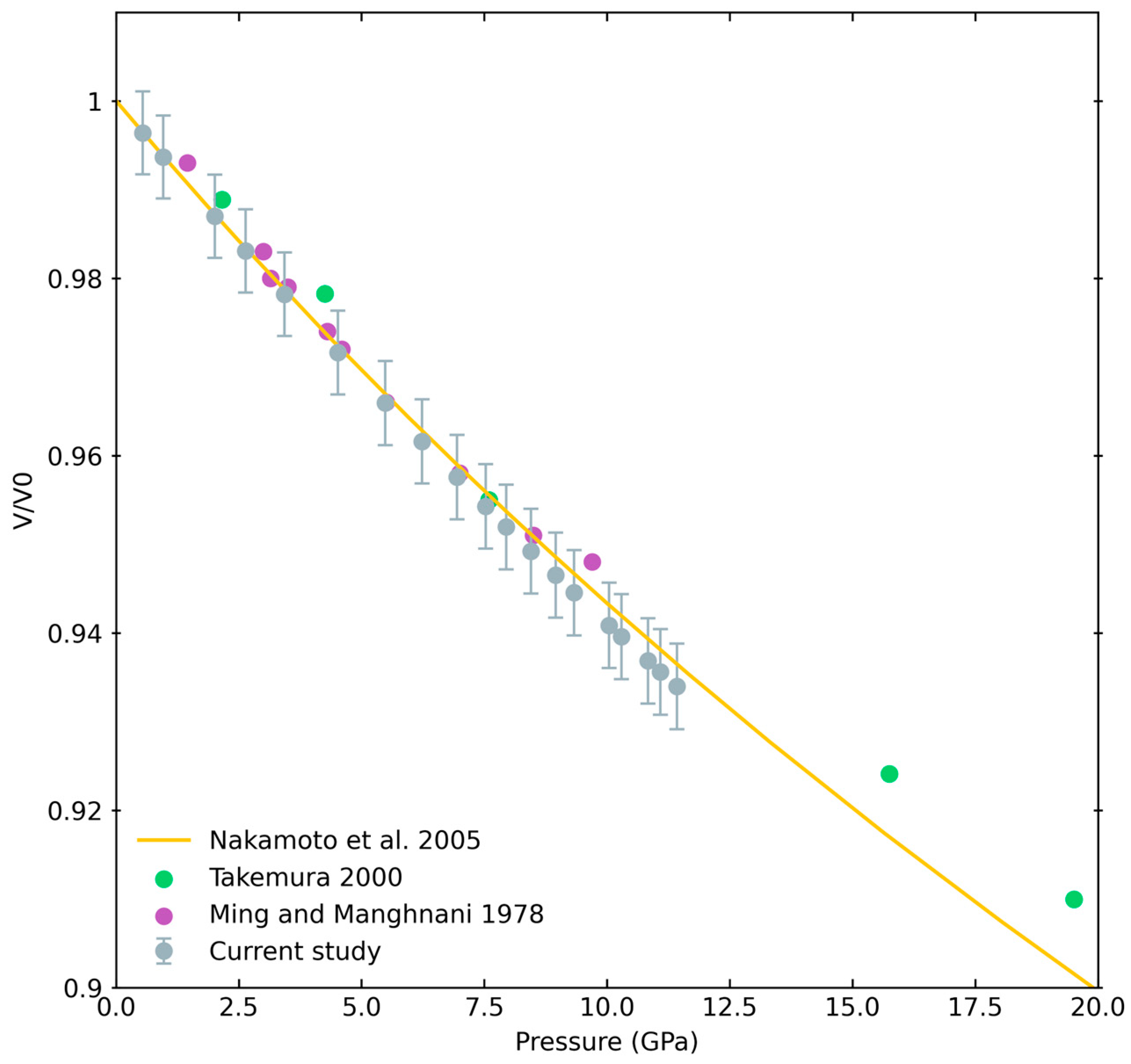
3. Results and Discussion

4. Conclusions
Author Contributions
Funding
Data Availability Statement
Conflicts of Interest
Abbreviations
| GPa | Gigapascal |
| P | Pressure |
| T | Temperature |
| BCC | Body Centered Cubic |
| DAC | Diamond Anvil Cell |
| DFT | Density Functional Theory |
| LVP | Large Volume Press |
| XRD | X-ray Diffraction |
| LDA | Local-density approximation |
| GGA | Generalized gradient approximation |
| VP | P-wave velocity |
| VS | S-wave velocity |
| WC | Tungsten Carbide |
| MHz | Megahertz |
| K | Bulk modulus |
| G | Shear modulus |
| E | Young’s modulus |
| ν | Poisson’s ratio |
| ρ | Density |
| TP | Travel time of the P-wave |
| TS | Travel time of the S-wave |
| IXS | Inelastic X-ray scattering |
| SG | Steinberg-Guinan model |
| VISAR | Velocity interferometer system for any reflector |
| VASP | Vienna Ab initio Simulation Package |
| PAW | Projector-Augmented-Wave |
| CALPHAD | Computer Coupling of Phase Diagrams and Thermochemistry |
| MSG | Modified Steinberg-Guinan model |
| CIS | Compression Induced Softening |
References
- Polyak, D.E. Vanadium Report; U.S. Geological Survey: Reston, VA, USA, 2013. [Google Scholar]
- Kelley, K.D.; Scott, C.; Polyak, D.E.; Kimball, B.E. Vanadium; U.S. Geological Survey: Reston, VA, USA, 2017. [Google Scholar]
- Suzuki, N.; Otani, M. Theoretical Study on the Lattice Dynamics and Electron–Phonon Interaction of Vanadium under High Pressures. J. Phys. Condens. Matter 2002, 14, 10869. [Google Scholar] [CrossRef]
- Landa, A.; Klepeis, J.; Söderlind, P.; Naumov, I.; Velikokhatnyi, O.; Vitos, L.; Ruban, A. Ab Initio Calculations of Elastic Constants of the Bcc V–Nb System at High Pressures. J. Phys. Chem. Solids 2006, 67, 2056–2064. [Google Scholar] [CrossRef]
- Landa, A.; Klepeis, J.; Söderlind, P.; Naumov, I.; Velikokhatnyi, O.; Vitos, L.; Ruban, A. Fermi Surface Nesting and Pre-Martensitic Softening in V and Nb at High Pressures. J. Phys. Condens. Matter 2006, 18, 5079. [Google Scholar] [CrossRef]
- Cynn, H.; Yoo, C.-S. Equation of State of Tantalum to 174 GPa. Phys. Rev. B 1999, 59, 8526–8529. [Google Scholar] [CrossRef]
- Ding, Y.; Ahuja, R.; Shu, J.; Chow, P.; Luo, W.; Mao, H. Structural Phase Transition of Vanadium at 69 GPa. Phys. Rev. Lett. 2007, 98, 085502. [Google Scholar] [CrossRef]
- Jenei, Z.; Liermann, H.P.; Cynn, H.; Klepeis, J.-H.P.; Baer, B.J.; Evans, W.J. Structural Phase Transition in Vanadium at High Pressure and High Temperature: Influence of Nonhydrostatic Conditions. Phys. Rev. B 2011, 83, 054101. [Google Scholar] [CrossRef]
- Antonangeli, D.; Farber, D.L.; Bosak, A.; Aracne, C.M.; Ruddle, D.G.; Krisch, M. Phonon Triggered Rhombohedral Lattice Distortion in Vanadium at High Pressure. Sci. Rep. 2016, 6, 31887. [Google Scholar] [CrossRef]
- Bosak, A.; Hoesch, M.; Antonangeli, D.; Farber, D.L.; Fischer, I.; Krisch, M. Lattice Dynamics of Vanadium: Inelastic X-Ray Scattering Measurements. Phys. Rev. B 2008, 78, 020301. [Google Scholar] [CrossRef]
- Koci, L.; Ma, Y.; Oganov, A.R.; Souvatzis, P.; Ahuja, R. Elasticity of the Superconducting Metals V, Nb, Ta, Mo, and W at High Pressure. Phys. Rev. B 2008, 77, 214101. [Google Scholar] [CrossRef]
- Lee, B.; Rudd, R.E.; Klepeis, J.E.; Söderlind, P.; Landa, A. Theoretical Confirmation of a High-Pressure Rhombohedral Phase in Vanadium Metal. Phys. Rev. B 2007, 75, 180101. [Google Scholar] [CrossRef]
- Lee, B.; Rudd, R.E.; Klepeis, J.E.; Becker, R. Elastic Constants and Volume Changes Associated with Two High-Pressure Rhombohedral Phase Transformations in Vanadium. Phys. Rev. B 2008, 77, 134105. [Google Scholar] [CrossRef]
- Stevenson, M.G.; Pace, E.J.; Storm, C.V.; Finnegan, S.E.; Garbarino, G.; Wilson, C.W.; McGonegle, D.; Macleod, S.G.; McMahon, M.I. Pressure-Induced Bcc-Rhombohedral Phase Transition in Vanadium Metal. Phys. Rev. B 2021, 103, 134103. [Google Scholar] [CrossRef]
- Wang, H.; Gan, Y.-C.; Chen, X.-R.; Wang, Y.-X.; Geng, H.Y. Modified Steinberg–Guinan Elasticity Model to Describe Softening–Hardening Dual Anomaly in Vanadium. J. Appl. Phys. 2024, 135, 115901. [Google Scholar] [CrossRef]
- Wang, H.; Li, J.; Zhou, X.M.; Tan, Y.; Hao, L.; Yu, Y.Y.; Dai, C.D.; Jin, K.; Wu, Q.; Jing, Q.M.; et al. Evidence for Mechanical Softening-Hardening Dual Anomaly in Transition Metals from Shock-Compressed Vanadium. Phys. Rev. B 2021, 104, 134102. [Google Scholar] [CrossRef]
- Gathers, G.R. Hugoniot Measurements for Vanadium. J. Appl. Phys. 1986, 59, 3291–3293. [Google Scholar] [CrossRef]
- Dai, C.; Jin, X.; Zhou, X.; Liu, J.; Hu, J. Sound Velocity Variations and Melting of Vanadium under Shock Compression. J. Phys. Appl. Phys. 2001, 34, 3064. [Google Scholar] [CrossRef]
- Yu, Y.; Tan, Y.; Dai, C.; Li, X.; Li, Y.; Wu, Q.; Tan, H. Phase Transition and Strength of Vanadium under Shock Compression up to 88 GPa. Appl. Phys. Lett. 2014, 105, 201910. [Google Scholar] [CrossRef]
- Li, B.; Liebermann, R.C. Study of the Earth’s Interior Using Measurements of Sound Velocities in Minerals by Ultrasonic Interferometry. Phys. Earth Planet. Inter. 2014, 233, 135–153. [Google Scholar] [CrossRef]
- Wang, X.; Chen, T.; Qi, X.; Zou, Y.; Kung, J.; Yu, T.; Wang, Y.; Liebermann, R.C.; Li, B. Acoustic Travel Time Gauges for In-Situ Determination of Pressure and Temperature in Multi-Anvil Apparatus. J. Appl. Phys. 2015, 118, 065901. [Google Scholar] [CrossRef]
- Papadakis, E.P. Ultrasonic Phase Velocity by the Pulse-Echo-Overlap Method Incorporating Diffraction Phase Corrections. J. Acoust. Soc. Am. 1967, 42, 1045–1051. [Google Scholar] [CrossRef]
- Li, B.; Chen, K.; Kung, J.; Liebermann, R.C.; Weidner, D.J. Sound Velocity Measurement Using Transfer Function Method. J. Phys. Condens. Matter 2002, 14, 11337. [Google Scholar] [CrossRef]
- Cook, R.K. Variation of Elastic Constants and Static Strains with Hydrostatic Pressure: A Method for Calculation from Ultrasonic Measurements. J. Acoust. Soc. Am. 1957, 29, 445–449. [Google Scholar] [CrossRef]
- Errandonea, D.; MacLeod, S.G.; Burakovsky, L.; Santamaria-Perez, D.; Proctor, J.E.; Cynn, H.; Mezouar, M. Melting Curve and Phase Diagram of Vanadium under High-Pressure and High-Temperature Conditions. Phys. Rev. B 2019, 100, 094111. [Google Scholar] [CrossRef]
- Delaire, O.; Kresch, M.; Muñoz, J.A.; Lucas, M.S.; Lin, J.Y.Y.; Fultz, B. Electron-Phonon Interactions and High-Temperature Thermodynamics of Vanadium and Its Alloys. Phys. Rev. B 2008, 77, 214112. [Google Scholar] [CrossRef]
- Ming, L.; Manghnani, M.H. Isothermal Compression of Bcc Transition Metals to 100 Kbar. J. Appl. Phys. 1978, 49, 208–212. [Google Scholar] [CrossRef]
- Takemura, K. Equation of State of V and Nb under Truly Hydrostatic Conditions. In Proceedings of the 17th AIRAPT Honolulu Conference, Honolulu, HI, USA, 25–30 July 1999. [Google Scholar]
- Nakamoto, Y.; Takemura, K.; Ishizuka, M.; Shimizu, K.; Kikegawa, T. Equation of State for Vanadium Under Hydrostatic Conditions. In Proceedings of the Joint 20th AIRAPT-43rd EHPRG Conference on Science and Technology of High Pressure, Karlsruhe, Germany, 27 June–1 July 2005; p. 120. [Google Scholar]
- Qi, X.; Wang, S.; Chen, S.; Cai, N.; Li, B. Anomalous Elastic Behavior of Tantalum at High Pressures: Experimental and Theoretical Studies. Int. J. Refract. Met. Hard Mater. 2021, 101, 105691. [Google Scholar] [CrossRef]
- Pugh, S.F. XCII. Relations between the Elastic Moduli and the Plastic Properties of Polycrystalline Pure Metals. Lond. Edinb. Dublin Philos. Mag. J. Sci. 1954, 45, 823–843. [Google Scholar] [CrossRef]
- Davies, G.F.; Dziewonski, A.M. Homogeneity and Constitution of the Earth’s Lower Mantle and Outer Core. Phys. Earth Planet. Inter. 1975, 10, 336–343. [Google Scholar] [CrossRef]
- Katahara, K.W.; Manghnani, M.H.; Fisher, E.S. Pressure Derivatives of the Elastic Moduli of BCC Ti-V-Cr, Nb-Mo and Ta-W Alloys. J. Phys. F Met. Phys. 1979, 9, 773. [Google Scholar] [CrossRef]
- Bolef, D.I.; Smith, R.E.; Miller, J.G. Elastic Properties of Vanadium. I. Temperature Dependence of the Elastic Constants and the Thermal Expansion. Phys. Rev. B 1971, 3, 4100–4108. [Google Scholar] [CrossRef]
- Karbasi, A.; Saxena, S.; Hrubiak, R. The Thermodynamics of Several Elements at High Pressure. Calphad 2011, 35, 72–81. [Google Scholar] [CrossRef]
- Wang, Y.X.; Geng, H.Y.; Wu, Q.; Chen, X.R. Orbital Localization Error of Density Functional Theory in Shear Properties of Vanadium and Niobium. J. Chem. Phys. 2020, 152, 024118. [Google Scholar] [CrossRef] [PubMed]
- Crichton, W.A.; Guignard, J.; Bailey, E.; Dobson, D.P.; Hunt, S.A.; Thomson, A.R. High-Temperature Equation of State of Vanadium. High Press. Res. 2016, 36, 16–22. [Google Scholar] [CrossRef]
- Mcqueen, R.G.; Marsh, S.P.; Taylor, J.W.; Fritz, J.N.; Carter, W.J. Chapter VII—The equation of state of solids from shock wave studies. In High-Velocity Impact Phenomena; Kinslow, R., Ed.; Academic Press: Cambridge, MA, USA, 1970; pp. 293–417. ISBN 978-0-12-408950-1. [Google Scholar]
- Martin, M.; Shen, T.; Thadhani, N.N. Instrumented Anvil-on-Rod Impact Experiments for Validating Constitutive Strength Model for Simulating Transient Dynamic Deformation Response of Metals. Mater. Sci. Eng. A 2008, 494, 416–424. [Google Scholar] [CrossRef]
- Steinberg, D.J.; Cochran, S.G.; Guinan, M.W. A Constitutive Model for Metals Applicable at High-strain Rate. J. Appl. Phys. 1980, 51, 1498–1504. [Google Scholar] [CrossRef]
- Steinberg, D.J. Equation of State and Strength Properties of Selected Materials; Lawrence Livermore National Lab: Livermore, CA, USA, 1991. [Google Scholar]
- Foster, J.M.; Comley, A.J.; Case, G.S.; Avraam, P.; Rothman, S.D.; Higginbotham, A.; Floyd, E.K.R.; Gumbrell, E.T.; Luis, J.J.D.; McGonegle, D.; et al. X-Ray Diffraction Measurements of Plasticity in Shock-Compressed Vanadium in the Region of 10–70 GPa. J. Appl. Phys. 2017, 122, 025117. [Google Scholar] [CrossRef]
- Rudd, R.E.; Klepeis, J.E. Multiphase Improved Steinberg–Guinan Model for Vanadium. J. Appl. Phys. 2008, 104, 093528. [Google Scholar] [CrossRef]






| Pressure (GPa) | 2 TP (μs) | 2 TS (μs) | L (mm) * | ρ (g/cm3) | VP (km/s) | VS (km/s) | K (GPa) | G (GPa) | E (GPa) | ν |
|---|---|---|---|---|---|---|---|---|---|---|
| 0.5 (2) | 0.3420 (2) | 0.7346 (2) | 1.019 (4) | 6.09 (2) | 5.96 (3) | 2.77 (1) | 153.7 (3.2) | 46.9 (6) | 127.6 (4.0) | 0.362 (14) |
| 1.0 (2) | 0.3392 (2) | 0.7318 (2) | 1.018 (4) | 6.11 (2) | 6.00 (3) | 2.78 (1) | 157.0 (3.3) | 47.3 (6) | 128.9 (4.0) | 0.363 (14) |
| 2.0 (2) | 0.3368 (2) | 0.7250 (2) | 1.016 (4) | 6.15 (2) | 6.03 (3) | 2.80 (1) | 159.3 (3.4) | 48.3 (6) | 131.5 (4.1) | 0.362 (14) |
| 2.6 (2) | 0.3348 (2) | 0.7208 (2) | 1.014 (4) | 6.17 (2) | 6.06 (3) | 2.81 (1) | 161.5 (3.4) | 48.9 (6) | 133.2 (4.2) | 0.362 (14) |
| 3.4 (2) | 0.3334 (2) | 0.7150 (2) | 1.013 (4) | 6.21 (2) | 6.07 (3) | 2.83 (1) | 162.6 (3.5) | 49.8 (6) | 135.5 (4.2) | 0.361 (14) |
| 4.5 (2) | 0.3312 (2) | 0.7112 (2) | 1.010 (4) | 6.25 (2) | 6.10 (3) | 2.84 (1) | 165.3 (3.5) | 50.4 (6) | 137.3 (4.3) | 0.362 (14) |
| 5.5 (2) | 0.3288 (2) | 0.7100 (2) | 1.008 (4) | 6.28 (2) | 6.13 (3) | 2.84 (1) | 168.8 (3.6) | 50.7 (6) | 138.2 (4.3) | 0.363 (14) |
| 6.2 (2) | 0.3270 (2) | 0.7094 (2) | 1.007 (4) | 6.31 (2) | 6.16 (3) | 2.84 (1) | 171.5 (3.6) | 50.9 (6) | 138.8 (4.3) | 0.365 (14) |
| 6.9 (2) | 0.3264 (2) | 0.7084 (2) | 1.005 (4) | 6.34 (2) | 6.16 (3) | 2.84 (1) | 172.5 (3.6) | 51.1 (6) | 139.5 (4.3) | 0.365 (14) |
| 7.5 (2) | 0.3252 (2) | 0.7064 (2) | 1.004 (4) | 6.36 (2) | 6.18 (3) | 2.84 (1) | 174.1 (3.7) | 51.4 (6) | 140.4 (4.4) | 0.366 (14) |
| 7.9 (2) | 0.3238 (2) | 0.7050 (2) | 1.003 (4) | 6.38 (2) | 6.20 (3) | 2.85 (1) | 176.0 (3.7) | 51.7 (6) | 141.2 (4.4) | 0.366 (14) |
| 8.5 (2) | 0.3218 (2) | 0.7018 (2) | 1.002 (4) | 6.39 (2) | 6.23 (3) | 2.86 (1) | 178.6 (3.8) | 52.2 (6) | 142.7 (4.4) | 0.367 (14) |
| 9.0 (2) | 0.3208 (2) | 0.7004 (2) | 1.002 (4) | 6.41 (2) | 6.24 (3) | 2.86 (1) | 180.1 (3.8) | 52.5 (6) | 143.4 (4.4) | 0.367 (14) |
| 9.3 (2) | 0.3186 (2) | 0.6988 (2) | 1.001 (4) | 6.43 (2) | 6.28 (3) | 2.86 (1) | 183.3 (3.8) | 52.7 (6) | 144.3 (4.5) | 0.369 (14) |
| 10.0 (2) | 0.3160 (2) | 0.6984 (2) | 1.000 (4) | 6.45 (2) | 6.33 (3) | 2.86 (1) | 187.7 (3.9) | 52.9 (6) | 145.0 (4.5) | 0.371 (14) |
| 10.3 (2) | 0.3150 (2) | 0.6976 (2) | 0.999 (4) | 6.46 (2) | 6.34 (3) | 2.86 (1) | 189.3 (3.9) | 53.0 (6) | 145.4 (4.5) | 0.372 (14) |
| 10.8 (2) | 0.3140 (2) | 0.6972 (2) | 0.998 (4) | 6.48 (2) | 6.36 (3) | 2.86 (1) | 191.0 (3.9) | 53.1 (6) | 145.8 (4.5) | 0.373 (14) |
| 11.1 (2) | 0.3130 (2) | 0.6956 (2) | 0.998 (4) | 6.49 (2) | 6.37 (3) | 2.87 (1) | 192.5 (4.0) | 53.4 (6) | 146.6 (4.5) | 0.373 (14) |
| 11.4 (2) | 0.3122 (2) | 0.6946 (2) | 0.997 (4) | 6.50 (2) | 6.39 (3) | 2.87 (1) | 193.7 (4.0) | 53.6 (6) | 147.1 (4.5) | 0.373 (14) |
| Source | KS0 (GPa) | KT0 (GPa) | K’S0 | K’T0 | G0 (GPa) | G’0 | Notes |
|---|---|---|---|---|---|---|---|
| Current study | 151 (2) | 3.47 (2) | 47 (1) | 0.62 (1) | Ultrasonic LVP, 0–11.4 GPa | ||
| [33] Katahara, 1979 | 155.6 | 4.27 | 47.85 † | 0.48 | Ultrasonic, 0–0.5 GPa | ||
| [34] Bolef, 1971 | 157.1 | 48.1 † | Ultrasonic benchtop | ||||
| [19] Yu, 2014 | 46.8 (5) | Ultrasonic benchtop | |||||
| [37] Crichton, 2016 | 150.4 (6.2) | 5.5 (1.0) | LVP XRD, 0–11.5 GPa | ||||
| [7] Ding, 2007 | 158 (1) | 3.9 (2) | DAC XRD, 0–155 GPa | ||||
| [27] Ming and Manghnani, 1978 | 154 (5) | DAC XRD, 0–10 GPa | |||||
| [29] Nakamoto, 2005 | 152.1 | 4.1 | DAC XRD, 0–224 GPa | ||||
| [25] Errandonea, 2019 | 152 (4) | 5.4 (4) | DAC XRD, 0–120 GPa | ||||
| [14] Stevenson, 2021 | 158.9 (1) | 3.58 (6) | DAC XRD single-Crystal, 0–154 GPa | ||||
| [7] Ding, 2007 | 195 (3) | 3.5 (5) | DAC (nonhydrostatic) XRD, 0–155 GPa | ||||
| [8] Jenei, 2011 | 179 (8) | 3.11 (1.23) | DAC (nonhydrostatic) XRD, 0–82 GPa | ||||
| [38] McQueen, 1970 | 157 | 3.5 | Shock | ||||
| [11] Koci, 2008 | 182 | 3.75 | 35.26 † | VASP: GGA and PAW, 0–400 GPa | |||
| [25] Errandonea, 2019 | 143 | 4.4 | VASP QMD PBE, 0–400 GPa | ||||
| [35] Karbasi, 2011 | 162 | 3.5 | CALPHAD, 0–400 GPa | ||||
| [15] Wang, 2024 | 168.5 | 3.86 | 32.02 | MSG model, 0–500 GPa | |||
| [4] Landa, 2006 | 183.2 | DFT, 0–600 GPa | |||||
| [39] Martin, 2008 | 48.1 | 0.4906 | SG model | ||||
| [39] Martin, 2008 | 47.9 | Shock, VISAR |
Disclaimer/Publisher’s Note: The statements, opinions and data contained in all publications are solely those of the individual author(s) and contributor(s) and not of MDPI and/or the editor(s). MDPI and/or the editor(s) disclaim responsibility for any injury to people or property resulting from any ideas, methods, instructions or products referred to in the content. |
© 2025 by the authors. Licensee MDPI, Basel, Switzerland. This article is an open access article distributed under the terms and conditions of the Creative Commons Attribution (CC BY) license (https://creativecommons.org/licenses/by/4.0/).
Share and Cite
Gulick, B.; Qi, X.; Wang, R.; Li, B. Sound Velocities in Vanadium Reveal Complex Elastic Behavior at High Pressures. Metals 2025, 15, 427. https://doi.org/10.3390/met15040427
Gulick B, Qi X, Wang R, Li B. Sound Velocities in Vanadium Reveal Complex Elastic Behavior at High Pressures. Metals. 2025; 15(4):427. https://doi.org/10.3390/met15040427
Chicago/Turabian StyleGulick, Brian, Xintong Qi, Ran Wang, and Baosheng Li. 2025. "Sound Velocities in Vanadium Reveal Complex Elastic Behavior at High Pressures" Metals 15, no. 4: 427. https://doi.org/10.3390/met15040427
APA StyleGulick, B., Qi, X., Wang, R., & Li, B. (2025). Sound Velocities in Vanadium Reveal Complex Elastic Behavior at High Pressures. Metals, 15(4), 427. https://doi.org/10.3390/met15040427

