Sign in to use this feature.

Years

Between: -

Subjects

remove_circle_outline
remove_circle_outline
remove_circle_outline
remove_circle_outline
remove_circle_outline
remove_circle_outline
remove_circle_outline
remove_circle_outline
remove_circle_outline

Journals

Article Types

Countries / Regions

Search Results (61)

Search Parameters:
Keywords = underwater intervention

Order results
Result details
Results per page
Select all
Export citation of selected articles as:
26 pages, 5509 KB  
Article
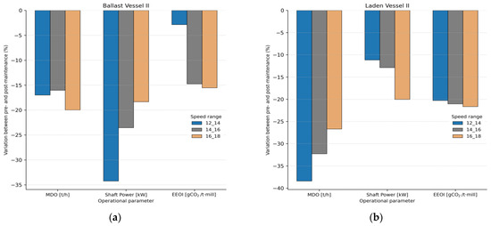
Reducing Ship Emissions Through Specialized Maintenance: A Case Study Based on Real Data
by Sonia Zaragoza, Julio Barreiro Montes, Julio Z. Seoane and Feliciano Fraguela Díaz
J. Mar. Sci. Eng. 2026, 14(2), 160; https://doi.org/10.3390/jmse14020160 - 12 Jan 2026
Abstract
Maintenance operations represent one of the most underutilized opportunities to reduce emissions and improve the energy efficiency of ships. This study proposes an innovative approach that analyzes such interventions from a holistic perspective of energy, environment, and economics using real operational data from [...] Read more.
Maintenance operations represent one of the most underutilized opportunities to reduce emissions and improve the energy efficiency of ships. This study proposes an innovative approach that analyzes such interventions from a holistic perspective of energy, environment, and economics using real operational data from two liquefied natural gas (LNG) carriers before and after their maintenance operations. The results show that comprehensive actions such as complete hull and propeller cleaning can reduce fuel consumption by more than 30% and CO2 emissions by more than 15%, in addition to improving propulsive efficiency by between 18% and 34%. In contrast, minor interventions, such as underwater propeller cleaning, have a limited effect with very specific improvements in fuel savings at certain speed ranges, but no significant effect on emissions or shaft power. In particular, the study demonstrates that a single comprehensive maintenance operation can change the Carbon Intensity Indicator (CII) rating from category E to D, reinforcing the strategic role of maintenance in the decarbonization and revaluation of maritime transport. Full article
(This article belongs to the Section Marine Environmental Science)
Show Figures

Figure 1

23 pages, 7313 KB  
Article
Marine Debris Detection in Real Time: A Lightweight UTNet Model
by Junqi Cui, Shuyi Zhou, Guangjun Xu, Xiaodong Liu and Xiaoqian Gao
J. Mar. Sci. Eng. 2025, 13(8), 1560; https://doi.org/10.3390/jmse13081560 - 14 Aug 2025
Viewed by 2687
Abstract
The increasingly severe issue of marine debris presents a critical threat to the sustainable development of marine ecosystems. Real-time detection is essential for timely intervention and cleanup. Furthermore, the density of marine debris exhibits significant depth-dependent variation, resulting in degraded detection accuracy. Based [...] Read more.
The increasingly severe issue of marine debris presents a critical threat to the sustainable development of marine ecosystems. Real-time detection is essential for timely intervention and cleanup. Furthermore, the density of marine debris exhibits significant depth-dependent variation, resulting in degraded detection accuracy. Based on 9625 publicly available underwater images spanning various depths, this study proposes UTNet, a lightweight neural model, to improve the effectiveness of real-time intelligent identification of marine debris through multidimensional optimization. Compared to Faster R-CNN, SSD, and YOLOv5/v8/v11/v12, the UTNet model demonstrates enhanced performance in random image detection, achieving maximum improvements of 3.5% in mAP50 and 9.3% in mAP50-95, while maintaining reduced parameter count and low computational complexity. The UTNet model is further evaluated on underwater videos for real-time debris recognition at varying depths to validate its capability. Results show that the UTNet model exhibits a consistently increasing trend in confidence levels across different depths as detection distance decreases, with peak values of 0.901 at the surface and 0.764 at deep-sea levels. In contrast, the other six models display greater performance fluctuations and fail to maintain detection stability, particularly at intermediate and deep depths, with evident false positives and missed detections. In summary, the lightweight UTNet model developed in this study achieves high detection accuracy and computational efficiency, enabling real-time, high-precision detection of marine debris at varying depths and ultimately benefiting mitigation and cleanup efforts. Full article
(This article belongs to the Section Marine Pollution)
Show Figures

Figure 1

23 pages, 10936 KB  
Article
Towards Autonomous Coordination of Two I-AUVs in Submarine Pipeline Assembly
by Salvador López-Barajas, Alejandro Solis, Raúl Marín-Prades and Pedro J. Sanz
J. Mar. Sci. Eng. 2025, 13(8), 1490; https://doi.org/10.3390/jmse13081490 - 1 Aug 2025
Viewed by 1366
Abstract
Inspection, maintenance, and repair (IMR) operations on underwater infrastructure remain costly and time-intensive because fully teleoperated remote operated vehicle s(ROVs) lack the range and dexterity necessary for precise cooperative underwater manipulation, and the alternative of using professional divers is ruled out due to [...] Read more.
Inspection, maintenance, and repair (IMR) operations on underwater infrastructure remain costly and time-intensive because fully teleoperated remote operated vehicle s(ROVs) lack the range and dexterity necessary for precise cooperative underwater manipulation, and the alternative of using professional divers is ruled out due to the risk involved. This work presents and experimentally validates an autonomous, dual-I-AUV (Intervention–Autonomous Underwater Vehicle) system capable of assembling rigid pipeline segments through coordinated actions in a confined underwater workspace. The first I-AUV is a Girona 500 (4-DoF vehicle motion, pitch and roll stable) fitted with multiple payload cameras and a 6-DoF Reach Bravo 7 arm, giving the vehicle 10 total DoF. The second I-AUV is a BlueROV2 Heavy equipped with a Reach Alpha 5 arm, likewise yielding 10 DoF. The workflow comprises (i) detection and grasping of a coupler pipe section, (ii) synchronized teleoperation to an assembly start pose, and (iii) assembly using a kinematic controller that exploits the Girona 500’s full 10 DoF, while the BlueROV2 holds position and orientation to stabilize the workspace. Validation took place in a 12 m × 8 m × 5 m water tank. Results show that the paired I-AUVs can autonomously perform precision pipeline assembly in real water conditions, representing a significant step toward fully automated subsea construction and maintenance. Full article
(This article belongs to the Section Ocean Engineering)
Show Figures

Figure 1

16 pages, 539 KB  
Article
Virtual Reality as a Non-Pharmacological Aid for Reducing Anxiety in Pediatric Dental Procedures
by Laria-Maria Trusculescu, Dana Emanuela Pitic, Andreea Sălcudean, Ramona Amina Popovici, Norina Forna, Silviu Constantin Badoiu, Alexandra Enache, Sorina Enasoni, Andreea Kiș, Raluca Mioara Cosoroabă, Cristina Ioana Talpos-Niculescu, Corneliu Constantin Zeicu, Maria-Melania Cozma and Liana Todor
Children 2025, 12(7), 930; https://doi.org/10.3390/children12070930 - 14 Jul 2025
Viewed by 1155
Abstract
Background/Objectives: Dental anxiety in children is a common issue that can hinder the delivery of effective dental care. Traditional approaches to managing this are often insufficient or involve pharmacological interventions. This study shows the potential of virtual reality (VR) to aid in reducing [...] Read more.
Background/Objectives: Dental anxiety in children is a common issue that can hinder the delivery of effective dental care. Traditional approaches to managing this are often insufficient or involve pharmacological interventions. This study shows the potential of virtual reality (VR) to aid in reducing anxiety in children undergoing simple dental procedures. By immersing children in relaxing VR environments (such as beaches, forests, mountains, or underwater scenes with calm music), the objective is to assess VR’s effectiveness in calming pediatrics patients during these procedures. Methods: Children scheduled for minor dental treatments wore a wearable device that monitored pulse, perspiration, and stress levels. Each child’s baseline data was collected without the VR headset, followed by data collection during VR exposure before and during dental procedures. VR scenarios ranged from soothing nature scenes to animated cartoons, designed to foster relaxation. Results: The data collected showed a reduction in physiological indicators of stress, such as lower heart rate and reduced perspiration, when the VR headset was used. Children appeared more relaxed, with a calmer response during the procedure itself, compared to baseline levels without VR. Conclusions: This study provides preliminary evidence supporting VR as an effective tool for reducing anxiety and stress in pediatric dental patients. By offering an engaging, immersive experience, VR can serve as an alternative or complementary approach to traditional anxiety management strategies in pediatric dentistry, potentially improving patient comfort and cooperation during dental procedures. Further research could determine if VR may serve as an alternative to local anesthesia for non-intrusive pediatric dental procedures. Full article
(This article belongs to the Special Issue Children’s Behaviour and Social-Emotional Competence)
Show Figures

Figure 1

13 pages, 881 KB  
Article
Effects of Horizontal and Vertical Vector Resistance Training on Swim Start Performance: An Eight-Week Intervention in Division One Collegiate Swimmers in Taiwan
by Jyun-Ru Chen, Yu-Lin Ning, Ting-Yao An, Yi-Lin Tsai, Kuo-Wei Tseng and Chi-Chieh Hsu
J. Funct. Morphol. Kinesiol. 2025, 10(3), 236; https://doi.org/10.3390/jfmk10030236 - 22 Jun 2025
Viewed by 2016
Abstract
Background: This study aimed to compare the effects of an eight-week horizontal versus vertical vector resistance training program on swim start performance and lower-limb neuromuscular function in competitive swimmers. Methods: A total of 16 collegiate swimmers (14 males and 2 females; [...] Read more.
Background: This study aimed to compare the effects of an eight-week horizontal versus vertical vector resistance training program on swim start performance and lower-limb neuromuscular function in competitive swimmers. Methods: A total of 16 collegiate swimmers (14 males and 2 females; height: 176.3 ± 10 cm; body mass: 68.8 ± 10.3 kg; age: 20.5 ± 2.3 year) were assigned to either a horizontal vector training (HOR) or a vertical vector training (VER) group and completed an eight-week training program. Pre- and post-intervention assessments included flight time, flight distance, underwater speed, 15 m swim speed, 25 m swim speed, and force–time metrics within both concentric and eccentric phases of the countermovement jump and squat jumps. Results: No group or interaction effects were observed. However, time effects were found for flight distance (↑ 4.1–5.5%), flight time (↑ 6.2–12%), 15 m swim speed (↑ 0.3–0.7%), and jump performance. The HOR showed more favorable within-group trends in regards to swim start performance and concentric performance of countermovement and squat jumps. Moderate correlations (r = 0.450–0.476) were found between changes in concentric jump variables and 15 m swim speed. Conclusions: These results suggest that both vertical and horizontal vector resistance training can improve lower-limb neuromuscular performance and swim start performance. Full article
Show Figures

Figure 1

22 pages, 15353 KB  
Article
Analyzing Breathing Patterns in the Breaststroke Technique Through Dual-Media Kinematics and Fractal Dimension
by Miriam Alves, Pedro Fonseca, Aléxia Fernandes, André V. Brito, Tiago M. Barbosa and João Paulo Vilas-Boas
Sensors 2025, 25(10), 3104; https://doi.org/10.3390/s25103104 - 14 May 2025
Viewed by 2402
Abstract
The most hydrodynamic swimming position occurs with the head submerged, highlighting the benefit of reduced breathing frequency for efficiency. This study aimed to characterize and compare kinematics between two breaststroke breathing patterns—breathing every cycle and breathing every two cycles—while also analyzing intra-cyclic velocity [...] Read more.
The most hydrodynamic swimming position occurs with the head submerged, highlighting the benefit of reduced breathing frequency for efficiency. This study aimed to characterize and compare kinematics between two breaststroke breathing patterns—breathing every cycle and breathing every two cycles—while also analyzing intra-cyclic velocity variation (dv) and fractal dimension. In the breathing every cycle pattern, each cycle included a breath. In the breathing every cycle pattern, swimmers breathed once per cycle. In the breathing every two cycles pattern, breathing occurred every second cycle, resulting in three types of cycles: breathing, non-breathing, and the breathing cycle following a non-breathing cycle. To ensure familiarity with the new breathing pattern, swimmers underwent a six-week intervention program. They then performed three maximal 25 m bouts in each breathing pattern. Kinematic data were collected using a dual-media optoelectronic system (Qualisys AB, Sweden), integrating underwater and dry-land camera recordings. The results showed minimal differences between the three cycle types. The non-breathing cycle had the shallowest and deepest head positions, the lowest horizontal head amplitude out of water, and the smallest vertical head amplitude. It also had the fastest maximum vertical velocity of the feet and maximum center of mass velocity in the swimming direction. Full article
(This article belongs to the Section Physical Sensors)
Show Figures

Figure 1

25 pages, 1561 KB  
Article
A Forward-Looking Assessment of Robotized Operation and Maintenance Practices for Offshore Wind Farms
by Henrique Vieira and Rui Castro
Energies 2025, 18(6), 1508; https://doi.org/10.3390/en18061508 - 18 Mar 2025
Cited by 1 | Viewed by 1100
Abstract
Operation and maintenance (O&M) activities represent a significant share of the levelized cost of energy (LCOE) for offshore wind farms (OWFs), making cost reduction a key priority. Robotic-based solutions, leveraging aerial and underwater vehicles in a cooperative framework, offer the potential to optimize [...] Read more.
Operation and maintenance (O&M) activities represent a significant share of the levelized cost of energy (LCOE) for offshore wind farms (OWFs), making cost reduction a key priority. Robotic-based solutions, leveraging aerial and underwater vehicles in a cooperative framework, offer the potential to optimize O&M logistics and reduce costs. Additionally, the deployment of persistent autonomous robotic systems can minimize the need for human intervention, enhancing efficiency. This study presents the development of an O&M cost calculator that integrates multiple modules: a weather forecast module to account for meteorological uncertainties, a failure module to model OWF failures, a maintenance module to estimate costs for both planned and unplanned activities, and a power module to quantify downtime-related losses. A forward-looking comparative economic analysis is conducted, assessing the cost-effectiveness of human-based versus robot-based inspection, maintenance, and repair (IMR) activities. The findings highlight the economic viability of robotic solutions in offshore wind O&M, supporting their potential role in reducing operational expenditures and improving energy production efficiency. Full article
(This article belongs to the Special Issue Renewable Energy System Technologies: 2nd Edition)
Show Figures

Figure 1

15 pages, 1354 KB  
Article
Effect of an 11-Week Repeated Maximal Lumbar Movement with Controlled Breathing on Lumbar Sagittal Range of Motion in Elite Swimmers: A Randomized Clinical Trial
by Mónica Solana-Tramunt, Ana Bofill-Ródenas, Josep Cabedo, Alesander Badiola-Zabala and Myriam Guerra-Balic
Healthcare 2025, 13(5), 457; https://doi.org/10.3390/healthcare13050457 - 20 Feb 2025
Cited by 1 | Viewed by 2048
Abstract
Lumbar range of motion (ROM) is essential to develop effective movements during the underwater undulatory swimming technique. Core exercises are used to improve the strength of the muscles that participate in that technique, and variations in sensory input and attentional focus may modulate [...] Read more.
Lumbar range of motion (ROM) is essential to develop effective movements during the underwater undulatory swimming technique. Core exercises are used to improve the strength of the muscles that participate in that technique, and variations in sensory input and attentional focus may modulate neuromuscular responses and impact training outcomes. The aim of this study was to investigate the impact of an 11-week program of repeated maximal lumbar movements with closed eyes and without focused attention on lumbar sagittal ROM in elite swimmers versus executing them solely with proper exercise technique with controlled breathing. Methods: A sample of 57 professional swimmers, including 34 males (20.2 ± 4.2 years) and 23 females (20.7 ± 3.3 yrs), volunteered to complete this study. They were randomly divided into two experimental groups (EG1 and EG2) and one control group (CG). All subjects underwent the same type of training program in parallel with the EG intervention. EG1 and EG2 performed three sets of ten repetitions of lumbar flexion and extension exercises at breathing pace, 6 days a week for 11 weeks. EG1 performed the core workout with closed eyes and focused attention on the lumbar movement, while EG2 only followed the technique of the exercises at a controlled breathing pace. Lumbar flexion (F), extension (E), and total ROM (TROM) were assessed by an electrogoniometer in a seated, relaxed position over a Swiss ball. Results: Repeated measures ANOVA showed significant differences in the multivariate profiles across groups and over time. F (8, 48) = 3.495, p = 0.002. EG1 had non-significant increases in lumbar ROM, EG2 had significant increases in TROM and extension ROM, and CG had no changes. Conclusions: The results suggest that repeating maximal lumbar movement at a controlled breathing pace, with opened eyes and non-focusing attention on the movement, increases lumbar ROM in the sagittal plane. Full article
Show Figures

Figure 1

13 pages, 1439 KB  
Article
Artificial Intelligence-Assisted Virtual Reality for Reducing Anxiety in Pediatric Endoscopy
by Mehmet Bulduk, Veysel Can, Emre Aktaş, Belkıs İpekçi, Bahattin Bulduk and İbrahim Nas
J. Clin. Med. 2025, 14(4), 1344; https://doi.org/10.3390/jcm14041344 - 18 Feb 2025
Cited by 2 | Viewed by 3390
Abstract
Background/Objectives: This study aimed to evaluate the effects of artificial intelligence (AI)-assisted virtual reality (VR) applications on preoperative anxiety levels and vital signs in children undergoing endoscopy. Methods: A randomized controlled trial design was employed, including a total of 80 children aged 8–17 [...] Read more.
Background/Objectives: This study aimed to evaluate the effects of artificial intelligence (AI)-assisted virtual reality (VR) applications on preoperative anxiety levels and vital signs in children undergoing endoscopy. Methods: A randomized controlled trial design was employed, including a total of 80 children aged 8–17 years (40 in the intervention group and 40 in the control group). Children in the intervention group were exposed to VR applications featuring space and underwater themes, while the control group received standard procedures. Anxiety levels were assessed using the “State-Trait Anxiety Inventory for Children (STAIC)”, and vital signs were evaluated through measurements of systolic and diastolic blood pressure, heart rate, temperature, and SpO2. Results: VR applications significantly reduced anxiety scores in the intervention group (36.3 ± 1.9), while no significant changes were observed in the control group (45.4 ± 2.74) (p < 0.001). Regarding vital signs, more favorable outcomes were observed in the intervention group. Systolic blood pressure was measured as 89 ± 6.7 mmHg in the intervention group and 96.5 ± 10.5 mmHg in the control group (p < 0.001). Diastolic blood pressure was 60.8 ± 4.7 mmHg in the intervention group and 63.8 ± 6 mmHg in the control group (p < 0.05). Heart rate was recorded as 88.7 ± 10.1 bpm in the intervention group and 94.5 ± 14.8 bpm in the control group (p < 0.05). SpO2 levels were 98 ± 1 in the intervention group and 96.2 ± 1.3 in the control group (p < 0.001). Conclusions: AI-assisted VR applications emerge as an effective non-pharmacological method for reducing preoperative anxiety and promoting physiological stability in children. This approach holds the potential to enhance pediatric experiences during invasive procedures such as endoscopy. Full article
(This article belongs to the Section Clinical Pediatrics)
Show Figures

Figure 1

21 pages, 8220 KB  
Article
Network Congestion Control Algorithm for Image Transmission—HRI and Visual Light Communications of an Autonomous Underwater Vehicle for Intervention
by Salvador López-Barajas, Pedro J. Sanz, Raúl Marín-Prades, Juan Echagüe and Sebastian Realpe
Future Internet 2025, 17(1), 10; https://doi.org/10.3390/fi17010010 - 1 Jan 2025
Cited by 4 | Viewed by 1697
Abstract
In this study, the challenge of teleoperating robots in harsh environments such as underwater or in tunnels is addressed. In these environments, wireless communication networks are prone to congestion, leading to potential mission failures. Our approach integrates a Human–Robot Interface (HRI) with a [...] Read more.
In this study, the challenge of teleoperating robots in harsh environments such as underwater or in tunnels is addressed. In these environments, wireless communication networks are prone to congestion, leading to potential mission failures. Our approach integrates a Human–Robot Interface (HRI) with a network congestion control algorithm at the application level for conservative transmission of images using the Robot Operating System (ROS) framework. The system was designed to avoid network congestion by adjusting the image compression parameters and the transmission rate depending on the real-time network conditions. To evaluate its performance, the algorithm was tested in two wireless underwater use cases: pipe inspection and an intervention task. An Autonomous Underwater Vehicle for Intervention (I-AUV) equipped with a Visual Light Communication (VLC) modem was used. Characterization of the VLC network was performed while the robot performed trajectories in the tank. The results demonstrate that our approach allows an operator to perform wireless missions where teleoperation requires images and the network conditions are variable. This solution provides a robust framework for image transmission and network control in the application layer, which allows for integration with any ROS-based system. Full article
Show Figures

Figure 1

14 pages, 2174 KB  
Article
An Adaptive Controller with Disturbance Observer for Underwater Vehicle Manipulator Systems
by Xinhui Zheng, Yuliang Wang, Qiyan Tian, Qifeng Zhang, Xiaohui Wang, Wenbo Xu, Guodong Wang, Xuejiao Yang and Yuze Sun
Electronics 2024, 13(19), 3938; https://doi.org/10.3390/electronics13193938 - 5 Oct 2024
Cited by 2 | Viewed by 1666
Abstract
Dynamic control of underwater vehicle manipulator systems (UVMSs) is the key part of underwater intervention tasks. In this paper, we propose an adaptive controller with a disturbance observer that mainly consists of two parts: the first part is the adaptive control law that [...] Read more.
Dynamic control of underwater vehicle manipulator systems (UVMSs) is the key part of underwater intervention tasks. In this paper, we propose an adaptive controller with a disturbance observer that mainly consists of two parts: the first part is the adaptive control law that estimates the changes in the center of mass (COM) and the center of buoyancy (COB) of the vehicle, and the second part is the nonlinear disturbance observer that estimates the external disturbance and model uncertainties. To attenuate the overestimation problem, a damping term is introduced to the adaptive law. The stability of the proposed method is proven on the basis of Lyapunov theory. We develop three scenarios on the Simurv platform and illustrate the effectiveness of the proposed method with a short response time and high tracking performance. Full article
Show Figures

Figure 1

14 pages, 13034 KB  
Article
Learning Underwater Intervention Skills Based on Dynamic Movement Primitives
by Xuejiao Yang, Yunxiu Zhang, Rongrong Li, Xinhui Zheng and Qifeng Zhang
Electronics 2024, 13(19), 3860; https://doi.org/10.3390/electronics13193860 - 29 Sep 2024
Viewed by 1233
Abstract
Improving the autonomy of underwater interventions by remotely operated vehicles (ROVs) can help mitigate the impact of communication delays on operational efficiency. Currently, underwater interventions for ROVs usually rely on real-time teleoperation or preprogramming by operators, which is not only time-consuming and increases [...] Read more.
Improving the autonomy of underwater interventions by remotely operated vehicles (ROVs) can help mitigate the impact of communication delays on operational efficiency. Currently, underwater interventions for ROVs usually rely on real-time teleoperation or preprogramming by operators, which is not only time-consuming and increases the cognitive burden on operators but also requires extensive specialized programming. Instead, this paper uses the intuitive learning from demonstrations (LfD) approach that uses operator demonstrations as inputs and models the trajectory characteristics of the task through the dynamic movement primitive (DMP) approach for task reproduction as well as the generalization of knowledge to new environments. Unlike existing applications of DMP-based robot trajectory learning methods, we propose the underwater DMP (UDMP) method to address the problem that the complexity and stochasticity of underwater operational environments (e.g., current perturbations and floating operations) diminish the representativeness of the demonstrated trajectories. First, the Gaussian mixture model (GMM) and Gaussian mixture regression (GMR) are used for feature extraction of multiple demonstration trajectories to obtain typical trajectories as inputs to the DMP method. The UDMP method is more suitable for the LfD of underwater interventions than the method that directly learns the nonlinear terms of the DMP. In addition, we improve the commonly used homomorphic-based teleoperation mode to heteromorphic mode, which allows the operator to focus more on the end-operation task. Finally, the effectiveness of the developed method is verified by simulation experiments. Full article
Show Figures

Figure 1

12 pages, 3787 KB  
Article
Functional Exercise Induces Adaptations in Muscle Oxygen Saturation in Division One Collegiate Butterfly Swimmers: A Randomized Controlled Trial
by Jack Grotke, Austin Alcantara, Joe Amitrano and Dhruv R. Seshadri
Electronics 2024, 13(18), 3680; https://doi.org/10.3390/electronics13183680 - 16 Sep 2024
Cited by 1 | Viewed by 3538
Abstract
This study investigates the impact of a five-week functional exercise intervention designed to enhance the muscular endurance of the posterior shoulder musculature, aiming to mitigate shoulder fatigue and overuse injury. Twelve Division I collegiate butterfly swimmers were recruited and evenly randomized into exercise [...] Read more.
This study investigates the impact of a five-week functional exercise intervention designed to enhance the muscular endurance of the posterior shoulder musculature, aiming to mitigate shoulder fatigue and overuse injury. Twelve Division I collegiate butterfly swimmers were recruited and evenly randomized into exercise (EX) and control (CTRL) groups. Weekly 100-yard butterfly sprints were performed, with Muscle Oxygen Saturation (SmO2) continuously monitored using a wearable near-infrared spectroscopy (NIRS) device. This study is among the first to utilize wearable NIRS devices to monitor SmO2 underwater during swimming, demonstrating that a targeted 5-week exercise program significantly improves posterior shoulder endurance, as evidenced by increased Posterior Shoulder Endurance Test (PSET) scores and distinctive SmO2 adaptations in the EX-group compared to the CTRL group. These findings suggest that targeted dryland exercises can enhance posterior shoulder endurance with long-term implications for potentially reducing injury risk and improving performance. Full article
(This article belongs to the Special Issue New Application of Wearable Electronics)
Show Figures

Figure 1

17 pages, 3904 KB  
Article
Adaptive Path Planning for Subsurface Plume Tracing with an Autonomous Underwater Vehicle
by Zhiliang Wu, Shuozi Wang, Xusong Shao, Fang Liu and Zefeng Bao
Robotics 2024, 13(9), 132; https://doi.org/10.3390/robotics13090132 - 31 Aug 2024
Cited by 3 | Viewed by 2205
Abstract
Autonomous underwater vehicles (AUVs) have been increasingly applied in marine environmental monitoring. Their outstanding capability of performing tasks without human intervention makes them a popular tool for environmental data collection, especially in unknown and remote regions. This paper addresses the path planning problem [...] Read more.
Autonomous underwater vehicles (AUVs) have been increasingly applied in marine environmental monitoring. Their outstanding capability of performing tasks without human intervention makes them a popular tool for environmental data collection, especially in unknown and remote regions. This paper addresses the path planning problem when AUVs are used to perform plume source tracing in an unknown environment. The goal of path planning is to locate the plume source efficiently. The path planning approach is developed using the Double Deep Q-Network (DDQN) algorithm in the deep reinforcement learning (DRL) framework. The AUV gains knowledge by interacting with the environment, and the optimal direction is extracted from the mapping obtained by a deep neural network. The proposed approach was tested by numerical simulation and on a real ground vehicle. In the numerical simulation, several initial sampling strategies were compared on the basis of survey efficiency. The results show that direct learning based on the interaction with the environment could be an appropriate survey strategy for plume source tracing problems. The comparison with the canonical lawnmower path used in practice showed that path planning using DRL algorithms could be potentially promising for large-scale environment exploration. Full article
Show Figures

Figure 1

13 pages, 481 KB  
Article
Lower Limb Muscle Activation in Young Adults Walking in Water and on Land
by Christopher Long, Christopher J. Dakin, Sara A. Harper, Joonsun Park, Aaron Folau, Mark Crandall, Nathan Christensen and Talin Louder
Appl. Sci. 2024, 14(12), 5044; https://doi.org/10.3390/app14125044 - 10 Jun 2024
Cited by 2 | Viewed by 2993
Abstract
Previous research has shown that exercise interventions requiring increased activation of the tibialis anterior (TA), the primary ankle dorsiflexor, can improve walking performance in individuals with foot drop. Correspondingly, heightened drag forces experienced during walking performed in water may augment TA activation during [...] Read more.
Previous research has shown that exercise interventions requiring increased activation of the tibialis anterior (TA), the primary ankle dorsiflexor, can improve walking performance in individuals with foot drop. Correspondingly, heightened drag forces experienced during walking performed in water may augment TA activation during the swing phase of gait, potentially leading to improved walking gait on land. Therefore, this study aimed to compare surface electromyographic (sEMG) activation in the TA and medial gastrocnemius (GM) during gait performed in water versus on land. Thirty-eight healthy, recreationally active young adults, comprising 18 females and 20 males, participated in the study. Each participant completed 2 min walking trials under five conditions: land 2.5 mph, land 3.5 mph, water 2.5 mph, water 3.5 mph, and water 3.5 mph with added jet resistance. Stride kinematics were collected using 2-dimensional underwater motion capture. TA and GM, muscle activation magnitudes, were quantified using sEMG root-mean-square (RMS) amplitudes for both the swing and stance phases of walking. Additionally, TA and GM co-activation (Co-A) indices were estimated. Two-way within-subjects repeated measures analyses of variance were used to evaluate the main effects of and interactions between the environment and walking speed. Additionally, paired sample t-tests were conducted as a secondary analysis to investigate differences between walking in water at 3.5 mph with and without added jet resistance. Main effects and interactions were observed across various stride kinematics and sEMG measures. Notably, TA sEMG RMS during the swing phase of walking gait performed at 2.5 mph was 15% greater in water than on land (p < 0.001). This effect increased when walking gait was performed at 3.5 mph (94%; p < 0.001) and when jet resistance was added to the 3.5 mph condition (52%; p < 0.001). Furthermore, TA Co-A was increased during the stance phase of gait in water compared to on land (p < 0.001), while GM Co-A was reduced during the swing phase (p < 0.001). The findings of this study offer compelling evidence supporting the efficacy of aquatic treadmill walking as a potential treatment for individuals suffering from foot drop. However, further research is needed to evaluate whether a causal relationship exists between heightened TA activation observed during aquatic treadmill walking and improvements in voluntary dorsiflexion during gait. Full article
(This article belongs to the Special Issue Advances in Foot Biomechanics and Gait Analysis)
Show Figures

Figure 1

Back to TopTop