Experimental Study on Tele-Manipulation Assistance Technique Using a Touch Screen for Underwater Cable Maintenance Tasks
Abstract
1. Introduction
- Object position estimation using inputs via touch screen, and
- Control structure for assisted tele-operation utilizing touch based position estimation.
2. Cable Maintenance Using URI-T
3. Touch Screen Based Estimation of an Object Position
- two cameras providing different viewpoints to each other for the manipulation are installed in the ROV,
- a touch screen is available as a commanding device for the operators.
3.1. Touch Screen Inputs Acquisition
- a point on the center of gripping position in the object, ,
- a point laying on the approach direction of the object, , and,
- a point laying on the normal direction of the object, ,
3.2. Position Estimation of the Object
3.3. Performance Evaluation of the Proposed Estimation Technique
4. Control Structure for the Assisted Tele-Operation
4.1. Control Structure with the Proposed Assistance Technique
4.2. Considering Offset Distance for Approaching the Object
4.3. Controller Design for the Assistance Technique
5. Experimental Study
5.1. Task
- Approaching: Approaching the manipulator to the gripping tool in the bucket,
- Seizing: Seizing the handle of the gripping tool with the jaw of the manipulator,
- Displacing: Moving the gripping tool to the cable and executing the tool to grip the cable.
5.2. Experimental Setup
5.3. Experimental Method
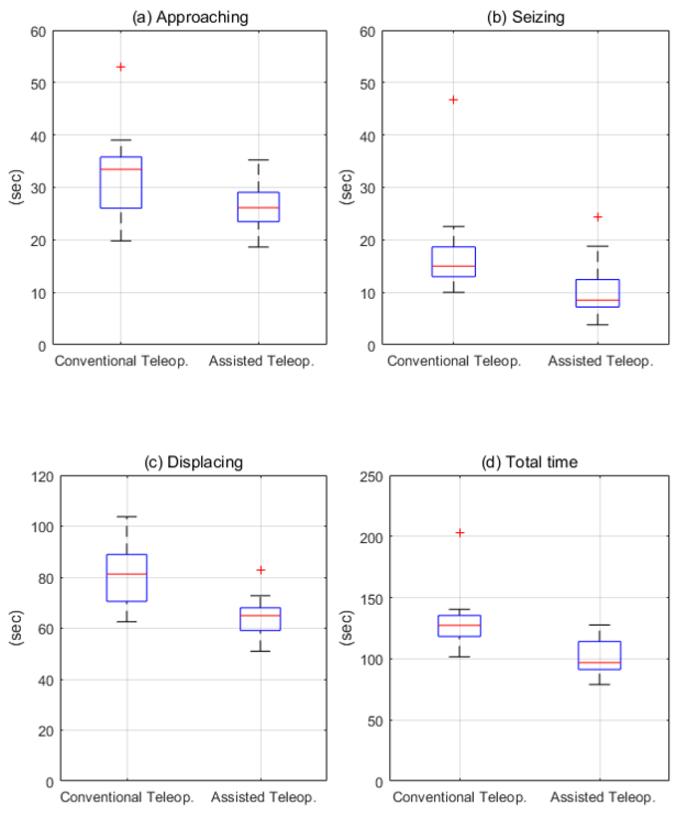
5.4. Results
6. Conclusions
Supplementary Materials
Author Contributions
Funding
Institutional Review Board Statement
Informed Consent Statement
Data Availability Statement
Conflicts of Interest
Abbreviations
| HVDC | High Voltage Direct Current |
| DOF | Degree Of Freedom |
| ROV | Remotely Operated Vehicle |
| WDLS | Weighted Damped Least Squares |
Appendix A. Descriptions of the Blocks




References
- Christ, R.D.; Wernli, R.L., Sr. The ROV Manual: A User Guide for Remotely Operated Vehicles; Butterworth-Heinemann: Oxford, UK, 2014. [Google Scholar]
- Yuh, J. Design and control of autonomous underwater robots: A survey. Auton. Robot. 2000, 8, 7–24. [Google Scholar] [CrossRef]
- Sherwood, J.; Chidgey, S.; Crockett, P.; Gwyther, D.; Ho, P.; Stewart, S.; Strong, D.; Whitely, B.; Williams, A. Installation and operational effects of a HVDC submarine cable in a continental shelf setting: Bass Strait, Australia. J. Ocean Eng. Sci. 2016, 1, 337–353. [Google Scholar] [CrossRef]
- Takaaki, O. Recent status and trends in optical submarine cable systems. NEC Tech. J. 2010, 5, 4–7. [Google Scholar]
- Ng, C.; Ran, L. Offshore Wind Farms: Technologies, Design and Operation; Woodhead Publishing: Cambridge, UK, 2016. [Google Scholar]
- Kordahi, M.E.; Gleason, R.F.; Chien, T.M. Installation and maintenance technology for undersea cable systems. AT T Tech. J. 1995, 74, 60–74. [Google Scholar] [CrossRef]
- Kim, M.G.; Kang, H.; Lee, M.J.; Cho, G.R.; Li, J.H.; Yoon, T.S.; Ju, J.; Kwak, H.W. Study for Operation Method of Underwater Cable and Pipeline Burying ROV Trencher using Barge and Its Application in Real Construction. J. Ocean Eng. Technol. 2020, 34, 361–370. [Google Scholar] [CrossRef]
- Dhanak, M.R.; Xiros, N.I. Springer Handbook of Ocean Engineering; Springer: Berlin/Heidelberg, Germany, 2016. [Google Scholar]
- Hildebrandt, M.; Albiez, J.; Kirchner, F. Computer-based control of deep-sea manipulators. In Proceedings of the OCEANS 2008 MTS/IEEE Kobe Techno-Ocean, Kobe, Japan, 8–11 April 2008; pp. 1–6. [Google Scholar]
- Petillot, Y.R.; Antonelli, G.; Casalino, G.; Ferreira, F. Underwater robots: From remotely operated vehicles to intervention-autonomous underwater vehicles. IEEE Robot. Autom. Mag. 2019, 26, 94–101. [Google Scholar] [CrossRef]
- Sivčev, S.; Coleman, J.; Omerdić, E.; Dooly, G.; Toal, D. Underwater manipulators: A review. Ocean Eng. 2018, 163, 431–450. [Google Scholar] [CrossRef]
- Marani, G.; Choi, S.K.; Yuh, J. Underwater autonomous manipulation for intervention missions AUVs. Ocean Eng. 2009, 36, 15–23. [Google Scholar] [CrossRef]
- Marani, G.; Choi, S.K. Underwater target localization. IEEE Robot. Autom. Mag. 2010, 17, 64–70. [Google Scholar] [CrossRef]
- Prats, M.; Garcia, J.; Wirth, S.; Ribas, D.; Sanz, P.; Ridao, P.; Gracias, N.; Oliver, G. Multipurpose autonomous underwater intervention: A systems integration perspective. In Proceedings of the 2012 20th Mediterranean Conference on Control & Automation (MED), Barcelona, Spain, 3–6 July 2012; pp. 1379–1384. [Google Scholar]
- García, J.; Fernández, J.; Sanz, P.; Marín, R. Increasing autonomy within underwater intervention scenarios: The user interface approach. In Proceedings of the 2010 IEEE International Systems Conference, San Diego, CA, USA, 5–8 April 2010; pp. 71–75. [Google Scholar]
- Martin-Abadal, M.; Piñar-Molina, M.; Martorell-Torres, A.; Oliver-Codina, G.; Gonzalez-Cid, Y. Underwater Pipe and Valve 3D Recognition Using Deep Learning Segmentation. J. Mar. Sci. Eng. 2020, 9, 5. [Google Scholar] [CrossRef]
- Palomer, A.; Ridao, P.; Youakim, D.; Ribas, D.; Forest, J.; Petillot, Y. 3D laser scanner for underwater manipulation. Sensors 2018, 18, 1086. [Google Scholar] [CrossRef]
- Himri, K.; Pi, R.; Ridao, P.; Gracias, N.; Palomer, A.; Palomeras, N. Object Recognition and Pose Estimation using Laser scans For Advanced Underwater Manipulation. In Proceedings of the 2018 IEEE/OES Autonomous Underwater Vehicle Workshop (AUV), Porto, Portugal, 6–9 November 2018; pp. 1–6. [Google Scholar]
- Zghyer, R.; Ostnes, R.; Halse, K.H. Is full-autonomy the way to go towards maximizing the ocean potentials? TransNav Int. J. Mar. Navig. Saf. Sea Transp. 2019, 13, 33–42. [Google Scholar] [CrossRef]
- Cárdenas, E.F.; Dutra, M.S. An augmented reality application to assist teleoperation of underwater manipulators. IEEE Lat. Am. Trans. 2016, 14, 863–869. [Google Scholar] [CrossRef]
- Laranjeira, M.; Arnaubec, A.; Brignone, L.; Dune, C.; Opderbecke, J. 3D Perception and Augmented Reality Developments in Underwater Robotics for Ocean Sciences. Curr. Robot. Rep. 2020, 1, 123–130. [Google Scholar] [CrossRef]
- de la Cruz, M.; Casañ, G.; Sanz, P.; Marín, R. Preliminary Work on a Virtual Reality Interface for the Guidance of Underwater Robots. Robotics 2020, 9, 81. [Google Scholar] [CrossRef]
- Lee, K.H.; Pruks, V.; Ryu, J.H. Development of shared autonomy and virtual guidance generation system for human interactive teleoperation. In Proceedings of the 2017 14th International Conference on Ubiquitous Robots and Ambient Intelligence (URAI), Jeju, Korea, 28 June–1 July 2017; pp. 457–461. [Google Scholar]
- Sivčev, S.; Rossi, M.; Coleman, J.; Omerdić, E.; Dooly, G.; Toal, D. Collision detection for underwater ROV manipulator systems. Sensors 2018, 18, 1117. [Google Scholar] [CrossRef] [PubMed]
- Tanwani, A.K.; Calinon, S. A generative model for intention recognition and manipulation assistance in teleoperation. In Proceedings of the 2017 IEEE/RSJ International Conference on Intelligent Robots and Systems (IROS), Vancouver, BC, Canada, 24–28 September 2017; pp. 43–50. [Google Scholar]
- Xi, B.; Wang, S.; Ye, X.; Cai, Y.; Lu, T.; Wang, R. A robotic shared control teleoperation method based on learning from demonstrations. Int. J. Adv. Robot. Syst. 2019, 16, 1729881419857428. [Google Scholar] [CrossRef]
- Li, J.H.; Lee, M.J.; Kang, H.; Kim, M.G.; Cho, G.R. Design, Performance Evaluation and Field Test of a Water Jet Tool for ROV Trencher. J. Mar. Sci. Eng. 2021, 9, 296. [Google Scholar] [CrossRef]
- Craig, J.J. Introduction to Robotics: Mechanics and Control; Addision Wesley: Boston, MA, USA, 1989. [Google Scholar]
- Cho, G.R.; Ki, H.; Lil, J.H.; Lee, M.; Jee, S.C. Assisted Teleoperation for Underwater Manipulation utilizing Touch Screen Inputs. In Proceedings of the 2018 15th International Conference on Ubiquitous Robots (UR), Honolulu, HI, USA, 26–30 June 2018; pp. 67–72. [Google Scholar]
- Cho, G.R.; Lee, M.J.; Kim, M.G.; Li, J.H. Inverse kinematics for autonomous underwater manipulations using weighted damped least squares. In Proceedings of the 2017 14th International Conference on Ubiquitous Robots and Ambient Intelligence (URAI), Jeju, Korea, 28 June–1 July 2017; pp. 765–770. [Google Scholar]
- Deo, A.S.; Walker, I.D. Overview of damped least-squares methods for inverse kinematics of robot manipulators. J. Intell. Robot. Syst. 1995, 14, 43–68. [Google Scholar] [CrossRef]
- Buss, S.R. Introduction to inverse kinematics with jacobian transpose, pseudoinverse and damped least squares methods. IEEE J. Robot. Autom. 2004, 17, 16. [Google Scholar]
- Chan, T.F.; Dubey, R.V. A weighted least-norm solution based scheme for avoiding joint limits for redundant joint manipulators. IEEE Trans. Robot. Autom. 1995, 11, 286–292. [Google Scholar] [CrossRef]












| Point 1 | Point 2 | Point 3 | ||||
|---|---|---|---|---|---|---|
| axis | AAE | MAE | AAE | MAE | AAE | MAE |
| x (mm) | 36.7 | 65.6 | 27.8 | 60.9 | 27.0 | 70.6 |
| y (mm) | 11.5 | 30.9 | 6.7 | 18.6 | 7.6 | 17.5 |
| z (mm) | 23.1 | 45.3 | 21.2 | 42.8 | 28.4 | 69.5 |
| roll (deg) | 11.3 | 27.5 | 2.3 | 7.2 | 9.5 | 19.9 |
| pitch (deg) | 1.9 | 6.6 | 8.3 | 20.7 | 4.6 | 11.4 |
| yaw (deg) | 0.8 | 2.2 | 0.5 | 1.1 | 0.9 | 1.9 |
| Control Mode | |||
|---|---|---|---|
| Step of Task | Description | Conventional Tele-Op. | Assisted Tele-Op. |
| #0 Initial posture | Manipulator is in initial posture (same posture in Figure 11). Jaw is closed | - | - |
| #1 Approaching | Moving manipulator to the gripping tool | tele-operation | assistance |
| Opening the jaw | tele-operation | tele-operation | |
| #2 Seizing | Delicate positioning of the manipulator to seize the gripping tool | tele-operation | tele-operation |
| Closing jaw (seizing the tool) | tele-operation | tele-operation | |
| #3 Displacing | Displacing gripping tool to the cable | tele-operation | assistance |
| Delicate positioning of the gripping tool on the cable | tele-operation | tele-operation | |
| Closing the gripping tool (gripping the cable) | tele-operation | tele-operation | |
| Approaching | Seizing | Displacing | Total | |
|---|---|---|---|---|
| ➀ conventional tele-op. (s) | 32.41 | 17.93 | 80.58 | 130.33 |
| ➁ assisted tele-op. (s) | 26.38 | 10.46 | 64.75 | 101.59 |
| (➀–➁)/➀ × 100 (%) | 18.62% | 41.69% | 19.64% | 22.41% |
| p-value | 0.019 | 0.004 | 0.008 | 0.002 |
Publisher’s Note: MDPI stays neutral with regard to jurisdictional claims in published maps and institutional affiliations. |
© 2021 by the authors. Licensee MDPI, Basel, Switzerland. This article is an open access article distributed under the terms and conditions of the Creative Commons Attribution (CC BY) license (https://creativecommons.org/licenses/by/4.0/).
Share and Cite
Cho, G.R.; Ki, G.; Lee, M.-J.; Kang, H.; Kim, M.-G.; Li, J.-H. Experimental Study on Tele-Manipulation Assistance Technique Using a Touch Screen for Underwater Cable Maintenance Tasks. J. Mar. Sci. Eng. 2021, 9, 483. https://doi.org/10.3390/jmse9050483
Cho GR, Ki G, Lee M-J, Kang H, Kim M-G, Li J-H. Experimental Study on Tele-Manipulation Assistance Technique Using a Touch Screen for Underwater Cable Maintenance Tasks. Journal of Marine Science and Engineering. 2021; 9(5):483. https://doi.org/10.3390/jmse9050483
Chicago/Turabian StyleCho, Gun Rae, Geonhui Ki, Mun-Jik Lee, Hyungjoo Kang, Min-Gyu Kim, and Ji-Hong Li. 2021. "Experimental Study on Tele-Manipulation Assistance Technique Using a Touch Screen for Underwater Cable Maintenance Tasks" Journal of Marine Science and Engineering 9, no. 5: 483. https://doi.org/10.3390/jmse9050483
APA StyleCho, G. R., Ki, G., Lee, M.-J., Kang, H., Kim, M.-G., & Li, J.-H. (2021). Experimental Study on Tele-Manipulation Assistance Technique Using a Touch Screen for Underwater Cable Maintenance Tasks. Journal of Marine Science and Engineering, 9(5), 483. https://doi.org/10.3390/jmse9050483

