Sign in to use this feature.

Years

Between: -

Subjects

remove_circle_outline
remove_circle_outline
remove_circle_outline
remove_circle_outline
remove_circle_outline
remove_circle_outline
remove_circle_outline
remove_circle_outline
remove_circle_outline

Journals

remove_circle_outline
remove_circle_outline
remove_circle_outline
remove_circle_outline
remove_circle_outline
remove_circle_outline
remove_circle_outline
remove_circle_outline
remove_circle_outline
remove_circle_outline
remove_circle_outline
remove_circle_outline
remove_circle_outline
remove_circle_outline
remove_circle_outline
remove_circle_outline
remove_circle_outline
remove_circle_outline

Article Types

Countries / Regions

remove_circle_outline
remove_circle_outline
remove_circle_outline
remove_circle_outline
remove_circle_outline
remove_circle_outline

Search Results (2,239)

Search Parameters:
Keywords = electroencephalography

Order results
Result details
Results per page
Select all
Export citation of selected articles as:
32 pages, 1204 KB  
Systematic Review
A Systematic Review and Meta-Analysis of EEG, fMRI, and fNIRS Studies on the Psychological Impact of Nature on Well-Being
by Alexandra Daube, Yoshua E. Lima-Carmona, Diego Gabriel Hernández Solís and Jose L. Contreras-Vidal
Int. J. Environ. Res. Public Health 2026, 23(3), 377; https://doi.org/10.3390/ijerph23030377 - 17 Mar 2026
Abstract
Exposure to nature has been associated with benefits to human well-being, commonly evaluated using standardized psychological assessments and, more recently, neuroimaging modalities such as Electroencephalography (EEG), functional Magnetic Resonance Imaging (fMRI), and functional Near-Infrared Spectroscopy (fNIRS). This systematic review and meta-analysis addresses the [...] Read more.
Exposure to nature has been associated with benefits to human well-being, commonly evaluated using standardized psychological assessments and, more recently, neuroimaging modalities such as Electroencephalography (EEG), functional Magnetic Resonance Imaging (fMRI), and functional Near-Infrared Spectroscopy (fNIRS). This systematic review and meta-analysis addresses the following questions. (1) How is the impact of nature on well-being studied using psychological and neuroimaging modalities and what does it reveal? (2) What are the challenges and opportunities for the deployment of wearable neuroimaging modalities to understand the impact of nature on the brain’s health and well-being? A search on PubMed, IEEE Xplore, and ClinicalTrials.gov (March 2024) identified 33 studies combining neuroimaging and psychological assessments during exposure to real, virtual or imagined natural environments. Studies were analyzed by tasks, populations, neuroimaging modality, psychological assessment, and methodological quality. Most studies were conducted in Asia (n = 23 or 70%). Healthy participants were the dominant target population (70%). In total, 61% of the studies were conducted in natural settings, while 39% used visual imagery. EEG was the most common modality (82%). STAI (n = 8) and POMS (n = 8) were the most common psychological assessments. Only seven studies included clinical populations. Two separate meta-analyses of nine studies with explicit experimental and control groups revealed a significant positive effect of nature exposure on psychological outcomes (Hedges’ g = 0.30; p = 0.0021), and a larger effect on neurophysiological outcomes (Hedges’ g = 0.43; p = 0.0004), both with moderate-to-high heterogeneity. Overall, exposure to nature was associated with reductions in negative emotions in clinical populations. In contrast, healthy populations showed a more balanced psychological response, with nature exposure being associated with both increases in positive emotions and reductions in negative emotions. Notably, 88% of the studies presented methodological weaknesses, highlighting key opportunities for future neuroengineering research on the neural and psychological effects of nature exposure. Full article
(This article belongs to the Section Behavioral and Mental Health)
Show Figures

Figure 1

14 pages, 935 KB  
Article
Biomarker Discovery for Autism Prediction Using Massive Feature Extraction Based on EEG Signals
by Nauman Hafeez, Abdul Rehman Aslam and Muhammad Awais Bin Altaf
Sensors 2026, 26(6), 1862; https://doi.org/10.3390/s26061862 - 16 Mar 2026
Abstract
Autism spectrum disorder (ASD) is a heterogeneous neurodevelopmental disorder that requires early diagnosis for better intervention. However, current clinical behavioural examinations are time-consuming and prone to human error. Objective and effective biomarkers are essential for the diagnosis and prognosis of the disorder. Electroencephalography [...] Read more.
Autism spectrum disorder (ASD) is a heterogeneous neurodevelopmental disorder that requires early diagnosis for better intervention. However, current clinical behavioural examinations are time-consuming and prone to human error. Objective and effective biomarkers are essential for the diagnosis and prognosis of the disorder. Electroencephalography (EEG) is a non-invasive and inexpensive brain-imaging technique that is widely applied in the diagnosis of ASD. Feature-based methods have shown better performance in EEG-based applications. Here, we present a prediction framework based on massive feature extraction using the highly comparative time-series analysis (HCTSA) method and a hybrid feature selection method for the classification of ASD from resting-state EEG. Machine-learning models are trained and tested on a different number of selected features. Our models demonstrated 100% accuracy with ≥50 features on a balanced dataset of 56 participants. The most discriminating EEG channels and features were used in the prediction process, as well as those using Shapley values to provide explainability of our framework. Whilst these results are promising, we acknowledge the limitations of a single small-scale dataset and emphasise the need for validation on larger independent cohorts before clinical translation. Full article
(This article belongs to the Section Biomedical Sensors)
Show Figures

Figure 1

23 pages, 1274 KB  
Article
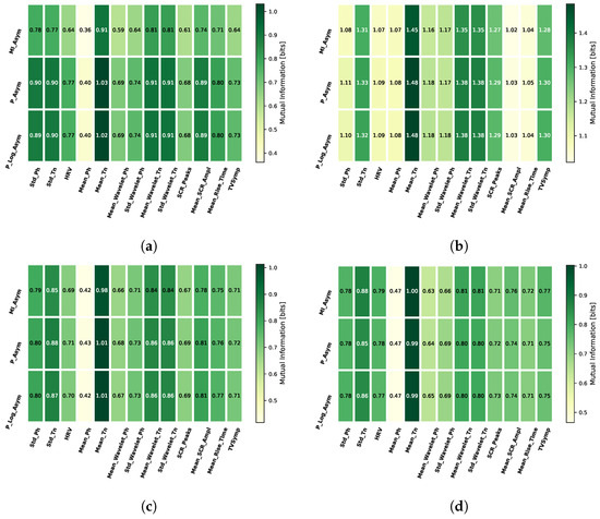
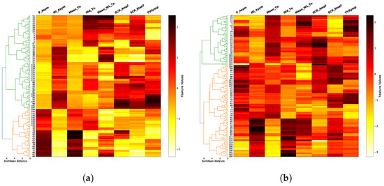
Frontal Alpha Asymmetry and Electrodermal Activity: A Mutual Information Analysis Across Cognitive Load and Sleep Deprivation
by David Alejandro Martínez Vásquez, Hugo F. Posada-Quintero and Diego Mauricio Rivera Pinzón
Biosensors 2026, 16(3), 164; https://doi.org/10.3390/bios16030164 - 15 Mar 2026
Abstract
Frontal alpha asymmetry (FAA), a pattern of brain activity that reflects the difference in alpha wave power between the left and right frontal areas of the brain, is considered a stable marker for an individual’s tendency to experience either more approach-related or withdrawal-related [...] Read more.
Frontal alpha asymmetry (FAA), a pattern of brain activity that reflects the difference in alpha wave power between the left and right frontal areas of the brain, is considered a stable marker for an individual’s tendency to experience either more approach-related or withdrawal-related emotions. On the other hand, electrodermal activity (EDA) measures arousal by tracking changes in skin sweat, which are controlled by the sympathetic nervous system. This study explores the interrelation between EDA features, obtained from time and frequency domains, with FAA by means of the mutual information. Multiple cognitive tasks such as EAT, ship search, PVT and N-Back were analyzed in 10 participants in intervals of two hours over 24 h (12 trials), in which they had to face sleep deprivation conditions. The most informative EDA features about FAA, were used to identify the two main clusters associated to high and low FAA values through the hierarchical agglomerative clustering approach. Once data is labeled, a supervised classifier based on support vector machines (SVMs) is used to identify positive and negative emotional states by using a rigorous one-trial out cross-validation scheme. Results show consistent performance within tasks and trials, achieving accuracy values over 80% on average, giving an important insight about the use of EDA signal as an alternative to the more complex FAA measurement for tracking positive or negative emotional states. Full article
(This article belongs to the Section Biosensors and Healthcare)
Show Figures

Figure 1

27 pages, 1639 KB  
Article
Cognitive Behavioral Therapy Reduces Symptom Severity and Normalizes Neurophysiological and Attentional Reactivity in Anorexia Nervosa: A Randomized Controlled Trial
by Eda Yılmazer, Metin Çınaroğlu, Selami Varol Ülker and Gökben Hızlı Sayar
Brain Sci. 2026, 16(3), 309; https://doi.org/10.3390/brainsci16030309 - 13 Mar 2026
Viewed by 110
Abstract
Background: Anorexia nervosa (AN) is a severe psychiatric disorder marked by restrictive eating, distorted body image, and high relapse rates. While cognitive-behavioral therapy (CBT) is a widely used treatment, its mechanisms of action in AN remain incompletely understood, particularly beyond self-reported symptom change. [...] Read more.
Background: Anorexia nervosa (AN) is a severe psychiatric disorder marked by restrictive eating, distorted body image, and high relapse rates. While cognitive-behavioral therapy (CBT) is a widely used treatment, its mechanisms of action in AN remain incompletely understood, particularly beyond self-reported symptom change. This study investigated the effects of a 12-week CBT intervention on both clinical and multimodal laboratory-based outcomes in women with restrictive-type AN. Methods: In a two-arm, pre–post randomized controlled trial (ClinicalTrials.gov: NCT07037017), 59 women with restrictive-type AN were randomized to a CBT intervention (n = 30) or no-treatment control (n = 29). A total of 50 participants (CBT: 26; control: 24) completed baseline and post-intervention assessments and were included in analyses. Outcomes included psychometric measures (eating disorder symptoms, depression, anxiety, body image-related obsessive–compulsive symptoms, and cognitive emotion regulation) and laboratory-based indices: electroencephalography (EEG), galvanic skin response (GSR), and eye-tracking during exposure to food- and body-related stimuli. Group × Time effects were analyzed using repeated-measures mixed-effects models, and statistical analyses were conducted using SPSS (Version 31; IBM Corp., Armonk, NY, USA). Results: Significant Group × Time interactions indicated greater improvements in the CBT group across all psychometric outcomes, including reduced eating disorder symptom severity (p < 0.001, ηp2 = 0.28) and increased adaptive emotion regulation. CBT participants also showed significant reductions in EEG P300 and late positive potential (LPP) amplitudes to body-related stimuli, increased frontal alpha asymmetry, decreased visual fixation on salient body and food cues, and attenuated GSR reactivity (all p < 0.05). Exploratory correlations revealed that symptom improvements were associated with reductions in neurophysiological and attentional reactivity. Conclusions: To our knowledge, this is the first RCT in AN to demonstrate that CBT not only improves self-reported outcomes but also modulates neurophysiological and attentional processes implicated in the maintenance of the disorder. Multimodal laboratory assessments provided mechanistic insight into treatment effects and may inform personalized intervention strategies. CBT appears to facilitate recovery through both cognitive–emotional and physiological recalibration. Full article
(This article belongs to the Section Neuropsychiatry)
Show Figures

Figure 1

19 pages, 1391 KB  
Article
Effects of Sleep Duration on Electroencephalographic and Autonomic Nervous System Responses to High-Intensity Exercise
by Jae-Hyun Jung, Wi-Young So and Jae-Myun Ko
Healthcare 2026, 14(6), 728; https://doi.org/10.3390/healthcare14060728 - 12 Mar 2026
Viewed by 156
Abstract
Objective: This study examined whether changes in electroencephalography (EEG)-derived indices, photoplethysmography (PPG)-derived autonomic nervous system indices, heart rate, and rating of perceived exertion (RPE) post-high-intensity exercise differ depending on sleep duration. Methods: Forty physically healthy female university students in their twenties [...] Read more.
Objective: This study examined whether changes in electroencephalography (EEG)-derived indices, photoplethysmography (PPG)-derived autonomic nervous system indices, heart rate, and rating of perceived exertion (RPE) post-high-intensity exercise differ depending on sleep duration. Methods: Forty physically healthy female university students in their twenties were randomly assigned to the sleep restriction (SR) or normal sleep (NS) group. EEG-derived indices—the theta-to-beta ratio (TBR) and spectral edge frequency at 90% (SEF-90)—and PPG-derived autonomic nervous system indices (HRV index, sympathetic activity, and parasympathetic activity) were measured for one minute at rest before exercise and for one minute immediately after exercise. Heart rate was assessed at rest, immediately after exercise, and at 5, 10, and 15 min post-exercise. The group × time interaction effects were assessed using two-way mixed-design analysis of variance, followed by post hoc analyses. Results: TBR increased significantly post-exercise in the SR group (p = 0.002) with no significant change in the NS group. SEF-90 decreased significantly in the SR group (p < 0.001) with no significant change in the NS group. The HRV index decreased significantly in the SR group (p = 0.004) with no significant change in the NS group. Sympathetic activity increased and parasympathetic activity decreased significantly in the SR group (both p < 0.001). Heart rate was significantly higher in the SR group at rest (p < 0.001), immediately after exercise (p = 0.020), and 5 min post-exercise (p = 0.009). RPE was significantly higher in the SR group (p = 0.003). Conclusions: In healthy young adult women, the central and autonomic nervous systems respond differently to high-intensity exercise depending on sleep duration. Full article
(This article belongs to the Special Issue Innovative Exercise-Based Approaches for Chronic Condition Management)
Show Figures

Figure 1

14 pages, 4757 KB  
Article
Design and Implementation of an IoT-Based Low-Power Wearable EEG Sensing System for Home-Based Sleep Monitoring
by Ya Wang, Jun-Bo Chen and Yu-Ting Chen
Sensors 2026, 26(6), 1803; https://doi.org/10.3390/s26061803 - 12 Mar 2026
Viewed by 199
Abstract
Long-term home-based sleep monitoring requires wearable sensing devices that strictly balance signal precision with power constraints. This study presents the design and implementation of a low-noise, low-power wearable single-channel electroencephalography (EEG) system for automatic sleep staging. The hardware architecture integrates a TI ADS1298 [...] Read more.
Long-term home-based sleep monitoring requires wearable sensing devices that strictly balance signal precision with power constraints. This study presents the design and implementation of a low-noise, low-power wearable single-channel electroencephalography (EEG) system for automatic sleep staging. The hardware architecture integrates a TI ADS1298 analog front-end with an STM32F4 microcontroller, utilizing differential sampling and hardware-based filtering to effectively suppress power-line interference and baseline drift. System-level testing demonstrates an average power consumption of approximately 150.85 mW, enabling over 24.6 h of continuous operation on a 1000 mAh battery, which meets the requirements for overnight monitoring. To achieve accurate staging without draining the wearable’s battery, we adopted and deployed a lightweight deep learning model, SleePyCo, on the cloud backend. This architecture was specifically optimized for our edge–cloud collaborative execution, which combines contrastive representation learning with temporal dependency modeling. Validation on the ISRUC dataset yielded an overall accuracy of 79.3% ± 3.0%, with a notable F1-score of 88.3% for Deep Sleep (N3). Furthermore, practical field trials involving 10 healthy subjects verified the system’s engineering stability, achieving a valid data rate exceeding 97% and a Bluetooth packet loss rate of only 0.8%. These results confirm that the proposed hardware–software co-designed system provides a robust, energy-efficient IoMT sensing solution for daily sleep health management. Full article
(This article belongs to the Section Wearables)
Show Figures

Graphical abstract

33 pages, 4366 KB  
Article
Structured and Factorized Multi-Modal Representation Learning for Physiological Affective State and Music Preference Inference
by Wenli Qu and Mu-Jiang-Shan Wang
Symmetry 2026, 18(3), 488; https://doi.org/10.3390/sym18030488 - 12 Mar 2026
Viewed by 125
Abstract
Emotions and affective responses are core intervention targets in music therapy. Through acoustic elements, music can evoke emotional responses at physiological and neurological levels, influencing cognition and behavior while providing an important dimension for evaluating therapeutic efficacy. However, emotions are inherently abstract and [...] Read more.
Emotions and affective responses are core intervention targets in music therapy. Through acoustic elements, music can evoke emotional responses at physiological and neurological levels, influencing cognition and behavior while providing an important dimension for evaluating therapeutic efficacy. However, emotions are inherently abstract and difficult to represent directly. Artificial intelligence models therefore provide a promising tool for modeling and quantifying such abstract affective states from physiological signals. In this paper, we propose a structured and explicitly factorized multi-modal representation learning framework for joint affective state and preference inference. Instead of entangling heterogeneous dynamics within monolithic encoders, the framework decomposes representation learning into cross-channel interaction modeling and intra-channel temporal–spectral organization modeling. The framework integrates electroencephalography (EEG), peripheral physiological signals (GSR, BVP, EMG, respiration, and temperature), and eye-movement data (EOG) within a unified temporal modeling paradigm. At its core, a Dynamic Token Feature Extractor (DTFE) transforms raw time series into compact token representations and explicitly factorizes representation learning into (i) explicit channel-wise cross-series interaction modeling and (ii) temporal–spectral refinement via learnable frequency-domain gating. These complementary structural modules are implemented through Cross-Series Intersection (CSI) and Intra-Series Intersection (ISI), which perform low-rank channel dependency learning and adaptive spectral modulation, respectively. A hierarchical cross-modal fusion strategy integrates modality-level tokens in a representation-consistent and interaction-aware manner, enabling coordinated modeling of neural, autonomic, and attentional responses. The entire framework is optimized under a unified multi-task objective for valence, arousal, and liking prediction. Experiments on the DEAP dataset demonstrate consistent improvements over state-of-the-art methods. The model achieves 98.32% and 98.45% accuracy for valence and arousal prediction, 97.96% for quadrant classification in single-task evaluation, and 92.8%, 91.8%, and 93.6% accuracy for valence, arousal, and liking in joint multi-task settings. Overall, this work establishes a structure-aware and factorized multi-modal representation learning framework for robust affective decoding and intelligent music therapy systems. Full article
(This article belongs to the Section Computer)
Show Figures

Figure 1

15 pages, 784 KB  
Brief Report
From Signal to Symptom: EEG Paroxysms and Background Slowing as Potential Biomarkers and Compensatory Failures in Treatment-Resistant Schizophrenia
by Georgi Panov, Presyana Panova, Silvana Dyulgerova and Ivan Chakarov
Biomedicines 2026, 14(3), 641; https://doi.org/10.3390/biomedicines14030641 - 12 Mar 2026
Viewed by 134
Abstract
Background: Schizophrenia is a heterogeneous disorder, and treatment-resistant schizophrenia (TRS) affects 20–30% of patients, yet objective biomarkers for its identification remain limited. Routine electroencephalography (EEG) offers a non-invasive window into cortical network dynamics, with previous studies reporting paroxysmal epileptiform activity and background slowing [...] Read more.
Background: Schizophrenia is a heterogeneous disorder, and treatment-resistant schizophrenia (TRS) affects 20–30% of patients, yet objective biomarkers for its identification remain limited. Routine electroencephalography (EEG) offers a non-invasive window into cortical network dynamics, with previous studies reporting paroxysmal epileptiform activity and background slowing in a subset of patients. However, the biological significance of these findings—whether purely pathological or potentially compensatory—remains unclear. This study aimed to compare EEG abnormalities between TRS patients and those in clinical remission and to propose an integrative neurobiological interpretation. Methods: In a cross-sectional design, 89 patients with schizophrenia (39 TRS, 50 in remission) underwent routine EEG recordings using the international 10–20 system. TRS was defined according to TRRIP consensus criteria, requiring <20% symptom reduction after adequate antipsychotic trials. EEG analysis focused on the prevalence of interictal epileptiform discharges (IEDs) and the severity of background slowing, assessed on a 4-point ordinal scale. Results: IEDs were more than twice as prevalent in TRS patients compared to those in remission. Background slowing was significantly more severe in the TRS group, with the majority showing moderate-to-severe abnormalities versus predominantly normal-to-mild patterns in remission patients. Focal EEG abnormalities also followed this pattern. Multivariate analysis confirmed that both IEDs and background severity were independent predictors of TRS. Conclusions: EEG abnormalities, particularly IEDs and background slowing, are potential neurophysiological signatures associated with treatment resistance. We propose an integrative hypothesis suggesting that IEDs may originate as a failed compensatory mechanism—the brain’s attempt to restore network homeostasis. In chronic TRS these discharges become maladaptive, contributing to excitotoxicity and network dysfunction. This framework opens avenues for EEG-based stratification and novel therapeutic strategies targeting cortical excitability. Full article
(This article belongs to the Section Neurobiology and Clinical Neuroscience)
Show Figures

Figure 1

32 pages, 6034 KB  
Article
Direct Evidence for the Feedforward Neurovascular Coupling Mechanism in Humans During Task Onset: An EEG-fNIRS-TCD Multimodal Imaging Study
by Joel S. Burma, Matthew G. Neill, Elizabeth K. S. Fletcher, Jina Seok, Nathan E. Johnson, Kathryn J. Schneider, Chantel T. Debert, Jeff F. Dunn and Jonathan D. Smirl
Sensors 2026, 26(6), 1790; https://doi.org/10.3390/s26061790 - 12 Mar 2026
Viewed by 121
Abstract
This investigation assessed the neurovascular coupling response through integrated assessments of neuronal function [electroencephalography (EEG)], microvascular oxygenation concentrations [functional near-infrared spectroscopy (fNIRS)], and arterial responses [transcranial Doppler ultrasound (TCD)]. The NVC response was assessed in 113 participants (86 females, aged 19–40 years) during [...] Read more.
This investigation assessed the neurovascular coupling response through integrated assessments of neuronal function [electroencephalography (EEG)], microvascular oxygenation concentrations [functional near-infrared spectroscopy (fNIRS)], and arterial responses [transcranial Doppler ultrasound (TCD)]. The NVC response was assessed in 113 participants (86 females, aged 19–40 years) during visual (“Where’s Waldo?”) and motor (finger tapping) tasks. Block-averaged, time–frequency power was computed from the EEG data, while hemodynamic response functions were obtained from the fNIRS and TCD metrics. Granger causality assessed the predictiveness between EEG-fNIRS-TCD waveforms for each participant and was converted into a percentage of individuals displaying a significant value. Linear models were computed to determine the influence of sex, concussion history, young adulthood age, cardiorespiratory fitness, and mental health/learning disabilities on NVC parameters. During the initial 10 s of task onset, unidirectional predictiveness was weak to very strong for EEG-TCD (range: 47–83%) and fNIRS-TCD (44–92%) relationships; however, very weak to weak predictiveness was seen for the E0EG-fNIRS (0–29%) relationship for both tasks. Aside from known sex-, age-, and fitness-based influences on baseline/peak hemodynamic values (p < 0.050), the addition of concussion history and mental health/learning disabilities had minimal influence on NVC responses (p > 0.050). The findings demonstrated a unidirectional feedforward mechanism from the neuronal and microvasculature to the upstream arteries during task onset. Full article
(This article belongs to the Section Sensing and Imaging)
Show Figures

Figure 1

11 pages, 259 KB  
Article
Sleep Disturbances and Non-REM Phase Alterations in Children with Celiac Disease: A Combined Questionnaire and EEG Study
by Mehpare Sarı Yanartaş, Nurel İnan Aydemir, Furkan Donbaloğlu, Chakan Tsakir, Özlem Yayıcı Köken, Burçin Şanlıdağ, Şenay Türe, Boran Şekeroğlu, Aygen Yılmaz and Şenay Haspolat
Brain Sci. 2026, 16(3), 304; https://doi.org/10.3390/brainsci16030304 - 12 Mar 2026
Viewed by 131
Abstract
Background: Celiac disease (CD) is a multisystem immune-mediated disorder increasingly recognized to affect sleep and neurobehavioral functioning. Pediatric data remain limited, and no prior study has examined especially for sleep microstructure in this population. This study evaluates the prevalence and patterns of sleep [...] Read more.
Background: Celiac disease (CD) is a multisystem immune-mediated disorder increasingly recognized to affect sleep and neurobehavioral functioning. Pediatric data remain limited, and no prior study has examined especially for sleep microstructure in this population. This study evaluates the prevalence and patterns of sleep disturbances in children with CD using the Sleep Disturbance Scale for Children (SDSC) and explores potential electrophysiological correlates through N2 sleep spindle analysis. Methods: Children with biopsy-confirmed CD (n = 31) and age-matched controls (n = 25) completed the SDSC. A subgroup of CD patients with SDSC ≥ 35 and healthy controls underwent quantitative sleep spindle analysis (C3, C4, O1, O2) using automated and visual verification methods combined. Results: Clinically significant sleep disturbances were substantially more prevalent in CD than in controls (77.4% vs. 12%). Excessive somnolence, sleep–wake transition disorders, and sleep hyperhidrosis were the most affected domains. Moreover, among children with CD, those noncompliant with a gluten-free diet exhibited higher rates of excessive somnolence and sleep–wake transition disorders. While spindle parameters did not differ between groups, higher SDSC scores (≥35)—particularly in the somnolence and sleep–wake transition disorder domains—are associated with reduced spindle amplitude and density, suggesting that spindle alterations are linked to sleep disturbance severity rather than disease status per se. Conclusions: Sleep disturbances are common in pediatric CD and worsen with poor dietary adherence. Although sleep microarchitecture is largely preserved, reduced spindle activity is evident in children with higher subjective sleep burden, suggesting that spindle metrics may serve as potential objective markers for sleep disturbance. Longitudinal studies are required for validation. Full article
(This article belongs to the Section Sleep and Circadian Neuroscience)
11 pages, 1099 KB  
Article
Real-Time EEG-Derived Amygdala Neurofeedback for Post-Traumatic Stress Disorder: A Clinical Case Series
by Diana Ghelber, Tal Harmelech and Aron Tendler
J. Clin. Med. 2026, 15(6), 2122; https://doi.org/10.3390/jcm15062122 - 11 Mar 2026
Viewed by 171
Abstract
Background: Post-traumatic stress disorder (PTSD) affects millions globally, with 40–50% of patients not responding adequately to first-line treatments. Prism neurofeedback, an FDA-cleared electroencephalography (EEG)-based system targeting amygdala-derived biomarkers, has demonstrated efficacy in randomized controlled trials (RCTs) and multicenter studies. Real-world implementation data from [...] Read more.
Background: Post-traumatic stress disorder (PTSD) affects millions globally, with 40–50% of patients not responding adequately to first-line treatments. Prism neurofeedback, an FDA-cleared electroencephalography (EEG)-based system targeting amygdala-derived biomarkers, has demonstrated efficacy in randomized controlled trials (RCTs) and multicenter studies. Real-world implementation data from community clinical practice remain limited. Objective: To evaluate clinical outcomes and patient-developed self-regulation strategies of Prism neurofeedback in patients with PTSD in community clinical practice. Methods: Retrospective case series of 28 consecutive patients with PTSD treated with Prism neurofeedback in a community psychiatry practice. The primary outcome was change in PTSD Checklist for DSM-5 (PCL-5) from baseline to end of treatment. Results: Twenty-one of 28 patients (75.0%) completed treatment. Mean PCL-5 reduction was 37.0 ± 18.2 points (Cohen’s d = 2.03). Response rates were 100% for any improvement and 90.5% for clinically significant improvement (≥10-point reduction). Five patients (23.8%) achieved excellent response with ≥50-point reduction. Limited follow-up data (1–3 months post-treatment) were available for three patients; two of three (67%) exceeded their end-of-treatment gains. Four patients receiving booster sessions showed continued improvement. Limitations: The uncontrolled, retrospective design precludes causal attribution of improvements to the intervention versus placebo effects or regression to the mean. The 25% early discontinuation rate may introduce attrition bias. Durability data are available for only three patients. Conclusions: This case series provides real-world evidence supporting the feasibility and potential clinical utility of Prism neurofeedback in community practice, with outcomes comparable to controlled studies and preliminary evidence of durable treatment effects. These findings complement existing RCT evidence by demonstrating successful implementation outside research settings. Full article
Show Figures

Figure 1

9 pages, 924 KB  
Proceeding Paper
Multi-Class Electroencephalography Motor Imagery Classification of Limb Movements Using Convolutional Neural Network
by Yean Ling Chan, Yiqi Tew, Ching Pang Goh and Choon Kit Chan
Eng. Proc. 2026, 128(1), 20; https://doi.org/10.3390/engproc2026128020 - 11 Mar 2026
Viewed by 126
Abstract
We classified essential motor actions, dorsal and plantar flexion (lower limb), and arm movement (upper limb) from electroencephalography (EEG)-based brain–computer interface (BCI) signals, using a convolutional neural network (CNN). Different from previous research on upper or lower limb motor imagery in isolation, we [...] Read more.
We classified essential motor actions, dorsal and plantar flexion (lower limb), and arm movement (upper limb) from electroencephalography (EEG)-based brain–computer interface (BCI) signals, using a convolutional neural network (CNN). Different from previous research on upper or lower limb motor imagery in isolation, we integrated both categories in a unified framework to explore a broader range of movements for broader applications. These motor actions are fundamental to daily activities such as walking, running, maintaining balance, lifting, reaching, and exercising. Upper limb EEG data were provided by INTI International University, whereas lower limb data were obtained from a publicly available dataset, recorded using 16-channel Emotiv and OpenBCI systems, respectively, each with distinct sampling rates and signal formats. To improve signal quality and facilitate joint model training, all signals were downsampled to 125 Hz, standardized to 16 channels, segmented using sliding windows, normalized via StandardScaler, and labelled according to action class. The processed data were used to train a CNN model configured with a kernel size of 3 and rectified linear unit activation functions. Training was terminated early at epoch 11 using an early stopping strategy, resulting in approximately 67% accuracy for both training and validation sets. Although this accuracy was moderate for deep learning, a promising outcome for EEG-based multi-class motor imagery classification was obtained, with the challenges posed by limited data availability, low inter-class feature discriminability, and the inherently noisy nature of non-invasive EEG signals. The results of this study underscore the potential of CNN-based models for future real-time BCI applications. By expanding the dataset, deep learning architectures can be refined to improve signal preprocessing techniques. Prosthetic devices need to be integrated to validate the system in practical scenarios. Full article
Show Figures

Figure 1

17 pages, 11401 KB  
Article
Exploring the Impact of Emotional States on Fatigue Evolution in Metro Drivers: A Physiological Signal-Based Approach
by Lianjie Chen, Yuanchun Huang, Fangsheng Wang, Lin Zhu and Zhigang Liu
Appl. Sci. 2026, 16(6), 2653; https://doi.org/10.3390/app16062653 - 10 Mar 2026
Viewed by 129
Abstract
To investigate the regulatory effects of emotional states on the evolution of fatigue in metro drivers, this study conducts an experimental investigation based on an urban rail transit driving simulation platform. A total of 21 participants complete a 90 min simulated driving task, [...] Read more.
To investigate the regulatory effects of emotional states on the evolution of fatigue in metro drivers, this study conducts an experimental investigation based on an urban rail transit driving simulation platform. A total of 21 participants complete a 90 min simulated driving task, during which electroencephalogram (EEG) and electrocardiogram (ECG) signals are synchronously collected from drivers for fatigue assessment and emotion recognition, respectively. An emotion recognition model based on a multi-scale convolutional neural network (MSCNN) combined with an attention mechanism is constructed. The proposed model uses ECG signals to classify three emotional states—neutral, positive, and negative—where the neutral state is defined as an emotionally undefined baseline that is neither positive nor negative. The model achieves a classification accuracy of 86.96% on the DREAMER dataset. By temporally aligning the emotion recognition results with EEG frequency-domain fatigue indicators, the results show that fatigue exhibits the highest growth and largest fluctuation in amplitude under negative emotions, demonstrating a pronounced fatigue-accelerating effect. Under positive emotions, fatigue decreases considerably and has smaller fluctuations, indicating a certain buffering and restorative effect. In contrast, the neutral emotional state exhibits intermediate and transitional fatigue characteristics. This study innovatively integrates ECG-based emotion recognition with EEG-based fatigue assessment to reveal the mechanisms based on which emotions influence fatigue in metro driving tasks from a physiological perspective. This work provides a basis for emotion-aware fatigue monitoring and safety intervention strategies. Full article
(This article belongs to the Section Transportation and Future Mobility)
Show Figures

Figure 1

19 pages, 1209 KB  
Review
Neuroplasticity Mechanism of Stroke Rehabilitation Training System Based on Virtual Reality: A Review
by Runzi Cheng, Hui Xu and Xing Wang
Sensors 2026, 26(6), 1753; https://doi.org/10.3390/s26061753 - 10 Mar 2026
Viewed by 249
Abstract
The paper systematically reviews the application status of virtual reality technology in the rehabilitation of upper-limb movement, lower-limb gait balance, and cognitive function of stroke patients. Based on electroencephalography (EEG), functional magnetic resonance imaging (fMRI), and functional near-infrared spectroscopy (fNIRS), the correlation mechanism [...] Read more.
The paper systematically reviews the application status of virtual reality technology in the rehabilitation of upper-limb movement, lower-limb gait balance, and cognitive function of stroke patients. Based on electroencephalography (EEG), functional magnetic resonance imaging (fMRI), and functional near-infrared spectroscopy (fNIRS), the correlation mechanism of virtual reality promoting brain functional reorganization and neural remodeling is analyzed from the perspective of task-oriented training, reinforcement learning, and neural regulation. The virtual reality rehabilitation scheme can accurately match the actual needs of clinical rehabilitation, and exploring the internal mechanism of its intervention in the dynamic process of rehabilitation is helpful to promote the deep integration of virtual reality technology and rehabilitation medicine. This study integrates high temporal resolution EEG activity data, magnetic resonance imaging spatial positioning information, cerebral hemodynamic data, and virtual reality system behavior data, realizing the systematic quantitative output of rehabilitation effect in the “human-computer” interactive closed loop. Finally, the future development direction is projected from the aspects of system optimization, standard setting, and multi-technology integration to provide a reference for promoting the clinical application and development of virtual reality technology in stroke rehabilitation. Full article
(This article belongs to the Section Biomedical Sensors)
Show Figures

Figure 1

18 pages, 1052 KB  
Article
Comparative Evaluation of Time–Frequency Transformations and Pretrained CNN Models for EEG-Based Parkinson’s Disease Detection
by Amir Azadnouran, Hesam Akbari, Muhammad Tariq Sadiq, Daniella Smith and Mutlu Mete
BioMedInformatics 2026, 6(2), 12; https://doi.org/10.3390/biomedinformatics6020012 - 9 Mar 2026
Viewed by 178
Abstract
Background: Parkinson’s disease is a progressive neurodegenerative disorder. Early PD detection plays a key role in effective therapy. Electroencephalography is a neuroimaging technique used to analyze brain abnormalities, such as those seen in patients with PD. However, the complex nature of EEG data [...] Read more.
Background: Parkinson’s disease is a progressive neurodegenerative disorder. Early PD detection plays a key role in effective therapy. Electroencephalography is a neuroimaging technique used to analyze brain abnormalities, such as those seen in patients with PD. However, the complex nature of EEG data requires advanced signal processing and classification methods. Methods: This study systematically evaluates three time-frequency (TF) representation techniques, namely discrete wavelet transform (DWT), continuous wavelet transform (CWT), and synchrosqueezing transform (SST), along with four pretrained convolutional neural network architectures for EEG-based PD detection. The experiments were performed using the San Diego dataset. Image-wise and subject-wise 5-fold cross-validation were employed to assess performance and generalization capability. Results: CWT and SST consistently outperform DWT across all evaluated architectures in image-wise CV evaluation. At the image-wise level, the CWT-EfficientNet-B0 model achieved 97.28% accuracy for HC vs. PD-OFF classification, while SST-EfficientNet-B0 reached 97.26% accuracy for HC vs. PD-ON classification. In subject-wise evaluation, acceptable accuracies of up to 84% were achieved, indicating the ability of the framework in learning PD patterns for unseen subjects. Conclusions: These findings demonstrate that the choice of TF representation has a strong impact on classification performance and that lightweight CNN architectures can achieve high image-wise accuracy with reduced computational cost. Full article
(This article belongs to the Section Methods in Biomedical Informatics)
Show Figures

Figure 1

Back to TopTop