Sign in to use this feature.

Years

Between: -

Subjects

remove_circle_outline
remove_circle_outline
remove_circle_outline
remove_circle_outline
remove_circle_outline
remove_circle_outline
remove_circle_outline
remove_circle_outline
remove_circle_outline

Journals

remove_circle_outline
remove_circle_outline
remove_circle_outline
remove_circle_outline
remove_circle_outline
remove_circle_outline
remove_circle_outline
remove_circle_outline
remove_circle_outline
remove_circle_outline
remove_circle_outline
remove_circle_outline
remove_circle_outline
remove_circle_outline

Article Types

Countries / Regions

remove_circle_outline
remove_circle_outline
remove_circle_outline
remove_circle_outline
remove_circle_outline
remove_circle_outline
remove_circle_outline
remove_circle_outline

Search Results (2,325)

Search Parameters:
Keywords = catechins

Order results
Result details
Results per page
Select all
Export citation of selected articles as:
16 pages, 2336 KB  
Article
Isolation of (+)-Catechin from Food Waste Using Ionic Liquid-Modified ZIF67 Covered Silica
by Mengshuai Liu, Xiaoman Li, Mengmeng Zhao, Xuyang Jiu, Chuang Yao and Minglei Tian
Separations 2026, 13(2), 72; https://doi.org/10.3390/separations13020072 - 19 Feb 2026
Abstract
Background: Food waste contains abundant (+)-catechin, but its efficient recovery remains challenging. This study aimed to prepare ionic liquid (IL)-modified sorbents and establish an efficient method for (+)-catechin recovery from chocolate waste via solid-phase extraction (SPE). Methods: Three series of IL-modified sorbents (Sil-IL, [...] Read more.
Background: Food waste contains abundant (+)-catechin, but its efficient recovery remains challenging. This study aimed to prepare ionic liquid (IL)-modified sorbents and establish an efficient method for (+)-catechin recovery from chocolate waste via solid-phase extraction (SPE). Methods: Three series of IL-modified sorbents (Sil-IL, ZIF67-IL, Sil@ZIF67-IL) were synthesized. Their adsorption performance was evaluated under different conditions; adsorption isotherm and kinetic data were fitted to Langmuir/Freundlich and pseudo-first/second-order models, respectively. Sorbent stability and (+)-catechin recovery from chocolate waste extracts were tested. Results: Sil@ZIF67-Hmim showed the highest adsorption capacity (154.4 mg/g) at 25 °C within 120 min. Adsorption followed the Langmuir model (R2 = 0.99), indicating chemisorption. Sil@ZIF67-Hmim was subjected to repeated solid-phase extraction (SPE) for five consecutive days; the recovery rate ranged from 98.1% to 99.2%, and the relative standard deviation (RSD) was 3.2–4.4%. Conclusions: Sil@ZIF67-Hmim is a high-efficiency sorbent for (+)-catechin recovery from chocolate waste, providing a novel approach for food waste valorization and highlighting the application potential of IL-modified MOF-silica composites. Full article
(This article belongs to the Section Materials in Separation Science)
Show Figures

Figure 1

19 pages, 1010 KB  
Article
Phenolic Compounds Isolated from Salix cinerea L. with Emphasis on the Pharmaceutical Relevance of Flavan-3-ols
by Thomas Olaf Gruber, Katrin Kuck, Dejan Orčić, Jörg Heilmann, Gregor Aas and Guido Jürgenliemk
Molecules 2026, 31(4), 702; https://doi.org/10.3390/molecules31040702 - 18 Feb 2026
Viewed by 44
Abstract
During this phytochemical study, 13 compounds from the bark of Salix cinerea L. were isolated and their structures elucidated. These included two salicylic alcohol derivatives, one flavonol, two phenylpropanoids, two flavan-3-ols, two dimeric procyanidins, two dimeric prodelphinidins, and a unique ester of catechin [...] Read more.
During this phytochemical study, 13 compounds from the bark of Salix cinerea L. were isolated and their structures elucidated. These included two salicylic alcohol derivatives, one flavonol, two phenylpropanoids, two flavan-3-ols, two dimeric procyanidins, two dimeric prodelphinidins, and a unique ester of catechin (3-O-(1-hydroxy-6-oxo-2-cyclohexen-1-carboxylic acid), HCH-catechin). Furthermore, seasonal variations in the composition of Salix cortex regarding proanthocyanidins (PA) and the degree of polymerization were examined using NMR spectroscopy, revealing an increase in polymerization throughout the growing season 2020 associated with a consistent hydroxylation pattern in the B-ring. The isolated HCH-catechin was tested in vitro for its inhibitory effect on TNF-α-induced ICAM-1 expression in human microvascular endothelial cells (HMEC-1). A 24 h treatment with a 25 µM solution of HCH-catechin significantly reduced ICAM-1 expression (83.7 ± 3.2%) compared to unsubstituted catechin (97.9 ± 4.4%). Additionally, during a mass-spectrometric screening, numerous HCH adducts within the PA fraction could be identified, allowing for the proposition of a characteristic fragmentation pattern. This study establishes a foundation for a comprehensive assessment of the phenolic, PA-rich fraction in willow bark, particularly the occurrence of HCH adducts, which may contribute to the medicinal properties of Salicis cortex. Findings on seasonal variations and mass spectrometric profiling offer new insights into the quality standards for Salicis cortex as a medicinal remedy. Full article
(This article belongs to the Section Molecular Structure)
22 pages, 2334 KB  
Article
Comparative Evaluation of Green Extraction Technologies for Phenolic Compounds from Algerian Blackthorn (Prunus spinosa L.): Antioxidant, Antimicrobial, and Phytochemical Insights
by Asmaa Berkati, Nadir Ben Hamiche, Louiza Himed, Yasmine Lina Simoud, Younes Arroul, Salah Merniz, Maria D’Elia, Rita Celano and Luca Rastrelli
Foods 2026, 15(4), 743; https://doi.org/10.3390/foods15040743 - 18 Feb 2026
Viewed by 60
Abstract
Blackthorn (Prunus spinosa L.) is an underutilized Mediterranean wild fruit recognized as a valuable source of bioactive phenolic compounds with potential applications in food and nutraceutical formulations. Despite growing interest in sustainable extraction approaches, systematic comparisons of green extraction technologies for blackthorn [...] Read more.
Blackthorn (Prunus spinosa L.) is an underutilized Mediterranean wild fruit recognized as a valuable source of bioactive phenolic compounds with potential applications in food and nutraceutical formulations. Despite growing interest in sustainable extraction approaches, systematic comparisons of green extraction technologies for blackthorn phenolic recovery remain limited, particularly for North African ecotypes. In this study, four non-conventional green extraction techniques, pressurized liquid extraction, microwave-assisted extraction, ultrasound-assisted extraction, and Ultra-Turrax-assisted extraction, were compared for the recovery of phenolic compounds from Algerian blackthorn fruits under method-specific controlled conditions. Total phenolic compounds, flavonoids, anthocyanins, and condensed tannins were quantified, together with antioxidant capacity evaluated using multiple complementary assays. Pressurized liquid extraction yielded the highest total phenolic compound content (21.89 mg gallic acid equivalents/g dry weight) and flavonoid content (8.18 mg catechin equivalents/g dry weight), while microwave-assisted extraction showed the highest anthocyanin recovery (3.19 mg cyanidin-3-glucoside equivalents/g dry weight). Antioxidant capacity values obtained by different assays showed comparable trends for pressurized liquid extraction and microwave-assisted extraction. The extract obtained by the most effective method was further evaluated for antimicrobial activity, showing selective inhibitory effects against methicillin-resistant Staphylococcus aureus, Acinetobacter baumannii, and Bacillus subtilis. Chemical characterization by liquid chromatography–tandem mass spectrometry revealed a profile dominated by flavonoids, mainly quercetin derivatives, and hydroxycinnamic acids. Overall, these findings highlight pressurized liquid extraction as a promising green technology for the valorization of blackthorn fruits as sources of phenolic compounds for food-related applications. Full article
Show Figures

Figure 1

16 pages, 4310 KB  
Article
Bioactive Compounds in Cornus mas L. and Juniperus communis L.
by Anna Przybylska-Balcerek and Kinga Stuper-Szablewska
Forests 2026, 17(2), 270; https://doi.org/10.3390/f17020270 - 17 Feb 2026
Viewed by 167
Abstract
The growing interest in plant-derived bioactive compounds has intensified research on traditional but underexplored species as potential sources of health-promoting metabolites. This study aimed to compare the phytochemical profiles and antioxidant potential of fruits of Cornus mas L. (Cornelian cherry) and Juniperus communis [...] Read more.
The growing interest in plant-derived bioactive compounds has intensified research on traditional but underexplored species as potential sources of health-promoting metabolites. This study aimed to compare the phytochemical profiles and antioxidant potential of fruits of Cornus mas L. (Cornelian cherry) and Juniperus communis L. (common juniper) collected from two natural locations in Poland. Lyophilized fruits were subjected to combined alkaline and acid hydrolysis followed by extraction, and the released phenolic compounds were identified and quantified using UPLC–PDA. Total phenolic content (TPC), total flavonoid content (TFC), total anthocyanin carotenoid content, chlorophylls, organic acids, and antioxidant activity (ABTS•+ assay) were determined spectrophotometrically. The fruits of C. mas exhibited significantly higher TPC (3584–3641 mg GAE/100 g d.m.), TFC (875–895 mg RUTE/100 g d.m.), TAC (247–266 mg CAE/100 g d.m.), and antioxidant activity (1544–1698 µmol Trolox/kg d.m.) compared with J. communis. Chlorogenic acid and quercetin were the dominant phenolic constituents in C. mas, whereas J. communis was characterized by higher proportions of protocatechuic acid, catechin, and kaempferol. J. communis fruits contained higher total organic acids, mainly citric acid, while C. mas fruits showed elevated levels of shikimic acid. Strong positive correlations were found between TPC, TFC, and ABTS activity (r > 0.90), indicating that flavonoids are key contributors to antioxidant capacity. Principal component analysis clearly discriminated samples according to species, with minor effects of sampling location. Overall, C. mas fruits demonstrated a superior antioxidant potential associated with a rich and diverse phenolic profile. In contrast, J. communis fruits were distinguished by a higher content of organic acids and a species-specific phenolic pattern. These findings highlight the nutritional and functional value of both species, supporting their potential application in functional foods and nutraceuticals. Full article
Show Figures

Figure 1

14 pages, 868 KB  
Article
Morphological, Pomological, and Bioactive Compound Diversity of 33 Cherry Laurel (Prunus laurocerasus L.) from Düzce, Türkiye
by Tuba Bak
Diversity 2026, 18(2), 124; https://doi.org/10.3390/d18020124 - 14 Feb 2026
Viewed by 144
Abstract
Cherry laurel is becoming increasingly popular due to its unique flavor, attractive appearance, and nutritional benefits. However, the morphological, pomological, and biochemical characteristics of the existing population in the Kaynaşlı district of Düzce, Türkiye, remain unclear. To address this, 33 genotypes in this [...] Read more.
Cherry laurel is becoming increasingly popular due to its unique flavor, attractive appearance, and nutritional benefits. However, the morphological, pomological, and biochemical characteristics of the existing population in the Kaynaşlı district of Düzce, Türkiye, remain unclear. To address this, 33 genotypes in this area were systematically characterized in terms of pomological and biochemical traits and their interrelationships. The results revealed a wide variation in fruit and bunch characteristics, including fruit weight (ranging from 2.34 to 7.39 g), the number of fruits per bunch (ranging from 3 to 18), and total soluble solids content (from 10.00% to 22.40%). Notably, the G3 exhibited a superior fruit weight of 7.39 g, surpassing that of currently registered varieties. The study found that phenolic compounds, particularly catechin, were dominant across the individuals, along with significant levels of myricetin, p-coumaric acid, gallic acid, and syringic acid. Multivariate analyses, including principal component analysis and hierarchical clustering, confirmed a high level of diversity and identified eight individuals with superior traits related to fruit size, phenolic content, color, and astringency. These findings highlight the rich diversity in cherry laurel populations in the region and provide essential breeding material for future studies. Full article
(This article belongs to the Section Plant Diversity)
32 pages, 3474 KB  
Review
Beyond Taste: The Impact of Chocolate on Cardiovascular and Steatotic Liver Disease Risk Factors
by Júlia Mayumi Tomaru, Iara Ribeiro Nunes, Caroline Fernandes de Souza Santiago, Alda Maria Machado Bueno Otoboni, Claudemir Gregorio Mendes, Adriana Maria Ragassi Fiorini, Elen Landgraf Guiguer, Claudia Cristina Teixeira Nicolau, Antonelly Cassio Alves Carvalho, Caio Sérgio Galina Spilla, José Luiz Yanaguizawa Junior, Vitor Engrácia Valenti, Ricardo de Alvares Goulart, Luiz Carlos de Abreu, Lucas Fornari Laurindo and Sandra Maria Barbalho
Nutrients 2026, 18(4), 636; https://doi.org/10.3390/nu18040636 - 14 Feb 2026
Viewed by 629
Abstract
Cardiovascular diseases and metabolic dysfunction-associated steatotic liver disease (MASLD) are increasing sharply worldwide and share overlapping pathophysiological pathways, including oxidative stress, inflammation, hyperglycemia, obesity, dyslipidemia, and hypertension. Dark chocolate, rich in cocoa flavanols such as epicatechin and catechin, exhibits antioxidant and anti-inflammatory effects. [...] Read more.
Cardiovascular diseases and metabolic dysfunction-associated steatotic liver disease (MASLD) are increasing sharply worldwide and share overlapping pathophysiological pathways, including oxidative stress, inflammation, hyperglycemia, obesity, dyslipidemia, and hypertension. Dark chocolate, rich in cocoa flavanols such as epicatechin and catechin, exhibits antioxidant and anti-inflammatory effects. Based on these properties, this narrative review uniquely integrates evidence on chocolate’s effects on both cardiovascular and hepatic health, exploring shared mechanisms and clinical implications. Evidence from clinical studies suggests that chocolate modulates nitric oxide bioavailability and NADPH oxidase activity. Clinical findings demonstrate improvements in flow-mediated dilation, decreased NT-proBNP, reduced intestinal permeability and endotoxemia, improved lipid profile (increased HDL-c and reduced total cholesterol, LDL-c, and triglycerides), increased plasma polyphenols, improved platelet function, and attenuated hepatocyte apoptosis. These findings suggest a potential role for cocoa flavanol-rich dark chocolate in cardiometabolic health; however, the evidence remains preliminary and is limited by heterogeneous study designs, small sample sizes, and short intervention durations. Despite these limitations, current evidence supports the inclusion of moderate dark chocolate consumption as a possible adjunct strategy to mitigate cardiometabolic and hepatic metabolic risks. Further large-scale, long-term trials are needed to confirm these beneficial effects and to standardize the dosage and formulation of cocoa flavanols. Full article
Show Figures

Figure 1

10 pages, 2036 KB  
Article
Spent Coffee Grounds Extract Limits Bacterial Proliferation on Human Foot Skin Under Humid Conditions
by Ana Filipa Lenha-Silva, Jorge Lindo, José Miguel Nuñez-Moraga, Daniela Calheiros, José Sousa-Baptista, Edmilson Emanuel Monteiro Correia, Rita Domingues, Teresa Gonçalves, Chantal Fernandes and Félix Marcos-Tejedor
Appl. Sci. 2026, 16(4), 1886; https://doi.org/10.3390/app16041886 - 13 Feb 2026
Viewed by 106
Abstract
Natural plant-derived extracts are increasingly recognized for their antimicrobial, antioxidant, and anti-inflammatory properties, making them promising candidates for the prevention and/or treatment of various diseases. Camellia sinensis Azorean Black Tea (ABT) and spent coffee grounds (SCG) were selected due to their high content [...] Read more.
Natural plant-derived extracts are increasingly recognized for their antimicrobial, antioxidant, and anti-inflammatory properties, making them promising candidates for the prevention and/or treatment of various diseases. Camellia sinensis Azorean Black Tea (ABT) and spent coffee grounds (SCG) were selected due to their high content of bioactive compounds, including catechins, theaflavins, chlorogenic acids, and caffeine, which have demonstrated potential against microbial infections. ABT and SCG extracts were applied to the hallux (big toe) skin of healthy volunteers for 8 h. Samples were collected before and after exposure and cultured on blood agar to determine colony-forming units (CFU), which were normalized to CFU/cm2 of skin. No macroscopic skin alterations, thermographic changes, or early signs of inflammation were observed following exposure to these extracts. While the humid control and ABT exposure groups exhibited increased bacterial proliferation, SCG exposure resulted in bacterial levels statistically comparable to those of the dry control, with significantly lower bacterial growth than the humid control and ABT exposure groups. Overall, these findings add to the growing evidence supporting the use of natural extracts as sustainable options for skin protection and the regulation of microbial proliferation. Full article
(This article belongs to the Section Applied Microbiology)
Show Figures

Figure 1

19 pages, 4518 KB  
Article
Compartment-Specific Responses of Soil Bacteria and Metabolites to Biochar in Rhizosphere and Bulk Soils Under Continuous Cassava Cropping
by Yanmei Zhu, Xingming Qin, Yundong Wei, Yanjun He, Xiao Du, Shiyi Zhou, Jianbing Zhang and Ning Huang
Agriculture 2026, 16(4), 418; https://doi.org/10.3390/agriculture16040418 - 12 Feb 2026
Viewed by 146
Abstract
Continuous monocropping of cassava (Manihot esculenta Crantz) often leads to soil degradation and yield decline, commonly referred to as continuous cropping obstacles (CCOs), which are closely linked to changes in soil physicochemical properties and microbial communities. Biochar has been widely used as [...] Read more.
Continuous monocropping of cassava (Manihot esculenta Crantz) often leads to soil degradation and yield decline, commonly referred to as continuous cropping obstacles (CCOs), which are closely linked to changes in soil physicochemical properties and microbial communities. Biochar has been widely used as a soil amendment to improve soil quality and microbial activity and is considered a potential strategy for alleviating CCOs. Understanding the effects of biochar on soil bacteria and metabolites under field conditions is essential, as it provides insights into its practical effectiveness in reducing CCOs and improving soil health in cassava cultivation systems. In this study, a field experiment was conducted in a continuous cassava system to investigate the effects of a single biochar application rate on soil bacterial diversity, community composition, and metabolite profiles in both rhizosphere and bulk soils. High-throughput 16S rRNA gene sequencing and UHPLC–MS/MS-based non-targeted metabolomics were employed to analyze soil bacterial and metabolic patterns. Biochar was associated with increased α-diversity in rhizosphere soil and distinct shifts in β-diversity. Biochar increased the relative abundance of Chloroflexi and Actinobacteriota in the bulk soil, while Cyanobacteria and Nitrospirota were more abundant in the rhizosphere. Network analysis revealed the compartment-specific differences after biochar application, with higher network complexity in the rhizosphere and lower complexity in the bulk soil relative to the control. Metabolomic profiling identified 402 metabolites in positive ion mode and 357 in negative ion mode. In the rhizosphere, biochar-treated soil exhibited higher relative abundances of alkaloids (e.g., trigonelline, berberine, vincristine) and flavonoids (e.g., catechin, naringin, rutin, and taxifolin), which are commonly linked to plant stress responses. In the bulk soil, biochar application resulted in lower levels of several anthropogenic organic compounds (e.g., monobutyl phthalate, terephthalic acid, and p–toluenesulfonic acid). These findings provide preliminary field evidence that biochar application can lead to compartment-specific changes in soil bacterial communities and metabolite profiles. Such changes are closely related to soil quality and nutrient cycling, pointing to a possible role of biochar in mitigating soil degradation under continuous cassava cultivation. Full article
(This article belongs to the Special Issue Factors Affecting Soil Fertility and Improvement Measures)
Show Figures

Figure 1

29 pages, 3169 KB  
Article
Antioxidant Potential of Myrciaria tenella Fruit Extracts: In Vitro and In Vivo Protection Against Oxidative Stress
by Verônica Giuliani de Queiroz Aquino-Martins, Maria Lúcia da Silva Cordeiro, Ariana Pereira da Silva, Georggia Fátima Silva Naliato, Elielson Rodrigo Silveira, Raquel Cordeiro Theodoro, Deborah Yara Alves Cursino dos Santos, Hugo Alexandre Oliveira Rocha and Katia Castanho Scortecci
Molecules 2026, 31(4), 602; https://doi.org/10.3390/molecules31040602 - 9 Feb 2026
Viewed by 153
Abstract
Myrciaria tenella (cambuí) is a native Brazilian fruit traditionally recognized for its sensory attributes and medicinal properties, including antidiabetic, anti-inflammatory, antimicrobial, and gastroprotective activities. This study evaluated the antioxidant activity of unripe and ripe M. tenella fruits using in vitro and in vivo [...] Read more.
Myrciaria tenella (cambuí) is a native Brazilian fruit traditionally recognized for its sensory attributes and medicinal properties, including antidiabetic, anti-inflammatory, antimicrobial, and gastroprotective activities. This study evaluated the antioxidant activity of unripe and ripe M. tenella fruits using in vitro and in vivo experimental models. Four extracts were prepared: aqueous unripe (VA), aqueous ripe (MA), hydroethanolic unripe (VE), and hydroethanolic ripe (ME). Antioxidant activity was assessed through biochemical assays and cellular models using NIH/3T3 fibroblasts and RAW 264.7 macrophages. In RAW 264.7 cells, oxidative stress modulation was investigated using hydrogen peroxide-induced stress and lipopolysaccharide (LPS)-stimulated nitric oxide (NO) production. In NHI/3T3 cells, wound healing, copper sulphate (CuSO4)-induced oxidative stress, intracellular reactive oxygen species (ROS) generation, and nuclear morphology following DAPI staining were evaluated. Total phenolic content was quantified using the Folin–Ciocalteu method and analyzed by HPLC-DAD. In vivo toxicity and antioxidant protection were assessed using Tenebrio molitor larvae exposed to CuSO4-induced oxidative stress. Among the extracts, VE exhibited the highest metal-chelating activity (Cu: 78.6%; Fe: 37.7%) and total phenolic content (50.64 mg GAE/mg). HPLC-DAD analysis identified gallic acid in all extracts, kaempferol derivatives in hydroethanolic extracts (VE and ME), and catechin derivatives in aqueous extracts (VA and MA). All extracts were non-cytotoxic and demonstrated protective effects against oxidative stress in vitro. In vivo assays confirmed the absence of toxicity and significant antioxidant protection, with VE resulting in 80% larval survival. Full article
Show Figures

Figure 1

18 pages, 2729 KB  
Article
Enhancement Effect of Lemon Flower on the Flavor Quality of White Tea and Its Formation Mechanism
by Jun Wang, Yiwen Hu, Deyu Hu, Zhihong Lu, Li Xiang, Jinsong Xiang, Min Hong, Lili Ling and Yanyan Ma
Foods 2026, 15(3), 596; https://doi.org/10.3390/foods15030596 - 6 Feb 2026
Viewed by 219
Abstract
This study involved developing a novel lemon flower-scented white tea (LT) through multiple aroma-imparting cycles, and taking an integrated approach to investigating its flavour formation mechanism. Sensory evaluation and electronic tongue analysis revealed that the LT exhibited more balanced taste characteristics, with significantly [...] Read more.
This study involved developing a novel lemon flower-scented white tea (LT) through multiple aroma-imparting cycles, and taking an integrated approach to investigating its flavour formation mechanism. Sensory evaluation and electronic tongue analysis revealed that the LT exhibited more balanced taste characteristics, with significantly reduced bitterness and astringency, attributed to the decreased caffeine content and conversion of esterified catechins. Electronic nose and HS-SPME/GC-MS results confirmed that the LT had acquired a distinctive aroma characterised by floral and citrus notes, primarily originating from lemon flower volatiles such as methyl anthranilate and limonene. Multivariate statistical analysis identified 32 key differential compounds (variable importance in projection value > 1), with methyl anthranilate, β-ionone, and geraniol (relative odour activity value > 80) jointly forming the shared flavour base among teas. These findings demonstrate that lemon flower infusion can effectively enhance the sensory quality of white tea and provide theoretical support for the development of diverse floral teas. Full article
Show Figures

Figure 1

14 pages, 2425 KB  
Article
Monitoring Antioxidant Preservation in Microwave-Dried Tea Using H2O2-Responsive Electrochemical Sensor
by Jiaoling Wang, Hao Li, Xinxin Wu, Xindong Wang and Xinai Zhang
Foods 2026, 15(3), 595; https://doi.org/10.3390/foods15030595 - 6 Feb 2026
Viewed by 212
Abstract
Considering the demand for nutritional assessment and product quality control in the tea industry, this work develops an effective electrochemical sensor based on gold nanoparticles electrodeposited onto a zeolitic imidazolate framework (Au/MOF(Zn)) for evaluating the antioxidant activity of tea subjected to microwave-assisted drying [...] Read more.
Considering the demand for nutritional assessment and product quality control in the tea industry, this work develops an effective electrochemical sensor based on gold nanoparticles electrodeposited onto a zeolitic imidazolate framework (Au/MOF(Zn)) for evaluating the antioxidant activity of tea subjected to microwave-assisted drying (MAD) through hydrogen peroxide (H2O2) scavenging. The MOF(Zn) enables uniform deposition of AuNPs, which significantly enhances the electrocatalytic oxidation of H2O2. The fabricated sensor exhibits a wide linear detection range from 400 μM to 1.8 mM for H2O2 with a correlation coefficient of 0.9983. The experimental results demonstrate acceptable selectivity, with signal interference <5% from common tea compounds like inorganic ions, sugars, and organic acids. Electrochemical methods, including cyclic voltammetry (CV) and differential pulse voltammetry (DPV) analysis, were employed to quantify H2O2 by measuring oxidation currents in phosphate-buffered saline (PBS, pH 7.0). The relative standard deviation (RSD) for repeatability and reproducibility was 5.1% and 6.8%, respectively, confirming high reliability. This sensor was successfully applied to assess antioxidant capacity in tea extracts obtained from fresh leaves subjected to microwave-assisted drying under varying power and duration. Results indicate that increasing microwave power enhances antioxidant activity, while prolonged drying at low power initially increases activity (peaking at 120 s) but reduces it upon extended exposure. Optimal antioxidant preservation was achieved at 120 s. This real-time, reliable sensing strategy offers theoretical foundations for optimizing tea processing parameters to preserve bioactive compounds, particularly polyphenols like catechins, thereby improving tea quality and health benefits. Full article
Show Figures

Figure 1

15 pages, 2576 KB  
Article
Intestinal Protective Effects of a Pomegranate Peel Extract in In Vitro and Ex Vivo Studies
by Lucia Recinella, Alessandra Acquaviva, Annalisa Bruno, Davide Ciaramellano, Angelica Pia Centulio, Melania Dovizio, Cristina Milillo, Massimo Mozzon, Daniele Generali, Gianluca Genovesi, Giustino Orlando, Annalisa Chiavaroli, Claudio Ferrante, Patrizia Ballerini, Luigi Brunetti and Sheila Leone
Int. J. Mol. Sci. 2026, 27(3), 1603; https://doi.org/10.3390/ijms27031603 - 6 Feb 2026
Viewed by 248
Abstract
Recovery of nutritional and bioactive molecules by pomegranate peel (PP) has found wide applications in food and pharmaceutical industries. We investigated protective effects of a PP extract (PPE) from Mediterranean (Mazara del Vallo, Italy) on intestinal inflammation by using in vitro and ex [...] Read more.
Recovery of nutritional and bioactive molecules by pomegranate peel (PP) has found wide applications in food and pharmaceutical industries. We investigated protective effects of a PP extract (PPE) from Mediterranean (Mazara del Vallo, Italy) on intestinal inflammation by using in vitro and ex vivo models. Reactive oxygen species (ROS) and lactate dehydrogenase (LDH) levels, as well as tight junction protein-1 (ZO-1) expression, were determined in lipopolysaccharide (LPS)-injured Caco-2 cells treated with PPE. We evaluated anti-inflammatory and antioxidant effects of PPE in isolated colon specimens of adult male mouse (C57/BL6) stimulated by LPS. Cyclooxygenase-2 (COX-2), nuclear factor-kB (NF-kB), tumor necrosis factor-α (TNF-α), interleukin-1β (IL-1β), as well as catalase (CAT), superoxide dismutase (SOD), glutathione peroxidase (GPX), and inducible nitric oxide synthase (i-NOS) gene expression was determined. We also characterized phytochemical composition of the extract through chromatographic (HPLC-UV) and spectrophotometric techniques. PPE was rich in punicalagins A and B, along with other polyphenols such as hydroxytyrosol (HT), catechin, p-coumaric acid, and rosmarinic acid. In Caco-2 cells, PPE reduced ROS generation and LDH release, restoring intestinal barrier integrity by upregulating ZO-1 expression. In addition, PPE increased SOD, CAT, and GPX and suppressed COX-2, NF-kB, TNF-α, IL-1β and i-NOS LPS-induced gene expression in colon. PPE mitigates inflammation and oxidative stress, restoring intestinal barrier function. The beneficial effects induced by the extract could be related to the pattern of polyphenolic composition, with particular regard to HT, rosmarinic acid, p-coumaric acid, catechin, as well as punicalagins A and B. Full article
(This article belongs to the Special Issue Anti-Inflammatory and Anti-Oxidant Effects of Extracts from Plants)
Show Figures

Graphical abstract

22 pages, 1804 KB  
Article
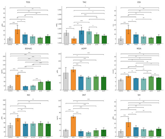
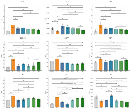
Green Ethanolic Repercolation of Larix decidua Needles: Phytochemical Profiling and In Vivo Modulation of the Oxidative–Nitrosative Axis in Acute Sterile Inflammation
by Dinu Bolunduț, Alina Elena Pârvu, Cristina Moldovan, Florica Ranga, Marcel Pârvu, Ciprian Ovidiu Dalai, Mădălina Țicolea, Andra Diana Cecan and Raluca Maria Pop
Nutrients 2026, 18(3), 538; https://doi.org/10.3390/nu18030538 - 5 Feb 2026
Viewed by 280
Abstract
Background/Objectives: Larix decidua has been used in traditional medicine for the treatment of various inflammatory conditions. Although their use has been recognized in alternative medicine, the scientific documentation of the antioxidant and anti-inflammatory potential of ethanolic extracts from its needles remains insufficiently [...] Read more.
Background/Objectives: Larix decidua has been used in traditional medicine for the treatment of various inflammatory conditions. Although their use has been recognized in alternative medicine, the scientific documentation of the antioxidant and anti-inflammatory potential of ethanolic extracts from its needles remains insufficiently characterized. The present study aimed to characterize the phytochemical profile of the ethanolic L. decidua extract, evaluate its in vitro antioxidant capacity, and investigate its therapeutic and prophylactic effects on oxidative–nitrosative stress and inflammation. Methods: L. decidua needles were extracted using a modified Squibb repercolation method. Polyphenol and flavonoid content were quantified, and individual phenols were identified by HPLC-DAD-ESI+. The in vitro antioxidant activity was evaluated using DPPH, FRAP, H2O2, and NO scavenging assays. The therapeutic and prophylactic in vivo potential was evaluated in a model of acute inflammation induced with turpentine in male Wistar rats. Serum oxidative markers (TOS, TAC, OSI, MDA, AOPP, 8-OHdG, NO, 3-NT, SH) and inflammatory markers (NFκB-p65, IL-1β, IL-18) were quantified. Results: The extract contained high levels of flavonols and hydroxybenzoic acids; kaempferol glycosides and catechin were the dominant constituents. In vitro, the extract exhibited radical scavenging activities. In vivo, L. decidua attenuated oxidative and nitrosative stress, restored antioxidant defense, and reduced NFκB-p65, IL-1β, and IL-18 levels in a concentration-dependent manner. The L100 concentration most closely approximated the values produced by Trolox and diclofenac. Conclusions: The ethanolic Larix decidua needle extract exerted antioxidant and anti-inflammatory effects in a rat model of acute sterile inflammation, attenuating systemic oxidative–nitrosative stress and pro-inflammatory mediators in a concentration-dependent manner. These preclinical findings support further investigation of standardized L. decidua needle preparations as polyphenol-rich nutraceutical/functional ingredient candidates within preventive and adjunct nutrition strategies targeting oxidative stress-driven inflammation. Full article
(This article belongs to the Section Phytochemicals and Human Health)
Show Figures

Figure 1

15 pages, 1144 KB  
Article
Interannual Variation in Key Quality Constituents in Shiqian Taicha Manufactured as Green and Black Tea (2021–2023)
by Yuan Zhang, Xiubing Gao and Can Guo
Appl. Sci. 2026, 16(3), 1614; https://doi.org/10.3390/app16031614 - 5 Feb 2026
Viewed by 153
Abstract
Shiqian Taicha (Camellia sinensis) is a local tea cultivar originating from Shiqian County and Guizhou (China) that is suitable for both green and black tea. The year-on-year manufacturing conditions, which affect chemical quality, were elucidated through the analysis of 78 green [...] Read more.
Shiqian Taicha (Camellia sinensis) is a local tea cultivar originating from Shiqian County and Guizhou (China) that is suitable for both green and black tea. The year-on-year manufacturing conditions, which affect chemical quality, were elucidated through the analysis of 78 green tea and 38 black tea commercial batches manufactured in 2021–2023. The batches were manufactured by the same process, but these naturally varied in raw-leaf status and factory parameters. The moisture content, water-soluble extract, free amino acids, tea polyphenols, caffeine, gallic acid, total ash, total catechins and individual catechins were predicted using a calibrated near-infrared (NIR) spectroscopy model and membership function evaluation, which integrated multiple indices to produce an overall quality score for each year and tea type. The amino acids of green tea peaked in the year 2022, (with 4.55%) whereas the polyphenols (which refers to carbon-based molecules) was in the year 2021, (with 24.22%), and the total catechins was in the year 2021, (with 16.71%); due to these observations, the ratio of phenol-to-amino was high in the year 2021, with (10.09); while the year 2022 had a lower ratio with (3.41). Although there were fewer differences from region to region with black tea, 2022 was better in terms of moisture control, amino acids retention and composite score with a value of 0.585. The assessment of the membership function indicated that 2022 was the most ideal tea production year for green tea (0.506) as well as black tea (0.477), with 2021 tea (0.486) and 2023 tea (0.488) following next based on type. The data presents quantitatively stable fixation and moisture/fermentation management targets to improve Shiqian Taicha value and consistency. Full article
(This article belongs to the Section Agricultural Science and Technology)
Show Figures

Figure 1

19 pages, 1627 KB  
Article
Accelerated Solvent Extraction as an Alternative for the Recovery of Phenolic Compounds from Chestnut Bur: Optimization of Extraction Conditions
by Ana I. Paniagua-García, Lucía Gómez-González, Silvia González-Rojo and Rebeca Díez-Antolínez
Antioxidants 2026, 15(2), 207; https://doi.org/10.3390/antiox15020207 - 4 Feb 2026
Viewed by 277
Abstract
Chestnut bur (CB) is a solid waste product generated in large quantities during the harvesting of edible fruits. This by-product is rich in total phenolic content (TPC) with high antioxidant properties, making it suitable for use in a variety of industrial applications. In [...] Read more.
Chestnut bur (CB) is a solid waste product generated in large quantities during the harvesting of edible fruits. This by-product is rich in total phenolic content (TPC) with high antioxidant properties, making it suitable for use in a variety of industrial applications. In this study, the operational variables of accelerated solvent extraction (ASE) and conventional solvent extraction (CSE) of CB were optimized in order to obtain extracts with maximum levels of TPC. The analysis revealed that the extract obtained by ASE using 31.3% ethanol at 180 °C for 9 min achieved the highest value of TPC (8.37 ± 0.05 g gallic acid equivalents (GAE)/100 g dry matter (DM)). Moreover, this extract exhibited higher values of radical-scavenging activity for α,α-diphenyl-β-picrylhydrazyl (DPPH) (90.8 ± 0.3%) than those observed for catechin standard (88.7 ± 0.2%). In addition, its phenolic composition revealed high amounts of gallic acid (13.22 ± 1.01 mg/g DM), followed by 3,4-dihydroxybenzoic acid (2.96 ± 0.16 mg/g DM). This study demonstrates the potential for valorization of CB by ASE under feasible extraction conditions, thereby promoting the circular economy. Full article
Show Figures

Figure 1

Back to TopTop