The Effects of Structure and Oxidative Polymerization on Antioxidant Activity of Catechins and Polymers
Abstract
1. Introduction
2. Materials and Methods
2.1. Chemicals and Reagents
2.2. Comparison of Antioxidant Activities of CTOPs
2.2.1. ABTS+· Free Radical Scavenging Assay
2.2.2. DPPH Free Radical Scavenging Assay
2.2.3. Total Antioxidant Capacity Assay
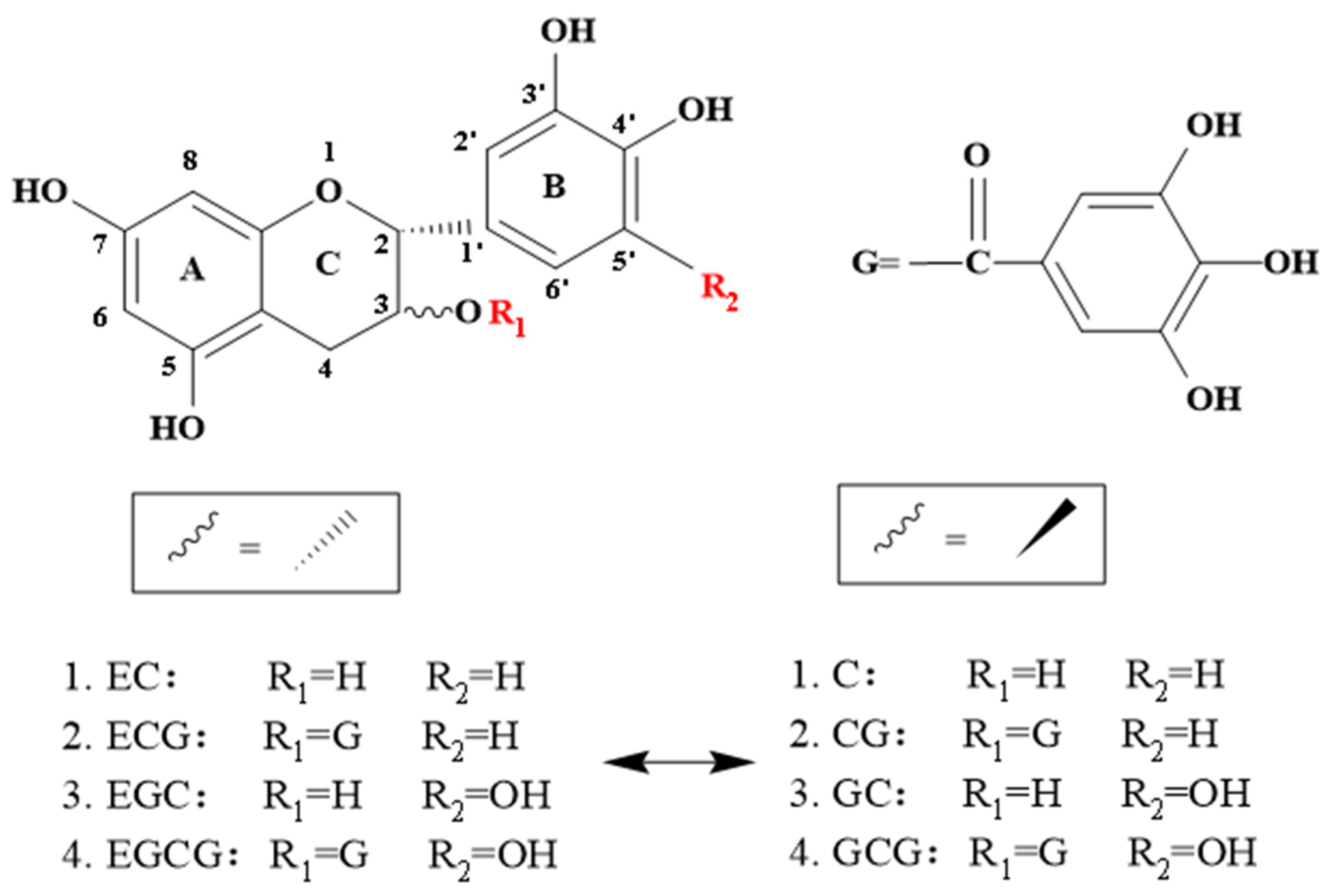
2.3. Structure–Activity Relationship of Catechins and Their Dimers in Antioxidant Activity
2.4. Influence of Oxidative Dimerization Reaction on the Antioxidant Activity of Catechins and Dimers
2.5. Statistical Analysis
3. Results
3.1. Comparison of Antioxidant Activities of CTOPs
3.1.1. ABTS+· Free Radical Scavenging Activity
3.1.2. DPPH Free Radical Scavenging Activity
3.1.3. Total Antioxidant Capacity
3.2. Structure–Activity Relationship of Catechins in Antioxidant Activity
3.2.1. Screening of Antioxidant Active Group
3.2.2. Influence of Geometrical Isomerism on Catechins’ Antioxidant Activity
3.2.3. Influence of B Ring Structure on Catechins’ Antioxidant Activity
3.2.4. Influence of 3-Galloyl Group on Catechins’ Antioxidant Activity
3.2.5. The Dominant Active Group of Catechins in Antioxidant Activity
3.3. Structure–Activity Relationship of Dimers in Antioxidant Activity
3.3.1. Influence of Number and Position of Galloyl Group on Antioxidant Activities of TFs
3.3.2. Antioxidant Activity of TSA Compared with EGCG and TFDG
3.4. Influence of Oxidative Dimerization on the Antioxidant Activity of the Substrate Mixture
4. Conclusions
Supplementary Materials
Author Contributions
Funding
Data Availability Statement
Acknowledgments
Conflicts of Interest
References
- Dröge, W. Free Radicals in the Physiological Control of Cell Function. Physiol. Rev. 2002, 82, 47–95. [Google Scholar] [CrossRef]
- Kaufmann, J.A.; Bickford, P.C.; Taglialatela, G. Free radical-dependent changes in constitutive Nuclear factor kappa B in the aged hippocampus. NeuroReport 2002, 13, 1917–1920. [Google Scholar] [CrossRef]
- Williams, G.M.; Iatropoulos, M.J.; Whysner, J. Safety assessment of butylated hydroxyanisole and butylated hydroxytoluene as antioxidant food additives. Food Chem. Toxicol. 1999, 37, 1027–1038. [Google Scholar] [CrossRef]
- Zhang, H.; Qi, R.; Mine, Y. The impact of oolong and black tea polyphenols on human health. Food Biosci. 2019, 29, 55–61. [Google Scholar] [CrossRef]
- Carloni, P.; Tiano, L.; Padella, L.; Bacchetti, T.; Customu, C.; Kay, A.; Damiani, E. Antioxidant activity of white, green and black tea obtained from the same tea cultivar. Food Res. Int. 2013, 53, 900–908. [Google Scholar] [CrossRef]
- Xu, Y.-Q.; Zou, C.; Gao, Y.; Chen, J.-X.; Wang, F.; Chen, G.-S.; Yin, J.-F. Effect of the type of brewing water on the chemical composition, sensory quality and antioxidant capacity of Chinese teas. Food Chem. 2017, 236, 142–151. [Google Scholar] [CrossRef]
- Koch, W.; Kukula-Koch, W.; Komsta, Ł. Black Tea Samples Origin Discrimination Using Analytical Investigations of Secondary Metabolites, Antiradical Scavenging Activity and Chemometric Approach. Molecules 2018, 23, 2093. [Google Scholar] [CrossRef]
- Chen, N.; Han, B.; Fan, X.; Cai, F.; Ren, F.; Xu, M.; Zhong, J.; Zhang, Y.; Ren, D.; Yi, L. Uncovering the antioxidant characteristics of black tea by coupling in vitro free radical scavenging assay with UHPLC–HRMS analysis. J. Chromatogr. B 2020, 1145, 122092. [Google Scholar] [CrossRef]
- Qu, F.; Zeng, W.; Tong, X.; Feng, W.; Chen, Y.; Ni, D. The new insight into the influence of fermentation temperature on quality and bioactivities of black tea. LWT 2020, 117, 108646. [Google Scholar] [CrossRef]
- Liu, S.; Huang, H. Assessments of antioxidant effect of black tea extract and its rationals by erythrocyte haemolysis assay, plasma oxidation assay and cellular antioxidant activity (CAA) assay. J. Funct. Foods 2015, 18, 1095–1105. [Google Scholar] [CrossRef]
- Wang, W.; Le, T.; Wang, W.; Yu, L.; Yang, L.; Jiang, H. Effects of key components on the antioxidant activity of black tea. Foods 2023, 12, 3134. [Google Scholar] [CrossRef]
- Xu, Y.-Q.; Gao, Y.; Granato, D. Effects of epigallocatechin gallate, epigallocatechin and epicatechin gallate on the chemical and cell-based antioxidant activity, sensory properties, and cytotoxicity of a catechin-free model beverage. Food Chem. 2021, 339, 128060. [Google Scholar] [CrossRef]
- He, J.; Xu, L.; Yang, L.; Wang, X. Epigallocatechin Gallate Is the Most Effective Catechin Against Antioxidant Stress via Hydrogen Peroxide and Radical Scavenging Activity. Med. Sci. Monit. 2018, 24, 8198–8206. [Google Scholar] [CrossRef]
- Fu, J.; Jiang, H.; Zhang, J.; Shi, L.; Wang, W. Recent progress in synthesis of oxidized dimeric catechin catalyzed by exogenous polyphenol oxidase. Food Sci. 2019, 40, 274–280. [Google Scholar] [CrossRef]
- Lun Su, Y.; Leung, L.K.; Huang, Y.; Chen, Z.-Y. Stability of tea theaflavins and catechins. Food Chem. 2003, 83, 189–195. [Google Scholar] [CrossRef]
- Sui, X.; Dong, X.; Zhou, W. Combined effect of pH and high temperature on the stability and antioxidant capacity of two anthocyanins in aqueous solution. Food Chem. 2014, 163, 163–170. [Google Scholar] [CrossRef]
- Wang, W.; Chen, L.; Wang, W.; Zhang, J.; Engelhardt, U.H.; Jiang, H. Effect of active groups and oxidative dimerization on the antimelanogenic activity of catechins and their dimeric oxidation products. J. Agric. Food Chem. 2022, 70, 1304–1315. [Google Scholar] [CrossRef]
- Re, R.; Pellegrini, N.; Proteggente, A.; Pannala, A.; Yang, M.; Rice-Evans, C. Antioxidant activity applying an improved ABTS radical cation decolorization assay. Free Radic. Biol. Med. 1999, 26, 1231–1237. [Google Scholar] [CrossRef]
- Yang, Z.; Jie, G.; Dong, F.; Xu, Y.; Watanabe, N.; Tu, Y. Radical-scavenging abilities and antioxidant properties of theaflavins and their gallate esters in H2O2-mediated oxidative damage system in the HPF-1 cells. Toxicology in Vitro 2008, 22, 1250–1256. [Google Scholar] [CrossRef]
- Shah, S.; Gani, A.; Ahmad, M.; Shah, A.; Gani, A.; Masoodi, F.A. In Vitro antioxidant and antiproliferative activity of microwave-extracted green tea and black tea (Camellia sinensis): A comparative study. Nutrafoods 2015, 14, 207–215. [Google Scholar] [CrossRef]
- Gramza-Michalowska, A.; Korczak, J. Polyphenols-Potential Food Improvement Factor. Am. J. Food Technol. 2007, 2, 662–670. [Google Scholar] [CrossRef][Green Version]
- Imran, A.; Arshad, M.U.; Arshad, M.S.; Imran, M.; Saeed, F.; Sohaib, M. Lipid peroxidation diminishing perspective of isolated theaflavins and thearubigins from black tea in arginine induced renal malfunctional rats. Lipids Health Dis. 2018, 17, 157. [Google Scholar] [CrossRef]
- Xu, J.-Z.; Yeung, S.Y.V.; Chang, Q.; Huang, Y.; Chen, Z.-Y. Comparison of antioxidant activity and bioavailability of tea epicatechins with their epimers. Br. J. Nutr. 2004, 91, 873–881. [Google Scholar] [CrossRef]
- Guo, Q.; Zhao, B.; Shen, S.; Hou, J.; Hu, J.; Xin, W. ESR study on the structure–antioxidant activity relationship of tea catechins and their epimers. Biochim. Et Biophys. Acta (BBA) Gen. Subj. 1999, 1427, 13–23. [Google Scholar] [CrossRef]
- Kobayashi, M.; Unno, T.; Suzuki, Y.; Nozawa, A.; Sagesaka, Y.; Kakuda, T.; Ikeda, I. Heat-Epimerized Tea Catechins Have the Same Cholesterol-Lowering Activity as Green Tea Catechins in Cholesterol-Fed Rats. Biosci. Biotechnol. Biochem. 2005, 69, 2455–2458. [Google Scholar] [CrossRef]
- Yang, X.Q. Tea Polyphenol Chemistry; Shanghai Science and Technology Press: Shanghai, China, 2003. [Google Scholar]
- Wu, S.S. Development of Novel Catechin Esters and Evaluation of their Antioxidant Activity. Master’s Thesis, Zhejiang University, Hangzhou, China, 2018. [Google Scholar]
- No, J.K.; Soung, D.Y.; Kim, Y.J.; Shim, K.H.; Jun, Y.S.; Rhee, S.H.; Yokozawa, T.; Chung, H.Y. Inhibition of tyrosinase by green tea components. Life Sci. 1999, 65, PL241–PL246. [Google Scholar] [CrossRef]
- Almajano, M.P.; Delgado, M.E.; Gordon, M.H. Albumin causes a synergistic increase in the antioxidant activity of green tea catechins in oil-in-water emulsions. Food Chem. 2007, 102, 1375–1382. [Google Scholar] [CrossRef]
- Shi, L.T.; Jiang, H.Y.; Zhang, J.Y.; Wang, W.W.; Cui, H.C. Review on enzymatic synthesis mechanism and functional activity of theasinensins. J. Food Saf. Qual. 2018, 9, 223–228. (In Chinese) [Google Scholar] [CrossRef]
- Leung, L.K.; Su, Y.; Zhang, Z.; Chen, Z.-Y.; Huang, Y.; Chen, R. Theaflavins in Black Tea and Catechins in Green Tea Are Equally Effective Antioxidants. J. Nutr. 2001, 131, 2248–2251. [Google Scholar] [CrossRef]
- Wu, Y.-y.; Li, W.; Xu, Y.; Jin, E.-h.; Tu, Y.-y. Evaluation of the antioxidant effects of four main theaflavin derivatives through chemiluminescence and DNA damage analyses. J. Zhejiang Univ. SCIENCE B 2011, 12, 744–751. [Google Scholar] [CrossRef]
- Yoshino, K.; Suzuki, M.; Sasaki, K.; Miyase, T.; Sano, M. Formation of antioxidants from (−)-epigallocatechin gallate in mild alkaline fluids, such as authentic intestinal juice and mouse plasma. J. Nutr. Biochem. 1999, 10, 223–229. [Google Scholar] [CrossRef]
- Hashimoto, F.; Ono, M.; Masuoka, C.; Ito, Y.; Sakata, Y.; Shimizu, K.; Nonaka, G.-i.; Nishioka, I.; Nohara, T. Evaluation of the Anti-oxidative Effect (in vitro) of Tea Polyphenols. Biosci. Biotechnol. Biochem. 2003, 67, 396–401. [Google Scholar] [CrossRef]
- Jovanovic, S.V.; Hara, Y.; Steenken, S.; Simic, M.G. Antioxidant Potential of Theaflavins. A Pulse Radiolysis Study. J. Am. Chem. Soc. 1997, 119, 5337–5343. [Google Scholar] [CrossRef]
- Sharma, N.; Phan, H.T.; Chikae, M.; Takamura, Y.; Azo-Oussou, A.F.; Vestergaard, M.d.C. Black tea polyphenol theaflavin as promising antioxidant and potential copper chelator. J. Sci. Food Agric. 2020, 100, 3126–3135. [Google Scholar] [CrossRef]
- Lin, J.-K.; Chen, P.-C.; Ho, C.-T.; Lin-Shiau, S.-Y. Inhibition of Xanthine Oxidase and Suppression of Intracellular Reactive Oxygen Species in HL-60 Cells by Theaflavin-3,3′-digallate, (−)-Epigallocatechin-3-gallate, and Propyl Gallate. J. Agric. Food Chem. 2000, 48, 2736–2743. [Google Scholar] [CrossRef]
- Zhang, J.; Huang, J.A.; Cai, S.X.; Yi, X.Q.; Liu, J.J.; Wang, Y.Z.; Tian, L.L.; Liu, Z.H. Theaflavins and EGCG protect SH-SY5Y cells from oxidative damage induced by amyloid-β 1-42 and inhibit the level of Aβ42 in vivo and in vitro. J. Tea Sci. 2016, 36, 655–662. (In Chinese) [Google Scholar] [CrossRef]






| Indexes | Antioxidant Activity (DPPH, ABTS+· and Total Antioxidant Capacity Assay in Non-Cellular System) | |
|---|---|---|
| Structure–activity relationship of catechins | Geometrical isomerism | Not an independent interfering factor |
| Catechol or pyrogallol in B-ring | Pyrogallol stronger than catechol | |
| 3-galloyl group | 3-Galloyl group stronger than the no-galloyl group | |
| Dominant active group | 3-Galloyl group | |
| Structure–activity relationship of dimers | Number of galloyl groups in TFs | Positively correlated with activities |
| Position of galloyl groups in TFs | No influence | |
| Structure of TSA | Possessing strong activity at molarity due to having rich active groups | |
| Oxidative polymerization | Dimers vs. substrate monomer | Dimers greater than or equal to the substrate monomer (in most cases) |
| Dimers vs. substrate mixture | Dimers weaker than the substrate mixture (p < 0.05) | |
| Degree of oxidation polymerization (mass concentration) | Not positively correlated with the activity | |
Disclaimer/Publisher’s Note: The statements, opinions and data contained in all publications are solely those of the individual author(s) and contributor(s) and not of MDPI and/or the editor(s). MDPI and/or the editor(s) disclaim responsibility for any injury to people or property resulting from any ideas, methods, instructions or products referred to in the content. |
© 2023 by the authors. Licensee MDPI, Basel, Switzerland. This article is an open access article distributed under the terms and conditions of the Creative Commons Attribution (CC BY) license (https://creativecommons.org/licenses/by/4.0/).
Share and Cite
Wang, W.; Le, T.; Wang, W.-W.; Yin, J.-F.; Jiang, H.-Y. The Effects of Structure and Oxidative Polymerization on Antioxidant Activity of Catechins and Polymers. Foods 2023, 12, 4207. https://doi.org/10.3390/foods12234207
Wang W, Le T, Wang W-W, Yin J-F, Jiang H-Y. The Effects of Structure and Oxidative Polymerization on Antioxidant Activity of Catechins and Polymers. Foods. 2023; 12(23):4207. https://doi.org/10.3390/foods12234207
Chicago/Turabian StyleWang, Wei, Ting Le, Wei-Wei Wang, Jun-Feng Yin, and He-Yuan Jiang. 2023. "The Effects of Structure and Oxidative Polymerization on Antioxidant Activity of Catechins and Polymers" Foods 12, no. 23: 4207. https://doi.org/10.3390/foods12234207
APA StyleWang, W., Le, T., Wang, W.-W., Yin, J.-F., & Jiang, H.-Y. (2023). The Effects of Structure and Oxidative Polymerization on Antioxidant Activity of Catechins and Polymers. Foods, 12(23), 4207. https://doi.org/10.3390/foods12234207

