Sign in to use this feature.

Years

Between: -

Subjects

remove_circle_outline
remove_circle_outline
remove_circle_outline
remove_circle_outline
remove_circle_outline
remove_circle_outline
remove_circle_outline
remove_circle_outline
remove_circle_outline

Journals

remove_circle_outline
remove_circle_outline
remove_circle_outline
remove_circle_outline
remove_circle_outline
remove_circle_outline
remove_circle_outline
remove_circle_outline
remove_circle_outline
remove_circle_outline
remove_circle_outline
remove_circle_outline
remove_circle_outline
remove_circle_outline
remove_circle_outline
remove_circle_outline
remove_circle_outline
remove_circle_outline
remove_circle_outline

Article Types

Countries / Regions

remove_circle_outline
remove_circle_outline
remove_circle_outline
remove_circle_outline
remove_circle_outline
remove_circle_outline
remove_circle_outline

Search Results (2,472)

Search Parameters:
Keywords = CCl4

Order results
Result details
Results per page
Select all
Export citation of selected articles as:
25 pages, 12954 KB  
Article
From a Multi-Omics Signature to a Therapeutic Candidate: Computational Prediction and Experimental Validation in Liver Fibrosis
by Yingying Qin, Shuoshuo Ma, Haoyuan Hong, Deyuan Zhong, Yuxin Liang, Yuhao Su, Yahui Chen, Xing Chen, Yizhun Zhu and Xiaolun Huang
Pharmaceuticals 2026, 19(3), 495; https://doi.org/10.3390/ph19030495 - 17 Mar 2026
Viewed by 99
Abstract
Background: Advanced liver fibrosis (LF) is a major determinant of prognosis across chronic liver diseases. Current biomarkers are often etiology-specific and lack cross-cohort robustness. Shared molecular drivers across etiologies remain incompletely defined, and effective anti-fibrotic therapies are limited. Methods: We developed [...] Read more.
Background: Advanced liver fibrosis (LF) is a major determinant of prognosis across chronic liver diseases. Current biomarkers are often etiology-specific and lack cross-cohort robustness. Shared molecular drivers across etiologies remain incompletely defined, and effective anti-fibrotic therapies are limited. Methods: We developed a multi-algorithm consensus machine-learning framework to derive a robust LF progression signature. In the training non-alcoholic fatty liver disease (NAFLD) cohort GSE213621 (n = 368), samples were formulated as a binary classification task (mild fibrosis, F0–F2; advanced fibrosis, F3–F4). Candidate genes were screened in parallel using Boruta, Least Absolute Shrinkage and Selection Operator (LASSO), random forest, and eXtreme Gradient Boosting (XGBoost). Genes selected by at least two algorithms were defined as a high-consensus pool, and genes consistently selected by all four algorithms were prioritized to construct a core signature. Model performance was evaluated by stratified cross-validation in the training cohort and externally validated in four independent cohorts of different etiologies (GSE49541, GSE84044, GSE130970, and GSE276114). Cellular sources of signature genes were characterized using single-cell RNA sequencing (scRNA-seq) datasets GSE136103 (human) and GSE172492 (mouse). For therapeutic discovery, the high-consensus expression profile was queried against the Connectivity Map (CMap) to prioritize compounds predicted to reverse the fibrotic transcriptional program. Withaferin A (WFA) was selected for experimental validation in a carbon tetrachloride (CCl4)-induced mouse LF model and in the transforming growth factor-β1 (TGF-β1)-stimulated human hepatic stellate cell line LX-2. Bulk liver RNA-seq profiling was performed to interrogate WFA-associated molecular changes in vivo. Results: We identified a six-gene signature (CLEC4M, COL25A1, ITGBL1, NALCN, PAPPA, and PEG3) that discriminated advanced from mild fibrosis, achieving a mean AUC of 0.890 in internal cross-validation and an average AUC of 0.864 across external validation cohorts. scRNA-seq analysis revealed cell-type-specific expression with prominent enrichment in fibroblast populations. In vivo, WFA markedly attenuated CCl4-induced fibrosis (p < 0.05) and reversed 1314 fibrosis-associated differentially expressed genes (adjusted p < 0.05), which were enriched in fatty acid metabolism and PPAR signaling, as well as extracellular matrix (ECM)–receptor interaction and focal adhesion (adjusted p < 0.05). In vitro, WFA suppressed TGF-β1-induced LX-2 activation, reducing α-SMA and Fibronectin expression (p < 0.05). Conclusions: We report a six-gene signature that robustly predicts advanced LF across etiologies, define its cellular context using single-cell atlases, and validate the anti-fibrotic activity of WFA in both in vivo and in vitro models. Bulk liver RNA-seq and cellular evidence further suggest that WFA-associated effects are linked to lipid metabolic programs, ECM remodeling, and attenuation of hepatic stellate cell activation. Full article
(This article belongs to the Section Medicinal Chemistry)
Show Figures

Figure 1

15 pages, 827 KB  
Article
Gene Expression Profiles of Inflammatory Mediators in Influenza A and B Virus Infections: Insights from Riyadh, Saudi Arabia (2020–2023)
by Noorah A. Alkubaisi, Mohamed A. Farrag, Ibrahim M. Aziz, Reem M. Aljowaie and Fahad N. Almajhdi
Genes 2026, 17(3), 325; https://doi.org/10.3390/genes17030325 - 17 Mar 2026
Viewed by 136
Abstract
Background/Objectives: Influenza A (IAV) and influenza B (IBV) viruses pose significant public health threats, with varying epidemiology and immune responses. Limited subtype-specific cytokine data exist for influenza in Saudi Arabia. This study conducted molecular surveillance on 380 NPAs from patients at King Khalid [...] Read more.
Background/Objectives: Influenza A (IAV) and influenza B (IBV) viruses pose significant public health threats, with varying epidemiology and immune responses. Limited subtype-specific cytokine data exist for influenza in Saudi Arabia. This study conducted molecular surveillance on 380 NPAs from patients at King Khalid University Hospital (KKUH) in Riyadh, Saudi Arabia, during winter seasons (2020–2023). Methods: NPA samples were collected from hospitalized patients presenting with fever (>38 °C) and respiratory symptoms. RNA was extracted using the QIAamp Viral RNA Kit, followed by RT-PCR for IAV (H1N1, A/H3N2) and IBV detection. Quantitative real-time PCR profiled mRNA expression of 17 cytokines/chemokines in IAV-positive (n = 65) and IBV-positive (n = 20) samples, normalized to GAPDH using the 2−ΔΔCq method. Appropriate statistical tests were applied (p < 0.05 significant). Results: Results showed 17.11% IAV positivity (7.89% A/H1N1, 9.21% A/H3N2) and 5.26% IBV. A/H3N2 predominated, increasing from 6.67% (2020/21) to 12.30% (2022/23). Males had higher IAV rates (25.88% vs. 10.00% females, p < 0.05), while IBV was higher in females (6.67% vs. 3.53%). Age-wise, 0–4 years had peak IAV (28.42%, p < 0.05); IBV peaked at 5–14 years (10.91%). IAV elicited higher mRNA expression IFN-α, IL-10, IL-13, and CCL-2 (p < 0.05); IBV showed elevated IL-1α, IL-6, and IL-33 (p < 0.05). Within IAV, A/H1N1 had higher IL-4, IL-10, IL-13, and IL-17; A/H3N2 elevated TNF-α, IL-6, IL-22, CCL-3, and CCL-4 (p < 0.05). Conclusions: These findings highlight subtype-specific inflammatory profiles and demographic disparities in Saudi Arabia, informing targeted interventions. Post-COVID resurgence underscores surveillance needs amid travel and gatherings. Insights into cytokine dynamics aid prognosis and therapeutics, emphasizing regional molecular monitoring for vaccine optimization and outbreak prevention. Full article
(This article belongs to the Section Molecular Genetics and Genomics)
Show Figures

Figure 1

19 pages, 719 KB  
Article
Severity of Hypoxia-Induced Effects on 3T3-L1 Adipocyte Secretory Function Is Attenuated Dose-Dependently by Individual Short-Chain Fatty Acids
by Jessie L. Burns, Kelsey Van, Ala Alzubi, Clara E. Cho and Jennifer M. Monk
Nutrients 2026, 18(6), 942; https://doi.org/10.3390/nu18060942 - 17 Mar 2026
Viewed by 87
Abstract
Background: Microbial fermentation of non-digestible carbohydrates and proteins produce short-chain fatty acids (SCFAs), which are critical communication signals in the gut–adipose tissue axis. Individual SCFA can differentially modulate the adipocyte secretory profile and adipose tissue metabolic function; however, their dose-dependent effects on [...] Read more.
Background: Microbial fermentation of non-digestible carbohydrates and proteins produce short-chain fatty acids (SCFAs), which are critical communication signals in the gut–adipose tissue axis. Individual SCFA can differentially modulate the adipocyte secretory profile and adipose tissue metabolic function; however, their dose-dependent effects on adipocyte function in combined inflammatory and hypoxic environmental conditions that reflect the obesity-associated adipose tissue phenotype remain unknown. Methods: Mature 3T3-L1 adipocytes were cultured for 24 h with lipopolysaccharide (LPS; 10 ng/mL) plus 100 µM of cobalt chloride (CoCl2) to chemically induce hypoxia ± individual SCFAs, namely acetate (Ace), propionate (Pro), and butyrate (But), in a dose-dependent manner (0.25 mM, 0.5 mM, and 1 mM). Results: Ace, Pro and But reduced secretion of IL-6, MCP-1/CCL7 and Rantes/CCL5 in a dose-dependent manner, whereas Pro and But reduced MCP3/CCL7 secretion and only But reduced resistin and increased adiponectin secretion compared to control (p < 0.05). Intracellular protein expression of the ratio of phosphorylated–to–total NFκB p65 was reduced by 1 mM But, whereas the ratio of phosphorylated–to–total STAT3 expression was reduced by 1 mM Ace, Pro and But and 0.5 mM Pro and But compared to control (p < 0.05). There was no difference in insulin-stimulated or non-insulin-stimulated glucose uptake between control and any individual SCFAs (p > 0.05). Conclusions: Adipocyte adipokine secretory function in combined inflammation and hypoxic environmental conditions is dose-dependently attenuated by individual SCFA, which exhibit both individual and overlapping effects. Full article
Show Figures

Graphical abstract

17 pages, 13727 KB  
Article
Ultra-Miniaturized Dual-Band MIMO Antenna for Biomedical Implantable Devices in Wireless Health Monitoring Systems
by Tahir Bashir, Shunbiao Chen, Guanjie Feng, Yunqi Cao and Wei Li
Biosensors 2026, 16(3), 163; https://doi.org/10.3390/bios16030163 - 14 Mar 2026
Viewed by 121
Abstract
This paper proposed an ultra-miniaturized four-port dual-band multi-input multi-output (MIMO) antenna designed for wireless biomedical implantable devices, including wireless capsule endoscopy (WCE) and cardiac leadless pacemakers. The antenna supports operation in the wireless medical telemetry service (WMTS) band of 1.395–1.4 GHz and the [...] Read more.
This paper proposed an ultra-miniaturized four-port dual-band multi-input multi-output (MIMO) antenna designed for wireless biomedical implantable devices, including wireless capsule endoscopy (WCE) and cardiac leadless pacemakers. The antenna supports operation in the wireless medical telemetry service (WMTS) band of 1.395–1.4 GHz and the industrial, scientific, and medical (ISM) band of 2.4–2.4835 GHz for wireless power transfer and data telemetry applications. Miniaturization is achieved through a partial meandered structural configuration, yielding an overall size of 8 × 6.4 × 0.5 mm3. The antenna is encapsulated within implantable biomedical devices containing batteries, sensors, and electronic components, and evaluated in both homogeneous and realistic heterogeneous body phantoms, including the large intestine and heart. The full-wave electromagnetic simulation results demonstrate good performance, including reflection coefficients of −31.19 dB and −30.07 dB, gains of −27.5 dBi and −17.5 dBi, −10 dB impedance bandwidths of 170 MHz and 370 MHz, mutual coupling below 20 dB, and fractional bandwidths of 12.2% and 15.1% at 1.4 GHz and 2.45 GHz, respectively. Specific absorption rate (SAR) analysis satisfies implantation safety limits. Link budget analysis confirms reliable communication over distances more than 20 m in both frequency bands with high-data rates up to 100 Mbps. MIMO channel parameters such as envelope correlation coefficient (ECC), diversity gain (DG), channel capacity loss (CCL), and total active reflection coefficient (TARC) confirm the usefulness of the proposed MIMO antenna. Consequently, the proposed MIMO antenna emerges as a highly promising candidate with, ultra-miniaturization, isolation, multiband operation ability with omnidirectional-like radiation pattern characteristics for several biomedical implants in wireless health monitoring systems. Full article
(This article belongs to the Special Issue Wearable Biosensors for Biomedical Applications)
Show Figures

Figure 1

15 pages, 6216 KB  
Article
Multi-Strain Probiotic and Bee Pollen Supplementation Attenuates CCl4-Induced Altered Intestinal Tight Junctions in Rodents
by Nada Alsayari, Ramesa Shafi Bhat, Seema Zargar, Abeer M. Aldbass and Sooad Al-Daihan
Curr. Issues Mol. Biol. 2026, 48(3), 310; https://doi.org/10.3390/cimb48030310 - 13 Mar 2026
Viewed by 139
Abstract
Environmental toxins can impair gut microbiota and increase intestinal permeability, contributing to various health problems. While many such toxins are known to disrupt tight junctions and compromise barrier function, research specifically examining carbon tetrachloride (CCl4) as a trigger of intestinal epithelial [...] Read more.
Environmental toxins can impair gut microbiota and increase intestinal permeability, contributing to various health problems. While many such toxins are known to disrupt tight junctions and compromise barrier function, research specifically examining carbon tetrachloride (CCl4) as a trigger of intestinal epithelial barrier dysfunction remains limited. In this study, 54 young Western albino male rats, weighing 180–200 g, were randomly assigned to nine experimental groups, each comprising six rats. Group 1 received 1 mL of oral saline and served as a control. Groups 2 and 3 received 0.2 g/kg body weight probiotic and prebiotic, respectively, for four weeks. CCl4 (1 mL/kg, i.p.) was administered either at the beginning of day 1 (damage induction; Group 4) or at the end of day 28 (protection assessment; Group 7). Intervention groups received probiotics and prebiotics for 4 weeks after (therapeutic) CCl4 exposure on day 1 in Groups 5 and 6, respectively. Groups 8 and 9 received probiotics and prebiotics for 4 weeks before CCl4 exposure on day 28, respectively. Quantification of gut bacterial populations, serum levels of Occludin and Zonulin, as biomarkers of intestinal permeability, and histopathological analysis of intestinal tissue were conducted. CCl4 induces significant intestinal epithelial barrier dysfunction with marked histopathological alterations. Probiotic treatment was more effective than prebiotics at normalizing serum Zonulin and Occludin levels in CCl4-induced intestinal damage. Probiotics restore microbial balance by suppressing the overgrowth of pathogenic organisms, while prebiotics confer partial protection. CCl4-induced gut barrier disruption is restored through probiotic supplements by restoring gut microbial balance and normalizing tight junction-associated biomarkers. Full article
(This article belongs to the Section Molecular Microbiology)
Show Figures

Figure 1

14 pages, 5238 KB  
Article
Analysis of Catalase-Induced Activation of Intracellular Cell Signaling in Macrophages
by Kaiwen Mu, Ningjian Liang, Maidinai Sabier, Yu-Hsuan Liao and David. D. Kitts
Antioxidants 2026, 15(3), 366; https://doi.org/10.3390/antiox15030366 - 13 Mar 2026
Viewed by 185
Abstract
Hydrogen peroxide (H2O2) is a key extracellular redox signaling molecule that regulates diverse physiological processes, including immune cell activation and proliferation. However, its role in maintaining extracellular redox balance and mediating intercellular signaling remains underexplored. In this study, we [...] Read more.
Hydrogen peroxide (H2O2) is a key extracellular redox signaling molecule that regulates diverse physiological processes, including immune cell activation and proliferation. However, its role in maintaining extracellular redox balance and mediating intercellular signaling remains underexplored. In this study, we investigated how extracellular depletion of H2O2 by catalase modulates intracellular signaling pathways in macrophages. Catalase treatment effectively depleted extracellular H2O2 in a concentration- and time-dependent manner, leading to activation of mitogen-activated protein kinase (MAPK) pathways, including extracellular signal-regulated kinase (ERK), c-Jun N-terminal kinase (JNK), and p38, as well as nuclear translocation of the nuclear factor κB (NF-κB) p65 subunit. Perturbation of extracellular redox status resulted in robust upregulation of inflammatory and oxidative stress–related genes, including cyclooxygenase-2 (COX-2), C-C motif chemokine ligand 5 (CCL5), inducible nitric oxide synthase (iNOS), and nicotinamide adenine dinucleotide phosphate (NADPH) oxidase. This transcriptional response was accompanied by increased nitric oxide (NO) production and enhanced nuclear translocation and DNA-binding activity of nuclear factor erythroid 2–related factor 2 (Nrf2). Mechanistically, our data suggest that NO-mediated S-nitrosylation contributes to activation of the cellular antioxidant response. In addition, catalase-mediated depletion of extracellular H2O2 significantly (p < 0.05) suppressed 5-bromo-2′-deoxyuridine (BrdU) incorporation, indicating inhibition of macrophage proliferation. Together, these findings demonstrate that extracellular H2O2 functions as a physiological redox signal that maintains cellular homeostasis, and that its removal triggers a coordinated intracellular response involving both inflammatory activation and antioxidant defense. This study highlights the critical role of extracellular redox balance in shaping macrophage function and provides mechanistic insight into how changes in the oxidative environment regulate downstream immune signaling pathways. Full article
(This article belongs to the Special Issue Advances in Oxidoreductases)
Show Figures

Figure 1

25 pages, 2277 KB  
Article
Exosome-Enriched Hub Gene Networks Identify Diagnostic Biomarkers and Repurposable Therapeutic Targets in Endometriosis
by Meng-Hsiu Tsai, Shao-Ping Weng, Li-Jen Su and Tsung-Hsuan Lai
Int. J. Mol. Sci. 2026, 27(6), 2572; https://doi.org/10.3390/ijms27062572 - 11 Mar 2026
Viewed by 249
Abstract
Endometriosis is a heterogeneous chronic inflammatory disorder associated with substantial diagnostic delay and limited therapeutic options, highlighting the need of robust non-invasive biomarkers and actionable molecular targets to complement existing low-sensitivity tests. To identify conserved pathogenic mechanisms with translational potential, here, we uniformly [...] Read more.
Endometriosis is a heterogeneous chronic inflammatory disorder associated with substantial diagnostic delay and limited therapeutic options, highlighting the need of robust non-invasive biomarkers and actionable molecular targets to complement existing low-sensitivity tests. To identify conserved pathogenic mechanisms with translational potential, here, we uniformly reprocessed three independent the Gene Expression Omnibus (GEO) microarray cohorts (GSE7305, GSE25628, and GSE11691) and applied a strict, directionally consistent intersection strategy to identify conserved transcriptional signals. We identified 262 consensus differentially expressed genes enriched for immunity/inflammation, cell adhesion and migration, and angiogenesis, consistent with key biological hallmarks of lesion establishment and persistence. Protein–protein interaction topology prioritized 11 highly connected hub genes (VCAM1, CCL2, MCAM, CD14, CD24, FGFR1, SIRPA, CSF1R, S100A9, S100A8, and LY96) that likely act as an integrated immune-adhesion-angiogenesis axis. Notably, 63/262 (24%) of the consensus genes were annotated to the extracellular exosome compartment, supporting their translational relevance as liquid-biopsy candidates. Finally, connectivity mapping using the LINCS L1000 framework nominated small-molecule perturbagens predicted to reverse the endometriosis-associated signature, providing a rational starting point for drug-repurposing experiments. In conclusion, this study elucidates a conserved immune–adhesion–angiogenesis axis driven by an 11-gene hub network in endometriosis. These core regulators represent promising candidates for the development of non-invasive liquid biopsies and precision, non-hormonal therapeutics. Full article
Show Figures

Graphical abstract

12 pages, 1594 KB  
Article
Protective Effects and Mechanisms of Taxus cuspidata Seed Oil on CCl4-Induced Hepatic Fibrosis in Mice
by Li Gao, Hui Tian, Xiangli Bai and Yanwen Zhang
Biology 2026, 15(5), 442; https://doi.org/10.3390/biology15050442 - 9 Mar 2026
Viewed by 167
Abstract
This study aimed to investigate the effect and underlying mechanism of Taxus cuspidata seed oil (TCSO) on carbon tetrachloride (CCl4)-induced hepatic fibrosis in mice. A mouse model of hepatic fibrosis was established by CCl4 induction, and the model mice were [...] Read more.
This study aimed to investigate the effect and underlying mechanism of Taxus cuspidata seed oil (TCSO) on carbon tetrachloride (CCl4)-induced hepatic fibrosis in mice. A mouse model of hepatic fibrosis was established by CCl4 induction, and the model mice were subsequently treated orally with high dose or low dose TCSO for eight weeks. The degree of liver fibrosis and the mechanism of action were assessed through organ indices, serum biochemical markers, oxidative stress levels, histopathological examination, and molecular biological analyses. The results demonstrated that TCSO significantly reduced serum levels of alanine transaminase (ALT), aspartate transaminase (AST), and alkaline phosphatase (ALP). Concurrently, it decreased the concentrations of liver fibrosis markers, including procollagen III (PC III), collagen IV (IV-C), hyaluronic acid (HA), and laminin (LN), and reduced hepatic collagen deposition. Furthermore, TCSO enhanced the activities of the antioxidants superoxide dismutase (SOD) and glutathione (GSH) while inhibiting the production of the lipid peroxidation product malondialdehyde (MDA), and it ameliorated histopathological alterations in liver tissue. Additionally, TCSO markedly downregulated the expression of key fibrogenic proteins, such as transforming growth factor-β1 (TGF-β1), matrix metalloproteinase-2 (MMP-2), and tissue inhibitor of metalloproteinases-1 (TIMP-1), thereby effectively suppressing the progression of hepatic fibrosis. In conclusion, TCSO ameliorates hepatic fibrosis in mice by reducing hepatotoxic enzyme activity and collagen deposition, enhancing antioxidant capacity, and downregulating the expression of fibrosis-related proteins. Full article
Show Figures

Figure 1

13 pages, 881 KB  
Article
Serum Chemokines CCL3 and CCL7 as Complementary Diagnostic Biomarkers Across Tumor Grades in Clear Cell Renal Cell Carcinoma
by Weronika Sokólska, Monika Zajkowska, Agnieszka Kulczyńska-Przybik, Tadeusz Werel and Karolina Orywal
Int. J. Mol. Sci. 2026, 27(5), 2490; https://doi.org/10.3390/ijms27052490 - 8 Mar 2026
Viewed by 272
Abstract
The long asymptomatic period of clear cell renal cell carcinoma, which leads to delayed diagnosis and poorer prognosis, poses a global challenge. Chemokines play a pivotal role in immune regulation and tumor progression, making them promising biomarker candidates. This study aimed to evaluate [...] Read more.
The long asymptomatic period of clear cell renal cell carcinoma, which leads to delayed diagnosis and poorer prognosis, poses a global challenge. Chemokines play a pivotal role in immune regulation and tumor progression, making them promising biomarker candidates. This study aimed to evaluate the usefulness of the C-C motif chemokine ligand 3 (CCL3) and C-C motif chemokine ligand 7 (CCL7) by assessing their serum concentrations in 40 patients with stage G1 + G2 and stage G3 + G4 renal cancer, as well as in 58 healthy volunteers. Chemokine concentrations were measured using a multiplex Luminex assay and analyzed statistically, including receiver operating characteristic (ROC) analysis. Serum CCL3 concentrations were significantly elevated in ccRCC patients compared to controls and increased with tumor grade, with the highest levels observed in patients with advanced disease (G3+G4). In contrast, serum CCL7 levels were significantly lower in ccRCC patients than in healthy individuals, with no significant differences between tumor grade subgroups. ROC analysis revealed comparable diagnostic performance of CCL3 and CCL7, with CCL3 showing a slightly higher area under the curve. CCL3 showed high sensitivity, whereas CCL7 exhibited higher specificity than sensitivity, and a relatively high positive predictive value, consistent with its inverse regulation in ccRCC. These findings suggest that serum CCL3 and CCL7 are oppositely regulated in ccRCC and may serve as complementary non-invasive biomarkers for renal cancer detection. Full article
(This article belongs to the Special Issue The Role of Cytokines in Health and Diseases)
Show Figures

Figure 1

19 pages, 8847 KB  
Article
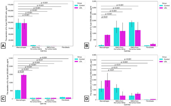
Integrative Analysis of VSMC, Macrophage, and Fibroblast Responses to LDLs in Aortic Pathologies
by Ulyana Khovantseva, Diana Kiseleva, Vadim Cherednichenko, Denis Breshenkov, Diana Matveeva, Tatiana Kirichenko, Yuliya Markina, Eduard Charchyan and Alexander Markin
Int. J. Mol. Sci. 2026, 27(5), 2443; https://doi.org/10.3390/ijms27052443 - 6 Mar 2026
Viewed by 232
Abstract
Cardiovascular diseases (CVDs) remain the leading cause of global mortality, with aortic pathologies such as atherosclerosis and thoracic aortic aneurysm posing significant risks due to their asymptomatic nature and potential fatal complications. This study investigates molecular mechanisms underlying CVDs by examining key cellular [...] Read more.
Cardiovascular diseases (CVDs) remain the leading cause of global mortality, with aortic pathologies such as atherosclerosis and thoracic aortic aneurysm posing significant risks due to their asymptomatic nature and potential fatal complications. This study investigates molecular mechanisms underlying CVDs by examining key cellular components of the aortic wall—vascular smooth muscle cells (VSMCs), fibroblasts, and macrophages—and their responses to low-density lipoproteins (LDLs). Using in vitro models, we analyzed phenotypic characteristics, LDL internalization capacity, and secretion/expression of pro-inflammatory mediators (IL-6, IL-8, IL-1β, CCL2) in primary VSMCs (from tunica intima and media), fibroblasts (977hTERT), and THP-1 macrophages. Fluorescence staining with BDP 630/650 revealed that all cell types internalize LDLs, with macrophages showing the highest lipid accumulation. ELISA and RT-qPCR demonstrated cell-specific patterns of cytokine secretion and gene expression, both in control conditions and after LDL exposure. The results indicate that VSMCs and fibroblasts, normally involved in vascular tone maintenance and extracellular matrix (ECM) synthesis, acquire pro-inflammatory features under pathological conditions, including increased secretion of IL-6, IL-8, and CCL2. Macrophages exhibited enhanced expression of the scavenger receptor CD36 and pro-inflammatory cytokines (especially IL-1β) after LDL treatment. Full article
Show Figures

Figure 1

19 pages, 2590 KB  
Article
Alirocumab Attenuated Plaque Inflammation and PCSK9-Induced Proinflammatory Signalling in M1 Macrophages Independently of Lipid Lowering
by Cristina Espadas, Manuel Soto-Catalán, María Romero-Cote, María Kavanagh, Isabel Herrero-Del Real, Adriana Ortega-Hernández, Jairo Lumpuy-Castillo, Dulcenombre Gómez-Garre, Jesús Egido, José Tuñón, Carmen Gómez-Guerrero and Óscar Lorenzo
Biomolecules 2026, 16(3), 397; https://doi.org/10.3390/biom16030397 - 6 Mar 2026
Viewed by 304
Abstract
Background: Proprotein Convertase Subtilisin/Kexin Type 9 (PCSK9) has been implicated in vascular inflammation beyond its action on LDL-C degradation. We investigated whether PCSK9 may exacerbate proinflammatory signaling of M1 macrophages and if its neutralization with alirocumab could attenuate this effect and plaque progression [...] Read more.
Background: Proprotein Convertase Subtilisin/Kexin Type 9 (PCSK9) has been implicated in vascular inflammation beyond its action on LDL-C degradation. We investigated whether PCSK9 may exacerbate proinflammatory signaling of M1 macrophages and if its neutralization with alirocumab could attenuate this effect and plaque progression by LDL-C independent mechanisms. Methods: ApoE/ mice were treated with alirocumab for 13 weeks, and aortic arches were isolated for atherosclerotic plaque characterization based on lesion size and lipid and macrophage infiltration. Plasma and splenic monocytes/macrophages were also assessed by flow cytometry, and PCSK9, the lipid profile, and inflammatory cytokines were measured by qPCR or Western blot. Cultured THP-1-derived M1 macrophages were stimulated with PCSK9 and evaluated for TLR4-NFκB-NLRP3 activation and cytokine production. In addition, soluble PCSK9, LDL-C, and proinflammatory factors were analyzed in 1190 patients with acute coronary syndrome (ACS). Results: Alirocumab reduced plaque lesion (0.42-fold; p < 0.05) and lipid (0.63-fold; p < 0.01) and macrophage (0.61-fold; p < 0.05) infiltration, mainly the M1 subtype (0.37-fold; p < 0.01), as well as TLR4, NLRP3 and caspase-1 expressions (0.49-fold, 0.51-fold and 0.51-fold, respectively; p < 0.05), without altering LDL-C. Also, it decreased proinflammatory cytokines but enhanced anti-inflammatory factors and M2 markers at the descending aorta. Alirocumab enriched circulating Ly6Clow monocytes (1.51-fold; p < 0.05) and splenic M2 macrophages (1.32-fold; p < 0.01), while reducing M1 (0.62-fold; p < 0.05). In cultured M1 macrophages, PCSK9 overexpressed proinflammatory cytokines (i.e., CXCL9, CXCL10, TNF-α, IL-1β, and IL-6), downregulated anti-inflammatory mediators (i.e., CCL17, TGM2, TGF-β1, and IL-10), and promoted NFκB-p65 nuclear translocation and NLRP3 and gasdermin-D activation. However, TLR4 inhibition or silencing blunted these effects. In patients with AC, there was a positive association between PCSK9 and hsCRP and FGF-23 plasma levels, independently of LDL-C. Conclusions: PCSK9 may be released in parallel to proinflammatory factors such as hsCRP and FGF-23 in patients with ACS, independently of LDL-C levels. PCSK9 may directly promote macrophage-driven inflammatory responses through the TLR4-NFκB-NLRP3 signaling, but its neutralization with alirocumab attenuated this inflammatory axis and limited atherosclerotic progression, supporting an anti-inflammatory benefit secondary to PCSK9 inhibition. Full article
Show Figures

Graphical abstract

14 pages, 1822 KB  
Article
Tubular Epithelia-Specific Deletion of MCP-1 Does Not Afford Protection Against Adriamycin-Induced Kidney Injury
by Corry D. Bondi, Hannah L. Hartman, Josie L. Gilbert, Joy A. Stewart, Dennis R. Clayton and Roderick J. Tan
Int. J. Mol. Sci. 2026, 27(5), 2432; https://doi.org/10.3390/ijms27052432 - 6 Mar 2026
Viewed by 207
Abstract
The increasing global burden of chronic kidney disease (CKD) magnifies an urgent need to find treatable targets. Monocyte chemoattractant protein-1 (MCP-1/CCL2) is a chemokine secreted by kidney tubular epithelia in response to a variety of stimuli. To better understand the effects of tubular [...] Read more.
The increasing global burden of chronic kidney disease (CKD) magnifies an urgent need to find treatable targets. Monocyte chemoattractant protein-1 (MCP-1/CCL2) is a chemokine secreted by kidney tubular epithelia in response to a variety of stimuli. To better understand the effects of tubular MCP-1 in response to kidney injury, we generated tubular epithelia-specific MCP-1 knockout mice (KO; Pax8-Mcp-1fl/fl). We then exposed these mice and their control littermates to Adriamycin (Adr; 18 mg/kg, IV bolus). Thirty-two days after Adr injection, Mcp-1 transcript and protein levels were suppressed in the KO mice compared to their wild-type (WT) littermates. The KO mice exhibited no effect on survival, change in body weight, albuminuria, kidney function, glomerular or tubular injury, or tubulointerstitial fibrosis compared to WT. Overall, the results suggest that tubule-secreted MCP-1 is not necessary for progression of Adr-induced injury. These findings contribute to our understanding of the role of MCP-1 in kidney injury. Full article
(This article belongs to the Special Issue Nutrition, Inflammation, and Chronic Kidney Disease)
Show Figures

Figure 1

22 pages, 1098 KB  
Review
Chemokine Networks in Blood–Brain Barrier Regulation: Bidirectional Mechanisms, Clinical Translation, and Precision Therapeutic Prospects
by Qiang Wu, Zhengjie Miao, Wen Lei, Xuewen Wu, Jingjing Zhao and Jun Sun
Biomolecules 2026, 16(3), 395; https://doi.org/10.3390/biom16030395 - 5 Mar 2026
Viewed by 283
Abstract
The blood–brain barrier (BBB), a core component of the neurovascular unit (NVU), meticulously regulates material exchange between the blood and brain parenchyma, serving as a critical barrier for maintaining the homeostasis of the central nervous system (CNS). Neuroinflammation, a pivotal response of the [...] Read more.
The blood–brain barrier (BBB), a core component of the neurovascular unit (NVU), meticulously regulates material exchange between the blood and brain parenchyma, serving as a critical barrier for maintaining the homeostasis of the central nervous system (CNS). Neuroinflammation, a pivotal response of the CNS to injury and disease, can disrupt NVU homeostasis when excessive or persistent, acting as a core pathogenic driver of various intractable neurological disorders. Chemokines, as key signaling molecules guiding the directional migration of immune cells, form the central hub mediating the dynamic regulation of neuroinflammation and the BBB. However, existing studies mostly focus on single disease systems or chemokine families, neglecting the bidirectional heterogeneity of different chemokine axes in BBB regulation and the common regulatory rules across diseases, while lacking systematic exploration of clinical translation challenges caused by the redundancy and spatiotemporal heterogeneity of the chemokine network. This review systematically clarifies the bidirectional regulatory effects of the core axes of the three major chemokine families (e.g., CCL2/CCR2, CXCL12/CXCR4, CX3CL1/CX3CR1) on the BBB. For the first time, we integrate a multi-dimensional regulatory model based on concentration, location, and time to analyze their molecular mechanisms and regulatory heterogeneity in promoting BBB disruption under pathological conditions versus mediating barrier repair and neuroprotection under specific spatiotemporal conditions. Combined with advancements in cutting-edge models such as microfluidic chips, we discuss the clinical translation progress of chemokine research, including potential biomarkers and targeted therapeutic strategies, and propose precise breakthrough paths for the two core challenges of network redundancy and spatiotemporal heterogeneity. Finally, we construct a complete research framework for chemokine-mediated regulation of NVU homeostasis, providing novel insights and directions for restoring BBB function and treating intractable neurological diseases. Full article
Show Figures

Figure 1

21 pages, 7400 KB  
Article
Moderate Aerobic Training Causes Muscle Wasting in a DMBA-Induced Sarcoma Rat Model
by Rafael Ribeiro Correia, Allice Santos Cruz Veras, Maria Eduarda Almeida Tavares, Victor Rogério Garcia Batista, Sarah Santiloni Cury, Jakeline Santos Oliveira, Geysson Javier Fernandez, Brittany R. Counts, Omnia U. Gaafer, Sara Ota, Mateus Machado Frigo, Rebeca Vieira e Magalhães Rodrigues, Larissa Victorino Sampaio, Antonio Hernandes Chaves-Neto, Robson Francisco Carvalho, Teresa A. Zimmers and Giovana Rampazzo Teixeira
Int. J. Mol. Sci. 2026, 27(5), 2381; https://doi.org/10.3390/ijms27052381 - 4 Mar 2026
Viewed by 303
Abstract
Cancer cachexia, characterized by severe body weight loss, negatively affects patient quality of life and survival. Although moderate exercise benefits healthy and chronically ill individuals, and the effect of exercise in cachexia generally appears beneficial, conflicting results have been reported in cancer-associated cachexia. [...] Read more.
Cancer cachexia, characterized by severe body weight loss, negatively affects patient quality of life and survival. Although moderate exercise benefits healthy and chronically ill individuals, and the effect of exercise in cachexia generally appears beneficial, conflicting results have been reported in cancer-associated cachexia. This study examined the effects of moderate aerobic exercise in a rat cancer model, focusing on molecular crosstalk among tumors, serum, and skeletal muscle. Male Sprague-Dawley rats were divided into Non-Cancer, Cancer, and Cancer + Exercise (Ex) groups. Cancer was induced with an intraperitoneal injection of 7,12-dimethylbenz[a]anthracene (DMBA), and the Cancer + Ex group completed an eight-week treadmill regimen. Tibialis anterior muscle, serum, and tumor tissues were analyzed by RNA sequencing. DMBA injection produced sarcoma-like tumors, reduced body weight, elevated inflammatory mediators, and activated muscle atrophy genes (Fbxo32). Exercise led to progressive intolerance, further weight loss, lower muscle mass, and larger tumors. Transcriptomic profiling revealed exacerbated cachexia signatures and suppressed energy metabolism genes in exercised cancer rats. Bioinformatic analysis of serum proteins and tissue transcriptomes identified enhanced chemokine-receptor signaling, including pro-tumorigenic (CXCL6_CXCR2) and pro-cachexia (CCL19_CXCR3, CCL5_CCR3, CXCL11_CXCR3) interactions. These findings suggest that in a pro-inflammatory cancer context, late-onset moderate exercise may worsen cachexia and stimulate tumor progression. Thus, exercise protocols should be cautiously tailored in cancer settings. Full article
(This article belongs to the Special Issue Latest Molecular Research on Muscle Atrophy)
Show Figures

Figure 1

18 pages, 872 KB  
Review
Memory Cells in Atopic Dermatitis: Paving the Way to Disease Modification
by Raquel Dominguez-Lopez, Carlos J. Aranda, Enrique Gómez-de la Fuente, Bibiana Pérez-García, Javier Perez-Bootello, Carlota Abbad-Jaime de Aragon, Álvaro González-Cantero and Emilio Berna-Rico
Int. J. Mol. Sci. 2026, 27(5), 2371; https://doi.org/10.3390/ijms27052371 - 3 Mar 2026
Viewed by 560
Abstract
Atopic dermatitis (AD) is a chronic relapsing inflammatory skin disease in which persistence of immunological memory underlies disease recurrence and progression toward atopic comorbidities. Evidence indicates that pathogenic tissue-resident memory T cells (TRM), including Th2- and Th22-skewed subsets, among others, persist in both [...] Read more.
Atopic dermatitis (AD) is a chronic relapsing inflammatory skin disease in which persistence of immunological memory underlies disease recurrence and progression toward atopic comorbidities. Evidence indicates that pathogenic tissue-resident memory T cells (TRM), including Th2- and Th22-skewed subsets, among others, persist in both lesional and clinically resolved skin and rapidly re-initiate inflammation through production of IL-4, IL-13, IL-22 and IL-31, promoting barrier dysfunction and pruritus. In parallel, circulating CLA+ memory T cells retain skin-homing capacity and contribute to flare reactivation, while IgG1+CD23 IL-4Rα+ type-2 memory B cells (MBC2) constitute a reservoir for high-affinity IgE production, linking cutaneous inflammation with allergic comorbidities. These adaptive memory compartments are sustained by epithelial alarmins, dendritic cell–derived chemokines such as CCL17, CCL22 and CCL18, and the OX40/OX40L costimulatory pathway, which promotes differentiation, survival and tissue retention of memory T cells. Clinical and transcriptomic studies show how, although IL-4/IL-13 blockade reduces circulating type-2 responses, Th2A cells, Tc2 cells and activated dendritic cells can persist in clinically resolved skin, providing a mechanistic basis for relapse after treatment withdrawal. Together, these findings support the relevance of targeting memory-imprinting pathways as a promising mechanism to achieve durable disease modification in AD. Full article
(This article belongs to the Special Issue Dermatology: Advances in Pathophysiology and Therapies (3rd Edition))
Show Figures

Figure 1

Back to TopTop