Journal Description
Atoms
Atoms
is an international, peer-reviewed, open access journal on all aspects of the atom published monthly online by MDPI.
- Open Access— free for readers, with article processing charges (APC) paid by authors or their institutions.
- High Visibility: indexed within Scopus, ESCI (Web of Science), Astrophysics Data System, Inspec, CAPlus / SciFinder, INSPIRE, and other databases.
- Journal Rank: CiteScore - Q2 (Nuclear and High Energy Physics)
- Rapid Publication: manuscripts are peer-reviewed and a first decision is provided to authors approximately 20.3 days after submission; acceptance to publication is undertaken in 3.7 days (median values for papers published in this journal in the first half of 2025).
- Recognition of Reviewers: reviewers who provide timely, thorough peer-review reports receive vouchers entitling them to a discount on the APC of their next publication in any MDPI journal, in appreciation of the work done.
Impact Factor:
1.5 (2024);
5-Year Impact Factor:
1.5 (2024)
Latest Articles
Single Sr Atoms in Optical Tweezer Arrays for Quantum Simulation
Atoms 2026, 14(1), 1; https://doi.org/10.3390/atoms14010001 - 19 Dec 2025
Abstract
We report on the realization of a platform for trapping and manipulating individual 88Sr atoms in optical tweezers. A first cooling stage based on a blue shielded magneto-optical trap (MOT) operating on the
[...] Read more.
We report on the realization of a platform for trapping and manipulating individual 88Sr atoms in optical tweezers. A first cooling stage based on a blue shielded magneto-optical trap (MOT) operating on the transition at enables us to trap approximately 4 × 106 atoms at a temperature of 6.8 mK. Further cooling is achieved in a narrow-line red MOT using the intercombination transition at 689 nm, bringing 5 × 105 atoms down to and reaching a density of 4 × 1010 cm3. Atoms are then loaded into 813 nm tweezer arrays generated by crossed acousto-optic deflectors and tightly focused onto the atoms with a high-numerical-aperture objective. Through light-assisted collision processes we achieve the collisional blockade, which leads to single-atom occupancy with a probability of about 50%. The trapped atoms are detected via fluorescence imaging with a fidelity of , while maintaining a survival probability of . The release-and-recapture measurement provides a temperature of for the atoms in the tweezers, and the ultra-high-vacuum environment ensures a vacuum lifetime higher than 7 min. These results demonstrate a robust alkaline-earth tweezer platform that combines efficient loading, cooling, and high-fidelity detection, providing the essential building blocks for scalable quantum simulation and quantum information processing with Sr atoms.
Full article
(This article belongs to the Special Issue Quantum Technologies with Ultracold Atoms)
►
Show Figures
Open AccessArticle
Time-Dependent Theory of Electron Emission Perpendicular to Laser Polarization for Reconstruction of Attosecond Harmonic Beating by Interference of Multiphoton Transitions
by
Matías L. Ocello, Sebastián D. López, Martín Barlari and Diego G. Arbó
Atoms 2025, 13(12), 99; https://doi.org/10.3390/atoms13120099 - 10 Dec 2025
Abstract
►▼
Show Figures
We present a time-dependent nonperturbative theory of the reconstruction of attosecond beating by interference of multiphoton transitions (RABBIT) for photoelectron emission from hydrogen atoms in the transverse direction relative to the laser polarization axis. Extending our recent semiclassical strong-field approximation (SFA) model developed
[...] Read more.
We present a time-dependent nonperturbative theory of the reconstruction of attosecond beating by interference of multiphoton transitions (RABBIT) for photoelectron emission from hydrogen atoms in the transverse direction relative to the laser polarization axis. Extending our recent semiclassical strong-field approximation (SFA) model developed for parallel emission, we deduce analytical expressions for the transition amplitudes and demonstrate that the photoelectron probability distribution can be factorized into interhalf- and intrahalfcycle interference contributions, the latter modulating the intercycle pattern responsible for sideband formation. We identify the intrahalfcycle interference arising from trajectories released within the same half cycle as the mechanism governing attosecond phase delays in the perpendicular geometry. Our results reveal the suppression of even-order sidebands due to destructive interhalfcycle interference, leading to a characteristic spacing between adjacent peaks that doubles the standard spacing observed along the polarization axis. Comparisons with numerical calculations of the SFA and the ab initio solution of the time-dependent Schrödinger equation confirm the accuracy of the semiclassical description. This work provides a unified framework for understanding quantum interferences in attosecond chronoscopy, bridging the cases of parallel and perpendicular electron emission in RABBIT-like protocols.
Full article

Figure 1
Open AccessArticle
Collective Auger Decay of 4d−2 Double Inner-Shell Vacancy in Xe
by
Jiaolong Zeng, Guoqing Wang, Aihua Deng, Cheng Gao and Jianmin Yuan
Atoms 2025, 13(12), 98; https://doi.org/10.3390/atoms13120098 - 8 Dec 2025
Abstract
►▼
Show Figures
Auger decay of all levels of the double core-hole states of Xe2+, including collective Auger decay (CAD) pathways, is investigated using the relativistic distorted-wave approximation. Large-scale configuration interaction calculations were performed to obtain level-to-level Auger decay rates.
[...] Read more.
Auger decay of all levels of the double core-hole states of Xe2+, including collective Auger decay (CAD) pathways, is investigated using the relativistic distorted-wave approximation. Large-scale configuration interaction calculations were performed to obtain level-to-level Auger decay rates. In addition to the typical Auger decay final levels associated with the configurations of , , and , evident contributions are identified from excited channels, leading to configurations such as , , , and . These contributions arise from strong electron correlation between the valence electronic orbitals and the inner-shell orbital. The CAD rates and branching ratios (BRs) are determined for each double core-hole level with a minimum CAD BR of 1.28% and a maximum of 4.08% among all CAD channels. The configuration-averaged CAD BR is predicted to be 1.93%, which helps explain recent unexplained experimental findings. The inclusion of CAD processes enriches Auger electron spectroscopy, thereby extending potential applications of this important experimental tool in both fundamental and applied research.
Full article

Figure 1
Open AccessArticle
The Validity of Long Wavelength Approximation in the Evaluation of Two-Photon Decay Rate
by
George-Tony Constantin and Cristian Iorga
Atoms 2025, 13(12), 97; https://doi.org/10.3390/atoms13120097 - 4 Dec 2025
Abstract
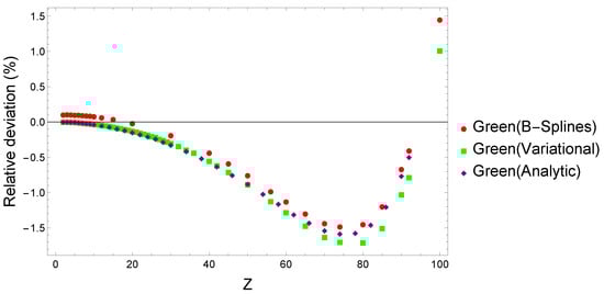
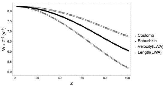
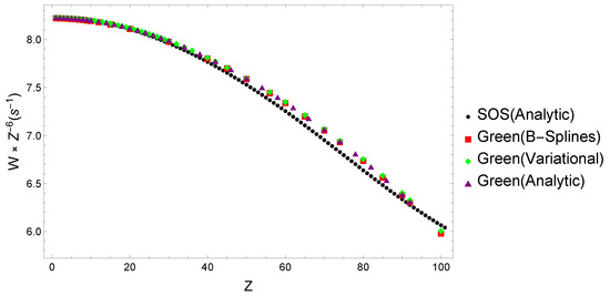
This paper investigates the validity of the long wavelength approximation in the calculation of two-photon decay of level in hydrogen-like ions with nuclear charge based on time-dependent second-order perturbation theory and angular momentum
[...] Read more.
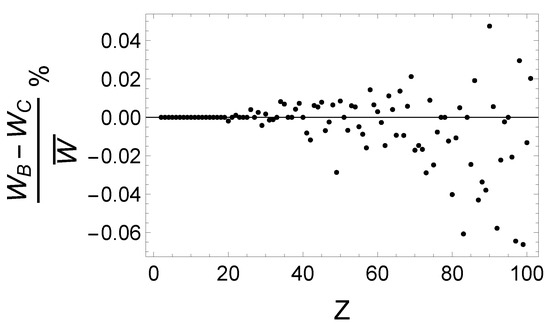
This paper investigates the validity of the long wavelength approximation in the calculation of two-photon decay of level in hydrogen-like ions with nuclear charge based on time-dependent second-order perturbation theory and angular momentum algebra. While the relativistic structure effects on the two-photon decay rates are highlighted in the literature, the role of slowing effects in the photon electric dipole operators are not discussed extensively. The rate is computed by the sum-over-states method, with bound-bound and bound-free electric dipole matrix elements obtained in the Babushkin and Coulomb gauges, which satisfy the Lorenz gauge condition, as well as their non-relativistic limits in the long-wavelength approximation (Length and Velocity forms, respectively). The present results explicitly show how this approximation breaks gauge invariance by overestimating the Babushkin values by ∼24% while underestimating the Coulomb rates by ∼ . Using analytical eigenfunctions of the Dirac equation, we found that the contributions of the negative continuum states to the rate scale are ∼ in the Babushkin gauge and ∼ in the Coulomb gauge, making the latter gauge more susceptible to errors when attempting to achieve basis completeness in multiphoton calculations. The present results are useful in assessing the complexity requirements of radiative transition rates for atomic systems of interest.
Full article
(This article belongs to the Section Atomic, Molecular and Nuclear Spectroscopy and Collisions)
►▼
Show Figures

Figure 1
Open AccessArticle
A Comparative Study of COMPLET Code Predictions with Experimental Data on Alpha Particle-Induced Reactions on Cobalt Isotope up to 120 MeV
by
Cherie Sisay Mekonen and Ayyagari Venkata Mohan Rao
Atoms 2025, 13(12), 96; https://doi.org/10.3390/atoms13120096 - 4 Dec 2025
Abstract
►▼
Show Figures
A comparative study of alpha-induced reactions on cobalt isotope with the predictions by COMPLET code is presented for nine excitation functions, 59Co(α,p5n)57Ni, 59Co (α,p6n)56Ni, 59Co(α,2pn)60Co, 59Co(α,3pn)59Fe, 59Co(α,αn)58Co, 59
[...] Read more.
A comparative study of alpha-induced reactions on cobalt isotope with the predictions by COMPLET code is presented for nine excitation functions, 59Co(α,p5n)57Ni, 59Co (α,p6n)56Ni, 59Co(α,2pn)60Co, 59Co(α,3pn)59Fe, 59Co(α,αn)58Co, 59Co(α,α2n)57Co, 59Co(α,α3n)56Co, 59Co(α,2αn)54Mn, and 59Co(α,2α3n)52Mn. The experimental values were taken from the EXFOR data base. Theoretical cross-sections were calculated using initial exciton number n0 = 4 (4p0h) and level density parameter a (=ACN/10) globally. While several reactions showed excellent agreement with experimental data, others displayed a notable discrepancy. This is because of the limitations of the COMPLET code to take the alpha emission in a pre-equilibrium phase.
Full article

Figure 1
Open AccessOpinion
Effective Action Approach to Quantum and Thermal Effects: From One Particle to Bose–Einstein Condensates
by
Luca Salasnich
Atoms 2025, 13(12), 95; https://doi.org/10.3390/atoms13120095 - 1 Dec 2025
Abstract
We present a detailed derivation of the quantum and quantum–thermal effective action for non-relativistic systems, starting from the single-particle case and extending to the Gross–Pitaevskii (GP) field theory for weakly interacting bosons. In the single-particle framework, we introduce the one-particle-irreducible (1PI) effective action
[...] Read more.
We present a detailed derivation of the quantum and quantum–thermal effective action for non-relativistic systems, starting from the single-particle case and extending to the Gross–Pitaevskii (GP) field theory for weakly interacting bosons. In the single-particle framework, we introduce the one-particle-irreducible (1PI) effective action formalism, taking explicitly into account the choice of the initial quantum state, its saddle-point plus Gaussian-fluctuation approximation, and its finite-temperature extension via Matsubara summation, yielding a clear physical interpretation in terms of zero-point and thermal contributions to the Helmholtz free energy. The formalism is then applied to the GP action, producing the 1PI effective potential at zero and finite temperature, including beyond-mean-field Lee–Huang–Yang and thermal corrections. We discuss the gapless and gapped Bogoliubov spectra, their relevance to equilibrium and non-equilibrium regimes, and the role of regularization. Applications include the inclusion of an external potential within the local density approximation, the derivation of finite-temperature Josephson equations, and the extension to D-dimensional systems, with particular attention to the zero-dimensional limit. This unified approach provides a transparent connection between microscopic quantum fluctuations and effective macroscopic equations of motion for Bose–Einstein condensates.
Full article
Open AccessArticle
Electron Scattering from Superheavy Elements: Copernicium and Oganesson
by
Shruti Sarswat, Saumyashree Baral and Jobin Jose
Atoms 2025, 13(11), 94; https://doi.org/10.3390/atoms13110094 - 20 Nov 2025
Abstract
Superheavy elements are an ideal testbed for studying relativistic, exchange, and correlation effects in scattering phenomena. In this work, we investigate electron scattering from copernicium and oganesson atoms. Both the relativistic Dirac and
[...] Read more.
Superheavy elements are an ideal testbed for studying relativistic, exchange, and correlation effects in scattering phenomena. In this work, we investigate electron scattering from copernicium and oganesson atoms. Both the relativistic Dirac and non-relativistic partial wave methods are employed to analyze the scattering dynamics, with the interaction between the projectile and target atom modeled within the framework of the optical potential approach. Our results demonstrate that relativistic, exchange, and correlation effects play a significant role in modifying the scattering cross-sections and scattering length, highlighting the influence of these interactions on the scattering processes from superheavy atomic systems. The work also attempts to identify common features of the scattering cross-section by comparing those of lighter elements in the same group.
Full article
(This article belongs to the Section Atomic, Molecular and Nuclear Spectroscopy and Collisions)
►▼
Show Figures

Figure 1
Open AccessArticle
Antiprotonic Atoms as Gateways to HCI
by
Lidia Lappo, Jakub Zieliński, Fredrik P. Gustafsson, Malgorzata Grosbart, Georgy Kornakov and Michael Doser
Atoms 2025, 13(11), 93; https://doi.org/10.3390/atoms13110093 - 19 Nov 2025
Abstract
The present study investigates the production of highly charged ions (HCIs) through the novel application of antiprotonic atoms and explores their potential for studying atomic and nuclear structures. Utilizing the Geant4 simulation toolkit, comprehensive simulations were conducted for all known isotopes with atomic
[...] Read more.
The present study investigates the production of highly charged ions (HCIs) through the novel application of antiprotonic atoms and explores their potential for studying atomic and nuclear structures. Utilizing the Geant4 simulation toolkit, comprehensive simulations were conducted for all known isotopes with atomic numbers below 100. These simulations recorded key parameters of the resulting nuclear fragments, including mass, momentum, charge, and yield. The results obtained from this study offer valuable insights into the mechanisms of HCI production and provide a foundation for planning and analyzing future experimental investigations. This work demonstrates the feasibility of using antiprotonic atoms to advance nuclear and atomic physics research.
Full article
(This article belongs to the Special Issue 21st International Conference on the Physics of Highly Charged Ions)
►▼
Show Figures

Figure 1
Open AccessArticle
Hybrid Basis and Multi-Center Grid Method for Strong-Field Processes
by
Kyle A. Hamer, Heman Gharibnejad, Luca Argenti and Nicolas Douguet
Atoms 2025, 13(11), 92; https://doi.org/10.3390/atoms13110092 - 17 Nov 2025
Abstract
We present a time-dependent framework that combines a hybrid basis, consisting of Gaussian-type orbitals (GTOs) and finite-element discrete-variable representation (FEDVR) functions, with a multicenter grid to simulate strong-field and attosecond dynamics in atoms and molecules. The method incorporates the construction of the orthonormal
[...] Read more.
We present a time-dependent framework that combines a hybrid basis, consisting of Gaussian-type orbitals (GTOs) and finite-element discrete-variable representation (FEDVR) functions, with a multicenter grid to simulate strong-field and attosecond dynamics in atoms and molecules. The method incorporates the construction of the orthonormal hybrid basis, the evaluation of electronic integrals, a unitary time-propagation scheme, and the extraction of optical and photoelectron observables. Its accuracy and robustness are benchmarked on one-electron systems such as atomic hydrogen and the dihydrogen cation ( ) through comparisons with essentially-exact reference results for bound-state energies, high-harmonic generation spectra, photoionization cross sections, and photoelectron momentum distributions. This work establishes the groundwork for its integration with quantum-chemistry methods, which is already operational but will be detailed in future work, thereby enabling ab initio simulations of correlated polyatomic systems in intense ultrafast laser fields.
Full article
(This article belongs to the Special Issue Ab Initio Calculations in Atomic, Molecular, and Optical Physics: A Tribute to Barry Irwin Schneider)
►▼
Show Figures

Figure 1
Open AccessArticle
Computational and Spectroscopic Investigation of Diaminomethane Formation: The Simplest Geminal Diamine of Astrochemical Interest
by
Pravi Mishra, Parmanand Pandey, Rachana Singh, Manisha Yadav, Shivani, Aftab Ahamad, Alka Misra, Amritanshu Shukla and Poonam Tandon
Atoms 2025, 13(11), 91; https://doi.org/10.3390/atoms13110091 - 12 Nov 2025
Abstract
►▼
Show Figures
A high-level ab initio characterization and formation of diaminomethane (DAM), the simplest geminal diamine, is presented to support its spectroscopic detection and astrochemical relevance in the interstellar medium. The C2v DAM conformer is identified as the global minimum, while C1
[...] Read more.
A high-level ab initio characterization and formation of diaminomethane (DAM), the simplest geminal diamine, is presented to support its spectroscopic detection and astrochemical relevance in the interstellar medium. The C2v DAM conformer is identified as the global minimum, while C1 DAM and C2 DAM represent higher-energy local minima. The proposed reaction pathways are exothermic and proceed without activation barriers. Simulated infrared spectrum reproduces accurate key spectral signatures with several vibrational modes exhibiting strong IR intensities (>80 km mol−1), particularly in the 800–3000 cm−1 range and band shapes. Dipole moments and accurate rovibrational spectroscopic parameters, including rotational constants, anharmonic vibrational frequencies, quartic and sextic distortion constants, and nuclear quadrupole coupling constants are reported to assist with high-resolution spectroscopic identification. This study provides significant theoretical benchmarks for its formation and offers guidance for future laboratory spectroscopy and molecular searches in interstellar environments.
Full article

Figure 1
Open AccessArticle
Improving Quantitative Analysis of Lithium in Brines Using Laser-Induced Breakdown Spectroscopy with τ–Algorithm (τLIBS)
by
Juan Molina M., Carlos Aragón, José A. Aguilera, César Costa-Vera and Diego M. Díaz Pace
Atoms 2025, 13(11), 90; https://doi.org/10.3390/atoms13110090 - 12 Nov 2025
Abstract
►▼
Show Figures
In this work, a quantitative analysis of Li in natural brines was carried out by laser-induced breakdown spectroscopy (LIBS) assisted by the τ–algorithm for detailed analysis of the experimental line shapes (τLIBS). Brine samples were collected from different salars located in the Puna
[...] Read more.
In this work, a quantitative analysis of Li in natural brines was carried out by laser-induced breakdown spectroscopy (LIBS) assisted by the τ–algorithm for detailed analysis of the experimental line shapes (τLIBS). Brine samples were collected from different salars located in the Puna plateau (Northwest Argentina) and analyzed by LIBS in the form of solid pressed pellets. The emission intensities of Li I, Hα, and Mg I–II lines were measured and spatially integrated along the line of sight with temporal resolution by using a high-spectral-resolution spectrometer equipped with an intensified charge-coupled device (iCCD) detector. The plasma was characterized through the determination of the electron density and the temperature. The τ–algorithm calculated the optical thicknesses of the Li I lines to generate synthetic intensity profiles that were subsequently fitted to the experimental spectra. By applying the developed τLIBS approach, valuable spectroscopic insight was recovered about the physical processes occurring in the plasma, such as self-absorption. The analytical process involved an univariate external calibration process using the resonant Li I line at 6707.7 Å measured from a series of Li standard samples. Self-absorption effects were evaluated and subsequently compensated. The final LIBS results, with an enhanced accuracy of 15%, were validated by crosschecking them against those obtained with the standard AAS method.
Full article

Graphical abstract
Open AccessArticle
Combining Physics and Machine Learning: Hybrid Models for Predicting Interatomic Potentials
by
Kaoutar El Haloui, Nicolas Thome and Nicolas Sisourat
Atoms 2025, 13(11), 89; https://doi.org/10.3390/atoms13110089 - 10 Nov 2025
Abstract
Constructing accurate Potential Energy Surfaces (PES) is a central task in molecular modeling, as it determines the forces governing nuclear motion and enables reliable quantum dynamics simulations. While ab initio methods can provide accurate PES, they are computationally prohibitive for extensive applications. Alternatively,
[...] Read more.
Constructing accurate Potential Energy Surfaces (PES) is a central task in molecular modeling, as it determines the forces governing nuclear motion and enables reliable quantum dynamics simulations. While ab initio methods can provide accurate PES, they are computationally prohibitive for extensive applications. Alternatively, analytical physics-based models such as the Morse potential offer efficient solutions but are limited by their rigidity and poor generalization to excited states. In recent years, neural networks have emerged as powerful tools for determining PES, due to their universal function approximation capabilities, but they require large training datasets. In this work, we investigate hybrid-residual modeling approaches that combine physics-based potentials with neural network corrections, aiming to leverage both physical priors and data adaptability. Specifically, we compare three hybrid models—APHYNITY, Sequential Phy-ML, and PhysiNet—in their ability to reconstruct the potential energy curve of the ground and first excited states of the hydrogen molecule. Each model integrates a simplified physical representation with a neural component that learns the discrepancies from accurate reference data. Our findings reveal that hybrid models significantly outperform both standalone neural networks and pure physics-based models, especially in low-data regimes. Notably, APHYNITY and Sequential Phy-ML exhibit better generalization and maintain accurate estimation of physical parameters, underscoring the benefits of explicit physics incorporation.
Full article
(This article belongs to the Special Issue Artificial Intelligence for Quantum Sciences)
►▼
Show Figures

Figure 1
Open AccessArticle
Single Ionization with Dressed Projectiles: An Improved Theory for Both Long- and Short-Range Interactions
by
Nicolás J. Esponda, Michele A. Quinto, Roberto D. Rivarola and Juan M. Monti
Atoms 2025, 13(11), 88; https://doi.org/10.3390/atoms13110088 - 9 Nov 2025
Abstract
In this work, we present a theoretical model to investigate electron emission in collisions between dressed ions with He atoms and H2 molecules. The projectile potential is described as the sum of a long- and short-range terms. The last term includes a
[...] Read more.
In this work, we present a theoretical model to investigate electron emission in collisions between dressed ions with He atoms and H2 molecules. The projectile potential is described as the sum of a long- and short-range terms. The last term includes a screening function that has its maximum at short distances. The present model is based on the Continuum Distorted Wave Eikonal Initial State (CDW-EIS) theory, but the Eikonal approximation is only made within the long-range transition amplitude. This now leads to physically correct predictions, whenever dressed projectiles are involved, in the binary-encounter peak. Indeed, double-differential cross-sections spectra is calculated and compared with existing experimental data, finding that this model is capable of reproducing some well-known phenomena depending on the projectile charge state. Namely, the dependence of the binary-encounter peak magnitude with the projectile charge state.
Full article
(This article belongs to the Section Atomic, Molecular and Nuclear Spectroscopy and Collisions)
►▼
Show Figures

Figure 1
Open AccessArticle
First and Second Law of Thermodynamics Constraints in the Lifshitz Theory of Dispersion Forces
by
Fabrizio Pinto
Atoms 2025, 13(11), 87; https://doi.org/10.3390/atoms13110087 - 5 Nov 2025
Abstract
►▼
Show Figures
The presence of dominant interatomic dispersion forces on the nanoscale holds the promise for breakthrough applications in key areas of quantum sensing, such as accelerometry, as well as nano-manipulation and energy storage. In order to do work, nano-machines enabled by dispersion forces must
[...] Read more.
The presence of dominant interatomic dispersion forces on the nanoscale holds the promise for breakthrough applications in key areas of quantum sensing, such as accelerometry, as well as nano-manipulation and energy storage. In order to do work, nano-machines enabled by dispersion forces must exchange energy with the surrounding environment. Such processes can be described in terms of thermodynamical engine cycles involving individual atoms or material boundaries, separated by possibly empty gaps and interacting via time-dependent dispersion forces. The fundamental strategy indispensable to achieve dispersion force time-modulation, demonstrated experimentally by independent groups on different scales, is based on the illumination of interacting, semiconducting elements by appropriate radiation beams. Here we analyze the operation of ideal nano-engines in the quasi-static regime by means of the Lifshitz theory of dispersion forces involving semiconducting boundary or atom irradiation. Firstly, we verify that the First Law of Thermodynamics is satisfied so that the total energy of the system is rigorously conserved. Secondly, we show that, within this first approximate treatment, the Second Law of Thermodynamics may be violated for extremely small interboundary gap widths. We identify important limitations to be addressed to determine whether this is a reliable conclusion. The technological and historic backdrops are presented, and important topics for future research are identified.
Full article

Figure 1
Open AccessArticle
The Arrow of Time in Quantum Theory
by
Jean-Patrick Connerade
Atoms 2025, 13(11), 86; https://doi.org/10.3390/atoms13110086 - 26 Oct 2025
Abstract
In Classical Mechanics, time is reversible, i.e., it implies no particular choice: only the observer knows in which direction it flows. The present article re-examines whether this remains true in Quantum Mechanics. In the context of Atomic Physics, it is concluded that the
[...] Read more.
In Classical Mechanics, time is reversible, i.e., it implies no particular choice: only the observer knows in which direction it flows. The present article re-examines whether this remains true in Quantum Mechanics. In the context of Atomic Physics, it is concluded that the existence of an arrow of time depends on the manner in which the radiation field is introduced, which must be non-perturbative.
Full article
Open AccessArticle
The Opacity Project: R-Matrix Calculations for Opacities of High-Energy-Density Astrophysical and Laboratory Plasmas
by
Anil K. Pradhan and Sultana N. Nahar
Atoms 2025, 13(10), 85; https://doi.org/10.3390/atoms13100085 - 20 Oct 2025
Cited by 1
Abstract
Accurate determination of opacity is critical for understanding radiation transport in both astrophysical and laboratory plasmas. We employ atomic data from R-Matrix calculations to investigate radiative properties in high-energy-density (HED) plasma sources, focusing on opacity variations under extreme plasma conditions. Specifically, we analyze
[...] Read more.
Accurate determination of opacity is critical for understanding radiation transport in both astrophysical and laboratory plasmas. We employ atomic data from R-Matrix calculations to investigate radiative properties in high-energy-density (HED) plasma sources, focusing on opacity variations under extreme plasma conditions. Specifically, we analyze environments such as the base of the convective zone (BCZ) of the Sun ( K, /cc), and radiative opacity data collected using the inertial confinement fusion (ICF) devices at the Sandia Z facility ( K, /cc) and the Lawrence Livermore National Laboratory National Ignition Facility. We calculate Rosseland Mean Opacities (RMO) within a range of temperatures and densities and analyze how they vary under different plasma conditions. A significant factor influencing opacity in these environments is line and resonance broadening due to plasma effects. Both radiative and collisional broadening modify line shapes, impacting the absorption and emission profiles that determine the RMO. In this study, we specifically focus on electron collisional and Stark ion microfield broadening effects, which play a dominant role in HED plasmas. We assume a Lorentzian profile factor to model combined broadening and investigate its impact on spectral line shapes, resonance behavior, and overall opacity values. Our results are relevant to astrophysical models, particularly in the context of the solar opacity problem, and provide insights into discrepancies between theoretical calculations and experimental measurements. In addition, we investigate the equation-of-state (EOS) and its impact on opacities. In particular, we examine the “chemical picture” Mihalas–Hummer–Däppen EOS with respect to level populations of excited levels included in the extensive R-matrix calculations. This study should contribute to improving opacity models of HED sources such as stellar interiors and laboratory plasma experiments.
Full article
(This article belongs to the Special Issue Electronic, Photonic and Ionic Interactions with Atoms and Molecules)
►▼
Show Figures

Figure 1
Open AccessArticle
Single Electron Capture by Dressed Projectiles Within the Distorted Wave Formalism
by
Michele Arcangelo Quinto, Juan Manuel Monti and Roberto Daniel Rivarola
Atoms 2025, 13(10), 84; https://doi.org/10.3390/atoms13100084 - 3 Oct 2025
Abstract
Single electron capture in collisions involving neutral hydrogen atoms impacted by highly charged dressed projectiles is theoretically investigated using the distorted wave formalism. A series of continuum distorted wave approximations is employed to investigate the electron capture from neutral hydrogen atom impact by
[...] Read more.
Single electron capture in collisions involving neutral hydrogen atoms impacted by highly charged dressed projectiles is theoretically investigated using the distorted wave formalism. A series of continuum distorted wave approximations is employed to investigate the electron capture from neutral hydrogen atom impact by boron and carbon projectiles. The projectile potential is described using a two-parameter analytical Green–Sellin–Zachor (GSZ) model potential. The theoretical prediction of total cross sections are compared against other theories and experiments. We looked at a very broad range of collision energies, from 10 keV/u up to 10 MeV/u. In addition, the state-selective cross sections for boron ions are presented.
Full article
(This article belongs to the Section Atomic, Molecular and Nuclear Spectroscopy and Collisions)
►▼
Show Figures

Figure 1
Open AccessEditor’s ChoiceArticle
Proton Interactions with Biological Targets: Inelastic Cross Sections, Stopping Power, and Range Calculations
by
Camila Strubbia Mangiarelli, Verónica B. Tessaro, Michaël Beuve and Mariel E. Galassi
Atoms 2025, 13(10), 83; https://doi.org/10.3390/atoms13100083 - 24 Sep 2025
Abstract
Proton therapy enables precise dose delivery to tumors while sparing healthy tissues, offering significant advantages over conventional radiotherapy. Accurate prediction of biological doses requires detailed knowledge of radiation interactions with biological targets, especially DNA, a key site of radiation-induced damage. While most biophysical
[...] Read more.
Proton therapy enables precise dose delivery to tumors while sparing healthy tissues, offering significant advantages over conventional radiotherapy. Accurate prediction of biological doses requires detailed knowledge of radiation interactions with biological targets, especially DNA, a key site of radiation-induced damage. While most biophysical models (LEM, mMKM, NanOx) rely on water as a surrogate, this simplification neglects the complexity of real biomolecules. In this work, we calculate the stopping power and range of protons in liquid water, dry DNA, and hydrated DNA using semi-empirical cross sections for ionization, electronic excitation, electron capture, and electron loss by protons and neutral hydrogen in the 10 keV–100 MeV energy range. Additionally, ionization cross sections for uracil are computed to explore potential differences between DNA and RNA damage. Our results show excellent agreement with experimental and ab initio data, highlighting significant deviations in stopping power and range between water and DNA. Notably, the stopping power of DNA exceeds that of water at most energies, reducing proton ranges in dry and hydrated DNA by up to 20% and 26%, respectively. These findings provide improved input for Monte Carlo simulations and biophysical models, enhancing RBE predictions and dose accuracy in hadrontherapy.
Full article
(This article belongs to the Section Atomic, Molecular and Nuclear Spectroscopy and Collisions)
►▼
Show Figures

Figure 1
Open AccessEditor’s ChoiceArticle
Integral Cross Sections and Transport Properties for Electron–Radon Scattering over a Wide Energy Range (0–1000 eV) and a Reduced Electric Field Range (0.01–1000 Td)
by
Gregory J. Boyle, Dale L. Muccignat, Joshua R. Machacek and Robert P. McEachran
Atoms 2025, 13(10), 82; https://doi.org/10.3390/atoms13100082 - 23 Sep 2025
Abstract
►▼
Show Figures
We report calculations for electron–radon scattering using a complex relativistic optical potential method. The energy range of this study is 0–1000 eV, with results for the elastic (total, momentum-transfer and viscosity-transfer) cross section, summed discrete electronic-state integral excitation cross sections and electron-impact ionization
[...] Read more.
We report calculations for electron–radon scattering using a complex relativistic optical potential method. The energy range of this study is 0–1000 eV, with results for the elastic (total, momentum-transfer and viscosity-transfer) cross section, summed discrete electronic-state integral excitation cross sections and electron-impact ionization cross sections presented. Here, we obtain our cross sections from a single theoretical relativistic calculation. Since radon is a heavy element, a relativistic treatment is very desirable. The electron transport coefficients are subsequently calculated for reduced electric fields ranging from 0.01 to 1000 Td, using a multi-term solution of Boltzmann’s equation.
Full article

Figure 1
Open AccessEditor’s ChoiceArticle
Short–Range Hard–Sphere Potential and Coulomb Interaction: Deser–Trueman Formula for Rydberg States of Exotic Atomic Systems
by
Gregory S. Adkins and Ulrich D. Jentschura
Atoms 2025, 13(9), 81; https://doi.org/10.3390/atoms13090081 - 11 Sep 2025
Cited by 2
Abstract
In exotic atomic systems with hadronic constituent particles, it is notoriously difficult to estimate the strong-interaction correction to energy levels. It is well known that, due to the strength of the nuclear interaction, the problem cannot be solved using Wigner–Brillouin perturbation theory alone.
[...] Read more.
In exotic atomic systems with hadronic constituent particles, it is notoriously difficult to estimate the strong-interaction correction to energy levels. It is well known that, due to the strength of the nuclear interaction, the problem cannot be solved using Wigner–Brillouin perturbation theory alone. Recently, high-angular-momentum Rydberg states of exotic atomic systems with hadronic constituents have been identified as promising candidates in the search for new physics in the low-energy sector of the Standard Model. We thus derive a generalized Deser–Trueman formula for the induced energy shift for a general hydrogenic bound state with principal quantum number n and orbital angular momentum quantum number ℓ, and we find that the energy shift is given by the formula , where , , , is the Hartree energy, is the hadronic radius and is the generalized Bohr radius. The square of the double factorial, , in the denominator implies a drastic suppression of the effect for higher angular momenta.
Full article
(This article belongs to the Section Nuclear Theory and Experiments)
►▼
Show Figures

Figure 1
Journal Menu
► ▼ Journal Menu-
- Atoms Home
- Aims & Scope
- Editorial Board
- Reviewer Board
- Topical Advisory Panel
- Instructions for Authors
- Special Issues
- Topics
- Sections
- Article Processing Charge
- Indexing & Archiving
- Editor’s Choice Articles
- Most Cited & Viewed
- Journal Statistics
- Journal History
- Journal Awards
- Conferences
- Editorial Office
Journal Browser
► ▼ Journal BrowserHighly Accessed Articles
Latest Books
E-Mail Alert
News
Topics
Topic in
Atoms, Crystals, Molecules, Organics, Symmetry, Inorganics
Advances in Molecular Symmetry and Chirality Research
Topic Editors: Ralph N. Salvatore, Guzman Gil-RamirezDeadline: 31 March 2026
Conferences
Special Issues
Special Issue in
Atoms
Interactions of Positrons with Matter and Radiation: Second Edition
Guest Editor: Anand BhatiaDeadline: 31 December 2025
Special Issue in
Atoms
Atomic Processes and Their Role in Astrophysical Phenomena
Guest Editor: Thomas GomezDeadline: 31 January 2026
Special Issue in
Atoms
Quantum Technologies with Ultracold Atoms
Guest Editors: Klejdja Xhani, Chiara Mazzinghi, Giulia Del PaceDeadline: 31 January 2026
Special Issue in
Atoms
X-Ray Spectroscopy in Astrophysics
Guest Editor: Ruitian ZhangDeadline: 28 February 2026




