-
Progress in Gliotoxin Research -
Fluorimetric Determination of Eosin Y in Water Samples and Drinks Using Deep Eutectic Solvent-Based Liquid-Phase Microextraction -
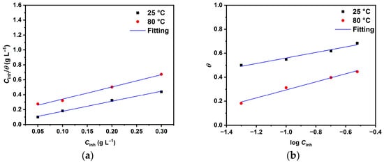
Synthesis, Structures and Corrosion Inhibition Properties of 4-Nitrophenylacetato-Rare-Earth(III) 1D Coordination Polymers -
Catechins and Human Health: Breakthroughs from Clinical Trials
Journal Description
Molecules
- Open Access— free for readers, with article processing charges (APC) paid by authors or their institutions.
- High Visibility: indexed within Scopus, SCIE (Web of Science), PubMed, MEDLINE, PMC, Reaxys, CaPlus / SciFinder, MarinLit, AGRIS, and other databases.
- Journal Rank: JCR - Q2 (Biochemistry and Molecular Biology) / CiteScore - Q1 (Organic Chemistry)
- Rapid Publication: manuscripts are peer-reviewed and a first decision is provided to authors approximately 16.1 days after submission; acceptance to publication is undertaken in 2.6 days (median values for papers published in this journal in the first half of 2025).
- Recognition of Reviewers: reviewers who provide timely, thorough peer-review reports receive vouchers entitling them to a discount on the APC of their next publication in any MDPI journal, in appreciation of the work done.
- Sections: published in 25 topical sections.
- Testimonials: See what our editors and authors say about Molecules.
- Companion journal: Foundations.
- Journal Cluster of Chemical Reactions and Catalysis: Catalysts, Chemistry, Electrochem, Inorganics, Molecules, Organics, Oxygen, Photochem, Reactions, Sustainable Chemistry.
Latest Articles
E-Mail Alert
News
Topics
Deadline: 20 November 2025
Deadline: 30 November 2025
Deadline: 31 December 2025
Deadline: 28 February 2026
Conferences
Special Issues
Deadline: 30 November 2025
Deadline: 30 November 2025
Deadline: 30 November 2025
Deadline: 30 November 2025























