Journal Description
Oxygen
Oxygen
is an international, peer-reviewed, open access journal on the whole field of oxygen research published quarterly online by MDPI.
- Open Access free for readers, with article processing charges (APC) paid by authors or their institutions.
- High Visibility: indexed within ESCI (Web of Science), Scopus and other databases.
- Journal Rank: CiteScore - Q1 (Agricultural and Biological Sciences (miscellaneous))
- Rapid Publication: manuscripts are peer-reviewed and a first decision is provided to authors approximately 24 days after submission; acceptance to publication is undertaken in 3.6 days (median values for papers published in this journal in the first half of 2025).
- Recognition of Reviewers: APC discount vouchers, optional signed peer review, and reviewer names published annually in the journal.
- Oxygen is a companion journal of Antioxidants.
- Journal Cluster of Chemical Reactions and Catalysis: Catalysts, Chemistry, Electrochem, Inorganics, Molecules, Organics, Oxygen, Photochem, Reactions, Sustainable Chemistry.
Latest Articles
Structural Effects on the Reaction of Singlet Oxygen with Tertiary Amines in Aqueous Solution
Oxygen 2025, 5(4), 22; https://doi.org/10.3390/oxygen5040022 - 22 Oct 2025
Abstract
►
Show Figures
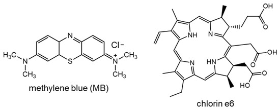
Photosensitized excitation of molecular oxygen generates singlet oxygen, a reactive oxygen species that has been studied in biological systems, synthetic methods and in aquatic ecosystems. The reaction of singlet oxygen with tertiary amines is important because they are widely used as electron donors
[...] Read more.
Photosensitized excitation of molecular oxygen generates singlet oxygen, a reactive oxygen species that has been studied in biological systems, synthetic methods and in aquatic ecosystems. The reaction of singlet oxygen with tertiary amines is important because they are widely used as electron donors in photochemical reactions. Herein we studied the reaction of singlet oxygen with multiple tertiary amines including ethylenediamine tetraacetic acid (EDTA), triethanolamine (TEOA) and triethylamine (TEA). Singlet oxygen was generated using the photosensitizers methylene blue or chlorin e6 and red light with output at 660 nm. TEOA and TEA generated more hydrogen peroxide (H2O2), the stable end product, than EDTA at all pH values tested and regardless of the photosensitizer used. Both histidine and imidazole scavenged singlet oxygen and decreased H2O2 yield. The extent of histidine scavenging was pH-dependent for the combination of methylene blue and EDTA but not for TEOA or TEA. The combination of chlorin e6 and EDTA generated less H2O2 because both contain multiple negative charges that limit their interaction. Multiple tertiary amines that are used as biochemical buffers produced similar quantities of H2O2 as EDTA, TEOA and TEA. However, these sulfonic acid-containing tertiary amines did not function as electron donors in a benzoquinone photoreduction assay.
Full article
Open AccessArticle
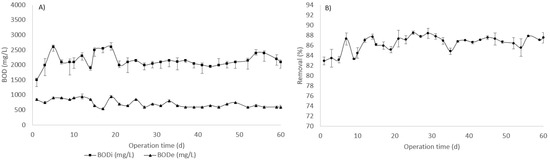
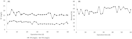
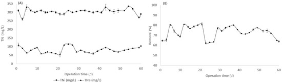
Monitoring of Nutrient Removal in Swine Effluents Using Sequential Reactors with Oxygen Control
by
Sedolfo Carrasquero-Ferrer, Gabriel Vaca-Suárez, Grace Viteri-Guzmán and Gilberto Colina-Andrade
Oxygen 2025, 5(4), 21; https://doi.org/10.3390/oxygen5040021 - 16 Oct 2025
Abstract
►▼
Show Figures
Swine effluents require effective treatment due to their high pollutant load, particularly nitrogen and phosphorus, which can cause eutrophication of water bodies. This study focused on monitoring nutrient removal in a sequential biological reactor through online measurements of parameters such as dissolved oxygen
[...] Read more.
Swine effluents require effective treatment due to their high pollutant load, particularly nitrogen and phosphorus, which can cause eutrophication of water bodies. This study focused on monitoring nutrient removal in a sequential biological reactor through online measurements of parameters such as dissolved oxygen (DO), pH, oxidation-reduction potential (ORP), and total alkalinity during the treatment of effluents from a pig slaughterhouse. A laboratory-scale reactor was used, operated with timer switches in an anaerobic–aerobic–anoxic sequence, a sludge retention time (SRT) of 25 days, and an operational cycle time of 16 h. The reactor demonstrated notable efficiency in contaminant removal, with an average organic matter removal of 87.1% measured as chemical oxygen demand (COD) and 95.5% as biochemical oxygen demand (BOD). Regarding nitrogen and phosphorus removal, a 69.4% reduction in total nitrogen (TN) and a 53.2% reduction in total phosphorus (TP) were observed. The pH, ORP, and DO profiles showed a clear correlation with the nutrient removal processes, allowing optimization of the phase durations in the reactor to enhance treatment efficiency.
Full article

Figure 1
Open AccessArticle
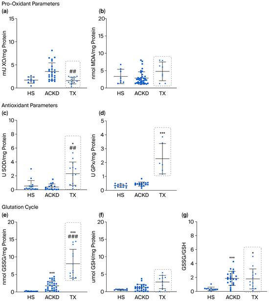
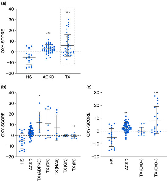
Oxidative Stress Score as an Indicator of Pathophysiological Mechanisms Underlying Cardiovascular Disease in Kidney Transplant Recipients
by
Valera-Arévalo Gemma, Paula Jara Caro, María del Mar Rodríguez-San Pedro, Claudia Yuste, María Gabriela Ortiz-Diaz, Rafael Ramírez, Matilde Alique, Natalia Guerra-Pérez, Julia Carracedo and Enrique Morales
Oxygen 2025, 5(4), 20; https://doi.org/10.3390/oxygen5040020 - 16 Oct 2025
Abstract
Chronic kidney disease is closely associated with an increased risk of cardiovascular disease. Although kidney transplantation represents the treatment of choice for patients with end-stage chronic kidney disease, it is also linked to significant cardiovascular risk. This study aimed to evaluate the relationship
[...] Read more.
Chronic kidney disease is closely associated with an increased risk of cardiovascular disease. Although kidney transplantation represents the treatment of choice for patients with end-stage chronic kidney disease, it is also linked to significant cardiovascular risk. This study aimed to evaluate the relationship between cardiovascular pathology and oxidative status in kidney transplant recipients, while also assessing the influence of disease etiology and humoral immune response on oxidative imbalance. A cross-sectional analysis was conducted in individuals with advanced chronic kidney disease (n = 36) and kidney transplant recipients (n = 40). A total of 18 healthy subjects were included. The enzymatic activities of xanthine oxidase, superoxide dismutase, and glutathione peroxidase, and levels of lipid peroxidation products, oxidized glutathione, and reduced glutathione were measured using spectrophotometry in plasma and mononuclear and polymorphonuclear leukocytes isolated using Ficoll density gradients. Individual oxidative status was evaluated using OXYSCORE. Kidney transplantation was associated with a higher incidence of cardiovascular disease (p < 0.01) and increased levels of both prooxidant (p < 0.01) and antioxidant parameters (p < 0.01). Elevated OXYSCORE values were observed particularly in patients with nephroangiosclerosis, diabetic kidney disease, polycystic kidney disease (p < 0.05), and cardiovascular comorbidities (p < 0.001). Additionally, the presence of anti-graft antibodies correlated with higher oxidative scores. These findings suggest that OXYSCORE may serve as a potential indicator of cardiovascular damage in kidney transplant recipients.
Full article
(This article belongs to the Topic Oxidative Stress and Inflammation, 3rd Edition)
►▼
Show Figures

Figure 1
Open AccessArticle
Ginger-Derived Compounds Alleviate Oxidative Stress and Genotoxicity in Trypanosoma evansi Infection: An Integrated In Vivo and In Silico Study
by
Waqas Ahmad, Muhammad Yasin Tipu, Muti ur Rehman Khan, Haroon Akbar, Aftab Ahmad Anjum and Muhammad Ovais Omer
Oxygen 2025, 5(3), 19; https://doi.org/10.3390/oxygen5030019 - 1 Sep 2025
Cited by 1
Abstract
►▼
Show Figures
Background/Objectives: Trypanosoma evansi (T. evansi) is an etiological agent of surra, and it causes significant economic losses in livestock. Rising trypanocide resistance demands alternatives that control parasitemia while mitigating oxidative and genotoxic damage. Therefore, the present study was designed to explore
[...] Read more.
Background/Objectives: Trypanosoma evansi (T. evansi) is an etiological agent of surra, and it causes significant economic losses in livestock. Rising trypanocide resistance demands alternatives that control parasitemia while mitigating oxidative and genotoxic damage. Therefore, the present study was designed to explore both the in vivo and in silico potential of Zingiber officinale (Z. officinale) as a novel phytotherapy to counter growing resistance against conventional trypanocides. Methods: Methanolic extract of Z. officinale (MZ) was orally administered at dosages of 200 mg/kg (MZ 200), 400 mg/kg (MZ 400), and 800 mg/kg (MZ 800) on a daily basis to the experimentally infected mice and compared against treated control (TC) and untreated control (UC) groups. After the infection, different parameters such as parasitemia counts, body weight changes, and the survival of infected mice were monitored for up to 7 days post-infection, while hematobiochemical parameters, oxidative stress profiles (catalase, malondialdehyde, and superoxide dismutase), and genotoxicity in brain tissues were compared at the end of the trial. Moreover, computational tools were used to predict the affinities of key bioactive compounds with twenty-one essential proteins of T. evansi. Results: The findings showed that the administration of MZ significantly (p < 0.05) reduced parasitemia and improved the survival rates in the experimentally infected mice in a dose-dependent manner. Noteworthy, significant (p < 0.05) improvements in hematological parameters and liver enzyme profiles were also recorded in MZ-treated groups. Compared to the untreated control, MZ-treated groups showed a significant amelioration in oxidative stress and genotoxicity in brain tissue in a dose-dependent fashion. The current study’s findings suggest that MZ potentially inhibits various essential proteins of T. evansi, including adenosine transporter-1, casein kinase, leucyl-tRNA synthetase, and multidrug resistance E protein. Among its constituents, 6-Isoshogaol and 6-Gingerol showed the most stable interactions in the molecular dynamics simulation. Conclusions: MZ efficiently reduced parasitemia, oxidative stress, and genotoxicity, and increased the survival rate in infected mice, suggesting it as a promising natural trypanicidal agent.
Full article

Graphical abstract
Open AccessArticle
Hydrogenation of Aromatic Ethers and Lactones: Does the Oxygen Functionality Really Improve the Thermodynamics of Reversible Hydrogen Storage in the Related LOHC Systems?
by
Riko Siewert, Artemiy A. Samarov, Sergey V. Vostrikov, Karsten Müller, Peter Wasserscheid and Sergey P. Verevkin
Oxygen 2025, 5(3), 18; https://doi.org/10.3390/oxygen5030018 - 30 Aug 2025
Abstract
►▼
Show Figures
Compounds known as liquid organic hydrogen carriers (LOHCs) offer a promising pathway for storing hydrogen. Beyond the use of pure hydrocarbons, the incorporation of oxygen atoms offers a way to modify thermodynamic properties and potentially improve suitability for hydrogen storage. This study explores
[...] Read more.
Compounds known as liquid organic hydrogen carriers (LOHCs) offer a promising pathway for storing hydrogen. Beyond the use of pure hydrocarbons, the incorporation of oxygen atoms offers a way to modify thermodynamic properties and potentially improve suitability for hydrogen storage. This study explores the effect of oxygen functionalization in aromatic ethers and lactones on the reaction equilibrium of reversible hydrogenation. To address this question, reaction enthalpies and entropies are calculated using both experimental and theoretically determined pure substance data. The equilibrium position shift in the hydrogenation of furan derivatives has been shown to follow a similar trend to that of their hydrocarbon counterparts upon the addition of aromatic rings. This shift is, however, more pronounced in the case of the furan-based systems. The effect is reflected in increasing Gibbs reaction energies during the dehydrogenation process. Both the formation of lactones and the addition of a second ring to the furan core leads to a further increase in the Gibbs reaction energy. The highest value is observed for dibenzofuran, with a Gibbs reaction energy of 36.6 kJ∙mol−1 at 500 K. These findings indicate that, from a thermodynamic perspective, hydrogen release is feasible at temperatures below 500 K, which is an important feature for the potential application as a hydrogen storage system.
Full article

Figure 1
Open AccessArticle
Assessment of the Antioxidant Activity of Lyophilized Cistus creticus Extract as a Functional Fortifier in Yogurt: A Cellular and Non-Cellular Evaluation
by
Panoraia Bousdouni, Eleni Dalaka, Aikaterini Kandyliari, Vasileios Gkalpinos, Nikolaos Parisis, Andreas G. Tzakos, Georgios Theodorou, Maria Kapsokefalou and Antonios E. Koutelidakis
Oxygen 2025, 5(3), 17; https://doi.org/10.3390/oxygen5030017 - 28 Aug 2025
Abstract
►▼
Show Figures
Experimental evidence indicates that aqueous extracts of the Cistus genus have significant antioxidant properties, suggesting their potential as food fortifiers. In the present study, the antioxidant capacity and total phenolic content of lyophilized Cistus creticus extract were examined before and after in vitro
[...] Read more.
Experimental evidence indicates that aqueous extracts of the Cistus genus have significant antioxidant properties, suggesting their potential as food fortifiers. In the present study, the antioxidant capacity and total phenolic content of lyophilized Cistus creticus extract were examined before and after in vitro digestion. Three concentrations of Cistus creticus extract were evaluated before and after in vitro gastrointestinal digestion, along with yogurt products fortified with these extracts, examined after digestion. Biochemical and cellular analyses were performed to assess these properties. The results showed statistically significant differences in total antioxidant capacity and total phenolic content, with values increasing from the lowest to the highest concentration studied, for both the lyophilized extracts and fortified yogurts after digestion. Additionally, cellular antioxidant activity after digestion was concentration-dependent (p < 0.05) within the range 25–500 mg/mL for both the extracts and fortified yogurts. In conclusion, based on the high phenolic content and the increased antioxidant capacity observed in epithelial cells, 250 mg of extract per 200 g of yogurt was proposed as the optimal fortification dose.
Full article

Figure 1
Open AccessReview
Current State of Knowledge on Amiodarone (AMD)-Induced Reactive Oxygen Species (ROS) Production in In Vitro and In Vivo Models
by
Konrad A. Szychowski
Oxygen 2025, 5(3), 16; https://doi.org/10.3390/oxygen5030016 - 26 Aug 2025
Cited by 1
Abstract
Amiodarone (AMD) is an effective antiarrhythmic drug whose long-term use is limited by multi-organ toxicities linked to oxidative stress. This review synthesizes current evidence on how AMD induces reactive oxygen species (ROS) generation in vitro and in vivo, and the mechanistic pathways involved.
[...] Read more.
Amiodarone (AMD) is an effective antiarrhythmic drug whose long-term use is limited by multi-organ toxicities linked to oxidative stress. This review synthesizes current evidence on how AMD induces reactive oxygen species (ROS) generation in vitro and in vivo, and the mechanistic pathways involved. AMD promotes ROS production through both direct and indirect mechanisms. Directly, AMD accumulates in mitochondria and impairs the electron transport chain, leading to electron leakage and superoxide formation. It also undergoes redox cycling, forming radical intermediates that trigger lipid peroxidation and deplete cellular antioxidants. AMD and its metabolites inhibit antioxidant enzymes (SOD, CAT, GPx) expression and/or activities and reduce glutathione level, compounding oxidative injury. Indirectly, AMD activates signaling pathways that exacerbate ROS generation. This compound can induce pro-inflammatory mediators such as TNF-α and modulate nuclear receptors such as AhR, PXR, CAR, and PPARs, altering the expression of metabolic enzymes and endogenous antioxidants. These processes are time- and dose-dependent: short exposures at low concentrations may transiently scavenge radicals, whereas chronic or higher-dose exposures consistently lead to net ROS accumulation. The oxidative effects of AMD vary by tissue and experimental models. In chronic models, organs such as the lung and liver show pronounced ROS-mediated injury, whereas acute or cell-based systems typically exhibit subtler changes. AMD-induced toxicity arises from multifactorial oxidative stress involving mitochondrial dysfunction, increased radical formation, depletion of antioxidant defenses, and activation of pro-oxidant signaling pathways. Recognizing these pathways suggests that antioxidant and mitochondria-targeted co-therapies could ameliorate the side effects of AMD.
Full article
(This article belongs to the Special Issue Feature Papers in Oxygen Volume III)
►▼
Show Figures

Figure 1
Open AccessArticle
Sulforaphane Prevents Cadmium Chloride-Induced Reproductive Toxicity in Caenorhabditis elegans
by
Estefani Yaquelin Hernández-Cruz, Elí Juárez-Peredo, Karla Alejandra Avendaño-Briseño, Jorge Escutia-Martínez, Karla Jaqueline Ramírez-Magaña, Tania Gómez-Sierra and José Pedraza-Chaverri
Oxygen 2025, 5(3), 15; https://doi.org/10.3390/oxygen5030015 - 31 Jul 2025
Abstract
►▼
Show Figures
Cadmium (Cd) is a highly toxic heavy metal that disrupts development and reproduction, primarily through oxidative stress. In this context, sulforaphane (SFN), an antioxidant compound, may serve as a promising agent to counteract Cd-induced oxidative damage and prevent developmental and reproductive abnormalities. This
[...] Read more.
Cadmium (Cd) is a highly toxic heavy metal that disrupts development and reproduction, primarily through oxidative stress. In this context, sulforaphane (SFN), an antioxidant compound, may serve as a promising agent to counteract Cd-induced oxidative damage and prevent developmental and reproductive abnormalities. This study aimed to evaluate the effect of SFN on reproductive toxicity induced by cadmium chloride (CdCl2) in the nematode Caenorhabditis elegans (C. elegans). Five experimental groups were established: (I) Control: no treatment, (II) dimethyl sulfoxide (DMSO): 48 h with 0.01% DMSO, (III) CdCl2: 24 h with 4600 µM CdCl2, (IV) SFN + CdCl2: 24 h with 100 µM SFN followed by 24 h with both SFN and CdCl2, and (V) SFN: 48 h with 100 µM SFN. Co-exposure to SFN and CdCl2 prevented the reduction in the percentage of adult nematodes and increased egg-laying. It also significantly improved hatching rates, allowing more embryos to reach the larval stage, and prevented reductions in body size. However, no effects were observed on glutathione S-transferase-4 (GST-4) levels in the transgenic CL2166 strain. In conclusion, SFN substantially prevents Cd-induced reproductive toxicity in C. elegans. Future studies should investigate the molecular mechanisms by which SFN enhances egg-laying and offspring viability in this model.
Full article

Figure 1
Open AccessArticle
Electron Spin Resonance Spectroscopy Suitability for Investigating the Oxidative Stability of Non-Alcoholic Beers
by
Maria Cristina Porcu and Daniele Sanna
Oxygen 2025, 5(3), 14; https://doi.org/10.3390/oxygen5030014 - 16 Jul 2025
Abstract
►▼
Show Figures
Seven lager beers and seven non-alcoholic counterparts, marketed by the same producers, were analyzed for their total phenolic content (TPC), radical scavenging activity (RSA) towards the DPPH radical and ThioBarbituric Index (TBI). All beers were also subjected to spin trapping experiments at 60
[...] Read more.
Seven lager beers and seven non-alcoholic counterparts, marketed by the same producers, were analyzed for their total phenolic content (TPC), radical scavenging activity (RSA) towards the DPPH radical and ThioBarbituric Index (TBI). All beers were also subjected to spin trapping experiments at 60 °C in the presence of PBN. To our knowledge, this is the first time that non-alcoholic beers (NABs) have been subjected to spin trapping experiments coupled with Electron Spin Resonance (ESR) spectroscopy. The evolution of the intensity of the PBN radical adducts during the first 150 min was represented graphically and the intensity at 150 min (I150) and the area under the curve (AUC), were measured. The I150 and the AUC of lagers and NABs are significantly different, whereas the TPC, the EC50 of the DPPH assay, and the TBI of the two groups are superimposed. A relationship, previously proposed by us, to correlate ESR spectroscopy parameters with others obtained from UV-Vis spectrophotometry, was also applied, demonstrating its practicability. Multivariate analysis shows that clustering in two separate groups occurs only if I150 and AUC are included in the model. Based on these results, ESR spectroscopy can be applied to study the oxidative stability of NABs.
Full article

Figure 1
Open AccessArticle
Degree of Hypoxia and Physiological Differences Between Fast and Slow Ascents to Very High Altitude
by
Clive Kelly, Shireen Saxena and Kieran Kelly
Oxygen 2025, 5(3), 13; https://doi.org/10.3390/oxygen5030013 - 8 Jul 2025
Abstract
Introduction: Rapid ascent to altitudes of over 5000 m above sea level are associated with dramatic changes in adaptive physiology. The effects of a gradual ascent on symptoms, oximetry, and heart rate are described and compared with the effects of a rapid
[...] Read more.
Introduction: Rapid ascent to altitudes of over 5000 m above sea level are associated with dramatic changes in adaptive physiology. The effects of a gradual ascent on symptoms, oximetry, and heart rate are described and compared with the effects of a rapid ascent to the same altitude by a comparable cohort. Methods: A group of 13 individuals (six females) representing 10 countries from five continents ascended gradually from Lukla (2300 m) to Everest Base Camp (5300 m) in Nepal over an 8-day period, then descended over a further 4 days. All symptoms and medication were recorded, along with pulse oximetry (SpO2) and heart rate (HR) every 500 m of ascent. The results were then compared with those obtained at equivalent altitudes using similar methodology from a fast ascent of Mount Kilimanjaro to an equivalent altitude by a comparable cohort over 4 days. Results: The gradual ascent group had a median age of 33 years (range 25–66), and all successfully completed the trek. No severe headache, vomiting, orthopnoea, or productive cough occurred, although minor nausea and mild headache were common. Baseline oximetry fell from a median of 96% (93–97%) to a median of 78% (53–86%) at 8 days but recovered to 94% (89–99%) inside 4 days. Corresponding HR rose from a baseline median of 72 bpm (57–85) to a median of 103 bpm (78–115) at 8 days, then recovered to 80 bpm (54–94) after 4 days. Neither age nor gender correlated with outcomes. Individually, HR correlated inversely with oximetry, but there was no group correlation between these two variables. By contrast, a more rapid 4-day ascent from the same starting height, with similar baseline values for HR and oximetry, to the same final altitude was associated with more severe headache, breathlessness, and vomiting. Fast ascent was associated with a significantly more marked reduction in oximetry to a median of 71% (52–76) and an increase in HR to a median of 110 bpm (88–140). The fast ascent group also required significantly more medication, rated their experience as less enjoyable, and had a 100% incidence of acute mountain sickness compared to 0% in the slow ascent group. Discussion: Oxygen desaturation and tachycardia are inevitable consequences of ascending above 5000 m, but the degree to which this occurs can be reduced by slowing ascent times and taking rest days every 1000 m of ascent. This practice is associated with fewer symptoms and greater safety, with less need for either prophylactic or therapeutic medication. Careful consideration should be given to rates of ascent when climbing to altitudes at or above 5000 m.
Full article
Open AccessEditorial
Oxygen: Highlights from the Journal to Mid-2025
by
John T. Hancock
Oxygen 2025, 5(3), 12; https://doi.org/10.3390/oxygen5030012 - 30 Jun 2025
Abstract
As aerobic organisms, we cannot live without molecular oxygen (O2), but we also have to work hard to live with it [...]
Full article
Open AccessArticle
Physical Activity and Pain Perception in Residents Under Conditions of Chronic Hypoxia
by
Margot Evelin Bernedo-Itusaca, Kely Melina Vilca-Coaquira, Ángel Gabriel Calisaya-Huacasi, Madeleyne Rosmery Cosi-Cupi, Stanley Rivaldo Leqque-Santi, Shantal Cutipa-Tinta, Alberto Salazar-Granara, Yony Martin-Pino Vanegas, Alcides Flores-Paredes, Shihui Guo, William Li, Moua Yang, Ginés Viscor and Ivan Hancco Zirena
Oxygen 2025, 5(3), 11; https://doi.org/10.3390/oxygen5030011 - 30 Jun 2025
Abstract
►▼
Show Figures
(1) Background: Previous studies indicate that individuals who engage in regular physical activity have a higher pain threshold than those who do not exercise. However, it remains unclear how this phenomenon behaves in individuals exposed to chronic hypoxia. This study evaluates pain
[...] Read more.
(1) Background: Previous studies indicate that individuals who engage in regular physical activity have a higher pain threshold than those who do not exercise. However, it remains unclear how this phenomenon behaves in individuals exposed to chronic hypoxia. This study evaluates pain perception at high altitude between high-altitude natives who exercised regularly and those who did not practice physical activity. (2) Methods: Eighty-four healthy volunteers aged 20 to 30 years old with a body mass index (BMI) within the normal range (18.5–24.9) residing in the city of Puno (3825 m) were recruited. The unilateral ischemia pain provocation test was used, applying pressure with a manual sphygmomanometer to generate transient ischemia in the arm while the patient opens and closes their hand. Onset, peak, and resolution times of pain, heart rate, and oxygen saturation were recorded. (3) Results: The average time to pain onset in the right arm was 30.2 s ± 14.1 during light physical activity, whereas, during moderate physical activity, it increased to 32.5 s ± 15.4. In the left arm, the average time until pain sensation was 27.9 s ± 16.8 during light physical activity and increased to 34.6 s ± 18.5 with moderate physical activity. Regarding the progression of pain intensity, the average time to reach unbearable pain in the right arm was 54.1 s ± 16.4 during light physical activity and 53.8 s ± 19.6 during moderate physical activity; in the left arm, it was 53.0 s ± 19.6 during light physical activity, increasing to 59.3 s ± 24.5 during moderate physical activity. (4) Conclusions: A more stable and slightly higher pain tolerance in the dominant arm was observed.
Full article

Figure 1
Open AccessArticle
Screening the Oxygen Reduction Reaction Performance of Carbon-Supported Pt-M (M = Ni, Cu, Co) Binary Electrocatalysts via Tuning Metal–Support Interaction
by
Amisha Beniwal, Hariom Gurjar, Khushabu Shekhawat, Ashima Bagaria and Dinesh Bhalothia
Oxygen 2025, 5(3), 10; https://doi.org/10.3390/oxygen5030010 - 27 Jun 2025
Abstract
►▼
Show Figures
Platinum-based catalysts remain the benchmark for the oxygen reduction reaction (ORR) in fuel cells, owing to their exceptional catalytic activity in the harsh chemical environment. However, optimizing Pt utilization and improving performance through support engineering are essential for commercial viability. In this study,
[...] Read more.
Platinum-based catalysts remain the benchmark for the oxygen reduction reaction (ORR) in fuel cells, owing to their exceptional catalytic activity in the harsh chemical environment. However, optimizing Pt utilization and improving performance through support engineering are essential for commercial viability. In this study, we synthesized carbon-supported binary Pt-M (M = Ni, Cu, Co) electrocatalysts to investigate the influence of metal–support interactions on ORR activity. The Pt-M nanoparticles were fabricated on carbon supports, enabling the systematic screening of electronic and structural interactions. Among all compositions, Pt@Co exhibited the highest ORR mass activity, delivering 817 mA mgPt−1 at 0.85 V and 464 mA mgPt−1 at 0.90 V vs. RHE, surpassing both commercial Pt/C (J.M. 20 wt.%) and its Pt@Ni, Pt@Cu, and Pt@CNT counterparts. Structural and spectroscopic analyses reveal a strong electronic interaction between Pt and Co, leading to localized electron transfer from Co to Pt domains. This electronic modulation facilitates an optimal surface binding energy, enhancing oxygen adsorption–desorption kinetics and ORR activity. These findings highlight the critical role of transition metal–support synergy in the rational design of high-performance Pt-based electrocatalysts for next-generation fuel cell applications.
Full article

Figure 1
Open AccessReview
Antioxidant Treatments for Fibromyalgia
by
Melissa S. Totten and Precious K. Wondzi
Oxygen 2025, 5(3), 9; https://doi.org/10.3390/oxygen5030009 - 23 Jun 2025
Abstract
Fibromyalgia is a syndrome that causes chronic musculoskeletal pain accompanied by symptoms such as fatigue, sleep disorders, headaches, anxiety, and depression. People diagnosed with fibromyalgia usually have higher levels of reactive oxygen species and lower antioxidant capacity compared to healthy individuals. This condition
[...] Read more.
Fibromyalgia is a syndrome that causes chronic musculoskeletal pain accompanied by symptoms such as fatigue, sleep disorders, headaches, anxiety, and depression. People diagnosed with fibromyalgia usually have higher levels of reactive oxygen species and lower antioxidant capacity compared to healthy individuals. This condition can contribute to elevated oxidative stress in the body, especially within the lipid-rich nervous system. Treatment with antioxidants through diet or supplements is one method being investigated to reduce the symptoms of fibromyalgia. This narrative review focuses on the latest research, specifically peer-reviewed publications within the last 10 years, on potential antioxidant treatments for patients with fibromyalgia. Relevant micronutrients, such as vitamin B12, vitamin D, and iron, and supplements such as melatonin, coenzyme Q, alpha-lipoic acid, and palmitoylethanolamide are discussed. Based on the current evidence, many of these antioxidants show potential for the management of fibromyalgia symptoms as standalone treatments or in combination with other antioxidants or pharmacological agents. More clinical research is required to understand the long-term efficacy and safety of these micronutrients and supplements, as well as their overall health impact.
Full article
Open AccessArticle
Pentoxifylline Enhances Sperm Quality, Reduces Oxidative Stress in Semen, and Decreases Sperm DNA Damage in Men with Asthenozoospermia Undergoing Assisted Reproductive Technology
by
Oumaima Ammar, Marwa Ben Ali Gannoun, Tesnim Ajina, Assila Hadj Ali, Manel Boussabbeh, Amira Sallem, Zohra Haouas, Mariarosaria Di Tommaso and Meriem Mehdi
Oxygen 2025, 5(2), 8; https://doi.org/10.3390/oxygen5020008 - 31 May 2025
Abstract
►▼
Show Figures
Oxidative stress (OS) contributes to poor sperm parameters and increased sperm DNA fragmentation (sDF), yet effective therapeutic strategies remain limited. This study aimed to evaluate the in vitro efficacy of pentoxifylline (PTX) in improving sperm motility and reducing OS and sDF in men
[...] Read more.
Oxidative stress (OS) contributes to poor sperm parameters and increased sperm DNA fragmentation (sDF), yet effective therapeutic strategies remain limited. This study aimed to evaluate the in vitro efficacy of pentoxifylline (PTX) in improving sperm motility and reducing OS and sDF in men with isolated asthenozoospermia. Thirty semen samples from patients with asthenozoospermia were processed using density gradient centrifugation. Each sample was divided into two aliquots: one treated with PTX at a dose of 3.6 mM and the other without PTX treatment. The sperm viability and motility were assessed at 30 min, 1 h, 2 h, and 24 h post-treatment. OS was evaluated using nitro blue tetrazolium staining and a chemiluminescence assay. sDF was assessed using the alkaline Comet assay. The sperm samples treated with PTX, compared to the controls, exhibited a significant increase in total sperm motility (71.8 ± 23.03% versus 47.47 ± 4.88%, respectively; p < 0.0001). However, no significant difference was observed in the sperm viability. PTX treatment significantly reduced ROS production and sDF levels compared to controls (p < 0.01). These findings suggest that in vitro PTX supplementation enhances sperm motility and reduces the nuclear sperm injury associated with seminal ROS production. Therefore, PTX supplementation in vitro may be beneficial in assisted reproductive technology procedures involving men with asthenozoospermia.
Full article

Figure 1
Open AccessArticle
Citrus Fruit-Based Calcium Titanate Anodization Coatings on Titanium Implants
by
Amisha Parekh, Parker Knotts, Amol V. Janorkar and Michael D. Roach
Oxygen 2025, 5(2), 7; https://doi.org/10.3390/oxygen5020007 - 21 May 2025
Cited by 1
Abstract
►▼
Show Figures
With humans living longer and the median age of the population increasing, there is an ever-increasing demand for better biomedical implants. Titanium implants have a long history of successful use, but their naturally forming amorphous oxide surfaces are not ideal to promote bone
[...] Read more.
With humans living longer and the median age of the population increasing, there is an ever-increasing demand for better biomedical implants. Titanium implants have a long history of successful use, but their naturally forming amorphous oxide surfaces are not ideal to promote bone growth. Therefore, titanium surfaces are often modified to improve bioactivity through electrochemical processes such as anodization which can crystallize the oxide into more bioactive titanium oxide phases, form hierarchical micro- and nano-scale roughness profiles, and incorporate beneficial bone chemistry into the oxide layer to improve interactions with bone cells. We have recently developed three innovative anodization electrolytes based on combinations of citrus fruit juices and commercially available calcium compounds. Anodization in these electrolytes produced citrus-based oxides exhibiting surface Ca/P ratios within the range of human bone, unique cauliflower-like hierarchical micro- and nano-scale surface roughness profiles, and the formation of titanate compounds which have been shown to be precursors for subsequent apatite formation. Thus, our titanate-containing citrus-based oxides show much promise for improving future osseointegration.
Full article

Figure 1
Open AccessArticle
Secrets of Kleiber’s and Maximum Metabolic Rate Allometries Revealed with a Link to Oxygen-Deficient Combustion Engineering
by
Kalyan Annamalai
Oxygen 2025, 5(2), 6; https://doi.org/10.3390/oxygen5020006 - 20 May 2025
Abstract
►▼
Show Figures
The biology literature addresses two puzzles: (i) the increase in specific metabolic rate of organs (SOrMR, W/kg of organ) with a decrease in body mass (MB) of biological species (BS), and (ii) how the organs recognize they are in a smaller
[...] Read more.
The biology literature addresses two puzzles: (i) the increase in specific metabolic rate of organs (SOrMR, W/kg of organ) with a decrease in body mass (MB) of biological species (BS), and (ii) how the organs recognize they are in a smaller or larger body and adjust metabolic rates of the body ( ) accordingly. These puzzles were answered in the author’s earlier work by linking the field of oxygen-deficient combustion (ODC) of fuel particle clouds (FC) in engineering to the field of oxygen-deficient metabolism (ODM) of cell clouds (CC) in biology. The current work extends the ODM hypothesis to predict the whole-body metabolic rates of 114 BS and demonstrates Kleiber’s power law { }. The methodology is based on the postulate of Lindstedt and Schaeffer that “150 ton blue whale. and the 2 g Etruscan shrew.. share the same.. biochemical pathways” and involve the following steps: (i) extension of the effectiveness factor relation, expressed in terms of the dimensionless group number G (=Thiele Modulus2), from engineering to the organs of BS, (ii) modification of G as GOD for the biology literature as a measure of oxygen deficiency (OD), (iii) collection of data on organ and body masses of 116 species and prediction of SOrMRk of organ k of 114 BS (from 0.0076 kg Shrew to 6650 kg elephant) using only the SOrMRk and organ masses of two reference species (Shrew, 0.0076 kg: RS-1; Rat Wistar, 0.390 kg: RS-2), (iv) estimation of for 114 species versus MB and demonstration of Kleiber’s law with a = 2.962, b = 0.747, and (v) extension of ODM to predict the allometric law for maximal metabolic rate (under exercise, { }) and validate the approach for MMR by comparing bMMR with the literature data. A method of detecting hypoxic condition of an organ as a precursor to cancer is suggested for use by medical personnel
Full article

Figure 1
Open AccessArticle
Soybean Reproductive Traits Evaluated in Response to Temperature Stress and Elevated Oxygen; Three Peroxidase Transgenes Reduce Seed Abortion
by
Bernard A. Hauser, Ya-Ying Wang, Kenneth J. Boote, Prachee Chaturvedi, Eric S. McLamore and Leon H. Allen, Jr.
Oxygen 2025, 5(2), 5; https://doi.org/10.3390/oxygen5020005 - 27 Apr 2025
Cited by 1
Abstract
►▼
Show Figures
In a previous Arabidopsis investigation, three ovule-specific cell-wall peroxidases decreased seed abortion rates. These peroxidases were expressed in soybean plants. Because cell wall peroxidases alter extensibility, possible effects on seed size and plant yield were evaluated. Since the effects of these peroxidases in
[...] Read more.
In a previous Arabidopsis investigation, three ovule-specific cell-wall peroxidases decreased seed abortion rates. These peroxidases were expressed in soybean plants. Because cell wall peroxidases alter extensibility, possible effects on seed size and plant yield were evaluated. Since the effects of these peroxidases in Arabidopsis were dependent on environmental stress, soybean plants were grown in controlled environment greenhouse rooms under four temperature treatments; the daily temperature averages were 26, 30, 34, and 38 °C. In this experiment in vivo oxygen levels during seed growth were 25-fold below ambient, which could affect peroxidase activities. Consequently, soybeans were grown at atmospheric (21%) and elevated (32%) O2 to evaluate peroxidase activities at higher O2. Chambers were maintained at 700 ppm CO2 in an attempt to minimize photorespiration in elevated O2. Individual seed weight decreased with increasing temperature to zero at 38 °C. In elevated O2 rooms, the oxygen concentration in developing seeds increased, but, due to leaf photorespiration, plant biomass and seed yield decreased. Seed size and shelling percentage declined equally with temperature at both O2 concentrations. Expression of all three cell-wall peroxidases reduced seed abortion; however, that did not increase yields at ambient or elevated O2. While O2 concentration is less than 1% in developing seeds, increased O2 levels in seeds were not beneficial for soybean reproduction.
Full article

Figure 1
Open AccessArticle
Morphological and Proteomic Analyses to Reveal Salt-Tolerant Mechanisms in Soybean Seedlings Treated with Titanium-Oxide Nanoparticles
by
Pwint Phoo Wai, Hisateru Yamaguchi, Keisuke Hitachi, Kunihiro Tsuchida and Setsuko Komatsu
Oxygen 2025, 5(2), 4; https://doi.org/10.3390/oxygen5020004 - 18 Apr 2025
Cited by 2
Abstract
►▼
Show Figures
Because soybean is sensitive to salt stress, it is necessary to improve their stress tolerance. Titanium-oxide nanoparticles (TiO2 NPs) enhanced the growth of soybean under salt stress. To elucidate the promotive effects of TiO2 NPs on soybean growth under salt stress,
[...] Read more.
Because soybean is sensitive to salt stress, it is necessary to improve their stress tolerance. Titanium-oxide nanoparticles (TiO2 NPs) enhanced the growth of soybean under salt stress. To elucidate the promotive effects of TiO2 NPs on soybean growth under salt stress, a gel-free/label-free proteomic analysis was carried out. The principal component analysis of proteins showed that TiO2 NPs affected proteins in roots grown under salt stress. The differentially changed proteins were associated with protein metabolism and transport in the biological process, the nucleus in the cellular component, and nucleic acid binding activity in the molecular function. Proteins identified with proteomics were verified using immunoblot analysis. The abundance of V-ATPase decreased in soybean under salt stress and increased with additional TiO2 NPs under stress, whereas xyloglucan endotransglucosylase/hydrolase did not change with any treatment. The abundance of peroxiredoxin increased under salt stress but decreased with additional TiO2 NPs under stress. These results suggest that TiO2 NPs confer salt tolerance in soybean plants at the early growth stage by regulating vacuole transport and reactive oxygen scavenging systems.
Full article

Figure 1
Open AccessReview
Hyperbaric Oxygen Therapy for Pharyngocutaneous Fistula Following Head and Neck Surgery: A Comprehensive Review and Our Clinical Experience
by
Francesca Cascone, Antonio Minni, Marco de Vincentiis, Christian Barbato and Federica Zoccali
Oxygen 2025, 5(2), 3; https://doi.org/10.3390/oxygen5020003 - 28 Mar 2025
Abstract
►▼
Show Figures
Pharyngocutaneous fistulas (PCF) are a common postoperative complication following head and neck surgery, particularly after total laryngectomy. These types of fistulas represent a challenge for both patients and clinicians due to their persistence and resistance to conventional healing methods. Hyperbaric Oxygen Therapy (HBOT)
[...] Read more.
Pharyngocutaneous fistulas (PCF) are a common postoperative complication following head and neck surgery, particularly after total laryngectomy. These types of fistulas represent a challenge for both patients and clinicians due to their persistence and resistance to conventional healing methods. Hyperbaric Oxygen Therapy (HBOT) has been proposed as an adjunctive treatment to enhance healing and closure of PCF. While many studies report positive outcomes, the results are not universally consistent. This comprehensive review aimed to examine the clinical evidence supporting the efficacy of HBOT in the management of pharyngocutaneous fistulas, focusing on fistula closure rates, infection control, and overall healing improvement. All publications without the restriction of time and published in the English language were included. Searches were performed in the PubMed, MEDLINE, Scopus, and Embase databases. Ten articles were included in this review. The evaluation of our clinical experience with this method of treating PCF showed results comparable to those found in the literature and analyzed among the studies reviewed. Several studies indicate that HBOT promotes fistula closure, reduces healing time, and enhances the local immune response, but further investigation is required to optimize protocols and patients’ selections.
Full article

Figure 1
Highly Accessed Articles
Latest Books
E-Mail Alert
News
Topics
Topic in
Agronomy, Beverages, Horticulturae, Oxygen
Plants and Crops as Sources of Phytochemicals for Development of Functional Foods and Beverages
Topic Editors: Nenad Naumovski, Željko DolijanovićDeadline: 31 December 2025
Topic in
Antioxidants, Biomedicines, IJMS, Life, Oxygen, Cosmetics, Nutraceuticals
Oxidative Stress and Inflammation, 3rd Edition
Topic Editors: Maria Letizia Manca, Amparo Nacher, Matteo Perra, Ines Castangia, Mohamad AllawDeadline: 31 July 2026
Topic in
Antioxidants, Biology, Nitrogen, Oxygen, Clinical Bioenergetics, Plants, Biomedicines
Cell Signaling and Redox Biology: From Molecular Mechanisms to Therapeutic Applications
Topic Editors: John T. Hancock, Sergej M. Ostojic, Jiankang Liu, Juan de Dios Alché RamírezDeadline: 31 December 2026
Special Issues
Special Issue in
Oxygen
The Contribution of Oxidation Reactions to Non-Enzymatic Browning
Guest Editors: Sascha Rohn, Clemens KanzlerDeadline: 15 December 2025
Special Issue in
Oxygen
Feature Papers in Oxygen Volume III
Guest Editor: John T. HancockDeadline: 31 March 2026


