Next Issue
Volume 16, February-2
Previous Issue
Volume 16, January-2
 
 

Buildings, Volume 16, Issue 3 (February-1 2026) – 219 articles

  • Issues are regarded as officially published after their release is announced to the table of contents alert mailing list.
  • You may sign up for e-mail alerts to receive table of contents of newly released issues.
  • PDF is the official format for papers published in both, html and pdf forms. To view the papers in pdf format, click on the "PDF Full-text" link, and use the free Adobe Reader to open them.
Order results
Result details
Section
Select all
Export citation of selected articles as:
34 pages, 5032 KB  
Article
Strength Prediction of Concavely Curved Soffit RC Beams Strengthened with CFRP
by Khattab Al-Ghrery, Robin Kalfat, Riadh Al-Mahaidi and Nazar Oukaili
Buildings 2026, 16(3), 684; https://doi.org/10.3390/buildings16030684 (registering DOI) - 6 Feb 2026
Viewed by 158
Abstract
The utilisation of carbon fibre–reinforced polymers (CFRPs) has emerged as a promising method for enhancing the flexural performance of reinforced-concrete (RC) bridges. While extensive research has been conducted on CFRP systems implemented on flat soffit RC beams, further work is required to assess [...] Read more.
The utilisation of carbon fibre–reinforced polymers (CFRPs) has emerged as a promising method for enhancing the flexural performance of reinforced-concrete (RC) bridges. While extensive research has been conducted on CFRP systems implemented on flat soffit RC beams, further work is required to assess their effectiveness when applied to concavely curved soffit RC members. This paper uses finite element simulations to extend an experimental database on RC beams with curved soffits ranging from 5, 10, 15 and 20 mm/m strengthened using externally bonded FRP. Parametric studies into four different concrete strengths ranging from 25, 35, 48, 57 MPa and additional degrees of soffit curvature up to 50 mm/m were used to generate a total of 88 data points. Further, gene expression programming (GEP) was used to develop an empirical model correlating a capacity reduction factor applied to the maximum FRP strain required to produce intermediate-span crack-induced (IC) debonding for concavely curved soffit RC beams externally strengthened with CFRP. The results of the GEP model demonstrated that the model can be employed as an efficient tool for the prediction of the reduction in the flexural capacity of concavely curved soffit RC beams strengthened externally with NSM CFRP. Full article
(This article belongs to the Section Building Structures)
Show Figures

Figure 1

21 pages, 3301 KB  
Article
AI-Driven Seismic Fragility Assessment of RC Buildings: A Localized Comparison of RVS Methods in Bingol
by Sadık Varolgüneş and Abdulhalim Karaşin
Buildings 2026, 16(3), 683; https://doi.org/10.3390/buildings16030683 (registering DOI) - 6 Feb 2026
Viewed by 65
Abstract
Rapid assessment of existing reinforced concrete (RC) buildings is essential for effective seismic risk mitigation, particularly in highly active regions such as Bingol, Turkiye. This study evaluates the local performance of three Rapid Visual Screening (RVS) methods—RBTY-2019, FEMA-P154, and IITK-GSDMA—using verified post-earthquake damage [...] Read more.
Rapid assessment of existing reinforced concrete (RC) buildings is essential for effective seismic risk mitigation, particularly in highly active regions such as Bingol, Turkiye. This study evaluates the local performance of three Rapid Visual Screening (RVS) methods—RBTY-2019, FEMA-P154, and IITK-GSDMA—using verified post-earthquake damage data from the 2003 Bingol Earthquake (SERU-2003). To overcome the limitations of traditional RVS approaches, an Artificial Neural Network (ANN) model was developed and trained with the same dataset to predict building damage levels based on structural deficiency parameters. The ANN achieved a regression coefficient above 0.90 and 100% consistency in test predictions, demonstrating superior accuracy and adaptability to local construction characteristics. A Local Scaling Function (LSF) was also proposed to translate RBTY-2019 performance scores into empirical damage states, achieving 100% consistency with observed data. The findings highlight the reliability of locally trained AI models and the importance of adapting national screening regulations to regional seismic experiences. This integrated ANN–RVS framework provides a practical, data-driven tool for local authorities to prioritize urban building stock and strengthen disaster risk management strategies. Full article
(This article belongs to the Special Issue Artificial Intelligence (AI) for Construction Risk Management)
Show Figures

Graphical abstract

35 pages, 6221 KB  
Article
A Hybrid CNN–PINN–NSGA-II Framework for Physics-Consistent Surrogate Modeling of Reinforced Concrete Beams Incorporating Waste Fired Clay
by Yasin Onuralp Özkılıç, Memduh Karalar, Muhannad Riyadh Alasiri, Özer Zeybek and Sadik Alper Yildizel
Buildings 2026, 16(3), 682; https://doi.org/10.3390/buildings16030682 (registering DOI) - 6 Feb 2026
Viewed by 130
Abstract
This paper presents a physics-consistent hybrid surrogate framework for simulating the mechanical behavior of reinforced concrete beams that utilize waste fired clay (WFC) as a partial substitute for cement. The main contribution is the integration of empirically observed deformation behavior with physics-informed learning [...] Read more.
This paper presents a physics-consistent hybrid surrogate framework for simulating the mechanical behavior of reinforced concrete beams that utilize waste fired clay (WFC) as a partial substitute for cement. The main contribution is the integration of empirically observed deformation behavior with physics-informed learning to produce an interpretable, mechanically valid surrogate model. Full-field surface deformation fields were measured using Digital Image Correlation (DIC) under monotonic loading and processed through a convolutional neural network (CNN) to extract deformation- and crack-sensitive features. These features were integrated with experimentally measured stress–strain data within a Physics-Informed Neural Network (PINN) in which equilibrium and conditional constitutive monotonicity constraints were enforced through the loss function. A Non-Dominated Sorting Genetic Algorithm II (NSGA-II) was utilized as a downstream parametric exploration tool to examine trade-offs among maximum load capacity, material cost, and embodied CO2 inside a constrained mixture-design space. Model interpretability was assessed by SHapley Additive exPlanations (SHAP), indicating that deformation-driven kinematic factors predominantly influence stress prediction, whereas WFC content and reinforcement parameters have a secondary, mixture-level impact. The resulting framework achieves enhanced predictive accuracy (R2 = 0.969) relative to its individual components and operates as an offline, physics-calibrated surrogate rather than a real-time digital twin, providing a reliable and interpretable basis for structural assessment and sustainability-oriented design evaluation of WFC-modified reinforced concrete beams. Full article
(This article belongs to the Section Building Materials, and Repair & Renovation)
Show Figures

Figure 1

18 pages, 7010 KB  
Article
Development and Experimental Study of a Novel Diaphragm Wall Joint with Retractable Shear Studs
by Yue Zhang, Changjiang Wang and Xiewen Hu
Buildings 2026, 16(3), 681; https://doi.org/10.3390/buildings16030681 - 6 Feb 2026
Viewed by 80
Abstract
Diaphragm walls are widely used for deep foundation pit support and permanent underground structures. The joints between adjacent panels are critical weak points, significantly influencing the overall deformation and stress distribution of the structure. To address the insufficient shear and tensile capacity of [...] Read more.
Diaphragm walls are widely used for deep foundation pit support and permanent underground structures. The joints between adjacent panels are critical weak points, significantly influencing the overall deformation and stress distribution of the structure. To address the insufficient shear and tensile capacity of existing diaphragm wall joints, this study proposes a novel rigid joint incorporating retractable shear studs. The joint features a straightforward and constructible design, primarily comprising retractable shear studs, H-section steel, and shear stud pop-out limit plates. By withdrawing the limit plates inserted into the H-section steel, the retractable shear studs mounted on the web automatically extend along their axis, penetrating into the adjacent reinforcement cage to form an intrusive lap joint. This mechanism effectively enhances the integrity and load-bearing capacity at the joint. To validate its mechanical performance, large-scale specimens featuring this new joint were fabricated and subjected to shear and tensile tests. The experimental results demonstrate that, compared to traditional H-section steel joints, the peak shear and tensile strengths of the proposed joint are increased by approximately 10 times and 16 times, respectively. These findings fully verify the excellent mechanical performance of the novel diaphragm wall joint structure. Full article
Show Figures

Figure 1

24 pages, 5677 KB  
Article
Impact of Elevated Curing Temperatures on the Expansion Mechanism and Microstructure of Fly-Ash-Blended Cementitious Materials Incorporating HCSA
by Kai Wang, Wenjing Zhao, Jiawen Qu, Linan Gu, Jinlong Wang, Xunmei Liang, Fangzhou Ren and Jingjing Feng
Buildings 2026, 16(3), 680; https://doi.org/10.3390/buildings16030680 - 6 Feb 2026
Viewed by 59
Abstract
Calcium sulfoaluminate–calcium oxide expansive agents (HCSA) are commonly used in mass concrete to compensate for thermal shrinkage. However, the ettringite (AFt) formed by HCSA hydration decomposes when temperatures exceed 70 °C. This study examines the synergistic effects of curing temperature (20 °C to [...] Read more.
Calcium sulfoaluminate–calcium oxide expansive agents (HCSA) are commonly used in mass concrete to compensate for thermal shrinkage. However, the ettringite (AFt) formed by HCSA hydration decomposes when temperatures exceed 70 °C. This study examines the synergistic effects of curing temperature (20 °C to 80 °C), fly ash (FA) content (0%, 40%), and water–binder ratio (w/b, 0.3, 0.4, 0.5) on the expansion behaviour and microstructure of HCSA–cement systems. A critical temperature threshold was identified at 60 °C. Below this limit, elevated temperatures accelerate hydration and enhance expansion, with the restrained expansion ratio peaking at 9.2 × 10−4 mm/mm under 60 °C curing. Beyond 60 °C, expansion capacity significantly diminishes due to the thermal decomposition of AFt into monosulfoaluminate (AFm), as confirmed by XRD and SEM analysis. Calculations of expansive stress reveal a critical mismatch at temperatures ≥ 40 °C, where the expansive stress exceeds the early-age tensile strength, causing microstructural damage. Furthermore, subsequent cooling to standard curing conditions triggers the reformation of AFt from AFm, leading to Delayed Ettringite Formation (DEF), which poses potential risks for late-stage cracking. AFt morphology shifted from needle-like (2–5 μm) to prismatic (5–8 μm). The incorporation of FA suppressed early-stage expansion but improved expansion stability. above 40 °C, although excessive temperatures (>70 °C) led to pore coarsening and reduced mechanical strength. These findings provide a theoretical basis for optimizing the curing regimes of HCSA-admixed mass concrete to ensure structural integrity. Full article
(This article belongs to the Special Issue Research on Sustainable and High-Performance Cement-Based Materials)
32 pages, 1944 KB  
Article
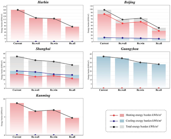
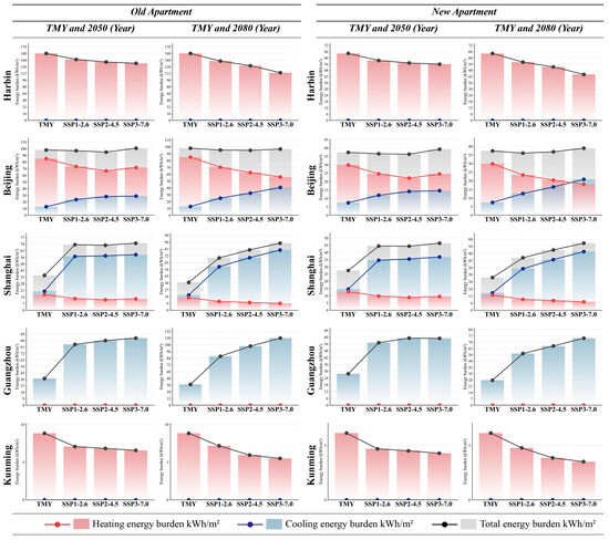
Demand-Side Energy Burden Inequality Between New and Old Urban Apartments from a Long-Term Perspective: Evidence from China’s Diverse Climate Zones
by Ziang Li, Haojie Li, Ying Bao and Jianfa Qiu
Buildings 2026, 16(3), 679; https://doi.org/10.3390/buildings16030679 - 6 Feb 2026
Viewed by 60
Abstract
Against the backdrop of rapid urbanization and climate change, energy burden inequity arises between existing and new residential buildings due to generational differences in building envelopes. This study develops a demand-side energy burden equity assessment framework based on energy simulations of typical existing [...] Read more.
Against the backdrop of rapid urbanization and climate change, energy burden inequity arises between existing and new residential buildings due to generational differences in building envelopes. This study develops a demand-side energy burden equity assessment framework based on energy simulations of typical existing and new apartments in representative cities across China’s five major climate zones. The framework integrates multi-climate conditions, long-term evolution under different Shared Socioeconomic Pathways, and adaptable retrofit implications. Results indicate that demand-side energy burden inequity is widespread but structurally heterogeneous across climate zones, with the largest disparity observed in heating-dominated regions (up to 95.69 kWh/m2 in Harbin). Under future warming, three scaling pathways emerge: convergence in heating-dominated regions (up to −27%), divergence in cooling-dominated and mixed regions (up to +382%), and offsetting effects driven by heating–cooling structural shifts in cold regions (up to −5%). Retrofit analysis shows that combined envelope upgrades achieve substantial inequity reduction (88–152%), though with diminishing marginal returns, while single targeted measures already yield high benefits in cooling-dominated and mild regions (74% and 83%, respectively). The findings provide differentiated and forward-looking evidence to support equity-oriented interventions in urban residential retrofitting and policy design. Full article
20 pages, 7802 KB  
Article
Thermal Environment and Adaptive Comfort in Traditional Lifen Dwellings During Summer: Field Measurements and Occupant Surveys in Wuhan, China
by Kangli Ren, Meng Yao, Yu He, Shuen Yao, Chiming Tang and Chi Zhang
Buildings 2026, 16(3), 678; https://doi.org/10.3390/buildings16030678 - 6 Feb 2026
Viewed by 71
Abstract
Under extreme summer heat and humidity, the indoor thermal environment and occupants’ thermal adaptability in Lifen dwellings, a high-density residential typology in Wuhan, China, remain insufficiently documented. This study compares summer indoor thermal conditions and thermal comfort between traditional and newly built Lifen [...] Read more.
Under extreme summer heat and humidity, the indoor thermal environment and occupants’ thermal adaptability in Lifen dwellings, a high-density residential typology in Wuhan, China, remain insufficiently documented. This study compares summer indoor thermal conditions and thermal comfort between traditional and newly built Lifen dwellings using combined field measurements and questionnaire surveys. Continuous monitoring was conducted in four representative dwellings from 16 to 21 July 2024, together with 192 valid questionnaires collected across the two Lifen communities. Results indicate clear differences in indoor thermal characteristics between the two dwelling types; old Lifen dwellings exhibited stronger perceived heat and more pronounced spatial thermal non-uniformity. Kitchens were identified as the most unfavorable spaces in dwellings. Regression analysis of thermal sensation reveals that residents in old dwellings had a higher neutral temperature than those in new dwellings (27.6 °C versus 26.0 °C) and demonstrated stronger overall thermal adaptability, with a relatively wider comfort range (0.8 °C). Combined evidence from field measurements and subjective voting suggests that long exposure, behavioral adjustment, and ventilation-driven cooling collectively enhance heat tolerance in old Lifen dwellings. These findings provide empirical support for thermal environment optimization and renovation strategies in naturally ventilated historic residential areas. Full article
Show Figures

Figure 1

21 pages, 4711 KB  
Article
An Integrated Framework for Pavement Crack Segmentation and Severity Estimation
by Osama Alsharayah, Dmitry Manasreh and Munir D. Nazzal
Buildings 2026, 16(3), 677; https://doi.org/10.3390/buildings16030677 - 6 Feb 2026
Viewed by 63
Abstract
Pavement maintenance programs rely on timely and accurate crack assessment to preserve roadway quality and reduce long-term rehabilitation costs. Manual inspection remains the prevailing practice, yet it is slow, subjective, and exposes crews to safety risks. Automating crack detection under real-world roadway conditions [...] Read more.
Pavement maintenance programs rely on timely and accurate crack assessment to preserve roadway quality and reduce long-term rehabilitation costs. Manual inspection remains the prevailing practice, yet it is slow, subjective, and exposes crews to safety risks. Automating crack detection under real-world roadway conditions remains challenging due to inconsistent lighting, shadows, stains, and surface textures that obscure distress features. This study examines the applicability of an integrated, vehicle-mounted framework for automated pavement crack segmentation and width-based severity estimation under practical roadway operating conditions. Data were collected from a moving vehicle using a custom camera–GPS system operating under diverse conditions, capturing the variability encountered in practical surveys. The proposed approach employs a state-of-the-art segmentation model and a calibrated width estimation tool that converts pixel-level crack measurements into physical units using a position-dependent regression model. The key contribution of this work is a unified segmentation and severity evaluation pipeline supported by a novel pixel-to-inch calibration surface and validated using images acquired during normal driving operations and manual field crack measurements. By combining advanced computer vision techniques with practical field-oriented data collection, the proposed system provides a deployable solution for roadway crack assessment, enabling safer, faster, and more scalable network-level pavement monitoring. Full article
(This article belongs to the Section Construction Management, and Computers & Digitization)
Show Figures

Figure 1

17 pages, 2549 KB  
Article
Validity of Design Standards in Shear Strength of CFRP Concrete Member Without Shear Reinforcement
by So Yeong Choi, Il Sun Kim and Eun Ik Yang
Buildings 2026, 16(3), 676; https://doi.org/10.3390/buildings16030676 - 6 Feb 2026
Viewed by 106
Abstract
The shear design of concrete members reinforced with Carbon Fiber Reinforced Polymer (CFRP) bars remains a key hurdle for engineers. This study experimentally investigates the shear behavior of normal-strength concrete members reinforced with CFRP bars without shear reinforcement subjected to monotonic loading. Specifically, [...] Read more.
The shear design of concrete members reinforced with Carbon Fiber Reinforced Polymer (CFRP) bars remains a key hurdle for engineers. This study experimentally investigates the shear behavior of normal-strength concrete members reinforced with CFRP bars without shear reinforcement subjected to monotonic loading. Specifically, this research investigates the effect of anchorage length on shear-dominated behavior, aiming to provide a novel assessment of the interaction between shear and anchorage design—two aspects that have traditionally been treated in isolation in existing studies. The experimental results revealed that all test members, regardless of reinforcement type or anchorage length, exhibited a shear strength ranging from 1.1 to 5.63 times the code-predicted values, confirming the conservatism of current design standards. This pronounced difference in the shear strength of reinforced members is attributed to (1) the unexpectedly significant contribution of dowel action because of the high tensile strength and over-reinforcement ratio, and (2) the inherent conservatism in current code equations for shear capacity. Unlike prior studies that noted conservative shear prediction, this research demonstrated that anchorage length requirements, which are typically linked to flexural design, can be significantly relaxed in shear-dominated members with safety secured. This research highlights the need to refine shear prediction models for CFRP members by incorporating parameters that account for the reinforcement ratio and the unique contribution of dowel action. Furthermore, a revision of anchorage length design standards is justified to develop a more rational and economical design for shear-dominated members. Full article
(This article belongs to the Special Issue Research on Sustainable Materials in Building and Construction)
Show Figures

Figure 1

30 pages, 5076 KB  
Article
Building Footprint Extraction for Large-Scale Basemaps Using Very-High-Resolution Satellite Imagery
by Yofri Furqani Hakim and Fuan Tsai
Buildings 2026, 16(3), 675; https://doi.org/10.3390/buildings16030675 - 6 Feb 2026
Viewed by 118
Abstract
Accurate building footprint is a fundamental element of large-scale base maps, which serve as critical inputs for urban planning, infrastructure development, environmental monitoring, and disaster management. While building footprint extraction and geometric regularization have been widely studied, their combined application for automated, large-scale [...] Read more.
Accurate building footprint is a fundamental element of large-scale base maps, which serve as critical inputs for urban planning, infrastructure development, environmental monitoring, and disaster management. While building footprint extraction and geometric regularization have been widely studied, their combined application for automated, large-scale basemap generation using very-high-resolution satellite imagery has received limited attention. To address this gap, this study proposes an integrated framework that leverages deep learning and geometric regularization to efficiently extract and refine building footprints for large-scale base maps. The framework first enhances spectral, spatial, and textural features of very-high-resolution satellite imagery through pan-sharpening, NDVI computation, GLCM-based texture analysis, and PCA. A Mask R-CNN model is then trained on multi-band imagery to segment building footprints, followed by geometric regularization to simplify and align polygons along dominant structural orientations. Object-based evaluation on ground-truth buildings demonstrates high performance, with 97.6% precision, 91.6% recall, and a 94.5% F1-score. The proposed systematic framework substantially reduces production time compared to manual stereo-plotting, requiring less than an hour per 5.29 km2 map sheet in operational production, representing a more than 35-fold efficiency gain. While minor geometric inaccuracies and merged adjacent buildings persist, the methodology offers a robust, scalable, and efficient approach to support large-scale base map production. Full article
(This article belongs to the Section Construction Management, and Computers & Digitization)
Show Figures

Figure 1

27 pages, 5760 KB  
Article
An Interpretable Hybrid Machine Learning Approach for Predicting the Compressive Strength of Internal-Curing Concrete Incorporating Recycled Roof-Tile Waste
by Duy Dung Khuat, Dam Duc Nguyen, May Huu Nguyen, Binh Thai Pham and Kenichiro Nakarai
Buildings 2026, 16(3), 674; https://doi.org/10.3390/buildings16030674 - 6 Feb 2026
Viewed by 60
Abstract
The use of recycled materials as internal curing (IC) agents offers substantial benefits to the concrete industry by improving performance and enhancing environmental sustainability. However, the design of IC concrete has grown intricate due to the nonlinear interactions among many input variables. Previous [...] Read more.
The use of recycled materials as internal curing (IC) agents offers substantial benefits to the concrete industry by improving performance and enhancing environmental sustainability. However, the design of IC concrete has grown intricate due to the nonlinear interactions among many input variables. Previous research on IC is mostly experimental, with only a few studies focusing on predicting the compressive strength (CS) of IC concrete. In particular, machine learning has not been applied to quantify the effect of roof-tile waste (RTW) on the CS of IC concrete. This research presents an innovative hybrid model that combines random forest and particle swarm optimization (RF-PSO) to predict the CS of IC concrete using RTW as an IC aggregate. Before model building, a comparative analysis of potential methodologies was conducted, highlighting the key characteristics, benefits, and drawbacks. RF-PSO was then chosen, achieving enhanced accuracy with a coefficient of determination (R2) of 0.961, a root mean square error (RMSE) of 5.361 MPa, and a mean absolute error (MAE) of 4.001 MPa. The RF-PSO model improved prediction accuracy by increasing R2 from 0.906 to 0.961 and reducing statistical errors by nearly 30% compared with conventional machine learning models. A Shapley Additive exPlanations (SHAP) analysis was performed to interpret the model results. The analysis identified the water-to-cement ratio and curing age as the dominant predictors, while IC water contributed a secondary, age-dependent effect. The proposed framework makes contributions: it integrates SHAP-based interpretability into a high-accuracy RF-PSO model and provides a viable tool for reducing empirical trial mixes in sustainable design workflows. Despite the limited dataset, the findings provide a reproducible baseline for future expansion and highlight the potential of combining RTW with IC to improve early and long-term strength. Full article
Show Figures

Figure 1

23 pages, 8906 KB  
Article
Research on Performance Prediction of Chillers Based on Unsupervised Domain Adaptation
by Yifei Liu, Chuanyu Tang and Nan Li
Buildings 2026, 16(3), 673; https://doi.org/10.3390/buildings16030673 - 6 Feb 2026
Viewed by 88
Abstract
The prediction of chiller performance parameters is crucial for optimal control and fault diagnosis. Numerous efficient and accurate data-driven models have been developed and implemented. These models are normally trained on historical operational data of chiller units. However, the distribution of operational data [...] Read more.
The prediction of chiller performance parameters is crucial for optimal control and fault diagnosis. Numerous efficient and accurate data-driven models have been developed and implemented. These models are normally trained on historical operational data of chiller units. However, the distribution of operational data may shift due to accumulated operating hours or changes in control strategies. Under new operating conditions, models trained on historical data often generalize poorly, leading to prediction deviations. To address this issue, this study integrates a one-dimensional convolutional neural network with a domain adaptation method that extracts features from both the source and target domains and aligns their inverse Gram matrices in terms of angle and scale. A predictive model applicable to multiple chiller performance parameters is established using limited historical data, enhancing the model’s generalization ability. Compared to the baseline model (MLP), the proposed method achieves an average reduction of 74.3% in mean absolute error (MAE) and 76.1% in root mean square error (RMSE), while the R2 values exceed 0.96 (for certain scenarios). Additionally, this paper analyzes the data distribution between the source and target domains, investigates key factors affecting the model’s generalization capability, and provides insights for evaluating the quality of modeling data. Full article
Show Figures

Figure 1

26 pages, 1463 KB  
Article
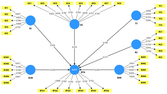
The Catalyst of Culture: Unlocking Blockchain-Driven Digital Transformation in Saudi Construction
by Muhammad Abdul Rehman and Dhafer Ali Alqahtani
Buildings 2026, 16(3), 672; https://doi.org/10.3390/buildings16030672 - 5 Feb 2026
Viewed by 165
Abstract
Saudi Arabia’s construction industry is greatly impacted by rising costs and delays, causing project overruns and high financial pressures. In construction, blockchain technology is a decentralized and secure system that promotes transparency, trustworthiness and effective management of project data and transactions. This research [...] Read more.
Saudi Arabia’s construction industry is greatly impacted by rising costs and delays, causing project overruns and high financial pressures. In construction, blockchain technology is a decentralized and secure system that promotes transparency, trustworthiness and effective management of project data and transactions. This research is based on the Technology–Organization–Environment (TOE) framework, which develops and tests a conceptual model to investigate how supply-chain management, smart contracts, transparency and traceability, regulatory compliance and building information modeling (BIM) integration influence blockchain technology adoption, with organizational culture as a moderator. Data from 291 professionals in large Saudi contracting firms were analyzed employing a quantitative, cross-sectional design using SmartPLS. Results confirm all hypothesized factors significantly drive blockchain technology adoption. Organizational culture, acting as a key amplifier, positively moderates all relationships. The model explains 71.1% of the variability in blockchain technology adoption. In order to overcome project challenges and meet Vision 2030’s goals, the results present a validated roadmap for Saudi’s construction sector. The findings show that technical investments and promoting a culture of innovation, collaboration across departments and strong leadership are important for adoption blockchain technology. Full article
Show Figures

Figure 1

21 pages, 3003 KB  
Article
Study on Multiaxial Fatigue Damage Behavior of HRB335 Under Variable-Amplitude and Variable-Path Loading
by Shihong Huang, Shenghuan Qin and Chengye Liang
Buildings 2026, 16(3), 671; https://doi.org/10.3390/buildings16030671 - 5 Feb 2026
Viewed by 77
Abstract
Fatigue failure is a prevalent concern within structural engineering, often resulting in critical safety risks. The inherent complexity of construction projects leads to structural components experiencing loads of varying amplitudes and diverse load paths. Investigating the fatigue response under variable-amplitude and load path [...] Read more.
Fatigue failure is a prevalent concern within structural engineering, often resulting in critical safety risks. The inherent complexity of construction projects leads to structural components experiencing loads of varying amplitudes and diverse load paths. Investigating the fatigue response under variable-amplitude and load path conditions is essential for mitigating catastrophic failures. This study presents multiaxial fatigue testing of HRB335, a widely utilized construction steel, by subjecting it to variable-amplitude and path loading protocols. Comparative analysis of several established fatigue cumulative damage models, such as Miner, Manson, Tensile Factor, and Bilinear, was conducted based on experimental data to evaluate their effectiveness in predicting fatigue damage accumulation under these complex loading scenarios. The results indicated that, for variable-amplitude loading, the Miner, Manson, and Tensile Factor models demonstrated reasonable accuracy in residual life estimation, with minor deviations observed. Conversely, the Bilinear model exhibited greater variability and reduced predictive precision. Under variable load path conditions, the Manson nonlinear model provided the most accurate predictions, followed by the Miner and Tensile Factor models, while the Bilinear model underperformed. Full article
(This article belongs to the Section Building Materials, and Repair & Renovation)
Show Figures

Figure 1

16 pages, 1879 KB  
Article
Spatiotemporal Interactive Effects Between Thermal Comfort and Acoustic Quality on University Students’ Performance and Satisfaction in Hong Kong
by Dadi Zhang, Amneh Hamida, Kwok-Wai Mui and Ling-Tim Wong
Buildings 2026, 16(3), 670; https://doi.org/10.3390/buildings16030670 - 5 Feb 2026
Viewed by 92
Abstract
This study investigated the individual and interactive effects of thermal and acoustic parameters on university students’ concentration and satisfaction in a library environment. Measurements of temperature, relative humidity (RH), and sound pressure level (SPL), alongside questionnaire surveys assessing students’ concentration, environmental [...] Read more.
This study investigated the individual and interactive effects of thermal and acoustic parameters on university students’ concentration and satisfaction in a library environment. Measurements of temperature, relative humidity (RH), and sound pressure level (SPL), alongside questionnaire surveys assessing students’ concentration, environmental perceptions, and satisfaction, were conducted over ten continuous working days in four library rooms. The results revealed significant interactive effects between operative temperature (To), RH, and background noise level (LA90) on students’ concentration and overall satisfaction, highlighting the importance of an integrated approach to managing Indoor Environmental Quality (IEQ). Furthermore, multi-objective optimization using the NSGA-II algorithm suggested optimal ranges for To (22.6–24.8 °C), RH (41.0–48.4%), and LA90 (45.0–48.5 dB(A)). Existing library conditions surpassed these optimal levels, particularly on the first floor, indicating a pressing need for interventions to enhance student well-being and academic performance. Overall, this study provides insights into the interactions between thermal comfort and acoustic quality, offering recommendations for creating more conducive learning environments that boost student satisfaction and performance. Full article
25 pages, 1806 KB  
Article
Prior-Knowledge-Guided Missing Data Imputation for Bridge Cracks: A Temperature-Driven SP-VMD-CNN-GRU Framework
by Xudong Chen, Huansen Wang, Hang Gao, Yong Liu, Zhaoma Pan, Qun Song, Huafeng Qin and Yun Jiang
Buildings 2026, 16(3), 669; https://doi.org/10.3390/buildings16030669 - 5 Feb 2026
Viewed by 100
Abstract
Data loss caused by sensor malfunctions in bridge Structural Health Monitoring (SHM) systems poses a critical risk to structural safety assessment. Although deep learning has advanced data imputation, standard “black-box” models often fail to capture the underlying deterioration mechanisms governed by physical laws. [...] Read more.
Data loss caused by sensor malfunctions in bridge Structural Health Monitoring (SHM) systems poses a critical risk to structural safety assessment. Although deep learning has advanced data imputation, standard “black-box” models often fail to capture the underlying deterioration mechanisms governed by physical laws. To address this limitation, we propose SP-VMD-CNN-GRU, a prior-knowledge-guided framework that integrates environmental thermal mechanisms with deep representation learning for bridge crack data imputation. Deviating from empirical parameter selection, we utilize the Granger causality test to statistically validate temperature as the primary driver of crack evolution. Leveraging this prior knowledge, we introduce a Shared Periodic Variational Mode Decomposition (SP-VMD) method to isolate temperature-dominated annual and daily periodic components from noise. These physically validated components serve as inputs to a hybrid CNN-GRU network, designed to simultaneously capture spatial correlations across sensor arrays and long-term temporal dependencies. Validated on real-world monitoring data from the Luo’an River Grand Bridge, our framework achieves the highest coefficient of determination (R2) of 0.9916 and the lowest Mean Absolute Percentage Error (MAPE) of 12.95%. Furthermore, statistical validation via Diebold–Mariano and Model Confidence Set tests proves that our physics-guided approach significantly surpasses standard baselines (TCN, LSTM), demonstrating the critical value of integrating prior knowledge into data-driven SHM. Full article
(This article belongs to the Special Issue AI-Powered Structural Health Monitoring: Innovations and Applications)
Show Figures

Figure 1

50 pages, 12478 KB  
Article
CorbuAI: A Multimodal Artificial Intelligence-Based Architectural Design (AIAD) Framework for Computer-Generated Residential Building Design
by Yafei Zhao, Ziyi Ying, Wanqing Zhao, Pengpeng Zhang, Rong Xia, Xuepeng Shi, Yanfei Ning, Mengdan Zhang, Xiaoju Li and Yanjun Su
Buildings 2026, 16(3), 668; https://doi.org/10.3390/buildings16030668 - 5 Feb 2026
Viewed by 88
Abstract
Integrating artificial intelligence (AI) into residential architectural design faces challenges due to fragmented workflows and the lack of localized datasets. This study proposes the CorbuAI framework, hypothesizing that a multimodal AI system integrating Pix2pix-GAN and Stable Diffusion (SD) can streamline the transition from [...] Read more.
Integrating artificial intelligence (AI) into residential architectural design faces challenges due to fragmented workflows and the lack of localized datasets. This study proposes the CorbuAI framework, hypothesizing that a multimodal AI system integrating Pix2pix-GAN and Stable Diffusion (SD) can streamline the transition from floor plan generation to elevation and interior design within a specific regional context. We developed a custom dataset featuring 2335 manually refined Chinese residential floor plans and 1570 elevation images. The methodology employs a specialized U-Net V2.0 generator for functional layout synthesis and an SD-based model for stylistic transfer and elevation rendering. Evaluation was conducted through both subjective professional scoring and objective metrics, including the Perceptual Hash Algorithm (pHash). Results demonstrate that CorbuAI achieves high accuracy in spatial allocation (scoring 0.88/1.0) and high structural consistency in elevation generation (mean pHash similarity of 0.82). The framework significantly reduces design iteration time while maintaining professional aesthetic standards. This research provides a scalable AI-driven methodology for automated residential design, bridging the gap between schematic layouts and visual representation in the Chinese architectural context. Full article
(This article belongs to the Special Issue Data-Driven Intelligence for Sustainable Urban Renewal)
26 pages, 7220 KB  
Article
Field Testing and Numerical Investigation of Mechanical Properties in Reinforced Steel–Wood Composite Formwork Systems
by Yang Yang, Tingting Wang, Gang Yao, Mingpu Wang, Rong Wang and Pengcheng Li
Buildings 2026, 16(3), 667; https://doi.org/10.3390/buildings16030667 - 5 Feb 2026
Viewed by 160
Abstract
Traditional steel–wood composite formwork systems often exhibit mechanical imbalances, such as high strength with insufficient stiffness or high stiffness with low toughness, under both ultimate and serviceability limit states. To address the deficiency, this paper proposes a novel reinforced steel–wood composite formwork system [...] Read more.
Traditional steel–wood composite formwork systems often exhibit mechanical imbalances, such as high strength with insufficient stiffness or high stiffness with low toughness, under both ultimate and serviceability limit states. To address the deficiency, this paper proposes a novel reinforced steel–wood composite formwork system (RSWC-FS). The system features a multi-layer plywood panel, ribbed cold-formed thin-walled Q235 steel secondary wales, and double-channel steel primary wales, interconnected by high-strength bolts to create a surface-to-surface bonded interface. This design enhances load transfer efficiency and mitigates stress concentration. Field testing was conducted on cast-in-place shear walls and frame columns, and corresponding finite element models were established in ANSYS for numerical analysis. The results demonstrate that the RSWC-FS delivers stable mechanical performance. The maximum stress of shear walls reaches 42.57 MPa and that of columns 49.98 MPa, while the corresponding displacements are 4.719 mm and 1.541 mm, all of which remain well within the allowable limits. Through an inverse analysis calibration process, optimal load partial factors of 1.26 for shear walls and 1.31 for columns are recommended, significantly reducing the deviation between calculated and measured values. The proposed RSWC-FS effectively resolves the mechanical imbalance inherent in traditional steel–wood composite formwork systems and demonstrates considerable potential for practical engineering application. Full article
(This article belongs to the Special Issue Innovation and Technology in Sustainable Construction)
Show Figures

Figure 1

13 pages, 3690 KB  
Article
Design and Development of a Regional Collaborative Platform for Construction Waste Management
by Hong-Ping Wang, Xin Qu, Hao Luo, Xingbin Chen and Hai-Ying Hu
Buildings 2026, 16(3), 666; https://doi.org/10.3390/buildings16030666 - 5 Feb 2026
Viewed by 70
Abstract
To address the “silo effect” in construction waste management and the inefficiency of resource allocation in large-scale, multi-section engineering projects, this study developed a cloud-based regional collaborative platform for construction waste management. The platform adopts a technical framework based on Java 1.8.0, Spring [...] Read more.
To address the “silo effect” in construction waste management and the inefficiency of resource allocation in large-scale, multi-section engineering projects, this study developed a cloud-based regional collaborative platform for construction waste management. The platform adopts a technical framework based on Java 1.8.0, Spring Boot 2.4.4, and MySQL 8.0.16, and integrates a visual interactive interface. It supports dynamic access, data entry, quality review, and scheduling of construction waste information across multiple sections and projects. Validated through a case study on the Changhu section of the Guangdong Guanshen–Changhu Expressway expansion project, the platform successfully achieved spatial–temporal optimization of 740 thousand cubic meters of diversified construction waste across seven sections. The comprehensive utilization rate of construction waste increased by more than 25%. Practice has shown that the platform effectively promotes carbon emission reduction in earthworks, enhances resource circularity, and provides digital support for construction quality control. This platform presents an innovative informatics-driven approach to construction waste management, serving as a replicable model. Full article
(This article belongs to the Section Construction Management, and Computers & Digitization)
32 pages, 4259 KB  
Article
Displacement Profile Equations for Performance-Based Seismic Design of Concentrically Braced Steel Frames
by Edwin Giovanny Morales and Ana Gabriela Haro-Báez
Buildings 2026, 16(3), 665; https://doi.org/10.3390/buildings16030665 - 5 Feb 2026
Viewed by 77
Abstract
This research focuses on characterizing typical displacement patterns in concentrically braced frame (CBF) systems for use in the direct displacement-based seismic design (DDBD) methodology. Using the finite-element program SeismoStruct, two-dimensional models were developed for nonlinear time–history analysis (NLTHA), employing scaled real accelerograms, conventional [...] Read more.
This research focuses on characterizing typical displacement patterns in concentrically braced frame (CBF) systems for use in the direct displacement-based seismic design (DDBD) methodology. Using the finite-element program SeismoStruct, two-dimensional models were developed for nonlinear time–history analysis (NLTHA), employing scaled real accelerograms, conventional gravity loads, and detailed numerical models. Thirty varied CBF configurations with different numbers of storeys, spans, and bracing types were evaluated. It was found that the conventional displacement profiles, commonly used for moment-resisting frames, do not accurately represent the actual behavior of CBFs in the inelastic range. Therefore, fitted equations were developed and validated to accurately represent the actual displacements of CBF systems, accounting for factors such as the fundamental vibration period and equivalent system damping. These improvements enable the seismic design optimization, advanced displacement and drift control, and strengthen structural safety and performance in high-seismicity zones in the region. This contribution is relevant to performance-based engineering, facilitating a plausible update to regulations and best practices for seismic-resistant design. Full article
(This article belongs to the Special Issue Analysis of Structural and Seismic Performance of Building Structures)
17 pages, 43279 KB  
Article
Comparative Analysis of Hybrid Bearing Layouts for Seismic Enhancement of Simply-Supported-to-Continuous Bridges
by Shuang Gong, Junjin Li, Zegang Song, Peiqi He and Ruogu Wang
Buildings 2026, 16(3), 664; https://doi.org/10.3390/buildings16030664 - 5 Feb 2026
Viewed by 146
Abstract
Seismic design for multi-span simply supported to continuous (SSC) bridges is complicated by the vulnerability of continuity joints and the interaction between substructure stiffness and superstructure dynamics. Although Lead Rubber Bearings (LRB) are standard in current practice, the optimization of their spatial layout [...] Read more.
Seismic design for multi-span simply supported to continuous (SSC) bridges is complicated by the vulnerability of continuity joints and the interaction between substructure stiffness and superstructure dynamics. Although Lead Rubber Bearings (LRB) are standard in current practice, the optimization of their spatial layout to balance displacement demands against force mitigation is often overlooked. This study evaluates the efficacy of hybrid bearing configurations that integrate LRBs with sliding bearings on the same pier. Using a 3D finite element model of a representative five-span prestressed concrete box girder bridge, 20 distinct layout schemes utilizing five different types of LRBs were systematically evaluated under El-Centro ground motions. Results show that a hybrid bearing configuration outperforms uniform isolation strategies. The fundamental efficacy of the proposed hybrid layout configuration is rooted in the establishment of a spatial stiffness gradient. This configuration concentrates hysteretic energy dissipation centrally while releasing transverse edge constraints. This also results in a higher seismic reduction rate for the transverse pier bottom bending moment compared to the longitudinal direction in the same pier. Compared to the non-isolated baseline, this hybrid scheme achieved a maximum reduction of 67.4% and 90.0% in longitudinal and transverse pier bottom bending moments, respectively. Main girder displacements, while increased by isolation, remained strictly within safe serviceability limits (peak 174.8 mm). This study provides a cost-effective optimization strategy for the seismic resilience design of SSC bridges. Full article
Show Figures

Figure 1

31 pages, 5726 KB  
Article
Inelastic Displacement Ratios for Degrading Concrete Systems Under Repeated Earthquakes
by Inci Akdeniz and Ashraf S. Ayoub
Buildings 2026, 16(3), 663; https://doi.org/10.3390/buildings16030663 - 5 Feb 2026
Viewed by 165
Abstract
This extensive work was carried out to demonstrate the variations in inelastic displacement ratios (IDR) of degrading concrete structures under repeated earthquakes. While the development of sophisticated methods for assessing the seismic demands under repeated earthquakes has been ongoing, these methods are still [...] Read more.
This extensive work was carried out to demonstrate the variations in inelastic displacement ratios (IDR) of degrading concrete structures under repeated earthquakes. While the development of sophisticated methods for assessing the seismic demands under repeated earthquakes has been ongoing, these methods are still based on simple material models. None of these models consider the degradation effect. Similarly, the seismic provisions currently in use do not consider repeated earthquakes. They assume that the structure resists the main shock only. The stiffness and strength of the structure is reduced as a result of initial loading, and likewise, the retrofitting of the structure cannot be provided in a brief time; hence, the successive shocks cause more structural damage or failure. Material deterioration effects are evident in structures that experience repeated earthquakes. Even though they survive under the main shock, they collapse under smaller aftershocks. This study comprises the simulation of repeated earthquakes, running simulations with degradation taking into account, preparing IDR curves, and comparing the results that show repeated earthquakes have a profound impact on the IDR of concrete structures compared to single earthquakes, and degradation provides significantly lower IDR values for both single and repeated earthquakes. Full article
Show Figures

Figure 1

22 pages, 6504 KB  
Article
Historical Study and Conservation Strategies of the University of Nanking—Architectural Heritage of the American Church School
by Zhanfang Hu, Hechi Wang, Siyu Lei, Zhen Yang and Qi Zhou
Buildings 2026, 16(3), 662; https://doi.org/10.3390/buildings16030662 - 5 Feb 2026
Viewed by 230
Abstract
The University of Nanking, founded in the early 20th century by an American mission in Nanjing, China, boasts a unique blend of Chinese and Western architectural styles, making it a valuable subject of research. Currently part of Nanjing University’s Gulou Campus, it has [...] Read more.
The University of Nanking, founded in the early 20th century by an American mission in Nanjing, China, boasts a unique blend of Chinese and Western architectural styles, making it a valuable subject of research. Currently part of Nanjing University’s Gulou Campus, it has been designated a National Key Cultural Relics Protection Unit by the Chinese government, which has also formulated a protection plan for the historical district of Nanking University. This paper uses this site as a case study, employing methods such as historical document review, on-site investigation, and architectural surveying to reveal a “growth-oriented” coordination mechanism between heritage preservation and development within the context of historical campus expansion. This mechanism involves maintaining the original spatial layout through adaptive reuse, presenting a development model of “new branches sprouting from an old trunk.” The study points out that campus expansion is the root cause of the “new versus old” contradiction in historical campuses, while the need for functional upgrades in school buildings is the driving force behind heritage preservation. Coordinating the development and functional optimization of new and old spaces can effectively enhance the vitality of historical campuses and achieve a balance between campus expansion and heritage preservation. This research provides a practical Chinese solution for the sustainable development of similar historical campuses. Full article
Show Figures

Figure 1

21 pages, 7173 KB  
Article
Influence of Fines Content and Particle Shape on Limiting Void Ratios of Sand Mixtures: DEM and AI Approaches
by Weichao Tang, Xiaoli Zhu, Zhehao Zhu, Huaqiao Zhong and Xiufeng Zhang
Buildings 2026, 16(3), 661; https://doi.org/10.3390/buildings16030661 - 5 Feb 2026
Viewed by 92
Abstract
The mechanical behavior of sand–fines mixtures is governed by their limiting void ratios, which are sensitive to fines content and particle morphology. Conventional empirical correlations often fail to generalize to a wide range of soils, limiting their applicability in engineering design. This study [...] Read more.
The mechanical behavior of sand–fines mixtures is governed by their limiting void ratios, which are sensitive to fines content and particle morphology. Conventional empirical correlations often fail to generalize to a wide range of soils, limiting their applicability in engineering design. This study develops an integrated approach combining laboratory calibration, discrete element method (DEM) simulations incorporating realistic particle morphologies and machine learning to predict maximum and minimum void ratios. Glass beads were first tested to validate DEM contact parameters, after which sand particles obtained through 3D scanning were employed to capture morphological effects. Correlation and partial least squares analyses confirmed fines content as the dominant factor, while particle shape also contributed to packing behavior. A fully connected neural network (FCNN) was trained to establish predictive relationships, demonstrating closer agreement with DEM simulations than traditional empirical formulations. The proposed approach provides a reliable and generalizable tool for evaluating packing characteristics and offers new insights into the role of particle morphology in the mechanical response of sand–fines mixtures. Full article
(This article belongs to the Section Building Materials, and Repair & Renovation)
Show Figures

Figure 1

17 pages, 3072 KB  
Article
Urban Riparian Green Corridors as Climate-Adaptive Infrastructure: Quantifying Ecological Thresholds for Cooling Performance and Sustainable Management
by Meijun Lu, Huiming Fan, Lu Yuan, Shaokun Li, Hongyan Wang, Yang Cao and Xiaxi Liuyang
Buildings 2026, 16(3), 660; https://doi.org/10.3390/buildings16030660 - 5 Feb 2026
Viewed by 89
Abstract
In the context of global climate change and rapid urbanization, integrating urban blue-green infrastructure into the built environment is essential for mitigating the urban heat island effect and enhancing climate resilience. Focusing on urban riparian corridors as vital natural cooling systems, this study [...] Read more.
In the context of global climate change and rapid urbanization, integrating urban blue-green infrastructure into the built environment is essential for mitigating the urban heat island effect and enhancing climate resilience. Focusing on urban riparian corridors as vital natural cooling systems, this study aims to: (1) quantify their cooling performance in terms of intensity and distance; (2) identify the key landscape drivers and their relative importance; (3) uncover nonlinear relationships and determine ecological thresholds for optimal thermal regulation; and (4) translate these findings into science-based guidelines for climate-adaptive design and sustainable management. Taking 27 representative riparian green spaces in Zhengzhou, China (average area: 17,539 m2, range: 10,027–42,690 m2) as a case study, nine key factors characterizing vegetation structure and composition, corridor morphology, and blue-green spatial pattern were used as predictors in a Boosted Regression Tree (BRT) model to analyze their contributions and marginal-effect thresholds. Results show that these corridors provide substantial cooling, with an average intensity of 5.43 °C extending over 215.56 m. Canopy Density, 3D Green Volume per Unit Area, and Green Cover Ratio emerged as the three core drivers, jointly explaining >86% of the cooling performance. The key innovation lies in identifying explicit, design-oriented ecological thresholds—for example, cooling efficacy stabilizes when Green Cover Ratio reaches ~77%, Canopy Density attains 0.7, and the Blue-Green Space Width Ratio approaches 1:1. These thresholds can be directly translated into performance benchmarks for sustainable urban planning and landscape engineering, providing evidence-based parameters for optimizing vegetation structure and spatial configuration. This study demonstrates that applying quantified ecological thresholds can transform riparian corridors into efficient climate-resilient infrastructure, thereby synergistically improving thermal comfort, enhancing ecosystem services, and promoting sustainable land use in urban environments. Full article
(This article belongs to the Section Architectural Design, Urban Science, and Real Estate)
Show Figures

Figure 1

26 pages, 2517 KB  
Article
A Simulation-Based Framework for Optimal Force Determination in Construction Robotics: A Case Study of Aluminum Formwork Removal
by Jaemin Kim, Taekyoung Yu, Mideum Lee, Jiyeon Kim, Seulki Lee and Jungho Yu
Buildings 2026, 16(3), 659; https://doi.org/10.3390/buildings16030659 - 5 Feb 2026
Viewed by 120
Abstract
The construction industry is increasingly challenged by an aging workforce and persistent labor shortages, underscoring the need for automation and the integration of construction robotics. However, the high uncertainty and variability of real construction environments impose significant constraints on robot design and deployment. [...] Read more.
The construction industry is increasingly challenged by an aging workforce and persistent labor shortages, underscoring the need for automation and the integration of construction robotics. However, the high uncertainty and variability of real construction environments impose significant constraints on robot design and deployment. In particular, accurately estimating the required operational force—without unnecessary overdesign—is essential for ensuring operational safety, energy efficiency, and battery endurance. Conducting on-site experiments that reflect diverse field conditions is often impractical, making simulation-based approaches a viable alternative. This study proposes a simulation-driven method for deriving energy-efficient, task-appropriate operational forces for construction robots. As a case study, an aluminum formwork dismantling operation was modeled in NVIDIA Isaac Sim, and a dataset of environmental variables was generated through random sampling. Sensitivity analysis revealed that the dynamic friction coefficient at the aluminum–aluminum interface had the greatest impact on the required dismantling force. To mitigate this influence, a lubrication strategy was introduced to reduce surface friction. With a 10% safety margin applied, the dismantling operation achieved a 99.5% success probability at an operational force of 50 N-representing an 11.71 N reduction and an 18.97% decrease compared to the non-lubricated scenario. These results demonstrate a practical and evidence-based approach for optimizing operational forces in construction robotics, contributing to reduced energy consumption, improved operational efficiency, and mitigation of construction schedule delays. Full article
(This article belongs to the Special Issue Large-Scale AI Models Across the Construction Lifecycle)
Show Figures

Figure 1

25 pages, 744 KB  
Review
Blockchain-Based Material Passports: A Review of Managing Built Asset Information for Material Circularity
by Abhishek KC, Sepani Senaratne, Srinath Perera and Samudaya Nanayakkara
Buildings 2026, 16(3), 658; https://doi.org/10.3390/buildings16030658 - 5 Feb 2026
Viewed by 140
Abstract
Material circularity in construction requires material information at the end of life for the trading of materials. Different digital technologies (DTs) are essential for such information management. This research aims to review key aspects of developing a blockchain-based material passports (MPs) system when [...] Read more.
Material circularity in construction requires material information at the end of life for the trading of materials. Different digital technologies (DTs) are essential for such information management. This research aims to review key aspects of developing a blockchain-based material passports (MPs) system when integrating with key DTs used for MPs. This research is based on a critical literature review, with an integrative approach that synthesises both academic and grey literature. The literature search was initiated using chosen keywords relevant to the topic to first identify the key literature. This was followed by using a snowballing technique to expand the search with further relevant literature. Building Information Modelling (BIM), digital twin (DTw) and blockchain technology (BCT) were identified as key technologies for material information management. BIM and DTw are central to the management process as all the information created and collected is modelled, visualised, analysed and stored using BIM platforms. However, existing MP platforms utilising centralised databases to store data were found to be unreliable for managing material data in an industry like construction with a dispersed supply chain and typically longer lifecycle. BCT was realised as necessary for information management in construction, as it allows us to manage information in a more decentralised, transparent and immutable manner. Furthermore, examining current research about blockchain application for information management in construction led to the conclusion that, although the studies on blockchain-based MP platforms covering the entire industry supply chain prevail, the management of material data at the built asset level throughout its lifecycle using such MP systems is underexplored. Thus, building on the literature review, a conceptual model of blockchain-based MP system is proposed in this paper, describing integration with BIM and DTw, and with relevant processes and actors to manage MP information throughout the building lifecycle. Acknowledging the limitations of a subjective literature review, the conceptual model and the ideas are proposed as a foundation for further research and develop MP system with empirical validation. Although theoretically, this study identifies the suitability of blockchain technology for managing product lifecycle information in industry like construction and provides ground for further theoretical research for planning and policy required for blockchain-based MP development and implementation. Full article
(This article belongs to the Special Issue Circular-Economy Solutions for Sustainable Building Materials)
Show Figures

Figure 1

23 pages, 5057 KB  
Article
Experimental Study on the Cyclic Behavior of Composite Plate Shear Walls–Concrete Encased
by Huafei Wang, Xiaoyong Mao, Qiang Gu, Xiaoyan Ding, Jiale Dong, Nan Wu and Yi Qi
Buildings 2026, 16(3), 657; https://doi.org/10.3390/buildings16030657 - 5 Feb 2026
Viewed by 136
Abstract
This paper presents an experimental study on the cyclic performance of large-scale composite plate shear walls–concrete encased (C-PSW/CE). Three C-PSW/CE specimens with concrete panels of different thicknesses were tested under cyclic loading. Their failure mode, lateral load–drift ratio relationship, strength and stiffness deterioration, [...] Read more.
This paper presents an experimental study on the cyclic performance of large-scale composite plate shear walls–concrete encased (C-PSW/CE). Three C-PSW/CE specimens with concrete panels of different thicknesses were tested under cyclic loading. Their failure mode, lateral load–drift ratio relationship, strength and stiffness deterioration, and hysteretic energy dissipation were systematically analyzed. Initial concrete cracking occurred at a drift ratio of approximately 0.24%, while the three specimens reached their load-bearing capacities at a drift ratio of 1.34%. The results demonstrated that concrete panel thickness significantly influences the buckling behavior of the steel web plate. Thicker concrete panels provide enhanced out-of-plane restraint stiffness, delaying steel plate buckling and shifting the failure mode from overall to local buckling. Furthermore, an increased concrete thickness improves both the load-bearing and hysteretic energy dissipation capacities of the walls. These findings offer valuable insights for the design and application of C-PSW/CE in seismic-resistant structures. Full article
(This article belongs to the Section Building Structures)
Show Figures

Figure 1

27 pages, 1664 KB  
Review
Advanced Sensing and Digital Monitoring Technologies for Structural Health Assessment of Civil Infrastructure
by Arvindan Sivasuriyan, Dhanasingh Sivalinga Vijayan, Anna Piętocha, Wojciech Górski, Łukasz Wodzyński and Eugeniusz Koda
Buildings 2026, 16(3), 656; https://doi.org/10.3390/buildings16030656 - 5 Feb 2026
Viewed by 249
Abstract
Structural health monitoring (SHM) has evolved into an indispensable component for ensuring the safety, durability, and life-cycle efficiency of civil infrastructure. Over the past five years, significant technological advancements have been made in innovative sensing systems, facilitating real-time assessment of structural performance and [...] Read more.
Structural health monitoring (SHM) has evolved into an indispensable component for ensuring the safety, durability, and life-cycle efficiency of civil infrastructure. Over the past five years, significant technological advancements have been made in innovative sensing systems, facilitating real-time assessment of structural performance and the early detection of deterioration. This comprehensive review presents recent developments in smart sensor-based SHM, with particular emphasis on the convergence of the Internet of Things (IoT), artificial intelligence (AI), and digital twin (DT) frameworks. Our review critically examines advances in fiber-optic, piezoelectric, MEMS-based, vision-based, acoustic, and environmental sensors, as well as emerging multi-sensor fusion architectures. In addition, bibliometric insights highlight the significant rise in global research activity and influential thematic clusters in SHM between 2020 and 2025. The discussion underscores how AI-integrated data analytics, IoT-enabled wireless networks, and DT-driven virtual replicas enable intelligent, autonomous, and predictive monitoring of bridges, buildings, tunnels, and other large-scale civil infrastructure. Field deployments and case studies are analyzed to bridge the gap between laboratory-scale demonstrations and real-world implementation. Finally, key scientific and practical challenges—including the durability of embedded sensors, the interoperability of heterogeneous data, cybersecurity in connected systems, and the explainability of AI models—are outlined to guide future research. Overall, this review positions contemporary SHM as a transition from traditional damage detection to comprehensive life-cycle management of infrastructure through self-diagnosing, data-centric, and sustainability-driven monitoring ecosystems. Full article
Show Figures

Figure 1

24 pages, 5593 KB  
Article
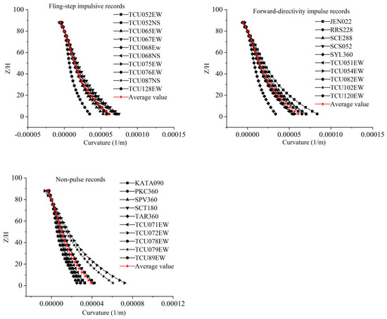
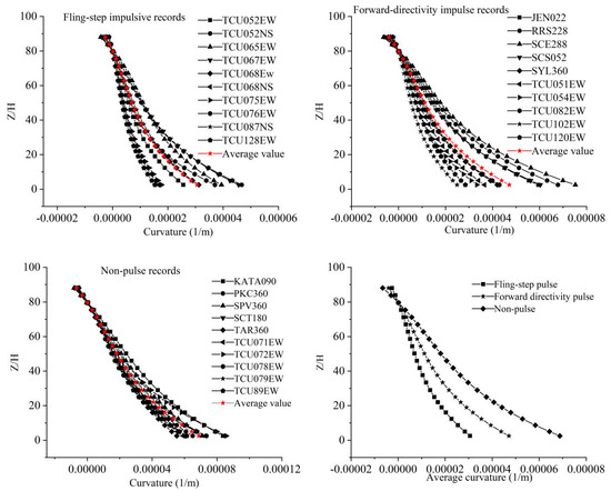
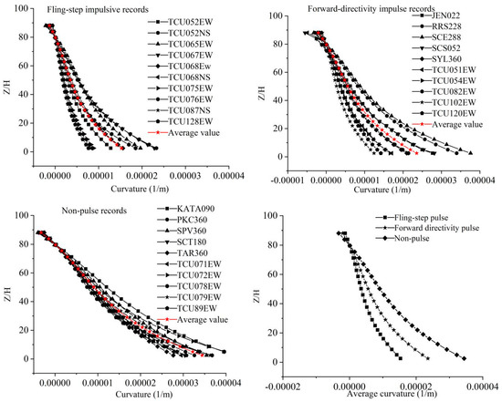
Study of Response Characteristics and Strength Parameter Evaluation of Water Intake Tower Under Different Amplitude Modulation Modes
by Xi Chen, Dong Cheng, Binpeng Zhou and Xiaoxiao Liu
Buildings 2026, 16(3), 655; https://doi.org/10.3390/buildings16030655 - 4 Feb 2026
Viewed by 169
Abstract
This study selected a simplified water intake tower model, simplifying the physical structure into a cantilever model, and MATLAB software (R2010b) was used to develop a rapid seismic response analysis program for the structure. Thirty near-fault pulse and non-pulse ground motions were selected [...] Read more.
This study selected a simplified water intake tower model, simplifying the physical structure into a cantilever model, and MATLAB software (R2010b) was used to develop a rapid seismic response analysis program for the structure. Thirty near-fault pulse and non-pulse ground motions were selected as the input ground motions for this analysis. Peak ground velocity (PGV) was used as the intensity parameter for the ground motions. The acceleration, cross-sectional rotation, and lateral curvature of the simplified water intake tower model were calculated for ground motions modulated with different PGA amplitudes. The acceleration, maximum shear force, and cross-sectional rotation of the simplified water intake tower model were also calculated for ground motions modulated with improved effective peak acceleration (IEPA) and improved effective peak velocity (IEPV). The study showed that the seismic response of the simplified water intake tower model for near-fault ground motions modulated with different intensities of PGV amplitude modulation was closer to the unmodulated response order. PGV as an intensity parameter did not affect the acceleration response amplification factor of the water intake tower and hoist chamber. The AC coefficient indicated that PGV was less suitable for pulse-type earthquake amplitude modulation than PGA. Compared with PGA amplitude modulation, IEPA amplitude modulation is more suitable for pulse-type seismic motion, while IEPV amplitude modulation has less impact on pulse-type seismic motion. Full article
(This article belongs to the Section Building Structures)
Show Figures

Figure 1

Previous Issue
Back to TopTop