Impact of Elevated Curing Temperatures on the Expansion Mechanism and Microstructure of Fly-Ash-Blended Cementitious Materials Incorporating HCSA
Abstract
1. Introduction
2. Materials and Methods
2.1. Materials
2.2. Sample Preparation
2.3. Testing Procedures
2.3.1. Restrained Expansion Ratio Tests
2.3.2. Compressive and Flexural Strength Tests
2.3.3. LF-NMR Tests
2.3.4. XRD Tests
2.3.5. TG-DTG Tests
2.3.6. SEM Tests
3. Results
3.1. Restrained Expansion Ratio
3.2. Mechanical Properties
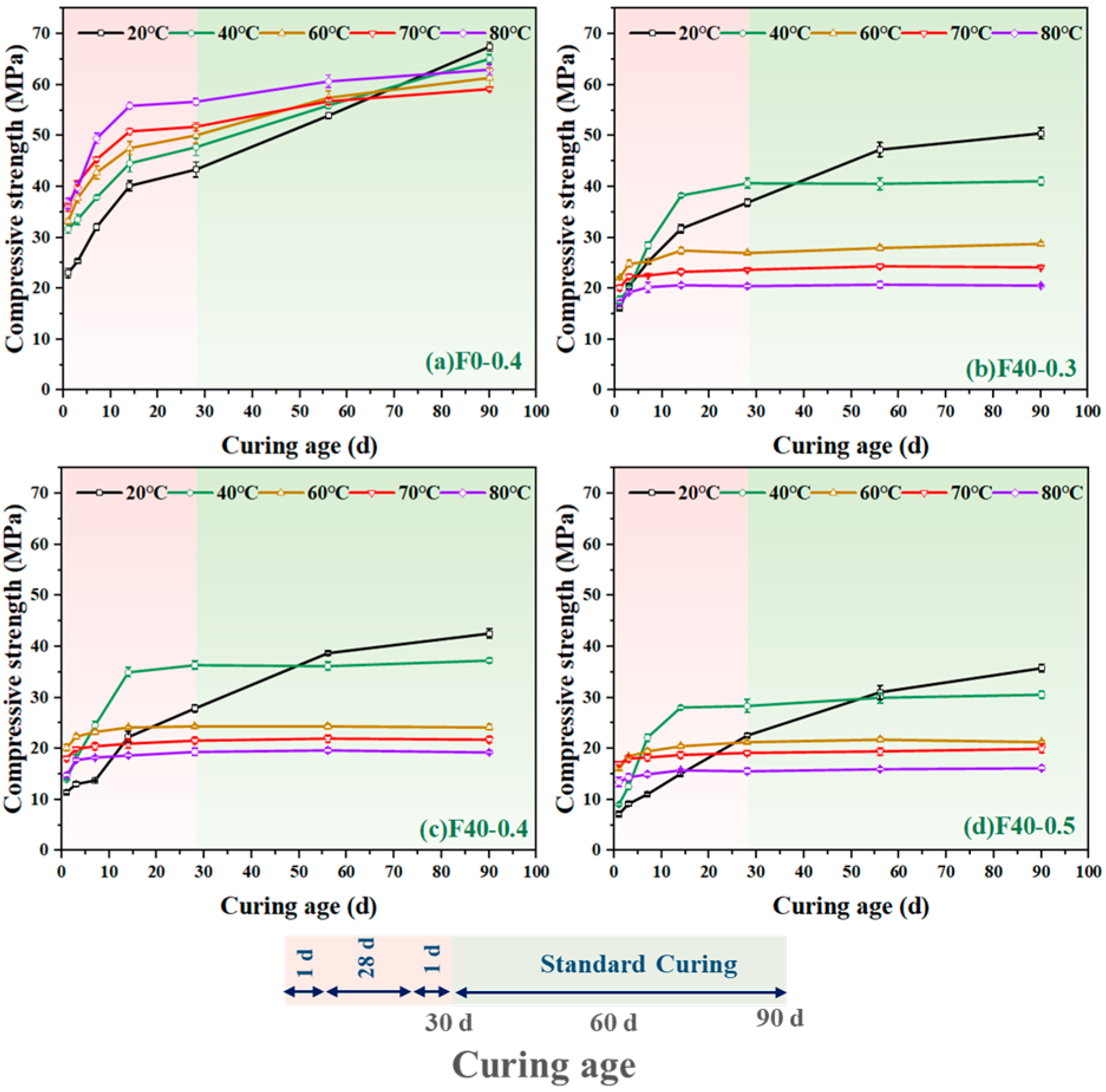
3.2.1. Compressive Strength
3.2.2. Flexural Strength
3.2.3. Expansive Stress
3.3. LF-NMR
3.3.1. Pore Distribution
3.3.2. Total Porosity
3.3.3. Quantitative Relationship Between Pore Distribution and Compressive Strength
3.4. XRD
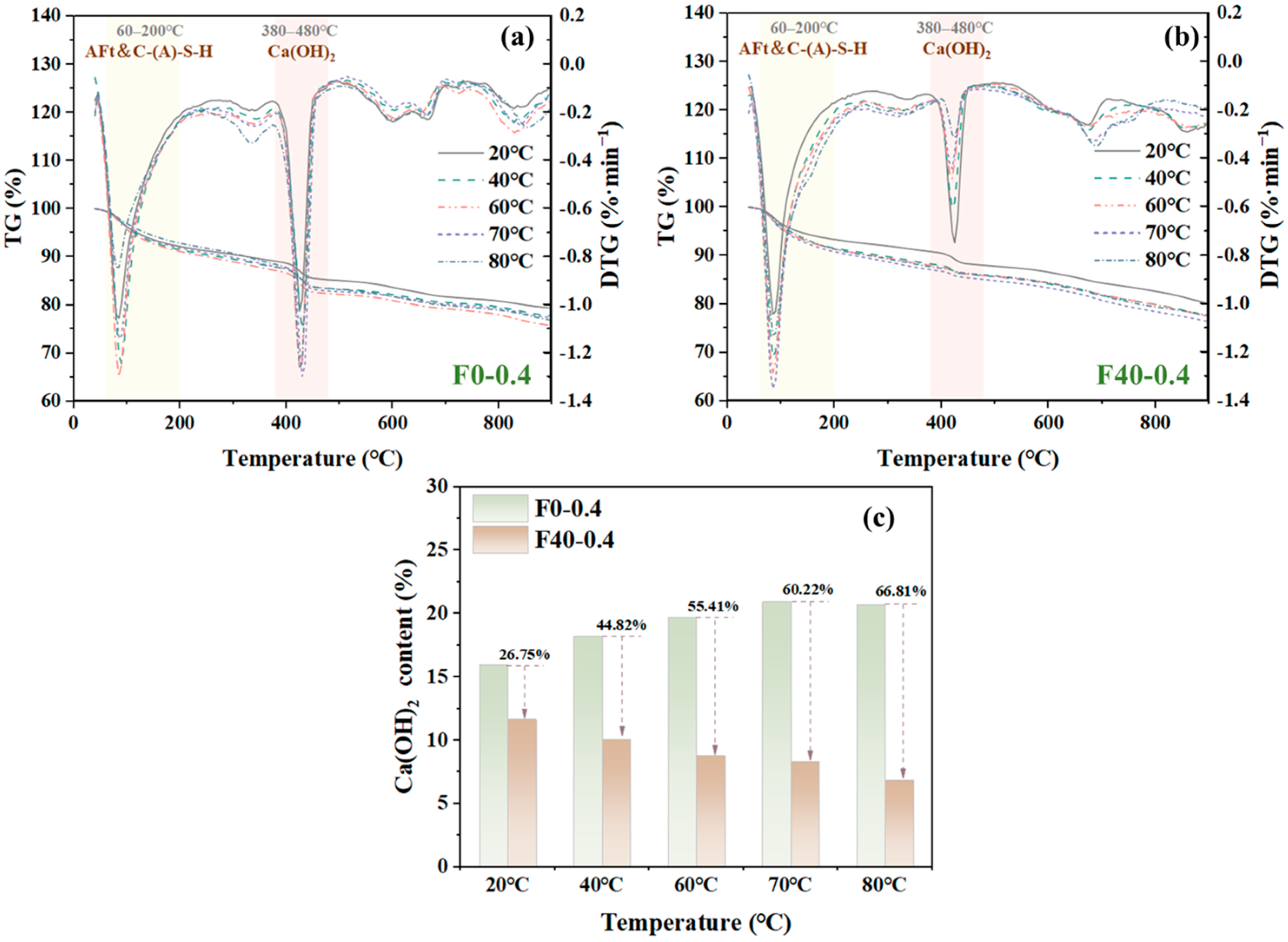
3.5. TG-DTG
3.6. SEM
4. Discussion
5. Conclusions
- (1)
- A critical performance threshold of approximately 60 °C governs expansion behaviour, fundamentally linked to the thermal stability of AFt. The restrained expansion ratio peaked at 60 °C, corresponding to the maximum AFt content measured by XRD. At temperatures ≥ 70 °C, the thermal decomposition of AFt into AFm occurred, leading to a significant attenuation of expansive capacity. This phase change was directly observed via SEM, showing the formation of AFm crystals and a morphological transition of AFt from needle-like to prismatic forms.
- (2)
- The degradation of mechanical properties results from the combined effects of early-age expansive stress and deterioration of the pore structure. While high temperatures accelerated early hydration and boosted short-term strength, they impeded long-term strength development. Calculations indicated that at temperatures ≥ 40 °C, the early-age expansive stress exceeded the material’s tensile strength, readily causing microcracks. LF-NMR analysis confirmed that curing at ≥ 70 °C caused a drastic increase (3 to 5 times the values at 20 °C) in the volumes of transition and capillary pores, indicating severe pore coarsening. This is identified as the primary microstructural cause for the stagnation and retrogression of strength.
- (3)
- DEF constitutes a major long-term risk following high-temperature curing. XRD and SEM monitoring confirmed that in specimens initially cured at 70–80 °C and subsequently transferred to standard curing, the AFm content decreased while AFt recovered, clearly demonstrating the occurrence of DEF. This process is the fundamental reason for the renewed increase in expansion rate during the later stages of standard curing for the high-temperature groups, posing a potential risk of late-age cracking.
- (4)
- FA and w/b ratio play modulating roles. FA suppressed later-age expansion at ambient temperature but could enhance expansion stability within the 40–60 °C range. However, at temperatures ≥ 70 °C, FA exacerbated pore coarsening and was detrimental to strength development. Increasing the w/b ratio generally reduced both the expansion ratio and strength but increased the resistance to DEF after high-temperature curing.
Author Contributions
Funding
Data Availability Statement
Conflicts of Interest
References
- Liu, F.; Shen, S.-L.; Hou, D.-W.; Arulrajah, A.; Horpibulsuk, S. Enhancing behavior of large volume underground concrete structure using expansive agents. Constr. Build. Mater. 2016, 114, 49–55. [Google Scholar] [CrossRef]
- Cai, Y.; Wang, F.; Zhao, Z.; Lyu, Z.; Wang, Y.; Zou, P. Early-hydration heat and influencing factor analysis of large-volume concrete box girder based on equivalent age. Structures 2023, 50, 1699–1713. [Google Scholar] [CrossRef]
- Wu, H.; Hu, X.; Liu, J. Investigations of the hydration heat of large-volume precast concrete bent caps using layered pouring and a new temperature control measure. Case Stud. Constr. Mater. 2024, 20, e03296. [Google Scholar] [CrossRef]
- Ma, W.; Li, H.; Chen, X.; Wang, J.; Feng, S.; Xiao, C.; Shi, M. Large-volume dam pier concrete hygro–thermo–mechanical model for crack cause analysis and active control. Struct. Control Health Monit. 2025, 2025, 6228726. [Google Scholar] [CrossRef]
- Yan, P.; Qin, X. The effect of expansive agent and possibility of delayed ettringite formation in shrinkage-compensating massive concrete. Cem. Concr. Res. 2001, 31, 335–337. [Google Scholar] [CrossRef]
- Pan, Z.; Zhu, Y.; Zhang, D.; Chen, N.; Yang, Y.; Cai, X. Effect of expansive agents on the workability, crack resistance and durability of shrinkage-compensating concrete with low contents of fibers. Constr. Build. Mater. 2020, 259, 119768. [Google Scholar] [CrossRef]
- Gu, L.; Qin, X.; Feng, J. Experimental studies on the volume stability of mgo expansion agent in concrete. J. Build. Eng. 2023, 79, 107866. [Google Scholar] [CrossRef]
- Ji, X.; Wang, B.; Liu, M.; Zhang, W.; Ming, Y.; Ma, H. Expansion and creep of concrete with expansive agents at variable temperature. J. Build. Eng. 2024, 87, 108982. [Google Scholar] [CrossRef]
- Li, B.; Wu, C.; Li, Y.; Wang, S.; Jia, L.; Xia, D. Expansive behavior of high-strength self-stressing and self-compacting concrete: Experimental study and analytical model. Constr. Build. Mater. 2022, 353, 129080. [Google Scholar] [CrossRef]
- Mehdipour, I.; Khayat, K.H. Effect of shrinkage reducing admixture on early expansion and strength evolution of calcium sulfoaluminate blended cement. Cem. Concr. Compos. 2018, 92, 82–91. [Google Scholar] [CrossRef]
- Yan, P.; Zheng, F.; Peng, J.; Qin, X. Relationship between delayed ettringite formation and delayed expansion in massive shrinkage-compensating concrete. Cem. Concr. Compos. 2004, 26, 687–693. [Google Scholar] [CrossRef]
- Heinz, D.; Ludwig, U. Mechanism of secondary ettringite formation in mortars and concretes subjected to heat treatment. ACI Symp. Publ. 1987, 100, 2059–2072. [Google Scholar]
- Yan, P.; Qin, X.; Yang, W.; Peng, J. The semiquantitative determination and morphology of ettringite in pastes containing expansive agent cured in elevated temperature. Cem. Concr. Res. 2001, 31, 1285–1290. [Google Scholar] [CrossRef]
- Brown, P.W.; Bothe, J.V., Jr. The stability of ettringite. Adv. Cem. Res. 1993, 5, 47–63. [Google Scholar] [CrossRef]
- Feng, J.; Miao, M.; Yan, P. The effect of curing temperature on the properties of shrinkage-compensated binder. Sci. China Technol. Sci. 2011, 41, 869–875. [Google Scholar] [CrossRef]
- Wang, L.; Shu, C.; Jiao, T.; Han, Y.; Wang, H. Effect of assembly unit of expansive agents on the mechanical performance and durability of cement-based materials. Coatings 2021, 11, 731. [Google Scholar] [CrossRef]
- Yoon, S.; Choi, W.; Jeon, C. Mock-up performance evaluation study for crack reduction of blast furnace slag powder concrete mixed with expansive and swelling admixtures. Sci. Rep. 2024, 14, 2399. [Google Scholar] [CrossRef]
- Ayub, T.; Khan, S.U.; Memon, F.A. Mechanical characteristics of hardened concrete with different mineral admixtures: A review. Sci. World J. 2014, 2014, 875082. [Google Scholar] [CrossRef]
- Zou, C.; Long, G.; Xie, Y.; He, J.; Ma, C.; Zeng, X. Evolution of multi-scale pore structure of concrete during steam-curing process. Micropor. Mesopor. Mater. 2019, 288, 109566. [Google Scholar] [CrossRef]
- He, J.; Long, G.; Ma, K.; Xie, Y.; Ma, C. Hydration heat evolution of portland cement paste during unsteady steam curing process: Modelling and optimization. Thermochim. Acta 2020, 694, 178784. [Google Scholar] [CrossRef]
- Richardson, I. Tobermorite/jennite- and tobermorite/calcium hydroxide-based models for the structure of c-s-h: Applicability to hardened pastes of tricalcium silicate, β-dicalcium silicate, portland cement, and blends of portland cement with blast-furnace slag, metakaolin, or silica fume. Cem. Concr. Res. 2004, 34, 1733–1777. [Google Scholar]
- Lothenbach, B.; Winnefeld, F.; Alder, C.; Wieland, E.; Lunk, P. Effect of temperature on the pore solution, microstructure and hydration products of portland cement pastes. Cem. Concr. Res. 2007, 37, 483–491. [Google Scholar] [CrossRef]
- Cao, Y.; Detwiler, R.J. Backscattered electron imaging of cement pastes cured at elevated temperatures. Cem. Concr. Res. 1995, 25, 627–638. [Google Scholar] [CrossRef]
- GB/T 23439-2017; Expansion Agents for Concrete. Standardization Administration of China: Beijing, China, 2017.
- GB/T 17671-2021; Test Method of Cement Mortar Strength (ISO Method). Standardization Administration of China: Beijing, China, 2021.
- Chen, B.; Zhang, Y.; Chen, Q.; Yang, F.; Liu, X.; Wu, J.; Wang, P. Effect of mineral composition and w/c ratios to the growth of aft during cement hydration by in-situ powder x-ray diffraction analysis. Materials 2020, 13, 4963. [Google Scholar] [CrossRef]
- Venkataramanan, L.; Song, Y.Q.; Hürlimann, M.D. Solving fredholm integrals of the first kind with tensor product structure in 2 and 2.5 dimensions. Trans. Sig. Proc. 2002, 50, 1017–1026. [Google Scholar] [CrossRef]
- Zhou, C.; Ren, F.; Wang, Z.; Chen, W.; Wang, W. Why permeability to water is anomalously lower than that to many other fluids for cement-based material? Cem. Concr. Res. 2017, 100, 373–384. [Google Scholar] [CrossRef]
- Zhou, C.; Ren, F.; Zeng, Q.; Xiao, L.; Wang, W. Pore-size resolved water vapor adsorption kinetics of white cement mortars as viewed from proton nmr relaxation. Cem. Concr. Res. 2018, 105, 31–43. [Google Scholar] [CrossRef]
- Scrivener, K.; Snellings, R.; Lothenbach, B. A Practical Guide to Microstructural Analysis of Cementitious Materials, 1st ed.; CRC Press: Boca Raton, FL, USA, 2016. [Google Scholar]
- Blinc, R.; Burgar, M.; Lahajnar, G.; Rožmarin, M.; Rutar, V.; Kocuvan, I.; Uršič, J. Nmr relaxation study of adsorbed water in cement and c3s pastes. J. Am. Ceram. Soc. 1978, 61, 35–37. [Google Scholar] [CrossRef]
- Ren, F.; Chen, X.; Zeng, Q.; Zhou, C. Effects of pure carbonation on pore structure and water permeability of white cement mortars. Cement 2022, 9, 100040. [Google Scholar] [CrossRef]
- Xie, E.; Zhou, C.; Song, Q.; Zeng, Q.; Wang, Z. The effect of chemical aging on water permeability of white cement mortars in the context of sol–gel science. Cem. Concr. Compos. 2020, 114, 103812. [Google Scholar] [CrossRef]
- Miao, M. Influence of Binding Materialcomposition and Temperature on Thedeformation of Shrinkage-Compensating Concrete. Ph.D. Thesis, Tsinghua University, Beijing, China, 2012. [Google Scholar]
- Han, F.; Zhang, Z. Hydration, mechanical properties and durability of high-strength concrete under different curing conditions. J. Therm. Anal. Calorim. 2018, 132, 823–834. [Google Scholar] [CrossRef]
- Wang, Y.; Chen, Y.; Guo, B.; Zhang, S.; Tong, Y.; Niu, D. Study on the strength and hydration behavior of sulfate-resistant cement in high geothermal environment. Materials 2022, 15, 2790. [Google Scholar] [CrossRef]
- Chen, I.A.; Hargis, C.W.; Juenger, M.C.G. Understanding expansion in calcium sulfoaluminate–belite cements. Cem. Concr. Res. 2012, 42, 51–60. [Google Scholar] [CrossRef]
- Li, Z.; Zhou, X.; Ma, H.; Hou, D. Advanced Concrete Technology; John Wiley & Sons, Inc.: Hoboken, NJ, USA, 2011. [Google Scholar]
- Liao, W.-C.; Chen, P.-S.; Hung, C.-W.; Wagh, S.K. An innovative test method for tensile strength of concrete by applying the strut-and-tie methodology. Materials 2020, 13, 2776. [Google Scholar] [CrossRef]
- Gu, C.; Yao, J.; Yang, Y.; Huang, J.; Ma, L.; Ni, T.; Liu, J. The relationship of compressive strength and chemically bound water content of high-volume fly ash-cement mortar. Materials 2021, 14, 6273. [Google Scholar] [CrossRef]
- Lian, H.Z.; Tong, L.; Chen, A.Y. Fundamentals of Phase Research in Building Materials; Tsinghua University Press: Beijing, China, 1996. [Google Scholar]
- Barnett, S.J.; Soutsos, M.N.; Millard, S.G.; Bungey, J.H. Strength development of mortars containing ground granulated blast-furnace slag: Effect of curing temperature and determination of apparent activation energies. Cem. Concr. Res. 2006, 36, 434–440. [Google Scholar] [CrossRef]
- Ryshkewitch, E. Compression strength of porous sintered alumina and zirconia. J. Am. Ceram. Soc. 1953, 36, 65–68. [Google Scholar] [CrossRef]
- Odler, I.; Rößler, M. Investigations on the relationship between porosity, structure and strength of hydrated portland cement pastes. Ii. Effect of pore structure and of degree of hydration. Cem. Concr. Res. 1985, 15, 401–410. [Google Scholar] [CrossRef]
- Evju, C.; Hansen, S. The kinetics of ettringite formation and dilatation in a blended cement with β-hemihydrate and anhydrite as calcium sulfate. Cem. Concr. Res. 2005, 35, 2310–2321. [Google Scholar] [CrossRef]
- Zhang, G.; Wei, Q.; Ding, Q.; Wang, A.; Liu, K. Effect of curing temperature and fly ash content on the hydration and microstructure of fly ash–cement pastes. J. Sustain. Cem. Mater. 2018, 7, 372–383. [Google Scholar] [CrossRef]
- Park, B.; Choi, Y.C. Hydration and pore-structure characteristics of high-volume fly ash cement pastes. Con. Build. Mater. 2021, 278, 122390. [Google Scholar] [CrossRef]
- Fu, J.-X.; Wang, K.; Wang, J. Internal pore evolution and early hydration characterization of fly ash cement backfill. J. Build. Eng. 2023, 72, 106716. [Google Scholar] [CrossRef]
- Wang, C.; Jin, Z.; Li, J.; Dong, W.; Chen, R.; Yang, Y.; Chen, Y.; Wang, D.; Pang, B. Experimental study on early shrinkage and later expansion of concrete under a simulated geothermal environment. J. Build. Eng. 2023, 72, 106493. [Google Scholar] [CrossRef]
- Feng, J.J.; Zhou, C.L.; Wang, X.Q. Deterioration of cement-fly ash composite binder materials exposed to elevated temperature. Mater. Sci. Forum 2013, 743–744, 228–233. [Google Scholar] [CrossRef]

















| Sample | w/b | s/b | Cement (%) | FA (%) | HCSA (%) |
|---|---|---|---|---|---|
| F0-0.4 | 0.4 | 2.0 | 92 | 0 | 8 |
| F40-0.4 | 0.4 | 52 | 40 | ||
| F40-0.3 | 0.3 | 52 | 40 | ||
| F40-0.5 | 0.5 | 52 | 40 |
| Temperature/°C | 20 | 40 | 60 | 70 | 80 | |||||
|---|---|---|---|---|---|---|---|---|---|---|
| Stress | σE | σT | σE | σT | σE | σT | σE | σT | σE | σT |
| F0-0.4 | 0.29 | 1.62–2.08 | 1.09 | 2.22–2.85 | 1.34 | 2.32–2.99 | 1.10 | 2.51–3.23 | 1.16 | 2.57–3.30 |
| F40-0.3 | 0.51 | 1.13–1.45 | 2.26 | 1.25–1.60 | 2.56 | 1.55–1.99 | 2.21 | 1.14–1.82 | 2.14 | 1.20–1.54 |
| F40-0.4 | 0.49 | 0.81–1.04 | 1.43 | 0.98–1.26 | 1.60 | 1.41–1.82 | 1.39 | 1.27–1.63 | 1.28 | 1.04–1.33 |
| F40-0.5 | 0.17 | 0.50–0.65 | 0.86 | 0.64–0.82 | 1.24 | 1.13–1.45 | 0.82 | 1.20–1.54 | 0.72 | 0.95–1.22 |
Disclaimer/Publisher’s Note: The statements, opinions and data contained in all publications are solely those of the individual author(s) and contributor(s) and not of MDPI and/or the editor(s). MDPI and/or the editor(s) disclaim responsibility for any injury to people or property resulting from any ideas, methods, instructions or products referred to in the content. |
© 2026 by the authors. Licensee MDPI, Basel, Switzerland. This article is an open access article distributed under the terms and conditions of the Creative Commons Attribution (CC BY) license.
Share and Cite
Wang, K.; Zhao, W.; Qu, J.; Gu, L.; Wang, J.; Liang, X.; Ren, F.; Feng, J. Impact of Elevated Curing Temperatures on the Expansion Mechanism and Microstructure of Fly-Ash-Blended Cementitious Materials Incorporating HCSA. Buildings 2026, 16, 680. https://doi.org/10.3390/buildings16030680
Wang K, Zhao W, Qu J, Gu L, Wang J, Liang X, Ren F, Feng J. Impact of Elevated Curing Temperatures on the Expansion Mechanism and Microstructure of Fly-Ash-Blended Cementitious Materials Incorporating HCSA. Buildings. 2026; 16(3):680. https://doi.org/10.3390/buildings16030680
Chicago/Turabian StyleWang, Kai, Wenjing Zhao, Jiawen Qu, Linan Gu, Jinlong Wang, Xunmei Liang, Fangzhou Ren, and Jingjing Feng. 2026. "Impact of Elevated Curing Temperatures on the Expansion Mechanism and Microstructure of Fly-Ash-Blended Cementitious Materials Incorporating HCSA" Buildings 16, no. 3: 680. https://doi.org/10.3390/buildings16030680
APA StyleWang, K., Zhao, W., Qu, J., Gu, L., Wang, J., Liang, X., Ren, F., & Feng, J. (2026). Impact of Elevated Curing Temperatures on the Expansion Mechanism and Microstructure of Fly-Ash-Blended Cementitious Materials Incorporating HCSA. Buildings, 16(3), 680. https://doi.org/10.3390/buildings16030680
