Study of Response Characteristics and Strength Parameter Evaluation of Water Intake Tower Under Different Amplitude Modulation Modes
Abstract
1. Introduction
2. Research into Rapid Analysis Method for Seismic Response Characteristics of Water Intake Tower Based on Simplified Mechanical Model
3. Response Characteristics and Strength Parameter Evaluation Analysis of PGV Intake Tower After Amplitude Modulation
3.1. PGV AM
3.2. Acceleration and Shear Response After PGV Amplitude Modulation
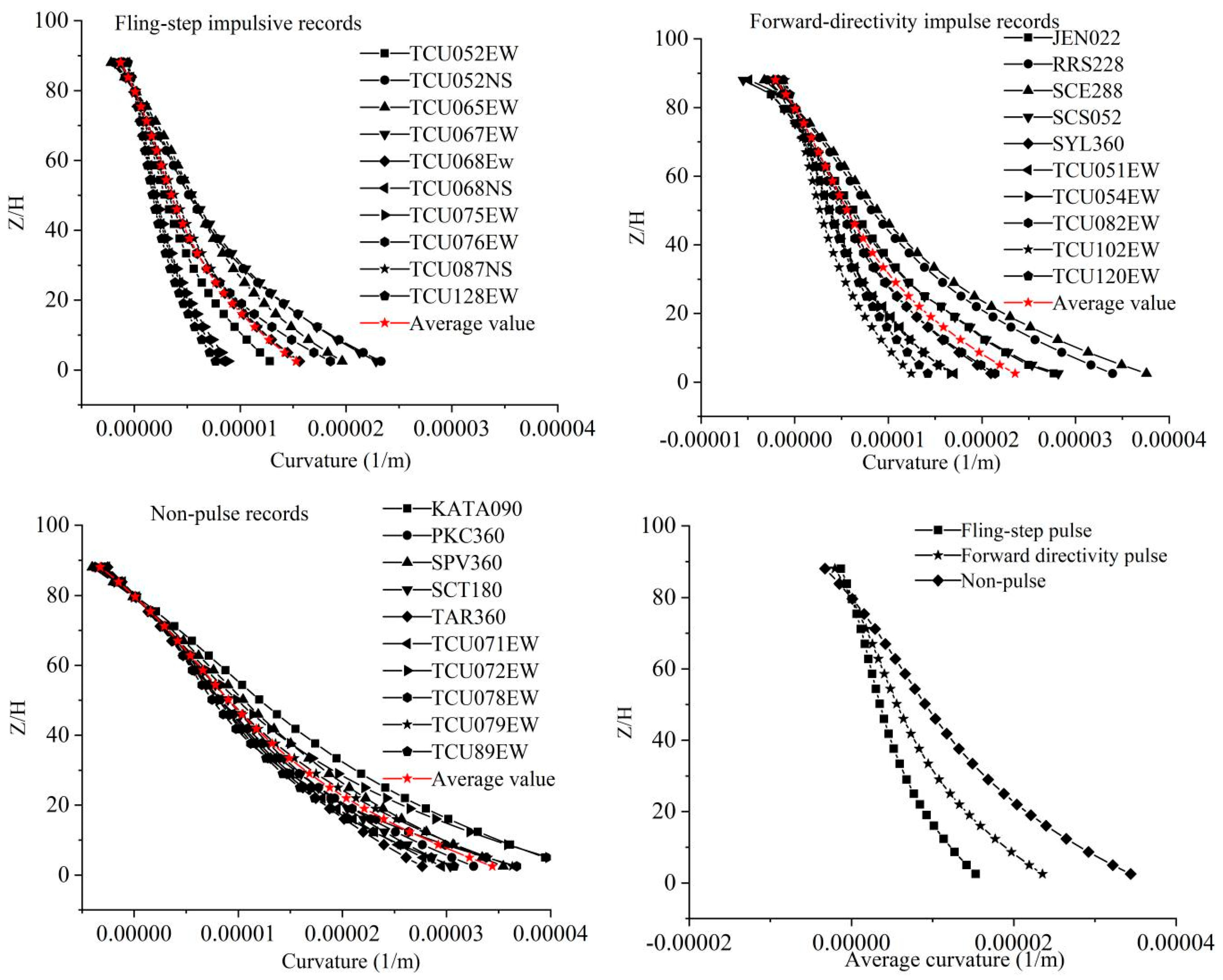
3.3. Evaluation of Cross-Sectional Rotation Angle and Lateral Deformation Curvature Response Characteristics and Strength Parameters After PGV Amplitude Modulation
4. Response Analysis of a Simplified Model of a Water Intake Tower Subjected to Near-Fault Ground Motion After IEPA Amplitude Modulation
4.1. Acceleration and Shear Response After IEPA Amplitude Modulation
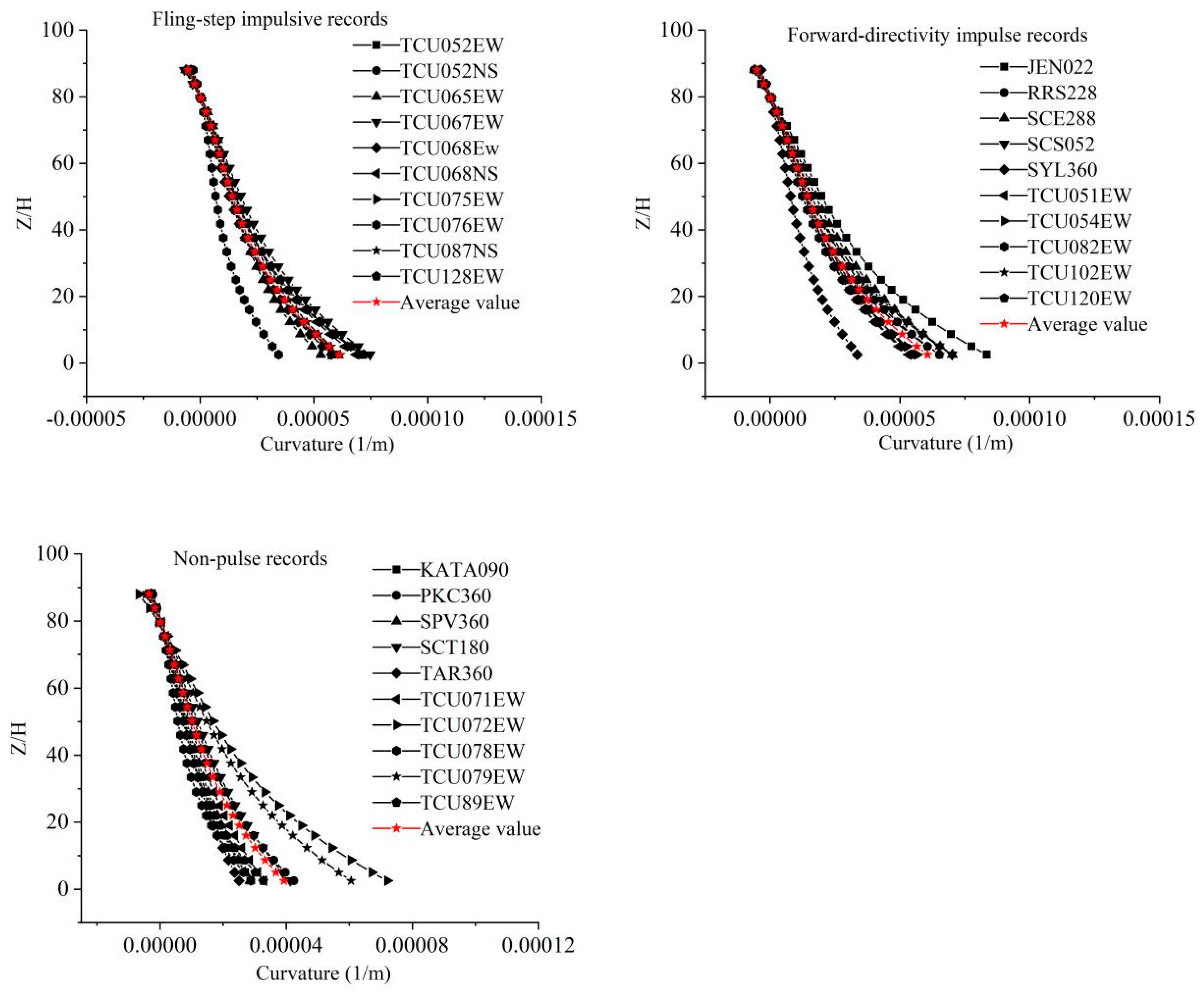
4.2. Evaluation of Cross-Sectional Rotation Angle and Lateral Deformation Curvature Response and Strength Parameters After IEPA Amplitude Modulation
5. Response Analysis of a Simplified Model of a Water Intake Tower Subjected to Near-Fault Ground Motion After IEPV Amplitude Modulation
5.1. Acceleration and Maximum Shear Response
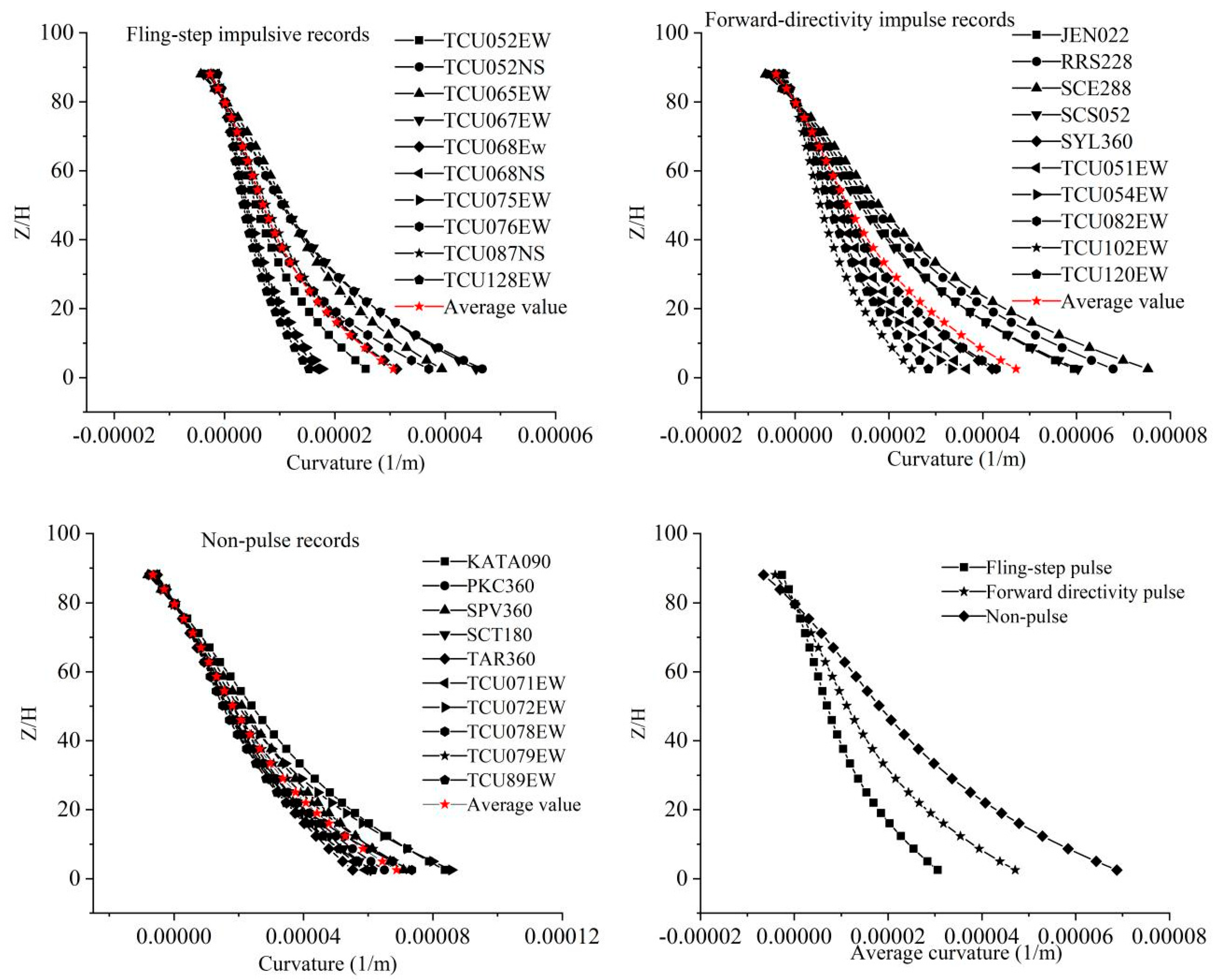
5.2. Segmental Section Rotation
6. Conclusions
- (1)
- Under the action of near-fault seismic motions after PGV modulation with three different intensities, the order of acceleration seismic responses of the simplified structures of the water intake tower and the hoist chamber is closer to the order of acceleration seismic responses without amplitude modulation. Compared with PGA modulation, the amplitude modulation using PGV as the intensity parameter does not affect the acceleration response amplification factor of the hoist chamber. From the observation of the AC coefficient of the water intake tower acceleration, the maximum shear force at the bottom, and the lateral curvature seismic response after amplitude modulation, it can be seen that the numerical change in PGV amplitude modulation has little effect on the pulse-type seismic motion response. PGV is not suitable as the amplitude modulation parameter for near-fault pulse-type seismic motions.
- (2)
- Based on observations of the AC coefficient from the amplified acceleration of the water intake tower, maximum shear force at the base, and lateral curvature seismic response, changes in the PGV intensity index value have virtually no effect on the AC coefficient of maximum shear force at the base for near-fault pulse seismic motion. They exert a slight influence on the AC coefficient of maximum shear force at the base for near-fault pulse seismic motion containing forward-directed pulses. Consequently, PGV is not suitable as an amplification parameter for near-fault pulse-type seismic motion.
- (3)
- The near-fault seismic motion was modulated using IEPA and IEPV, respectively. The calculation results of the water intake tower acceleration, bottom maximum shear force, and lateral curvature seismic response after amplitude modulation were observed. It can be seen that, compared with PGA amplitude modulation, the IEPA intensity parameter is more suitable for the amplitude modulation calculation of near-fault seismic motion and can better reflect the characteristics of near-fault seismic motion. Compared with IEPA amplitude modulation, the seismic response AC coefficient becomes smaller during IEPV amplitude modulation, indicating that IEPV amplitude modulation has less influence on near-fault seismic motion.
Author Contributions
Funding
Data Availability Statement
Conflicts of Interest
References
- Yue, M.; Wang, D.; Li, H.; Zhai, T. Response analysis of transmission tower-conductor system under near-fault ground motion. Earthq. Eng. Eng. Vib. 2005, 25, 116–125. [Google Scholar]
- Wang, C. Seismic Response Analysis of Steel Frame Structures Under Near-Fault Ground Motion. Master’s Thesis, Beijing Jiaotong University, Beijing, China, 2008. [Google Scholar]
- Amiri, J.V.; Davoodi, M.R.; Sahafi, A. Behavior of MRF structures designed according to IRAN seismic code (2800) subjected to near-fault ground motions. In Proceedings of the 14th World Conference on Earthquake Engineering, Beijing, China, 12–17 October 2008. [Google Scholar]
- Liao, W.I.; Loh, C.H.; Wan, S. Earthquake responses of RC moment frames subjected to near-fault ground motions. Struct. Des. Tall Build. 2001, 10, 219–229. [Google Scholar] [CrossRef]
- Li, S.; Xie, L. Influence of near-field pulse earthquake motion on reinforced concrete frame structures. J. Shenyang Jianzhu Univ. 2006, 22, 406–410. [Google Scholar]
- Zhang, B. Seismic Analysis of Frame and Bridge Structures Under Near-Field Earthquakes. Master’s These, Hunan University, Changsha, China, 2007. [Google Scholar]
- Chai, J.; Tang, T.; Liao, W. Numerical simulation of near-fault ground motions and induced structural responses. In Proceedings of the 13th World Conference on Earthquake Engineering, Vancouver, BC, Canada, 1–6 August 2004. [Google Scholar]
- Alavi, B.; Krawinkler, H. Strengthening of moment-resisting frame structures against near-fault ground motion effects. Earthq. Eng. Struct. Dyn. 2004, 33, 707–722. [Google Scholar] [CrossRef]
- Bayraktar, A.; Altunışık, A.C.; Sevim, B.; Kartal, M.E.; Türker, T.; Bilici, Y. Comparison of near- and far-fault ground motion effect on the nonlinear response of dam-reservoir-foundation systems. Nonlinear Dyn. 2009, 58, 655–673. [Google Scholar] [CrossRef]
- Zhang, S.; Wang, K.; Wang, G.; Tan, X. Influence of directivity of near-fault ground motion on cumulative damage characteristics of concrete gravity dams. Earthq. Eng. Eng. Vib. 2014, 43, 45–53. [Google Scholar]
- Wang, G.H.; Zhang, S.R.; Wang, C.; Yu, M. Seismic performance evaluation of dam-reservoir-foundation systems to near-fault ground motions. Nat. Hazards 2014, 72, 651–674. [Google Scholar] [CrossRef]
- Cheng, H.; Zhao, B.; Ma, Z. Seismic and stability analysis of shore-tower intake tower structure. Hydropower Energy Sci. 2011, 29, 94–96. [Google Scholar]
- Lefrancois, A.; Leger, P.; Bouaanani, N. Finite element seismic safety assessment of water intake structures. Finite Elem. Anal. Desing 2014, 83, 1–9. [Google Scholar] [CrossRef]
- Li, N.; Li, X.; Ren, T.; Lei, G. Dynamic response of Zipingpu water intake tower during the Wenchuan earthquake. Chin. J. Undergr. Space Eng. 2014, 10, 1128–1134. [Google Scholar]
- Dang, K.; Liu, Y.; Wang, Y.; Zhang, X. Vibration characteristics of the frame of the water intake tower hoist room of a hydropower station. South North Water Divers. Water Conserv. Sci. Technol. 2016, 14, 129–134. [Google Scholar]
- Alembagheri, M. Dynamics of submerged intake towers including interaction with dam and foundation. Soil Dyn. Earthq. Eng. 2016, 84, 108–119. [Google Scholar] [CrossRef]
- Alembagheri, M. Earthquake response of solitary slender freestanding intake towers. Soil Dyn. Earthq. Eng. 2016, 90, 1–14. [Google Scholar] [CrossRef]
- Dang, K.N.; Liu, Y.H.; Zhang, J.Y. Dynamic response analysis of intake tower in hydroelectric power station with high surrounding rock. Soil Dyn. Earthq. Eng. 2017, 19, 2019–2030. [Google Scholar] [CrossRef]
- Zhang, H.Y.; Zhang, L.J.; Wang, H.J.; Guan, C.N. Influences of the duration and frequency content of ground motions on the seismic performance of high-rise intake towers. Eng. Fail. Anal. 2018, 91, 481–495. [Google Scholar] [CrossRef]
- Pang, R.; Xu, B.; Kong, X.J.; Zhou, Y.; Zou, D. Seismic performance evaluation of high CFRD slopes subjected to near-fault ground motions based on generalized probability density evolution method. Eng. Geol. 2019, 28, 391–401. [Google Scholar] [CrossRef]
- Zou, D.G.; Han, H.C.; Ling, H.I.; Zhou, Y.; Liu, J. An approach for the real-time slip deformation coupled with strain softening of a high rockfill dam subjected to pulse-like ground motions. Soil Dyn. Earthq. Eng. 2019, 177, 30–46. [Google Scholar] [CrossRef]
- Altunisik, A.C.; Sesli, H.; Husem, M. Effect of near-fault ground motion with pulse signal on dynamic response of dam-reservoir-foundation systems. Gradevinar 2022, 74, 1059–1083. [Google Scholar]
- Zhai, Y.F.; Zhang, L.J.; Cui, B.H.; Zhang, H.; Ma, T. Evolution criteria of overall damage of concrete gravity dam body and foundation under near-fault ground motion. Structures 2022, 43, 594–605. [Google Scholar] [CrossRef]
- Wu, J.Y.; Yu, Q.Q.; Peng, Q.; Gu, X.-L. Seismic responses of liquid storage tanks subjected to vertical excitation of near-fault earthquakes. Eng. Struct. 2023, 289, 116284. [Google Scholar] [CrossRef]
- Choudhury, A.; Mishra, S.K.; Ghosh, P. Seismic demand amplification in earth dam by dynamic dam-reservoir interactions (DRI) under near fault pulse type ground motions. Eng. Geol. 2025, 344, 107853. [Google Scholar] [CrossRef]
- Cao, G. MATLAB Tutorial and Practice, 3rd ed.; Machinery Industry Press: Beijing, China, 2008. [Google Scholar]
- Boore, D.M.; Atkinson, G.M. Ground-motion prediction equations for the average horizontal component of PGA, PGV, and 5%-damped PSA at spectral periods between 0.01 s and 10.0 s. Earthq. Spectra 2008, 24, 99–138. [Google Scholar] [CrossRef]
- Nguyen, D.-D.; Thusa, B.; Azad, M.S.; Tran, V.-L.; Lee, T.-H. Identifying significant earthquake intensity measures for evaluating seismic damage and fragility of nuclear power plant structures. Nucl. Eng. Technol. 2020, 52, 192–205. [Google Scholar] [CrossRef]
- Chen, X.; Liu, Y.H.; Zhou, B.P.; Yang, D.X. Seismic response analysis of intake tower structure under near-fault ground motions with forward-directivity and fling-step effects. Soil Dyn. Earthq. Eng. 2020, 132, 106098. [Google Scholar] [CrossRef]
- Zhang, J.; Shen, Y.; Lu, T.; Yuan, Y.; Zhang, C. Sensitivity of EPA of ground motion to soil slope dynamic response. Sustainability 2022, 14, 16985. [Google Scholar] [CrossRef]
- Yang, D.X.; Pan, J.W.; Li, G. Non-structure-specific intensity measure parameters and characteristic period of near-fault ground motions. Earthq. Eng. Struct. Dyn. 2009, 38, 1257–1280. [Google Scholar] [CrossRef]





















| Parameter | Fling-Step Pulse | Fling-Step Pulse | Non-Pulse | |||||
|---|---|---|---|---|---|---|---|---|
| Acceleration (m/s2) | Ratio | AC | Acceleration (m/s2) | Ratio | AC | Acceleration (m/s2) | Ratio | |
| Top acceleration of hoist chamber (PGV = 18 cm/s) | 9.61 | 3.65 | 0.643 | 5.39 | 3.49 | 0.361 | 14.95 | 3.05 |
| Top acceleration of the intake tower (PGV = 18 cm/s) | 2.63 | 0.537 | 1.54 | 0.314 | 4.90 | |||
| Top acceleration of hoist chamber (PGA = 28 cm/s) | 14.95 | 3.65 | 0642 | 8.39 | 3.49 | 0.361 | 23.27 | 3.05 |
| Top acceleration of the intake tower (PGV = 28 cm/s) | 4.10 | 0.537 | 2.40 | 0.315 | 7.63 | |||
| Top acceleration of hoist chamber (PGV = 36 cm/s) | 19.23 | 3.65 | 0.642 | 10.79 | 3.49 | 0.361 | 29.93 | 3.05 |
| Top acceleration of the intake tower (PGV = 36 cm/s) | 5.27 | 0.537 | 3.09 | 0.315 | 9.82 | |||
| Parameter | Fling-Step Pulse | Fling-Step Pulse | Non-Pulse | ||
|---|---|---|---|---|---|
| Shear Force (×107 kN) | AC | Shear Force (×107 kN) | AC | Shear Force (×107 kN) | |
| Mean maximum shear forces (PGA = 0.2 g) | 1.683 | 1.436 | 1.574 | 1.343. | 1.172 |
| Mean maximum shear forces (PGA = 0.3 g) | 2.516 | 1.407 | 2.346 | 1.312 | 1.788 |
| Mean maximum shear forces (PGA = 0.4 g) | 3.355 | 1.407 | 3.127 | 1.312 | 2.383 |
| Mean maximum shear forces (PGV = 18 cm/s) | 0.700 | 0.664 | 0.499 | 0.473 | 1.055 |
| Mean maximum shear forces (PGV = 28 cm/s) | 0.918 | 0.559 | 0.777 | 0.473 | 1.641 |
| Mean maximum shear forces (PGV = 36 cm/s) | 1.401 | 0.664 | 0.999 | 0.473 | 2.110 |
| Parameter | Forward Directivity Pulse | Fling-Step Pulse | Non-Pulse | ||
|---|---|---|---|---|---|
| AC | AC | ||||
| Maximum slope (PGV = 18 cm/s) | 0.0714 | 0.652 | 0.0455 | 0.416 | 0.1095 |
| Maximum Lateral curvature (PGV = 18 cm/s) | 2.35 × 10−5 | 0.683 | 1.53 × 10−5 | 0.445 | 3.44 × 10−5 |
| Maximum slope (PGV = 28 cm/s) | 0.111 | 0.649 | 0.0707 | 0.413 | 0.171 |
| Maximum Lateral curvature (PGV = 28 cm/s) | 3.66 × 10−5 | 0.688 | 2.38 × 10−5 | 0.477 | 5.32 × 10−5 |
| Maximum slope (PGV = 36 cm/s) | 0.143 | 0.653 | 0.0909 | 0.415 | 0.219 |
| Maximum Lateral curvature (PGV = 36 cm/s) | 4.71 × 10−5 | 0.685 | 3.06 × 10−5 | 0.445 | 6.88 × 10−5 |
| Parameter | Forward Directivity Pulse | Fling-Step Pulse | Non-Pulse | |||||
|---|---|---|---|---|---|---|---|---|
| Acceleration | Ratio | AC | Acceleration | Ratio | AC | Acceleration | Ratio | |
| Top acceleration of hoist chamber (m/s2) | 25.27 | 3.85 | 1.542 | 18.93 | 3.39 | 1.155 | 16.39 | 3.02 |
| Top acceleration of the intake tower (m/s2) | 6.56 | 5.58 | 5.43 | |||||
| Parameter | Fling-Step Pulse | Forward Directivity Pulse | Non-Pulse | ||
|---|---|---|---|---|---|
| AC | AC | ||||
| Top max slope of hoist chamber | 2.844 | 1.55 | 2.147 | 1.17 | 1.8339 |
| Top max slope of the intake | 0.184 | 1.49 | 0.17205 | 1.39 | 0.12367 |
| Maximum lateral curvature | 6.07175 × 10−5 | 1.55 | 6.11412 × 10−5 | 1.55 | 3.92931 × 10−5 |
| Parameter | Fling-Step Pulse | Forward Directivity Pulse | Non-Pulse | |||||
|---|---|---|---|---|---|---|---|---|
| Acceleration | Ratio | AC | Acceleration | Ratio | AC | Acceleration | Ratio | |
| Top acceleration of hoist chamber (m/s2) | 43.097 | 3.66 | 1.047 | 29.403 | 3.47 | 0.714 | 41.179 | 2.98 |
| Top acceleration of the intake tower (m/s2) | 11.784 | 8.48 | 13.807 | |||||
| Parameter | Forward Directivity Pulse | Fling-Step Pulse | Non-Pulse | ||
|---|---|---|---|---|---|
| AC | AC | ||||
| Top max slope of hoist chamber | 4.855 | 1.054 | 3.337 | 0.724 | 4.606 |
| Top max slope of the intake | 0.317 | 1.022 | 0.256 | 0.826 | 0.310 |
| Maximum lateral curvature | 1.04552 × 10−4 | 1.079 | 8.51264 × 10−5 | 0.879 | 9.68591 × 10−5 |
Disclaimer/Publisher’s Note: The statements, opinions and data contained in all publications are solely those of the individual author(s) and contributor(s) and not of MDPI and/or the editor(s). MDPI and/or the editor(s) disclaim responsibility for any injury to people or property resulting from any ideas, methods, instructions or products referred to in the content. |
© 2026 by the authors. Licensee MDPI, Basel, Switzerland. This article is an open access article distributed under the terms and conditions of the Creative Commons Attribution (CC BY) license.
Share and Cite
Chen, X.; Cheng, D.; Zhou, B.; Liu, X. Study of Response Characteristics and Strength Parameter Evaluation of Water Intake Tower Under Different Amplitude Modulation Modes. Buildings 2026, 16, 655. https://doi.org/10.3390/buildings16030655
Chen X, Cheng D, Zhou B, Liu X. Study of Response Characteristics and Strength Parameter Evaluation of Water Intake Tower Under Different Amplitude Modulation Modes. Buildings. 2026; 16(3):655. https://doi.org/10.3390/buildings16030655
Chicago/Turabian StyleChen, Xi, Dong Cheng, Binpeng Zhou, and Xiaoxiao Liu. 2026. "Study of Response Characteristics and Strength Parameter Evaluation of Water Intake Tower Under Different Amplitude Modulation Modes" Buildings 16, no. 3: 655. https://doi.org/10.3390/buildings16030655
APA StyleChen, X., Cheng, D., Zhou, B., & Liu, X. (2026). Study of Response Characteristics and Strength Parameter Evaluation of Water Intake Tower Under Different Amplitude Modulation Modes. Buildings, 16(3), 655. https://doi.org/10.3390/buildings16030655
