Research on Performance Prediction of Chillers Based on Unsupervised Domain Adaptation
Abstract
1. Introduction
2. Methodology
2.1. Feature Extraction
2.2. Fully Connected Regression
2.3. Domain Adaptation Method Based on Inverse Gram Matrix Alignment Loss
2.4. Evaluation Metrics and Baseline Models
3. Data Analysis and Preprocessing
3.1. Data Partitioning
3.2. Data Preprocessing
4. Results and Discussion
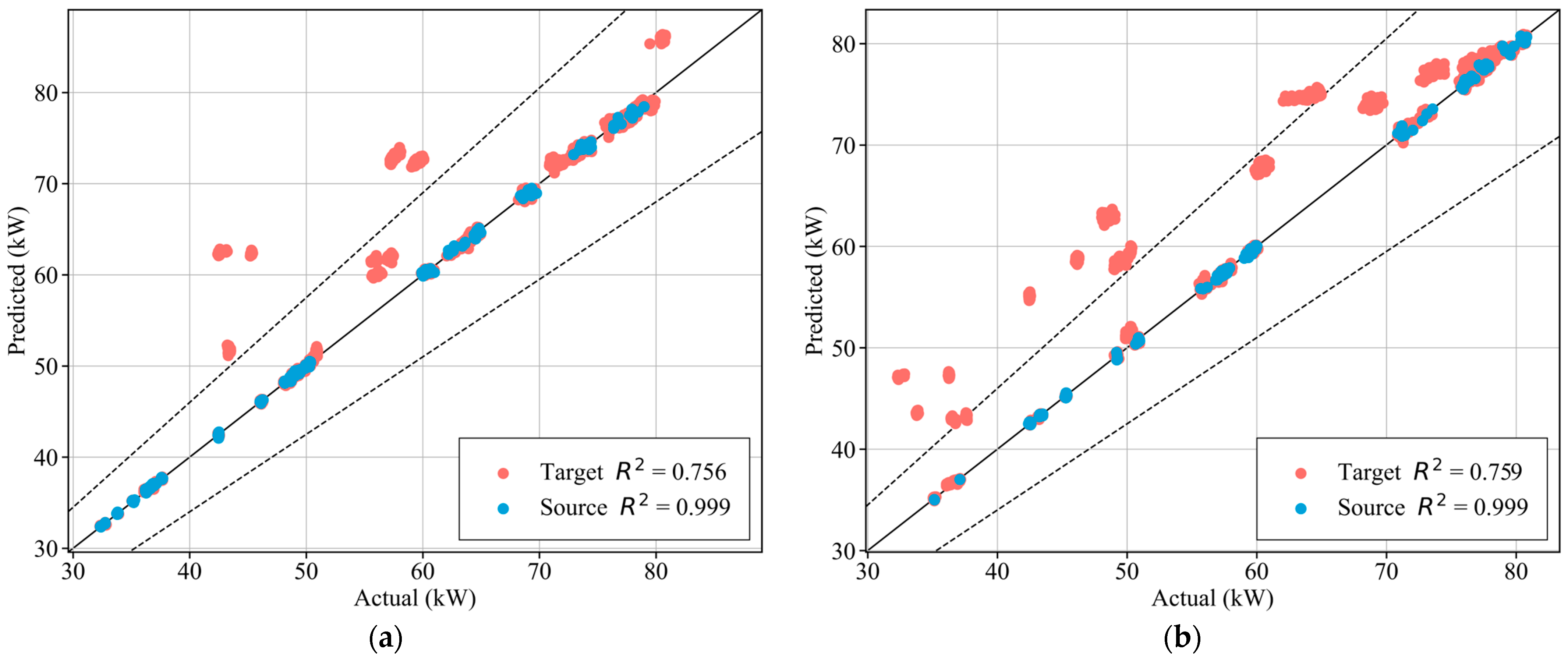
4.1. Prediction Results of the Baseline Model
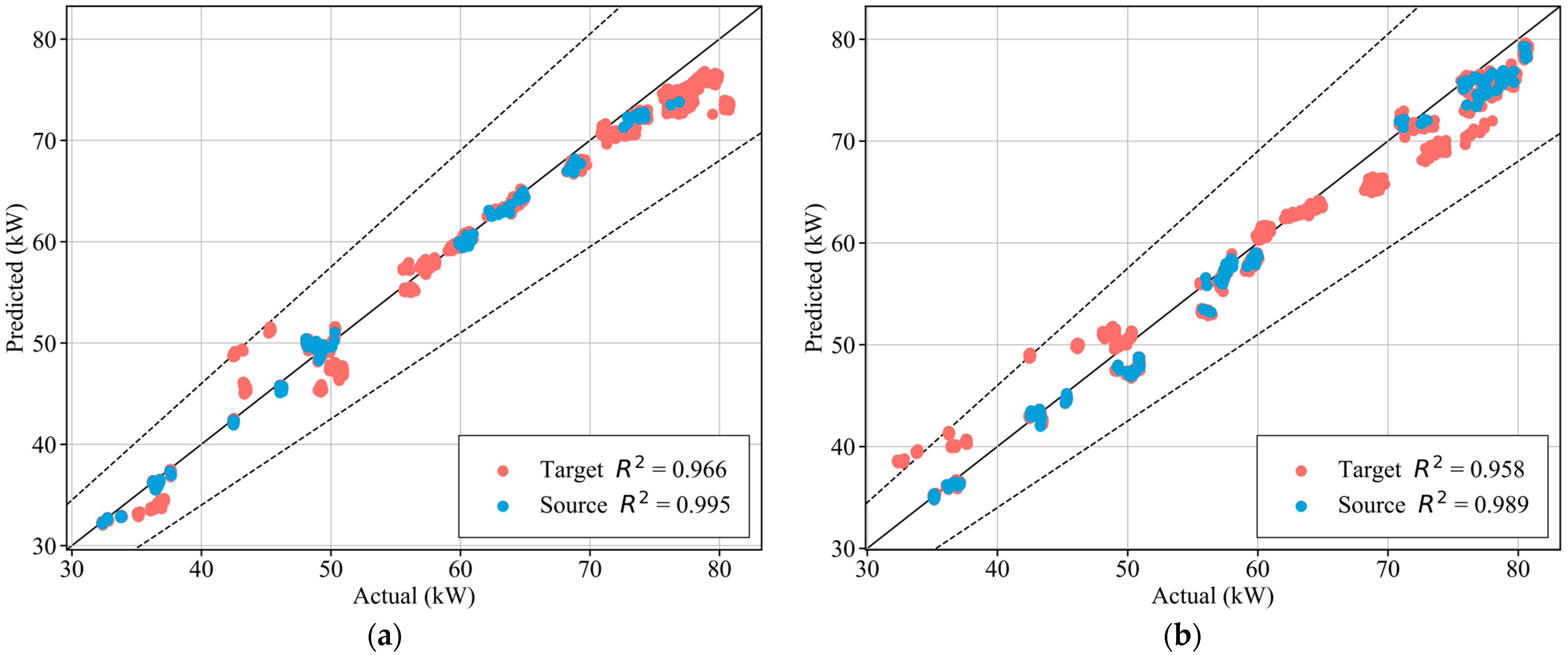
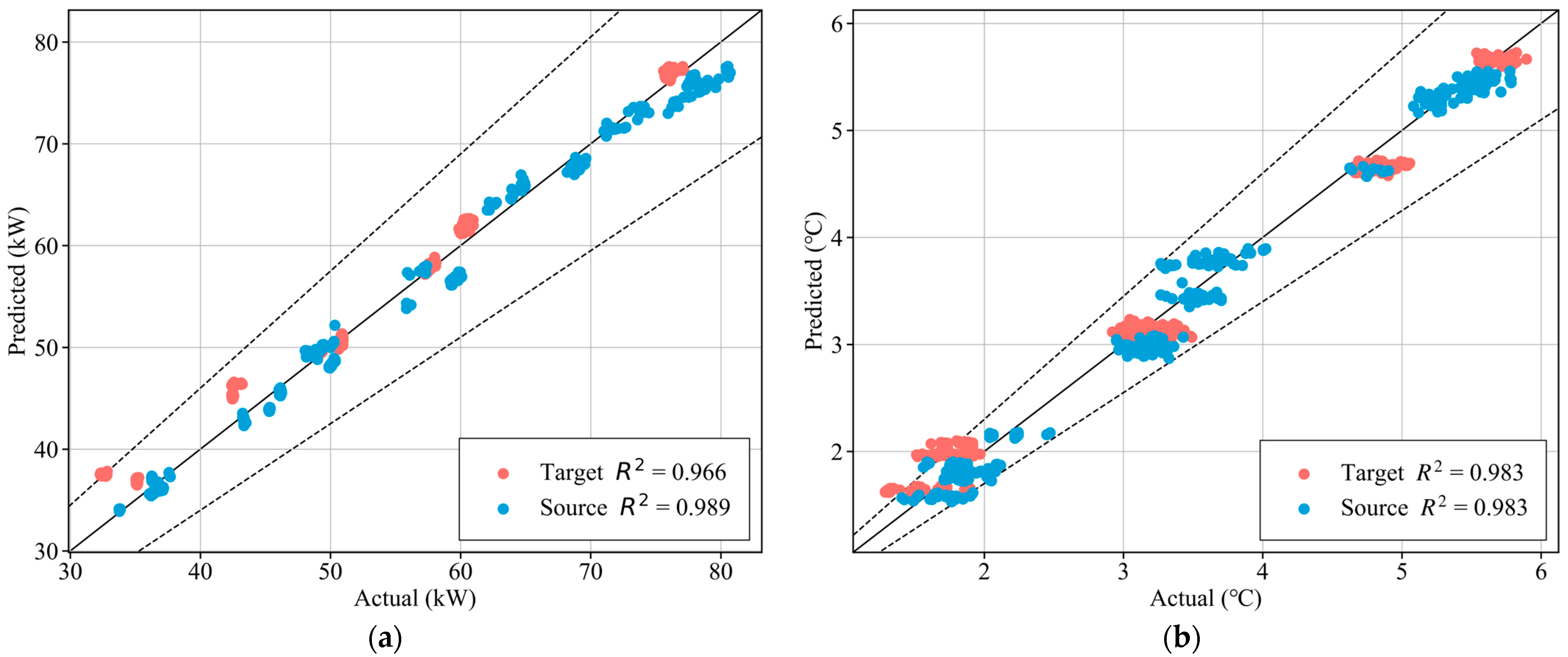
4.2. Prediction Results of CNN-GRAM Model
4.3. Correlation Between Prediction Deviation and Data Distribution
4.4. Limitations and Future Work
5. Conclusions
- The proposed CNN-GRAM model effectively overcomes the limitations of traditional data-driven models, which typically suffer from performance degradation when operating conditions shift. By aligning the feature distributions, the model achieves high predictive accuracy on the target domain without requiring labeled data for the new operating conditions. This modeling approach is equally applicable to other tasks, such as forecasting cooling and heating loads in air-conditioning systems, as both are regression tasks that are constrained by limited and low-quality historical data.
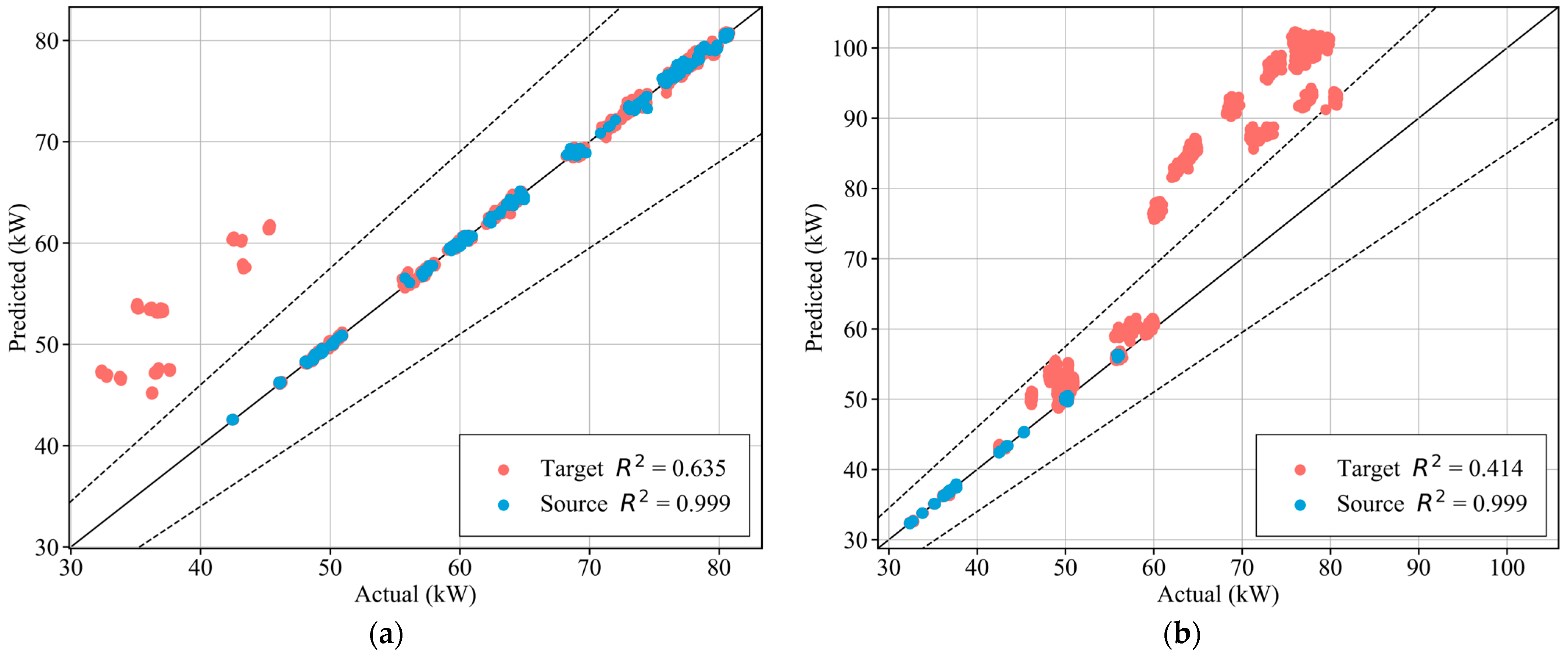
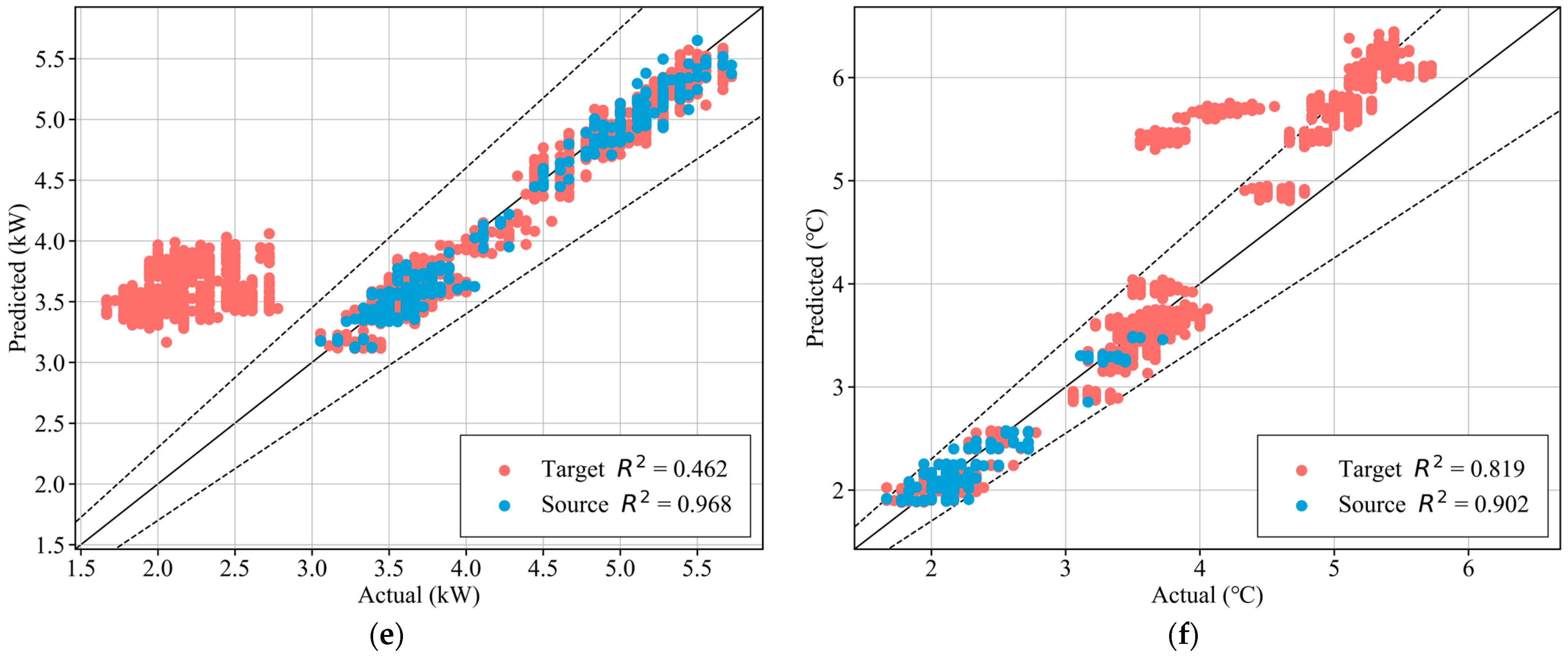
- Validated on the ASHRAE RP-1043 experimental dataset, the proposed model outperformed baseline methods (MLP). Specifically, in cross-condition prediction tasks (Scenario A–C), the CNN-GRAM model reduced the MAE by an average of 74.3% and the RMSE by 76.1%, while maintaining R2 exceeding 0.95.
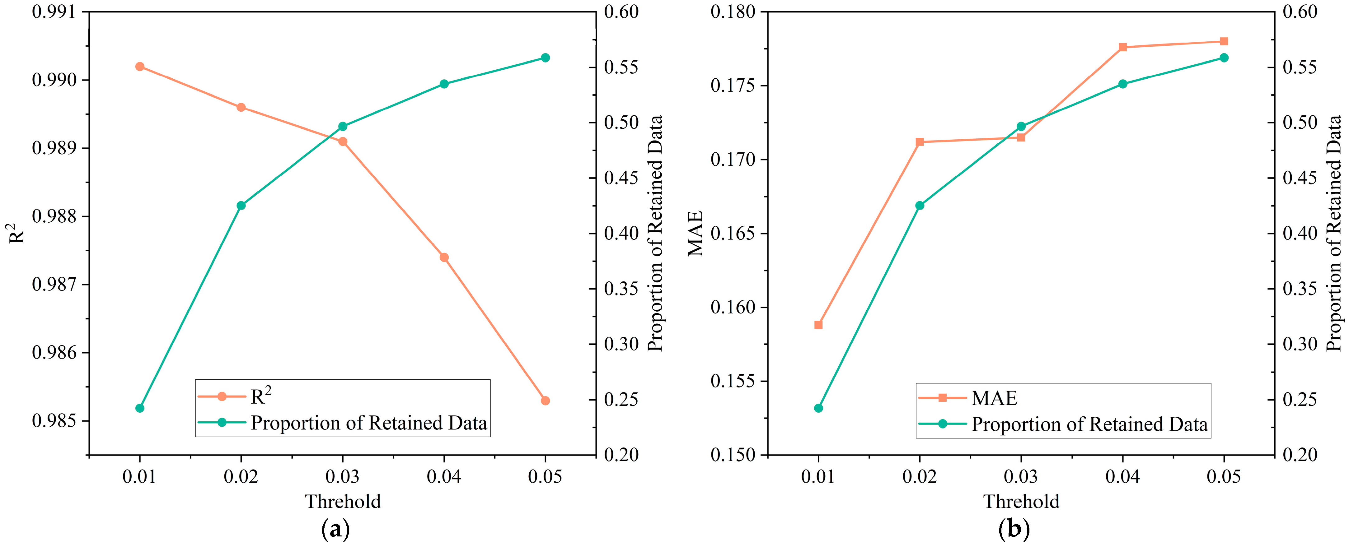
- A framework that integrates a steady-state filter with outlier-detection algorithms (Local Outlier Factor and Isolation Forest) is proposed to leverage the distributional characteristics of the raw data. Results show that the framework retains more valid operational data than traditional slope-thresholding. It indicates that data processing should account for the underlying data distribution.
- This study identifies a critical boundary condition for domain adaptation under given input features. While CNN-GRAM model is robust to shifts in the input feature distribution, its prediction accuracy degrades if the numerical range of the prediction target in the target domain falls completely outside the range observed in the source domain (Scenarios D and E). This highlights the necessity of analyzing the distribution of both input features and prediction targets to ensure model reliability in engineering applications. In retrofit projects, distributional shifts occur primarily in the input features. The proposed model is well-suited to such cases.
Author Contributions
Funding
Data Availability Statement
Conflicts of Interest
Abbreviations
| MAE | Mean absolute error |
| RMSE | Root mean square error |
| R2 | The coefficient of determination |
| MLP | Multilayer perception |
| CNN | Convolutional neural network |
| UDA | Unsupervised domain adaptation |
| LMTD | Logarithmic mean temperature difference in condenser |
| Tsub | Subcooling |
References
- Thangavelu, S.; Myat, A.; Khambadkone, A. Energy optimization methodology of multi-chiller plant in commercial buildings. Energy 2017, 123, 64–76. [Google Scholar] [CrossRef]
- Zhao, Y.; Wang, S.; Xiao, F. A statistical fault detection and diagnosis method for centrifugal chillers based on exponentially-weighted moving average control charts and support vector regression. Appl. Therm. Eng. 2013, 51, 560–572. [Google Scholar] [CrossRef]
- Zhao, Y.; Li, T.; Zhang, X.; Zhang, C. Artificial intelligence-based fault detection and diagnosis methods for building energy systems: Advantages, challenges and the future. Renew. Sustain. Energy Rev. 2019, 109, 85–101. [Google Scholar] [CrossRef]
- Yao, Y.; Shekhar, D. State of the art review on model predictive control (MPC) in Heating Ventilation and Air-conditioning (HVAC) field. Build. Environ. 2021, 200, 107952. [Google Scholar] [CrossRef]
- Gordon, J.; Ng, K.; Chua, H.; Lim, C. How varying condenser coolant flow rate affects chiller performance: Thermodynamic modeling and experimental confirmation. Appl. Therm. Eng. 2000, 20, 1149–1159. [Google Scholar] [CrossRef]
- Wei, Y.; Zhang, X.; Shi, Y.; Xia, L.; Pan, S.; Wu, J.; Han, M.; Zhao, X. A review of data-driven approaches for prediction and classification of building energy consumption. Renew. Sustain. Energy Rev. 2018, 82, 1027–1047. [Google Scholar] [CrossRef]
- Reddy, T.A.; Niebur, D.; Andersen, K.K.; Pericolo, P.P.; Cabrera, G. Evaluation of the Suitability of Different Chiller Performance Models for On-Line Training Applied to Automated Fault Detection and Diagnosis (RP-1139). HVACR Res. 2011, 9, 385–414. [Google Scholar] [CrossRef]
- Yang, Y.; Xu, L.; Han, H.; Ren, Z.; Wu, K.; Liu, F. Soft measurement and prediction of refrigerant leakage based on SVR-LSTM. Int. J. Refrig. 2023, 152, 303–314. [Google Scholar] [CrossRef]
- Tang, C.; Li, N.; Bao, L. Predictive Control Modeling of Regional Cooling Systems Incorporating Ice Storage Technology. Buildings 2024, 14, 2488. [Google Scholar] [CrossRef]
- Zhu, X.; Zhang, S.; Jin, X.; Du, Z. Deep learning based reference model for operational risk evaluation of screw chillers for energy efficiency. Energy 2020, 213, 118833. [Google Scholar] [CrossRef]
- Fan, C.; Chen, H. Research on eXplainable artificial intelligence in the CNN-LSTM hybrid model for energy forecasting. J. Build. Eng. 2025, 111, 113150. [Google Scholar] [CrossRef]
- Zhang, X.; Li, X. Chiller load prediction based on CEEMDAN-BiLSTM-Attention model for sufficient data and small sample data cases. In Proceedings of the IEEE 12th Data Driven Control and Learning Systems Conference (DDCLS), Xiangtan, China, 12–14 May 2023; pp. 1634–1639. [Google Scholar]
- Wang, J.; Du, Y.; Wang, J. LSTM based long-term energy consumption prediction with periodicity. Energy 2020, 197, 117197. [Google Scholar] [CrossRef]
- Yu, C.; Chen, J.; Chen, Y. Enhanced LSTM framework for water-cooled chiller COP forecasting. In Proceedings of the IEEE International Conference on Consumer Electronics (ICCE), Las Vegas, NV, USA, 10–12 January 2021; IEEE: Piscataway, NJ, USA, 2021. [Google Scholar]
- Wang, Y.; Cheng, H.; Chen, H.; Ye, M.; Ren, Y.; Yang, C. A hybrid model based on wavelet decomposition and LSTM for short-term energy consumption prediction of chillers. J. Build. Eng. 2025, 99, 111539. [Google Scholar] [CrossRef]
- Chakraborty, D.; Elzarka, H. Early detection of faults in HVAC systems using an XGBoost model with a dynamic threshold. Energy Build. 2019, 185, 326–344. [Google Scholar] [CrossRef]
- Yao, W.; Li, D.; Gao, L. Fault detection and diagnosis using tree-based ensemble learning methods and multivariate control charts for centrifugal chillers. J. Build. Eng. 2022, 51, 104243. [Google Scholar] [CrossRef]
- Rizi, B.; Faramarzi, A.; Pertzborn, A.; Heidarinejad, M. Forecasting operation of a chiller plant facility using data-driven models. Int. J. Refrig. 2024, 167, 70–89. [Google Scholar] [CrossRef]
- Liang, X.; Zhu, X.; Chen, S.; Jin, X.; Xiao, F.; Du, Z. Physics-constrained cooperative learning-based reference models for smart management of chillers considering extrapolation scenarios. Appl. Energy 2023, 349, 121642. [Google Scholar] [CrossRef]
- Guo, F.; Li, A.; Yue, B.; Xiao, Z.; Xiao, F.; Yan, R.; Li, A.; Lv, Y.; Su, B. Improving the out-of-sample generalization ability of data-driven chiller performance models using physics-guided neural network. Appl. Energy 2024, 354, 122190. [Google Scholar] [CrossRef]
- Pan, S.J.; Yang, Q. A Survey on Transfer Learning. IEEE Trans. Knowl. Data Eng. 2010, 22, 1345–1359. [Google Scholar] [CrossRef]
- Chaudhary, G.; Johra, H.; Georges, L.; Austbo, B. Transfer learning in building dynamics prediction. Energy Build. 2025, 330, 115384. [Google Scholar] [CrossRef]
- Gao, N.; Shao, W.; Rahaman, M.; Zhai, J.; David, K.; Salim, F. Transfer learning for thermal comfort prediction in multiple cities. Build. Environ. 2021, 195, 107725. [Google Scholar] [CrossRef]
- Somu, N.; Sriram, A.; Kowli, A.; Ramamritham, K. A hybrid deep transfer learning strategy for thermal comfort prediction in buildings. Build. Environ. 2021, 204, 108133. [Google Scholar] [CrossRef]
- Yadav, N.; Sorek-Hamer, M.; Von Pohle, M.; Asanjan, A.; Sahasrabhojanee, A.; Suel, E.; Arku, R.; Lingenfelter, V.; Brauer, M.; Ezzati, M.; et al. Using deep transfer learning and satellite imagery to estimate urban air quality in data-poor regions. Environ. Pollut. 2024, 342, 122914. [Google Scholar] [CrossRef]
- Middya, A.; Roy, S. Pollutant specific optimal deep learning and statistical model building for air quality forecasting. Environ. Pollut. 2022, 301, 118972. [Google Scholar] [CrossRef]
- Dou, H.; Zmeureanu, R. Transfer Learning Prediction Performance of Chillers for Neural Network Models. Energies 2023, 16, 7149. [Google Scholar] [CrossRef]
- Fan, C.; Sun, Y.; Xiao, F.; Ma, J.; Lee, D.; Wang, J.; Tseng, Y.C. Statistical investigations of transfer learning-based methodology for short-term building energy predictions. Appl. Energy 2020, 262, 114499. [Google Scholar] [CrossRef]
- Dou, H.; Zhang, K. Transfer learning for cross-building forecasting of building energy and indoor air temperature in model predictive control applications. J. Build. Eng. 2025, 111, 113341. [Google Scholar] [CrossRef]
- Du, Z.; Liang, X.; Chen, S.; Li, P.; Zhu, X.; Chen, K.; Jin, X. Domain adaptation deep learning and its T-S diagnosis networks for the cross-control and cross-condition scenarios in data center HVAC systems. Energy 2023, 280, 128084. [Google Scholar] [CrossRef]
- Chen, Z.; Rezgui, Y.; Zhang, R.; Zhang, X.; Zhao, W.; Li, Y. Feature-level interpretability in transfer learning-based chiller fault diagnosis. Build. Environ. 2025, 285, 113527. [Google Scholar] [CrossRef]
- Fang, X.; Gong, G.; Li, G.; Chun, L.; Li, W.; Peng, P. A hybrid deep transfer learning strategy for short term cross-building energy prediction. Energy 2021, 215, 119208. [Google Scholar] [CrossRef]
- Tran, D.; Chen, Y.; Chau, M.; Ning, B. A robust online fault detection and diagnosis strategy of centrifugal chiller systems for building energy efficiency. Energy Build. 2015, 108, 441–453. [Google Scholar] [CrossRef]
- Song, Z.; Zou, S.; Zhou, W.; Huang, Y.; Shao, L.; Yuan, J.; Gou, X.; Jin, W.; Wang, Z.; Chen, X.; et al. Clinically applicable histopathological diagnosis system for gastric cancer detection using deep learning. Nat. Commun. 2020, 11, 4294. [Google Scholar] [CrossRef]
- Kabir, H.; Wu, J.; Dahal, S.; Joo, T.; Garg, N. Automated estimation of cementitious sorptivity via computer vision. Nat. Commun. 2024, 15, 9935. [Google Scholar] [CrossRef]
- Nejjar, I.; Wang, Q.; Fink, O. DARE-GRAM: Unsupervised Domain Adaptation Regression by Aligning Inverse Gram Matrices. In Proceedings of the 2023 IEEE/CVF Conference on Computer Vision and Pattern Recognition (CVPR), Vancouver, BC, Canada, 18–22 June 2023; pp. 11744–11754. [Google Scholar]
- Penrose, R. A generalized inverse for matrices. Math. Proc. Camb. Philos. Soc. 2008, 51, 406–413. [Google Scholar] [CrossRef]
- Chen, X.; Wang, S.; Wang, J.; Long, M. Representation Subspace Distance for Domain Adaptation Regression. In Proceedings of the International Conference on Machine Learning (ICML), Online, 18–24 July 2021. [Google Scholar]
- Nisa, E.; Kuan, Y. Comparative Assessment to Predict and Forecast Water-Cooled Chiller Power Consumption Using Machine Learning and Deep Learning Algorithms. Sustainability 2021, 13, 744. [Google Scholar] [CrossRef]
- Liu, J.; Shi, D.; Li, G.; Xie, Y.; Li, K.; Liu, B.; Ru, Z. Data-driven and association rule mining-based fault diagnosis and action mechanism analysis for building chillers. Energy Build. 2020, 216, 109957. [Google Scholar] [CrossRef]
- Gong, B.; Grauman, K.; Sha, F. Learning Kernels for Unsupervised Domain Adaptation with Applications to Visual Object Recognition. Int. J. Comput. Vis. 2014, 109, 3–27. [Google Scholar] [CrossRef]






















| Scenario | Datasets | Evaporator Outlet Water Temperature (°C) | Condenser Inlet Water Temperature (°C) | Load Rate (%) |
|---|---|---|---|---|
| A | Source data | 5~7 | 17~29 | 25~100 |
| Target data | 10 | 17~29 | 25~100 | |
| B | Source data | 5–10 | 17~23 | 25~100 |
| Target data | 5–10 | 17~29 | 25~100 | |
| C | Source data | 5–10 | 23~29 | 25~100 |
| Target data | 5–10 | 17~29 | 25~100 | |
| D | Source data | 5–10 | 17~29 | 60~100 |
| Target data | 5–10 | 17~29 | 25~100 | |
| E | Source data | 5–10 | 17~29 | 25~60 |
| Target data | 5–10 | 17~29 | 25~100 |
| Parameters | Scenario | Model | MAE | RMSE | R2 |
|---|---|---|---|---|---|
| Power | A | Baseline | 10.20 | 10.30 | −0.63 |
| CNN-GRAM | 1.84 | 2.32 | 0.97 | ||
| B | Baseline | 4.67 | 8.61 | 0.76 | |
| CNN-GRAM | 1.81 | 2.65 | 0.97 | ||
| C | Baseline | 8.12 | 12.15 | 0.76 | |
| CNN-GRAM | 2.22 | 2.93 | 0.96 | ||
| D | Baseline | 5.05 | 8.65 | 0.64 | |
| CNN-GRAM | 3.86 | 5.91 | 0.83 | ||
| E | Baseline | 6.57 | 10.97 | 0.41 | |
| CNN-GRAM | 2.92 | 4.69 | 0.89 | ||
| LMTD | A | Baseline | 0.75 | 0.77 | 0.27 |
| CNN-GRAM | 0.14 | 0.17 | 0.98 | ||
| B | Baseline | 0.32 | 0.51 | 0.70 | |
| CNN-GRAM | 0.10 | 0.13 | 0.99 | ||
| C | Baseline | 0.81 | 1.19 | 0.06 | |
| CNN-GRAM | 0.19 | 0.26 | 0.96 | ||
| D | Baseline | 0.58 | 0.91 | 0.55 | |
| CNN-GRAM | 0.53 | 0.83 | 0.62 | ||
| E | Baseline | 0.40 | 0.67 | 0.77 | |
| CNN-GRAM | 0.26 | 0.44 | 0.89 | ||
| Tsub | A | Baseline | 1.22 | 1.28 | 0.47 |
| CNN-GRAM | 0.24 | 0.29 | 0.98 | ||
| B | Baseline | 0.94 | 1.52 | 0.15 | |
| CNN-GRAM | 0.21 | 0.26 | 0.98 | ||
| C | Baseline | 1.01 | 1.49 | 0.80 | |
| CNN-GRAM | 0.32 | 0.42 | 0.96 | ||
| D | Baseline | 1.14 | 1.82 | 0.18 | |
| CNN-GRAM | 1.31 | 2.09 | 0.46 | ||
| E | Baseline | 1.21 | 1.96 | 0.06 | |
| CNN-GRAM | 0.57 | 0.86 | 0.82 |
Disclaimer/Publisher’s Note: The statements, opinions and data contained in all publications are solely those of the individual author(s) and contributor(s) and not of MDPI and/or the editor(s). MDPI and/or the editor(s) disclaim responsibility for any injury to people or property resulting from any ideas, methods, instructions or products referred to in the content. |
© 2026 by the authors. Licensee MDPI, Basel, Switzerland. This article is an open access article distributed under the terms and conditions of the Creative Commons Attribution (CC BY) license.
Share and Cite
Liu, Y.; Tang, C.; Li, N. Research on Performance Prediction of Chillers Based on Unsupervised Domain Adaptation. Buildings 2026, 16, 673. https://doi.org/10.3390/buildings16030673
Liu Y, Tang C, Li N. Research on Performance Prediction of Chillers Based on Unsupervised Domain Adaptation. Buildings. 2026; 16(3):673. https://doi.org/10.3390/buildings16030673
Chicago/Turabian StyleLiu, Yifei, Chuanyu Tang, and Nan Li. 2026. "Research on Performance Prediction of Chillers Based on Unsupervised Domain Adaptation" Buildings 16, no. 3: 673. https://doi.org/10.3390/buildings16030673
APA StyleLiu, Y., Tang, C., & Li, N. (2026). Research on Performance Prediction of Chillers Based on Unsupervised Domain Adaptation. Buildings, 16(3), 673. https://doi.org/10.3390/buildings16030673
