Sign in to use this feature.

Years

Between: -

Subjects

remove_circle_outline
remove_circle_outline
remove_circle_outline
remove_circle_outline
remove_circle_outline
remove_circle_outline
remove_circle_outline
remove_circle_outline
remove_circle_outline

Journals

remove_circle_outline
remove_circle_outline
remove_circle_outline
remove_circle_outline

Article Types

Countries / Regions

remove_circle_outline
remove_circle_outline
remove_circle_outline
remove_circle_outline

Search Results (374)

Search Parameters:
Keywords = impeller optimization

Order results
Result details
Results per page
Select all
Export citation of selected articles as:
23 pages, 3373 KB  
Article
Enhanced Rougher Recovery of Ultrafine Molybdenum Tailings Using a Novel Pilot-Scale Turbulent Micro-Vortex Mineralizer
by Yande Chao, Zhiyang Li, Juntao Chen, Hao Xue, Jianguo Yang, Bin Lin, Bolong Zhang, Haijun Zhang and Hainan Wang
Minerals 2026, 16(2), 201; https://doi.org/10.3390/min16020201 - 14 Feb 2026
Viewed by 74
Abstract
Constrained by the low grade and poor floatability of the run-of-mine ore, the beneficiation of porphyry-type copper–molybdenum sulfide ores generates large quantities of molybdenum tailings, leading to significant environmental risks and resource losses and necessitating urgent recovery and reutilization. In this study, a [...] Read more.
Constrained by the low grade and poor floatability of the run-of-mine ore, the beneficiation of porphyry-type copper–molybdenum sulfide ores generates large quantities of molybdenum tailings, leading to significant environmental risks and resource losses and necessitating urgent recovery and reutilization. In this study, a representative sample of molybdenum tailings with a Mo grade of 0.354% was investigated to analyze its process mineralogy. The results show that molybdenite predominantly exists as fine, flaky particles intimately intergrown with quartz, pyrite, and aluminosilicate minerals, exhibiting an extremely low degree of liberation and an overall ultrafine particle size. Laboratory flotation tests show that the flotation kinetics conform to a first-order model; however, a considerable amount of molybdenum remains in the tailings, indicating that the mineralization process needs to be intensified. Through structural optimization and confined-space design, a vortex-based mineralization reactor was developed. Computational fluid dynamics simulations demonstrate that the mineralizer can generate flow fields with high turbulence intensity and dissipation rates and can induce high-energy, small-scale micro-vortices. On this basis, a semi-industrial rougher flotation system was established by coupling the developed mineralizer with a flotation column. Under optimized operating conditions, namely a feed pressure of 0.06 MPa and an impeller frequency of 20 Hz, single-stage treatment of the tailings produced molybdenum concentrates with a grade of 1.90% and a recovery of 81.29%, while the Mo grade of the tailings was reduced to 0.08%. The results are markedly superior to those obtained using a conventional laboratory flotation cell, demonstrating a substantial enhancement in mineralization efficiency and molybdenum recovery. The proposed approach, therefore, provides a practical reference for the flotation recovery of molybdenum tailings as well as other micro-fine, low-grade metal tailings. Full article
(This article belongs to the Special Issue Kinetic Characterization and Its Applications in Mineral Processing)
20 pages, 4428 KB  
Article
Aerodynamic Optimisation of a Tandem Blade Centrifugal Compressor Through Parametric Analysis of Blade Angles and Count
by Mustafa Ertürk Söylemez and Salih Özer
Processes 2026, 14(3), 552; https://doi.org/10.3390/pr14030552 - 4 Feb 2026
Viewed by 205
Abstract
This study advances the performance of a tandem-blade centrifugal compressor through a parametric Computational Fluid Dynamics (CFD) methodology integrated with Response Surface Methodology (RSM). Numerical simulations were executed by solving steady-state Reynolds-Averaged Navier–Stokes (RANS) equations utilising the Shear Stress Transport (SST) k-ω turbulence [...] Read more.
This study advances the performance of a tandem-blade centrifugal compressor through a parametric Computational Fluid Dynamics (CFD) methodology integrated with Response Surface Methodology (RSM). Numerical simulations were executed by solving steady-state Reynolds-Averaged Navier–Stokes (RANS) equations utilising the Shear Stress Transport (SST) k-ω turbulence model on a validated structured hexahedral mesh. Local sensitivity analysis identified the hub outlet angle and hub inlet angle as the primary geometric parameters affecting pressure ratio and isentropic efficiency, respectively. Flow-field visualisations confirmed that the tandem configuration effectively re-energises the boundary layer, thereby reducing separation and enhancing pressure recovery. Using a Multi-Objective Genetic Algorithm (MOGA), an optimal blade design comprising 22 blades was determined, achieving a maximum isentropic efficiency of 95.23% and a total pressure ratio of 1.416. These findings provide valuable quantitative insights for the optimal design of tandem impellers and highlight the effectiveness of integrating CFD-based sensitivity analysis with multi-objective optimisation techniques. Full article
(This article belongs to the Special Issue Fluid Dynamics and Thermodynamic Studies in Gas Turbine)
Show Figures

Graphical abstract

20 pages, 3539 KB  
Article
Feedrate Profile Shaping-Based Five-Axis CNC Feedrate Planning Method Under Machine Axis Constraints
by Shaofeng Zhang, Qiang Ma, Liping Wang, Hongli Yang, Yuanshenglong Li, Dong Wang, Jingjing Cao, Jinfan Li, Yongqi Wang and Weiwei He
Machines 2026, 14(2), 181; https://doi.org/10.3390/machines14020181 - 4 Feb 2026
Viewed by 214
Abstract
Feedrate planning is a critical process in computer numerical control (CNC) machining, playing a key role in ensuring machining quality and improving efficiency. This paper proposes a feedrate planning method based on feedrate profile shaping to satisfy machine axis constraints, including axis velocity, [...] Read more.
Feedrate planning is a critical process in computer numerical control (CNC) machining, playing a key role in ensuring machining quality and improving efficiency. This paper proposes a feedrate planning method based on feedrate profile shaping to satisfy machine axis constraints, including axis velocity, acceleration, and jerk limits. First, the five-axis machining path is represented using parametric curves. By combining the geometric characteristics of the path with machine axis velocity constraints, the upper bound of the feedrate under static constraints is derived. On this basis, machine axis acceleration and jerk constraints are further incorporated to establish feedrate planning criteria, thereby obtaining a distribution of feasible points that satisfies dynamic constraints. Then, a feedrate curve is generated using a profile shaping strategy based on the feasible point distribution, and further optimized through a corner shaping method. As a result, the planned feedrate strictly satisfies machine axis constraints along the entire tool path while ensuring continuity and smoothness of the feedrate profile. Finally, the effectiveness and reliability of the proposed method are validated through simulations of the parametric curve and experimental machining of an impeller blade. Full article
(This article belongs to the Special Issue Mult-Axis Machining and CNC Systems: Innovations and Advancements)
Show Figures

Figure 1

14 pages, 1637 KB  
Article
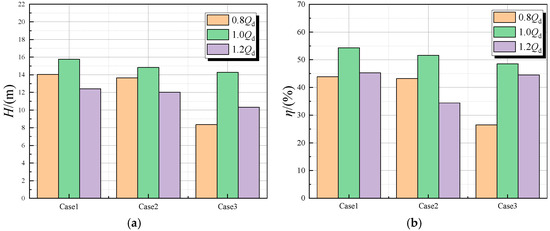
Hydraulic Performance of a Box Culvert-Type Two-Way Channel Pumping System: An Experimental Study
by Pu Xu, Lingyu Li and Weixuan Jiao
Water 2026, 18(3), 390; https://doi.org/10.3390/w18030390 - 3 Feb 2026
Viewed by 243
Abstract
With the increasing application of box culvert-type two-way channel pumping systems in low-head pumping stations along rivers in China, a comprehensive investigation of their hydraulic performance is of significant importance. In this study, a physical model test was conducted on a box culvert-type [...] Read more.
With the increasing application of box culvert-type two-way channel pumping systems in low-head pumping stations along rivers in China, a comprehensive investigation of their hydraulic performance is of significant importance. In this study, a physical model test was conducted on a box culvert-type two-way channel pumping station located along the Yangtze River. The energy performance, cavitation characteristics, runaway characteristics, and pressure pulsation behavior of the pumping system were systematically examined. The experimental results indicate that the pumping system achieves optimal energy performance when the blade installation angle is −2°, under which the maximum system efficiency reaches 68.0% while satisfying the operational requirements across different head conditions. For a given blade angle, the critical cavitation margin of the pumping system initially decreases and subsequently increases as the head decreases. At the same head, the critical cavitation margin increases with increasing blade installation angle. Furthermore, the unit runaway speed of the pumping system increases as the blade angle decreases. The blade installation angle significantly influences the amplitude of pressure pulsations at the impeller, whereas its effect on the dominant frequency is relatively minor. The overall pressure pulsation amplitudes measured at the impeller are less than 0.20 m. These findings provide valuable experimental insights for the hydraulic optimization design and operational regulation of similar pumping stations, contributing to improved operational efficiency and reliability while reducing operating costs. Full article
(This article belongs to the Section Hydraulics and Hydrodynamics)
Show Figures

Figure 1

16 pages, 4008 KB  
Article
Novel Titanium Matrix Composite Stator Sleeve for Enhanced Efficiency in Underwater Shaftless Propulsion
by Hanghang Wang, Lina Yang, Junquan Chen, Yapeng Jiang, Xin Jiang and Jinrui Guo
J. Mar. Sci. Eng. 2026, 14(3), 290; https://doi.org/10.3390/jmse14030290 - 1 Feb 2026
Viewed by 233
Abstract
Shaftless Pump-jet Thrusters (SPTs), which integrate the propulsion motor directly with impellers, provide a compact design and high propulsion efficiency. Despite this, their performance is significantly hampered by eddy current losses in conductive stator sleeves. This study introduces Titanium Matrix Composites (TMC) as [...] Read more.
Shaftless Pump-jet Thrusters (SPTs), which integrate the propulsion motor directly with impellers, provide a compact design and high propulsion efficiency. Despite this, their performance is significantly hampered by eddy current losses in conductive stator sleeves. This study introduces Titanium Matrix Composites (TMC) as superior alternatives to conventional titanium alloys (Ti-6Al-4V, Ti64), leveraging their tailorable anisotropic electromagnetic properties to effectively suppress eddy current losses. Through simulations and experimental validation, the electromagnetic performance of an SPT equipped with a TMC stator sleeve is systematically investigated. Electromagnetic simulations predict a dramatic reduction in eddy current loss of 53.5–79.8% and an improvement in motor efficiency of 5.8–8.5% across the 1500–2900 rpm operational range compared to the Ti64 baseline. Experimental measurements on prototype motors confirm the performance advantage, demonstrating a 3.5–5.7% reduction in input power under equivalent output conditions across the same speed range. After accounting for manufacturing tolerances and control strategies, the refined model demonstrated a markedly improved agreement with the experimental results. This research conclusively establishes TMCs as a high-performance containment sleeve material, which is promising not only for SPTs but also for a broad range of canned motor applications, where an optimal balance between electromagnetic and structural performance is critical. Full article
Show Figures

Figure 1

27 pages, 8853 KB  
Article
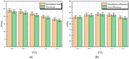
Numerical and Experimental Investigation of Blade Outlet Angle Effects on Flow Characteristics and Energy Losses in a Vortex Pump
by Lingyan He, Xiaofu Fan, Jianfa Li, Changliang Ye, Xuesong Li, Ziyang Niu and Chongshan Li
Energies 2026, 19(3), 758; https://doi.org/10.3390/en19030758 - 31 Jan 2026
Viewed by 129
Abstract
The blade outlet angle is a critical design parameter of vortex pump impellers, exerting a significant influence on the pump’s hydraulic performance and internal flow characteristics. In this study, numerical simulations combined with experimental validation were conducted to investigate a vortex pump, with [...] Read more.
The blade outlet angle is a critical design parameter of vortex pump impellers, exerting a significant influence on the pump’s hydraulic performance and internal flow characteristics. In this study, numerical simulations combined with experimental validation were conducted to investigate a vortex pump, with three impellers featuring blade outlet angles of 50°, 60°, and 65° analyzed based on the SST kω turbulence model. To quantify irreversible energy losses, entropy production theory was adopted, while the Liutex method was utilized to characterize rigid-body vorticity. The results demonstrate that increasing the blade outlet angle leads to a reduction in head under both small-flow-rate and design-flow-rate conditions, impairs flow uniformity, strengthens vortex structures, and elevates total entropy production—with turbulent dissipation being the dominant contributor to energy losses. Additionally, larger outlet angles enhance the sensitivity of internal flow structures to off-design operating conditions. These findings offer valuable guidance for the optimization of impeller design and the development of energy-efficient vortex pumps. Full article
Show Figures

Figure 1

24 pages, 7239 KB  
Article
Mechanisms of Flow-Induced Pressure Pulsations in Semi-Open Impeller Sewage Pumps Under Solid–Liquid Two-Phase Flow Conditions
by Hongliang Wang, Shuai Liu, Chuan Wang, Zhenhua Shen, Guohui Li, Ang Li, Fan Meng, Xintian Cheng and Hui Wang
Water 2026, 18(3), 317; https://doi.org/10.3390/w18030317 - 27 Jan 2026
Viewed by 244
Abstract
Semi-open impeller sewage pumps are widely used for transporting solid-laden fluids due to their anti-clogging properties. However, unlike extensive research on clear water conditions, the specific mechanisms governing pressure instabilities under solid–liquid two-phase flows remain underexplored. This study investigates the unsteady flow field [...] Read more.
Semi-open impeller sewage pumps are widely used for transporting solid-laden fluids due to their anti-clogging properties. However, unlike extensive research on clear water conditions, the specific mechanisms governing pressure instabilities under solid–liquid two-phase flows remain underexplored. This study investigates the unsteady flow field and pulsation characteristics of a Model 80WQ4QG pump using unsteady CFD simulations based on the Standard k−ϵ turbulence model and the Eulerian–Eulerian multiphase model. The effects of flow rate, particle size, and volume fraction were systematically analyzed. Results indicate that the blade-passing frequency (95 Hz) dominates the pressure spectra, with the volute tongue and impeller outlet identified as the most sensitive regions. While increased flow rates weaken fluctuations at the volute tongue, the presence of solid particles significantly amplifies them. Specifically, compared to single-phase flow, the pulsation amplitudes at the volute tongue increased by 68.15% with a 3.0 mm particle size and by 97.73% at a 20% volume fraction. Physically, this amplification is attributed to the intensified momentum exchange between phases and the enhanced turbulent flow disturbances induced by particle inertia at the rotor–stator interface. These findings clarify the particle-induced flow instability mechanisms, offering theoretical guidelines for optimizing pump durability in multiphase environments. Full article
(This article belongs to the Section Hydraulics and Hydrodynamics)
Show Figures

Figure 1

23 pages, 6146 KB  
Article
Intensification of Mixing Processes in Stirred Tanks Using Specific-Power-Matching Double-Stage Configurations of Radially and Axially Pumping Impellers
by Lena Kögel, Achim Gieseking, Carina Zierberg, Mathias Ulbricht and Heyko Jürgen Schultz
ChemEngineering 2026, 10(2), 17; https://doi.org/10.3390/chemengineering10020017 - 26 Jan 2026
Viewed by 477
Abstract
Mixing processes in stirred tanks are widely applied across various industries, but still offer significant potential for optimization. A promising strategy is the use of double-stage impeller setups instead of conventional single impellers. While multi-impeller configurations are common in tall vessels, their benefits [...] Read more.
Mixing processes in stirred tanks are widely applied across various industries, but still offer significant potential for optimization. A promising strategy is the use of double-stage impeller setups instead of conventional single impellers. While multi-impeller configurations are common in tall vessels, their benefits for standard tanks with a height-to-diameter ratio of 1 are largely unexplored. This study systematically investigates the flow fields of single, identical, and mixed double-stage configurations of a Rushton turbine, a pitched-blade turbine, and a retreat curve impeller. To ensure balanced power input in mixed configurations, a refined method for harmonizing specific power via impeller diameter adjustment is proposed. Stereo particle image velocimetry is applied to visualize flow fields, supported by refractive-index matching to enable measurements in a dished-bottom tank. The results reveal substantial flow deficiencies in single-impeller setups. In contrast, double-impeller setups generate novel and significantly improved velocity fields that offer clear advantages and demonstrate strong potential to enhance process efficiency across various mixing applications. These findings provide new experimental insights into the characteristics of dual impellers and form a valuable basis for the design and scale-up of stirred tanks, contributing to more efficient, reliable, and sustainable mixing processes. Full article
(This article belongs to the Special Issue Process Intensification for Chemical Engineering and Processing)
Show Figures

Figure 1

22 pages, 5391 KB  
Article
Rotor–Stator Configuration in Gas-Inducing Reactors: Effects of Blade Number and Thickness on Gas Holdup
by Ehsan Zamani Abyaneh, Farhad Ein-Mozaffari and Ali Lohi
Processes 2026, 14(2), 354; https://doi.org/10.3390/pr14020354 - 19 Jan 2026
Viewed by 226
Abstract
Gas-inducing reactors (GIRs) are widely used in applications where external gas recycling is unsafe or operationally restricted, yet quantitative design guidelines for impeller–stator geometry remain scarce, despite its strong influence on gas dispersion and retention. This study investigates the effects of stator blade [...] Read more.
Gas-inducing reactors (GIRs) are widely used in applications where external gas recycling is unsafe or operationally restricted, yet quantitative design guidelines for impeller–stator geometry remain scarce, despite its strong influence on gas dispersion and retention. This study investigates the effects of stator blade number and blade thickness on gas holdup in a double-impeller GIR using a three-dimensional Euler–Euler CFD framework. Stator configurations with 12–48 blades and blade thicknesses of 1.5–45 mm were examined and validated against experimental data, with gas holdup predictions agreeing within 5–10%. The results show that the stator open-area fraction (ϕA) is the dominant geometric parameter governing the balance between radial dispersion and axial confinement. High-ϕA stators (fewer, thinner blades) enhance bulk recirculation and bubble residence time, increasing gas holdup by up to ~20% relative to dense stator designs, whereas low-ϕA stators suppress macro-circulation, promote axial gas transport, and reduce holdup despite higher local dissipation near the rotor–stator gap. A modified gas-holdup correlation incorporating ϕA is proposed, yielding strong agreement with CFD and experimental data (R2 = 0.96). Torque analysis further reveals competing effects between impeller gassing, which lowers hydraulic loading, and increased flow resistance at low ϕA, which elevates torque. Overall, the results provide quantitative guidance on how stator blade number and thickness influence gas holdup, enabling informed stator design and optimization in GIRs to improve gas dispersion through rational geometric selection rather than trial and error approaches. Full article
(This article belongs to the Special Issue Modeling and Optimization for Multi-scale Integration)
Show Figures

Figure 1

21 pages, 8441 KB  
Article
Calculation of Influence of Maneuverability Conditions on Submerged Water-Jet on Actuator Disk Model
by Dongsheng Yang and Liu Chen
J. Mar. Sci. Eng. 2026, 14(2), 189; https://doi.org/10.3390/jmse14020189 - 16 Jan 2026
Viewed by 241
Abstract
This study examines the performance variations and flow field characteristics of a submerged water-jet propulsor under complex oblique sailing conditions, providing theoretical insights for propulsor design optimization and ship maneuverability improvement. Both steady and unsteady numerical simulations were performed, with the unsteady analysis [...] Read more.
This study examines the performance variations and flow field characteristics of a submerged water-jet propulsor under complex oblique sailing conditions, providing theoretical insights for propulsor design optimization and ship maneuverability improvement. Both steady and unsteady numerical simulations were performed, with the unsteady analysis employing an actuator disk model. The results indicate that at a positive drift angle of 30°, the propulsor head decreases by approximately 6%, whereas at a negative drift angle of 30°, it drops significantly by 28%. The entropy generation distribution among the propulsor components was analyzed based on entropy generation theory, revealing that turbulent dissipation contributes the largest portion (64%) of the total entropy generation, with the impeller flow passage accounting for 47%. Furthermore, pressure fluctuations on the propulsor housing surface were evaluated under unsteady conditions. The findings show that a twin-jet configuration with an optimal spacing of 1.6D effectively minimizes flow field interference during maneuvering. Overall, the study provides a theoretical foundation for enhancing the design and hydrodynamic performance of submerged water-jet propulsion systems. Full article
(This article belongs to the Section Ocean Engineering)
Show Figures

Figure 1

12 pages, 2342 KB  
Proceeding Paper
Study of the Influence of the Geometric Shape of Structural Elements on the Hydrodynamic Pattern in a Radial Precipitator
by Aleksandrina Bankova, Anastas Yangyozov, Stefan Tenev and Asparuh Atanasov
Eng. Proc. 2026, 122(1), 12; https://doi.org/10.3390/engproc2026122012 - 16 Jan 2026
Viewed by 208
Abstract
Wastewater treatment facilities of a diameter of approximately 15 m or more provide the opportunity to process large volumes of stormwater. The current report investigates the operation of a stormwater radial precipitator, without an impeller, working with particles of various sizes. A distinguishing [...] Read more.
Wastewater treatment facilities of a diameter of approximately 15 m or more provide the opportunity to process large volumes of stormwater. The current report investigates the operation of a stormwater radial precipitator, without an impeller, working with particles of various sizes. A distinguishing feature is that the two-phase flow is solely gravity-driven, which leads to reduced energy requirements. This entails the necessity of a facility in which the linear and the local losses are minimized as much as possible. Linear losses can be reduced by decreasing the precipitator’s size. The initially proposed 15 m diameter proved to be ineffective since the sand only reached a certain zone and could not flow further to the outlet due to the insufficient energy. Therefore, it was necessary to reduce the size of the radial precipitator, which resulted in a shorter path for the sand particles and the water, which, in turn, reduced the linear resistance. As for the local losses, it turned out that many areas of the precipitator construction could be geometrically modified to significantly reduce the energy loss of the sand–water mixture. The boundary layer cannot be removed. However, it is possible the size and the number of vortex structures inside the settler to be reduced in order to create an optimal working environment. Full article
Show Figures

Figure 1

19 pages, 6121 KB  
Article
Study on Particle Wear Mechanism of Slurry Pumps Based on Computational Fluid Dynamics-Discrete Element Method Coupling
by Meng Xue, Jianjun Peng, Xiangchen Ku and Guanhua Dong
Lubricants 2026, 14(1), 38; https://doi.org/10.3390/lubricants14010038 - 15 Jan 2026
Viewed by 300
Abstract
To investigate the influence of particle characteristics on wear in slurry pump flow-through components, this study established a computational fluid dynamics-discrete element method (CFD-DEM) coupled with the Archard wear model for numerical simulation of solid-liquid two-phase flow characteristics and wear mechanisms within the [...] Read more.
To investigate the influence of particle characteristics on wear in slurry pump flow-through components, this study established a computational fluid dynamics-discrete element method (CFD-DEM) coupled with the Archard wear model for numerical simulation of solid-liquid two-phase flow characteristics and wear mechanisms within the pump. Focusing on the correlation between wear contour distribution and particle collision frequency, the study systematically analyzed the influence mechanisms of particle concentration, size distribution, and shape on wear patterns within the pump. The reliability of the coupled model was validated through external characteristic tests. Results indicate that wear severity on both the impeller and volute increases significantly with rising particle concentration, while wall particle collision frequency exhibits a positive correlation with concentration. Particles of 1.5 mm diameter cause the most severe localized wear on the impeller, whereas the presence of mixed particles partially mitigates the wear effect of larger particles. Both total and localized wear on the volute peak at a particle diameter of 1 mm. Low-sphericity particles intensified overall wear on both the impeller and volute; while high-sphericity particles reduced overall wear, they induced more severe localized wear on the impeller. Volute localized wear was most pronounced at a sphericity of 0.84. This study elucidates the mechanism by which particle characteristics influence wear on slurry pump flow-through components, providing a theoretical basis for optimizing slurry pump design. Full article
Show Figures

Figure 1

18 pages, 4862 KB  
Article
Research on Mechanical Characteristics of Multi-Stage Centrifugal Pump Rotor Based on Fluid–Structure Interaction
by Haiyan Zhao, Yi Gao, Xiaodi Zhang, Zixing Yang and Wei Li
Water 2026, 18(2), 229; https://doi.org/10.3390/w18020229 - 15 Jan 2026
Viewed by 391
Abstract
This study investigates the mechanical characteristics of a multi-stage centrifugal pump rotor through fluid–structure interaction (FSI) analysis. A two-stage centrifugal pump equipped with back vanes on the trailing impeller is selected as the research object. Numerical simulations are performed based on the continuity [...] Read more.
This study investigates the mechanical characteristics of a multi-stage centrifugal pump rotor through fluid–structure interaction (FSI) analysis. A two-stage centrifugal pump equipped with back vanes on the trailing impeller is selected as the research object. Numerical simulations are performed based on the continuity equation and Reynolds-averaged Navier–Stokes (RANS) equations, with experimental data utilized to validate the numerical model’s accuracy. The internal flow field mechanisms are analyzed, and the effectiveness of two axial force calculation methods—formula-based and numerical simulation-based—for the rotor system is comprehensively evaluated. Employing an FSI-based modal analysis approach, the governing differential equations of motion are established and decoupled via Laplace transformation to introduce modal coordinates. Modal analysis of the pump rotor system is conducted, revealing the first six natural frequencies and corresponding vibration modes, along with critical speed calculations. The findings demonstrate that when the flow field near the back vanes exhibits complex characteristics, the formula-based axial force calculation shows reduced accuracy. In contrast, without back vanes, the hydraulic motion in the impeller rear chamber remains relatively stable, resulting in higher accuracy for formula-based axial force predictions. The calculation error between the two conditions (with/without back vanes) reaches 27.6%. Based on vibration mode characteristics and critical speed analysis, the pump is confirmed to operate within a safe region. The rotor system exhibits two similar adjacent natural frequencies differing by less than 1 Hz, with perpendicular vibration mode directions. Additionally, rotational speed fluctuations in the rotor system induce alternating critical speed phenomena when operating in this region. This study establishes a coupled analysis framework of “flow field stability–axial force calculation accuracy–rotor dynamic response”, quantifies the axial force calculation error patterns under different flow field conditions of a special pump type, supplements the basic data on axial force calculation accuracy for complex structure centrifugal pumps, and provides new theoretical insights and reference benchmarks for the study of hydraulic–mechanical coupling characteristics of similar fluid machinery. In engineering applications, it avoids over-design or under-design of thrust bearings to reduce manufacturing costs and operational risks. The revealed rotor modal characteristics, critical speed distribution, and frequency alternation phenomena can provide direct technical support for the optimization of operating parameters, vibration control, and structural improvement of pump units in industrial scenarios, thereby reducing rotor imbalance, bearing wear, and other failures. Full article
Show Figures

Figure 1

15 pages, 5094 KB  
Article
Experimental Study on the Evolution Characteristics of Sand-Laden Vortex Based on Energy Gradient Theory
by Liuyu Xu, Guanyan Chen and Xijie Song
J. Mar. Sci. Eng. 2026, 14(2), 166; https://doi.org/10.3390/jmse14020166 - 13 Jan 2026
Viewed by 257
Abstract
A sand-laden vortex is a common phenomenon in marine engineering, particularly in coastal near-bed water intake and pumping facilities, and is widely recognized as an unfavorable factor affecting the safe and efficient operation of hydraulic machinery. The purpose of this study is to [...] Read more.
A sand-laden vortex is a common phenomenon in marine engineering, particularly in coastal near-bed water intake and pumping facilities, and is widely recognized as an unfavorable factor affecting the safe and efficient operation of hydraulic machinery. The purpose of this study is to explore the energy characteristics of the development process of a sediment-laden vortex in the inlet pool. The research method is to use the V3V (Three-Dimensional Velocity Measurement System) to measure the three-dimensional velocity field of a sand-laden vortex, and analyze the energy characteristics of the evolution process of a sand-laden vortex in combination with energy gradient theory. The results indicate that in the early stage of vortex development, the turbulent kinetic energy of the sand-laden vortex gradually increases with time. After reaching its maximum value, the turbulent kinetic energy of the sediment-laden vortex continues to develop for about 0.4 s, then sharply decreases and completely dissipates within 0.3 s. The axial development speed of the vortex is closely related to the distance from the pump impeller. The energy gradient during the vortex evolution process indicates that the energy around the sand-laden vortex at different stages accumulates and dissipates as the vortex evolves. The research results of this article provide mechanistic insights into the evolution of a sand-laden vortex and offer theoretical support for sediment control and hydraulic optimization in marine and coastal pumping systems. Full article
(This article belongs to the Section Ocean Engineering)
Show Figures

Figure 1

29 pages, 8571 KB  
Article
Response Surface Methodology for Wear Optimization of Irrigation Centrifugal Pumps in High-Sediment Water Conditions of Southern Xinjiang: Design and Experimental Validation
by Haoran Chen, Zhuo Shi, Shunjun Hong and Xiaozhou Hu
Agriculture 2026, 16(2), 177; https://doi.org/10.3390/agriculture16020177 - 9 Jan 2026
Viewed by 299
Abstract
This study investigates the wear characteristics and optimization of a centrifugal pump (Q = 25 m3/h, H = 50 m, n = 2900 r/min) applied in sediment-laden waters of Southern Xinjiang irrigation systems. A numerical framework integrating the Realizable [...] Read more.
This study investigates the wear characteristics and optimization of a centrifugal pump (Q = 25 m3/h, H = 50 m, n = 2900 r/min) applied in sediment-laden waters of Southern Xinjiang irrigation systems. A numerical framework integrating the Realizable kε turbulence model, Discrete Phase Model (DPM), and Oka erosion model was established to analyze wear patterns under varying parameters (particle size, density, and mass flow rate). Results indicate that the average erosion rate peaks at 0.92 kg/s mass flow rate. Subsequently, a Response Surface Methodology (RSM)-based optimization was implemented: (1) Plackett–Burman (PB) screening identified the inlet placement angle (A), inlet diameter (C), and outlet width (E) as dominant factors; (2) Full factorial design (FFD) revealed significant interactions (e.g., A × C, C × E); (3) Box–Behnken Design (BBD) generated quadratic regression models for head, efficiency, shaft power, and wear rate (R2 > 0.94). Optimization reduced the average erosion rate by 31.35% (from 1.550 × 10−4 to 1.064 × 10−4 kg·m−2·s−1). Experimental validation confirmed the numerical model’s accuracy in predicting wear localization (e.g., impeller outlet). This work provides a robust methodology for enhancing the wear resistance of centrifugal pumps for agricultural irrigation in water with high fine sediment concentration environments. Full article
(This article belongs to the Section Agricultural Technology)
Show Figures

Figure 1

Back to TopTop