Orthogonal Optimization Design of the Compound Impeller for a New Type of Dishwasher Pump
Abstract
:1. Introduction
2. Orthogonal Optimal Design of Compound Impeller Factors
2.1. Geometry Parameters
2.2. Selection of Design Variables
2.3. Optimization Object and Orthogonal Scheme Design
3. Experimental Analysis of Orthogonal Optimization Scheme
3.1. Hydraulic Characteristic Test
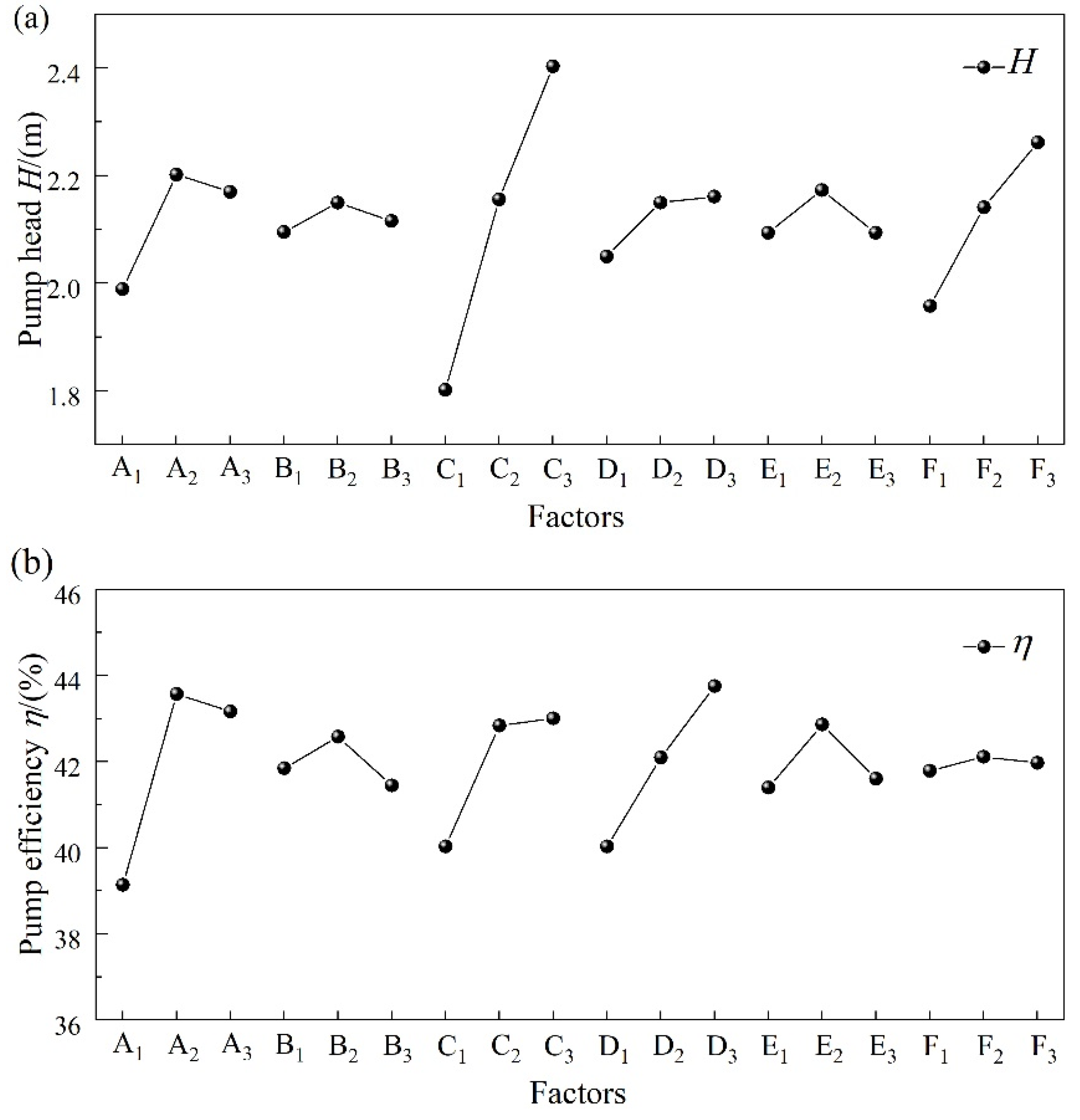
3.2. Direct Analysis of Orthogonal Experiment Scheme
3.3. Range Analysis of Orthogonal Experiment Scheme
4. Results
4.1. Comparison of Optimization Scheme under the Static-Volute Condition
4.2. Comparison of Optimization Scheme under the Rotating-Volute Condition
5. Conclusions
- (1)
- Six geometrical parameters, including key geometric parameters of traditional pumps (i.e., tip diameter of axial cascade D1, impeller outlet diameter D2, and impeller outlet width b2) and some special geometric parameters of this new type of pump (i.e., blade shape of axial cascade named profile line L, hub cover height h, and setting the angle of blade outlet β2 affecting the passive rotational speed of volute), were selected as the test factors to optimize. Orthogonal tests show that the main factors affecting the pump head and efficiency were impeller outlet diameter D2 and profile line L.
- (2)
- A specially designed test bench under the assumption of static-volute conditions was built to solve the difficult problem of the new pump without a pipeline system and its volute rotation to obtain hydraulic performances. By comparing the results of the original scheme, direct analysis, and range analysis, the scheme obtained by the range analysis was used to optimize the compound impeller, which yielded an increase of 0.3 m in the pump head and 2.99% in the pump efficiency under the rated condition.
- (3)
- Steady numerical simulations confirmed that the pump head and efficiency after optimization were significantly higher than that of the original scheme for all cases under the static-volute condition. After optimization, the internal pump pressure coefficient became considerably higher. Meanwhile, the flow uniformity and velocity magnitude in the compound impeller channel was also improved. Based on the entropy production analysis, the highest value of entropy occurred in the volute section, followed by the impeller. It was confirmed that the entropy production in each flow passage component of the new type of dishwasher pump was significantly reduced after optimization.
- (4)
- A specially design test (real machine test) bench for the new type of dishwasher pump was firstly built to obtain the passive rotating speed of the twin-volute, and corresponding test results confirmed that the optimization scheme, for which the passive rotating speed of the twin-volute was increased by 10 rpm as compared to the original design, remained feasible under the rotating-volute (actual operation) condition.
- (5)
- Unsteady numerical simulations confirmed that the pump head was increased by 0.54 m, and the pump efficiency increased by 7.46% after optimization. Meanwhile, the pressure difference between the inlet and outlet of the axial cascade increased, and the low-speed zone in the axial cascade outlet was improved. Based on the entropy production analysis, the volute rotation angles had little effect on the entropy production, but the entropy production at the impeller decreased significantly under the rotating-volute condition. Further, the entropy production of each flow passage component after the optimization was also smaller than that of the original design.
- (6)
- Based on the results of the hydraulic performance test, steady simulation, real machine test, and unsteady simulation, it was confirmed that the orthogonal optimization test was feasible in the application of the new type of dishwasher pump to solve the problem that the performance of this kind of pump is difficult to measure and optimize. The proposed method and the obtained results herein provide a useful reference for the development of subsequent hydraulic models of dishwasher pumps.
Author Contributions
Funding
Conflicts of Interest
References
- Ning, C.; Li, Y.; Huang, P.; Xu, H.; Zheng, F. Numerical analysis of a new type of dishwasher pump for different rotation speeds of the volute. Front. Energy Res. 2022, 9, 825159. [Google Scholar] [CrossRef]
- Ah, R.; Jung, Y.; Jin, H.; Wisam, J.; Han, S. Development of flow visualization technique for analysis of flow distribution inside dishwasher. J. Korean Soc. Vis. 2013, 11, 12–17. [Google Scholar] [CrossRef]
- Dedoussis, V.; Giannatsis, J. Stereolithography assisted redesign and optimization of a dishwasher spraying arm. Rapid Prototyp. J. 2004, 10, 255–260. [Google Scholar] [CrossRef]
- Santori, G.; Frazzica, A.; Freni, A.; Galieni, M.; Bonaccorsi, L.; Polonara, F.; Restuccia, G. Optimization and testing on an adsorption dishwasher. Energy 2013, 50, 170–176. [Google Scholar] [CrossRef]
- Pérez-Mohedano, R.; Letzelter, N.; Amador, C.; Vanderroest, C.; Bakalis, S. Positron emission particle tracking (PEPT) for the analysis of water motion in a domestic dishwasher. Chem. Eng. J. 2015, 259, 724–736. [Google Scholar] [CrossRef]
- Pérez-Mohedano, R.; Letzelter, N.; Bakalis, S. Integrated model for the prediction of cleaning profiles inside an automatic dishwasher. J. Food Eng. 2017, 196, 101–112. [Google Scholar] [CrossRef]
- Minde, M. Validation of Dishwasher CFD Model Using PIV. Master Thesis, Lulea University of Technology, Lulea, Sweden, 2016. [Google Scholar]
- Zhang, F.; Fleder, A.; Bohle, M.; Yuan, S. Effect of suction side blade profile on the performance of a side channel pump. Proceedings of the Institution of Mechanical Engineers, Part, A.J. Power Energy 2016, 230, 586–597. [Google Scholar] [CrossRef]
- Cui, B.; Wang, C.; Zhu, Z.; Jin, Y. Influence of blade outlet angle on performance of low-specific-speed centrifugal pump. J. Therm. Sci. 2013, 22, 117–122. [Google Scholar] [CrossRef]
- Fu, D.; Wang, F.; Zhou, P.; Xiao, R.; Yao, Z. Impact of impeller stagger angles on pressure fluctuation for a double-suction centrifugal pump. Chin. J. Mech. Eng. 2018, 31, 198–211. [Google Scholar] [CrossRef]
- Sanjay, V.; Abhishek, S.; Karan, H.; Patel, R. Effects of impeller diameter and rotational speed on performance of pump running in turbine mode. Energy Convers. Manag. 2015, 89, 808–824. [Google Scholar] [CrossRef]
- Mohammad, H.; Salman, S. Effects of impeller geometry modification on performance of pump as turbine in the urban water distribution network. Energy 2022, 255, 124550. [Google Scholar] [CrossRef]
- Zeynel, A.; Mustafa, N. Investigation of the effect of the stages Number, the impeller outlet width, and the impeller outlet angle on the performance of an industrial electric submersible pump. J. Fluids Eng. 2022, 144, 081203. [Google Scholar] [CrossRef]
- Wang, W.; Tai, G.; Pei, J.; Pavesi, G.; Yuan, S. Numerical investigation of the effect of the closure law of wicket gates on the transient characteristics of pump-turbine in pump mode. Renew. Energy 2022, 194, 719–733. [Google Scholar] [CrossRef]
- Zhu, Y.; Zhang, J.; Li, Y.; Huang, P.; Xu, H.; Zheng, F. Experimental investigation of unsteady pressure pulsation in new type dishwasher pump with special double-tongue volute. Machines 2021, 9, 288. [Google Scholar] [CrossRef]
- Zhang, J.; Zhu, Y.; Li, Y.; Huang, P.; Xu, H.; Zheng, F. Investigation of unsteady pressure pulsation in new type dishwasher pump with special double tongue volute. Shock. Vib. 2022, 2022, 9349432. [Google Scholar] [CrossRef]
- Thakkar, S.; Vala, H.; Patel, V.; Patel, R. Performance improvement of the sanitary centrifugal pump through an integrated approach based on response surface methodology, multi-objective optimization and CFD. J. Braz. Soc. Mech. Sci. Eng. 2021, 43, 24. [Google Scholar] [CrossRef]
- Shim, H.S.; Kim, K.Y. Design optimization of the impeller and volute of a centrifugal pump to improve the hydraulic performance and flow stability. J. Fluids Eng. 2020, 142, 101211. [Google Scholar] [CrossRef]
- Xu, Y.; Tan, L.; Cao, S.; Qu, W. Multiparameter and multi-objective optimization design of centrifugal pump based on orthogonal method. Proc. Inst. Mech. Eng. Part C J. Mech. Eng. Sci. 2017, 231, 2569–2579. [Google Scholar] [CrossRef]
- Zhao, F.; Kong, F.; Zhou, Y.; Xia, B.; Bai, Y. Optimization design of the impeller based on orthogonal test in an ultra-low specific speed magnetic drive pump. Energies 2019, 12, 4767. [Google Scholar] [CrossRef]
- Quan, H.; Guo, Y.; Li, R.; Su, Q.; Chai, Y. Optimization design and experimental study of vortex pump based on orthogonal test. Sci. Prog. 2019, 103, 003685041988188. [Google Scholar] [CrossRef] [Green Version]
- Yang, Y.; Zhou, L.; Zhou, H.; Lv, W.; Wang, J.; Shi, W.; He, Z. Optimal design of slit impeller for low specific speed centrifugal pump based on orthogonal test. J. Mar. Sci. Eng. 2021, 9, 121. [Google Scholar] [CrossRef]
- Li, Z.; Ding, H.; Shen, X.; Jian, Y. Performance optimization of high specific speed centrifugal pump based on orthogonal experiment design method. Processes 2019, 7, 728. [Google Scholar] [CrossRef]
- Li, D.; Wang, H.; Qin, Y.; Han, L.; Wei, X.; Qin, D. Entropy production analysis of hysteresis characteristic of a pump-turbine model. Energy Convers. Manag. 2017, 149, 175–191. [Google Scholar] [CrossRef]
- Behzadmehr, A.; Mercadier, Y. Numerical study of flow parameters and entropy generation on a centrifugal fan. Int. J. Exergy 2009, 6, 80–92. [Google Scholar] [CrossRef]
- Tang, X.; Jiang, W.; Li, Q.; Hou, G.; Ning, Z.; Wang, Y.; Chen, D. Analysis of hydraulic loss of the centrifugal pump as turbine based on internal flow feature and entropy generation theory. Sustain. Energy Technol. Assess. 2022, 52, 102070. [Google Scholar] [CrossRef]
- Ji, L.; Li, W.; Shi, W.; Tian, F.; Agarwal, R. Diagnosis of internal energy characteristics of mixed-flow pump within stall region based on entropy production analysis model. Int. Commun. Heat Mass Transf. 2020, 117, 104784. [Google Scholar] [CrossRef]
- Kock, F.; Herwig, H. Local entropy production in turbulent shear flows: A high-Reynolds number model with wall functions. Int. J. Heat Mass Transf. 2004, 47, 2205–2215. [Google Scholar] [CrossRef]
- Ghasemi, E.; Mceligot, D.; Nolan, K.; Crepeau, J.; Tokuhiro, A.; Budwig, R. Entropy generation in a transitional boundary layer region under the influence of freestream turbulence using transitional RANS models and DNS. Int. Commun. Heat Mass Transf. 2013, 41, 10–16. [Google Scholar] [CrossRef]
- Mceligot, D.; Nolan, K.; Walsh, E.; Laurien, E. Effects of pressure gradients on entropy generation in the viscous layers of turbulent wall flows. Int. J. Heat Mass Transf. 2008, 51, 1104–1114. [Google Scholar] [CrossRef]





















| Level | Factor | |||||
|---|---|---|---|---|---|---|
| A | B | C | D | E | F | |
| L | D1/mm | D2/mm | b2/mm | h/mm | β2/° | |
| 1 | 1 | 30 | 41 | 12 | 13 | 60 |
| 2 | 2 | 32 | 43 | 14 | 14 | 90 |
| 3 | 3 | 34 | 45 | 16 | 15 | 120 |
| Scheme No. | Factor Symbol | Factor Value | ||||||||||
|---|---|---|---|---|---|---|---|---|---|---|---|---|
| A | B | C | D | E | F | A (-) | B (mm) | C (mm) | D (mm) | E (mm) | F (°) | |
| 1 | A1 | B1 | C1 | D1 | E1 | F1 | 1 | 30 | 41 | 12 | 13 | 60 |
| 2 | A1 | B1 | C2 | D2 | E3 | F3 | 1 | 30 | 43 | 14 | 15 | 120 |
| 3 | A1 | B2 | C1 | D3 | E3 | F2 | 1 | 32 | 41 | 16 | 15 | 90 |
| 4 | A1 | B2 | C3 | D1 | E2 | F3 | 1 | 32 | 45 | 12 | 14 | 120 |
| 5 | A1 | B3 | C2 | D3 | E2 | F1 | 1 | 34 | 43 | 16 | 14 | 60 |
| 6 | A1 | B3 | C3 | D2 | E1 | F2 | 1 | 34 | 45 | 14 | 13 | 90 |
| 7 | A2 | B1 | C1 | D3 | E2 | F3 | 2 | 30 | 41 | 16 | 14 | 120 |
| 8 | A2 | B1 | C3 | D1 | E3 | F2 | 2 | 30 | 45 | 12 | 15 | 90 |
| 9 | A2 | B2 | C2 | D2 | E2 | F2 | 2 | 32 | 43 | 14 | 14 | 90 |
| 10 | A2 | B2 | C3 | D3 | E1 | F1 | 2 | 32 | 45 | 16 | 13 | 60 |
| 11 | A2 | B3 | C1 | D2 | E3 | F1 | 2 | 34 | 41 | 14 | 15 | 60 |
| 12 | A2 | B3 | C2 | D1 | E1 | F3 | 2 | 34 | 43 | 12 | 13 | 120 |
| 13 | A3 | B1 | C2 | D3 | E1 | F2 | 3 | 30 | 43 | 16 | 13 | 90 |
| 14 | A3 | B1 | C3 | D2 | E2 | F1 | 3 | 30 | 45 | 14 | 14 | 60 |
| 15 | A3 | B2 | C1 | D2 | E1 | F3 | 3 | 32 | 41 | 14 | 13 | 120 |
| 16 | A3 | B2 | C2 | D1 | E3 | F1 | 3 | 32 | 43 | 12 | 15 | 60 |
| 17 | A3 | B3 | C1 | D1 | E2 | F2 | 3 | 34 | 41 | 12 | 14 | 90 |
| 18 | A3 | B3 | C3 | D3 | E3 | F3 | 3 | 34 | 45 | 16 | 15 | 120 |
| Performance Index | Factor | ||||||
|---|---|---|---|---|---|---|---|
| A | B | C | D | E | F | ||
| H/m | K1 | 11.934 | 12.569 | 10.811 | 12.298 | 12.564 | 11.748 |
| K2 | 13.21 | 12.901 | 12.937 | 12.901 | 13.038 | 12.847 | |
| K3 | 13.02 | 12.694 | 14.416 | 12.965 | 12.562 | 13.569 | |
| k1 | 1.989 | 2.095 | 1.802 | 2.05 | 2.094 | 1.958 | |
| k2 | 2.202 | 2.15 | 2.156 | 2.15 | 2.173 | 2.141 | |
| k3 | 2.17 | 2.116 | 2.403 | 2.161 | 2.094 | 2.262 | |
| Range | RH | 0.213 | 0.055 | 0.601 | 0.111 | 0.079 | 0.304 |
| Performance Index | Factor | ||||||
|---|---|---|---|---|---|---|---|
| A | B | C | D | E | F | ||
| η/% | K1 | 234.849 | 251.114 | 240.208 | 240.183 | 248.412 | 250.752 |
| K2 | 261.451 | 255.466 | 257.037 | 252.569 | 257.208 | 252.671 | |
| K3 | 258.982 | 248.702 | 258.037 | 262.53 | 249.662 | 251.859 | |
| k1 | 39.142 | 41.852 | 40.035 | 40.031 | 41.402 | 41.792 | |
| k2 | 43.575 | 42.578 | 42.84 | 42.095 | 42.868 | 42.112 | |
| k3 | 43.164 | 41.45 | 43.006 | 43.755 | 41.61 | 41.977 | |
| Range | Rη | 4.433 | 1.128 | 2.971 | 3.724 | 1.466 | 0.32 |
| Original Scheme | Scheme by Direct Analysis | Scheme by Range Analysis | |
|---|---|---|---|
| H/m | 2.24 | 2.36 | 2.54 |
| η/% | 42.52 | 45.44 | 45.51 |
Publisher’s Note: MDPI stays neutral with regard to jurisdictional claims in published maps and institutional affiliations. |
© 2022 by the authors. Licensee MDPI, Basel, Switzerland. This article is an open access article distributed under the terms and conditions of the Creative Commons Attribution (CC BY) license (https://creativecommons.org/licenses/by/4.0/).
Share and Cite
Li, Y.; Sun, H.; Xu, H.; Wang, X.; Li, Y. Orthogonal Optimization Design of the Compound Impeller for a New Type of Dishwasher Pump. Processes 2022, 10, 1813. https://doi.org/10.3390/pr10091813
Li Y, Sun H, Xu H, Wang X, Li Y. Orthogonal Optimization Design of the Compound Impeller for a New Type of Dishwasher Pump. Processes. 2022; 10(9):1813. https://doi.org/10.3390/pr10091813
Chicago/Turabian StyleLi, Yanjun, Haichao Sun, Hui Xu, Xikun Wang, and Yalin Li. 2022. "Orthogonal Optimization Design of the Compound Impeller for a New Type of Dishwasher Pump" Processes 10, no. 9: 1813. https://doi.org/10.3390/pr10091813
APA StyleLi, Y., Sun, H., Xu, H., Wang, X., & Li, Y. (2022). Orthogonal Optimization Design of the Compound Impeller for a New Type of Dishwasher Pump. Processes, 10(9), 1813. https://doi.org/10.3390/pr10091813

