Journal Description
Journal of Clinical Medicine
Journal of Clinical Medicine
is an international, peer-reviewed, open access journal of clinical medicine, published semimonthly online by MDPI. The International Bone Research Association (IBRA), Spanish Society of Hematology and Hemotherapy (SEHH), Japan Association for Clinical Engineers (JACE), European Independent Foundation in Angiology/ Vascular Medicine (VAS) and others are all affiliated with JCM, and their members receive a discount on article processing charges.
- Open Access— free for readers, with article processing charges (APC) paid by authors or their institutions.
- High Visibility: indexed within Scopus, SCIE (Web of Science), PubMed, PMC, Embase, CAPlus / SciFinder, and other databases.
- Journal Rank: JCR - Q1 (Medicine, General and Internal) / CiteScore - Q1 (General Medicine)
- Rapid Publication: manuscripts are peer-reviewed and a first decision is provided to authors approximately 18.5 days after submission; acceptance to publication is undertaken in 2.7 days (median values for papers published in this journal in the second half of 2025).
- Recognition of Reviewers: reviewers who provide timely, thorough peer-review reports receive vouchers entitling them to a discount on the APC of their next publication in any MDPI journal, in appreciation of the work done.
- Companion journals for JCM include: Epidemiologia, Transplantology, Uro, Sinusitis, Rheumato, Journal of Clinical & Translational Ophthalmology, Journal of Vascular Diseases, Osteology, Complications, Therapeutics, Sclerosis, Pharmacoepidemiology, Journal of CardioRenal Medicine and Rare Diseases and Therapeutics.
- Journal Clusters of Hematology: Hemato, Hematology Reports, Thalassemia Reports and Journal of Clinical Medicine.
Impact Factor:
2.9 (2024);
5-Year Impact Factor:
3.3 (2024)
Latest Articles
Beyond the Classic Latissimus Dorsi Flap: A Decision-Making Algorithm for Technique Selection in Complex Breast Reconstruction
J. Clin. Med. 2026, 15(9), 3500; https://doi.org/10.3390/jcm15093500 (registering DOI) - 2 May 2026
Abstract
Background: The latissimus dorsi (LD) flap remains a reliable option for breast reconstruction in irradiated, salvage, and non-microsurgical candidates. Despite the availability of multiple LD-based variants, practical guidance for technique selection remains limited. Methods: We retrospectively analyzed 40 consecutive LD-based breast
[...] Read more.
Background: The latissimus dorsi (LD) flap remains a reliable option for breast reconstruction in irradiated, salvage, and non-microsurgical candidates. Despite the availability of multiple LD-based variants, practical guidance for technique selection remains limited. Methods: We retrospectively analyzed 40 consecutive LD-based breast reconstructions performed over 5 years at two Italian centers. Cases were categorized as classic LD, hybrid LD, extended LD, V-FALD, or KISS flap. Clinical variables, reconstructive setting, complications, and reoperations were described, and a decision-making algorithm was derived from institutional practice and literature integration. Results: The cohort was characterized by a high-complexity profile, with 36/40 patients (90%) exposed to radiotherapy and 22/40 (55%) treated in a salvage setting. Hybrid LD was the most frequently used technique, accounting for 23/40 cases (57.5%), followed by KISS flap in 6/40 (15%), extended LD in 5/40 (12.5%), V-FALD in 4/40 (10%), and classic LD alone in 2/40 (5%). Technique selection was primarily driven by skin-envelope adequacy, breast volume requirement, and the feasibility of a fully autologous reconstruction. Major complications occurred in 2/40 patients (5%), revision surgery occurred in 3/40 (7.5%), and no total flap necrosis was observed. Donor-site morbidity occurred in 10/40 (25%) of cases and was managed conservatively. Conclusions: LD-based breast reconstruction should be viewed as a versatile reconstructive platform rather than a single technique. A pragmatic algorithm may support surgical planning and help tailor the most appropriate LD variant to defect characteristics and reconstructive goals.
Full article
(This article belongs to the Special Issue Advances in Breast Reconstruction: New Technologies Improving Clinical Outcomes)
►
Show Figures
Open AccessArticle
Adult Circumcision for Symptomatic Phimosis in Poland: Six-Month Patient-Reported Sexual Function and Psychosocial Outcomes from a Central European Low-Circumcision Setting
by
Michał Falis, Michalina Grudzińska, Weronika Michałowska, Michał Wróbel, Julia Świechowska, Hubert Dyrszka, Michał Bałenkowski, Marcin Matuszewski and Mateusz Czajkowski
J. Clin. Med. 2026, 15(9), 3499; https://doi.org/10.3390/jcm15093499 (registering DOI) - 2 May 2026
Abstract
Background: Adult circumcision is an effective surgical treatment for symptomatic phimosis, but its effects on sexual function and psychosocial outcomes remain incompletely characterized. This study aimed to assess patient-reported motivations for circumcision due to phimosis and to evaluate changes in sexual function,
[...] Read more.
Background: Adult circumcision is an effective surgical treatment for symptomatic phimosis, but its effects on sexual function and psychosocial outcomes remain incompletely characterized. This study aimed to assess patient-reported motivations for circumcision due to phimosis and to evaluate changes in sexual function, genital self-image, and depressive symptoms after surgery. Methods: We performed a prospective, single-center observational pre–post cohort study of adult men who underwent circumcision for symptomatic phimosis at a tertiary academic center in Poland between January 2023 and April 2025. Participants completed an author-designed questionnaire and validated patient-reported outcome measures before surgery and at six months after circumcision. The primary endpoint was the change in sexual function measured by the International Index of Erectile Function (IIEF-15). Secondary endpoints included changes in genital self-image assessed using the Male Genital Self-Image Scale (MGSIS-7), depressive symptoms measured with the Beck Depression Inventory (BDI-II), and patient-reported motivations for surgery. Paired comparisons were performed using the Wilcoxon signed-rank test. Results: A total of 148 men were included in the study. The most common reasons for surgery were pain/discomfort (58/148, 39.2%) and impaired sexual activity (51/148, 34.5%). The total IIEF-15 score increased from 46.4 ± 20.4 to 57.5 ± 21.0 (p < 0.001), with significant improvements across all domains (all p < 0.001). The total MGSIS-7 score improved from 19.9 ± 4.5 to 23.1 ± 4.0 (p < 0.001). Paired BDI-II data were available for 77 men; the total BDI-II score decreased from 1.2 ± 3.8 to 0.3 ± 1.6 (p = 0.004). Most men reported improved sexual life (127/148, 85.8%) and cosmetic satisfaction (124/148, 83.8%), and 119/148 (80.4%) reported no complications. Conclusions: Circumcision for symptomatic phimosis was associated with improved sexual function and genital self-image, alongside a statistically significant but clinically negligible decrease in subclinical depressive symptoms.
Full article
(This article belongs to the Section Reproductive Medicine & Andrology)
►▼
Show Figures

Figure 1
Open AccessArticle
Beyond Analgesics: Physical Activity as a Potential Approach to Pain-Related Outcomes in Older Adults—Preliminary Evidence
by
Aleksandra Budzisz
J. Clin. Med. 2026, 15(9), 3498; https://doi.org/10.3390/jcm15093498 (registering DOI) - 2 May 2026
Abstract
Background/Objectives: With an increasing number of older adults remaining physically active into later life, there is a growing need to understand how they manage pain and stress without relying on pharmacological treatment. Although regular physical activity supports functional independence and psychological resilience,
[...] Read more.
Background/Objectives: With an increasing number of older adults remaining physically active into later life, there is a growing need to understand how they manage pain and stress without relying on pharmacological treatment. Although regular physical activity supports functional independence and psychological resilience, many active older adults still experience fluctuating pain or stress. However, they often prefer non-pharmacological strategies and avoid analgesics, even when experiencing pain. Yoga interventions are widely used to address both physical and psychological components of health across diverse populations. Methods: Twenty-three adults aged ≥65 years participated in a once-weekly, 60 min yoga program. Pain intensity (VAS), pain vigilance and passive awareness (PVAQ), coping strategies (CSQ), and depression, anxiety, and stress (DASS-21) were assessed pre- and post-intervention. Repeated-measures ANOVA and correlational analyses were conducted. Exploratory moderation analyses examined whether individual characteristics (physical activity, age, and yoga experience) influenced associations between changes in pain-related variables. Results: After participation in a 7-week yoga program, significant differences were observed: perceived stress decreased, and passive pain awareness increased. No significant changes occurred in pain intensity, fear, depression (although a decrease was observed), or coping strategies, although participants predominantly used adaptive coping at both time points. Moderation analyses showed that physical activity buffered the association between increased passive pain awareness and heightened pain, whereas age and prior yoga experience strengthened this association. Conclusions: Even in physically active older adults, yoga participation was associated with changes in passive pain awareness and reduced stress. However, increases in passive pain awareness may differentially influence pain depending on age, physical activity level, and previous yoga experience.
Full article
(This article belongs to the Special Issue Clinical Management in Chronic Pain: Innovations, Integration, and Interventions)
►▼
Show Figures

Figure 1
Open AccessArticle
Safety and Efficacy Performance of Coaxial 18G vs. 20G Needles for Pediatric Percutaneous Liver Biopsy: A Retrospective Cohort Study
by
Gil N. Bachar, Shlomit Tamir, Aeonv Choen, Yael Rapson, Ahuva Grubstein and Eli Atar
J. Clin. Med. 2026, 15(9), 3497; https://doi.org/10.3390/jcm15093497 (registering DOI) - 2 May 2026
Abstract
Background: Percutaneous liver biopsy is a cornerstone in the diagnostic and therapeutic management of pediatric liver diseases. However, data on the optimal needle gauge for coaxial techniques in children remain scarce. Smaller-gauge needles may theoretically enhance safety but could potentially compromise diagnostic yield.
[...] Read more.
Background: Percutaneous liver biopsy is a cornerstone in the diagnostic and therapeutic management of pediatric liver diseases. However, data on the optimal needle gauge for coaxial techniques in children remain scarce. Smaller-gauge needles may theoretically enhance safety but could potentially compromise diagnostic yield. Objectives: The primary objective of this study was to evaluate and compare the safety and diagnostic clinical adequacy of ultrasound-guided percutaneous liver biopsies performed with semi-automated 20G versus 18G coaxial needles in pediatric patients. Patients and Methods: This retrospective cohort study included consecutive patients aged ≤19 years who underwent percutaneous non-targeted liver biopsies at a tertiary medical center between 2006 and 2012. Patient demographics, biopsy technique parameters (including needle gauge, number of cores, and tract embolization), and procedure-related complications were analyzed. Procedural success was defined by diagnostic and clinical adequacy, requiring a definitive pathology report and the presence of ≥7 portal tracts (the widely accepted threshold for a reliable histologic diagnosis). Complications were classified according to the Society of Interventional Radiology guidelines. Results: A total of 320 biopsies were performed in 260 patients (44.6% female; mean age 7.4 ± 6.0 years). Common indications included post-liver transplantation surveillance (28.4%) and unexplained liver enzyme elevation (22.5%). Biopsies were performed using 18G (n = 148; 46.3%) or 20G (n = 172; 53.7%) coaxial needles. Diagnostic and clinical adequacy was achieved in 100% of the procedures, with biopsy results directly influencing clinical management in 39.7% of cases. The overall complication rate was 5.3% (3.4% minor, 1.9% major), with no procedure-related mortality. While raw complication rates were numerically higher in the 20G group (likely to reflect an operator-driven selection bias for younger or higher-risk patients), the differences between the 18G and 20G needles were not statistically significant. Notably, the use of the 20G needle was associated with a significantly reduced clinical need for post-biopsy tract embolization. Conclusions: Our findings demonstrate no statistically significant differences in complication rates or diagnostic clinical adequacy between 18G and 20G coaxial needles for pediatric percutaneous liver biopsies. When selected based on appropriate clinical judgment, the 20G needle provides a high diagnostic yield and serves as an effective option, particularly for reducing the need for tract embolization. However, both 18G and 20G needles represent acceptable clinical options within the pediatric interventional armamentarium. Ultimately, the choice of needle gauge should be meticulously tailored to individual patient characteristics, bleeding risk profiles, and specific clinical indications, rather than uniformly recommending a smaller gauge across all pediatric age groups.
Full article
(This article belongs to the Section Nuclear Medicine & Radiology)
Open AccessArticle
Evaluation of Left Ventricular Papillary Muscles Using Targeted Views by Echocardiography
by
Linyue Zhang, Yuji Xie, Xin Zhang, Yihan Chen, Yun Yang, He Li, Yuman Li and Mingxing Xie
J. Clin. Med. 2026, 15(9), 3496; https://doi.org/10.3390/jcm15093496 (registering DOI) - 2 May 2026
Abstract
Background: Papillary muscles (PMs) are important for mitral valve competence and left ventricular mechanics, but accurate evaluation is often limited by poor visualization in conventional echocardiographic views. We developed papillary muscle–targeted (PM-targeted) echocardiographic views to improve PM visualization and aimed to validate this
[...] Read more.
Background: Papillary muscles (PMs) are important for mitral valve competence and left ventricular mechanics, but accurate evaluation is often limited by poor visualization in conventional echocardiographic views. We developed papillary muscle–targeted (PM-targeted) echocardiographic views to improve PM visualization and aimed to validate this approach and establish normative reference values in healthy adults. Methods: In protocol 1, posteromedial papillary muscle (PPM) length and maximum diameter measured using PM-targeted and standard views were compared with anatomic measurements in ten ex vivo porcine hearts. In protocol 2, measurements of the anterolateral papillary muscle (APM) and PPM were compared between PM-targeted and standard views in 100 healthy adults. In protocol 3, PM structural, spatial, and functional parameters were measured using PM-targeted views in 245 healthy adults. In protocol 4, PM measurements obtained from 2D PM-targeted views were compared with 3D echocardiographic measurements in 50 patients with ventricular functional mitral regurgitation (VFMR); PM parameters in VFMR were also compared with those in healthy adults. Results: In protocol 1, PM-targeted views showed stronger correlation with anatomic measurements for PPM length than standard views (0.966 vs. 0.752, p = 0.049), while standard views underestimated PPM length. In protocol 2, PM-targeted views enabled complete visualization of APM and PPM and yielded longer PM lengths and smaller maximum diameters than standard views. In protocol 3, males had larger PM maximum diameters and longer tip-to-annulus distances than females (all p < 0.05). With aging, interpapillary distance reduction (ΔIPMD), IPMD fractional shortening (IPMD-FS), and APM length decreased, whereas end-systolic IPMD increased (all p < 0.05). PM parameters correlated positively with body surface area (all p < 0.05). In protocol 4, PM measurements obtained from 2D PM-targeted views showed no differences from 3D echocardiographic measurements and demonstrated good correlation and agreement across assessed PM parameters against 3D echocardiographic measurement as a standard reference. Compared with healthy adults, patients with VFMR showed altered PM geometry/remodeling patterns. Conclusions: PM-targeted echocardiographic views improve visualization and measurement of papillary muscles and provide normative reference values, facilitating more accurate evaluation of PM-related abnormalities in clinical practice.
Full article
(This article belongs to the Special Issue Novel Research in Cardiovascular Imaging)
Open AccessArticle
Risk Factors and Prediction of Acute Kidney Injury in Hospitalized Urology Patients: A Retrospective Cohort Study
by
Nomy Levin Iaina, Hesham Elshami and Murad Asali
J. Clin. Med. 2026, 15(9), 3495; https://doi.org/10.3390/jcm15093495 (registering DOI) - 2 May 2026
Abstract
Background/Objectives: Acute kidney injury (AKI) is a clinically important complication among hospitalized urology patients. However, data from general urology inpatient populations remain limited. We aimed to assess AKI frequency in a monitored urology inpatient cohort, identify associated predictors, and develop an exploratory admission-based
[...] Read more.
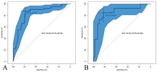
Background/Objectives: Acute kidney injury (AKI) is a clinically important complication among hospitalized urology patients. However, data from general urology inpatient populations remain limited. We aimed to assess AKI frequency in a monitored urology inpatient cohort, identify associated predictors, and develop an exploratory admission-based risk stratification model. Methods: We conducted a retrospective observational cohort study of adults admitted to a tertiary urology ward between June 2023 and May 2024 who had at least two serum creatinine measurements during hospitalization. AKI was defined according to Kidney Disease: Improving Global Outcomes (KDIGO) serum creatinine criteria. Demographic, clinical, laboratory, and procedural data were analyzed. Multivariable logistic regression identified factors associated with AKI and was used to construct a reduced exploratory admission-based risk model. Results: Among 196 monitored patients, 67 (34.2%) developed AKI during hospitalization, and 82.1% had KDIGO Stage 1 AKI. Higher admission serum creatinine, hypertension, nephrolithiasis, and ureteral interventions were independently associated with AKI. AKI was also associated with longer hospitalization (6.4 ± 4.2 vs. 5.1 ± 3.2 days, p = 0.044). The reduced exploratory model identified low-, intermediate-, and high-risk groups with progressively increasing AKI incidence (7.7%, 32.3%, and 76%, respectively; AUC = 0.76). Conclusions: In this monitored cohort, AKI was frequent and associated with admission characteristics and prolonged hospitalization. These findings support targeted renal monitoring in higher-risk patients. The admission-based risk model is exploratory and requires validation in prospective multicenter cohorts before clinical implementation.
Full article
(This article belongs to the Special Issue Acute Kidney Injury: Latest Advances and Prospects)
►▼
Show Figures

Figure 1
Open AccessReview
Functional Liver Recovery After Major Hepatectomy: Integrating Hemodynamic Optimization and Oxidative Stress
by
Vanja Silić, Ivan Romić, Daniela Bandić Pavlović, Goran Pavlek, Gzim Redžepi and Emil Kinda
J. Clin. Med. 2026, 15(9), 3494; https://doi.org/10.3390/jcm15093494 (registering DOI) - 2 May 2026
Abstract
Background: Major liver resections that include the removal of four or more Couinaud segments require precise assessment of the future liver remnant (FLR) to prevent post-hepatectomy liver failure (PHLF). Volumetry, although standard in surgical planning, does not always reflect true functional reserve,
[...] Read more.
Background: Major liver resections that include the removal of four or more Couinaud segments require precise assessment of the future liver remnant (FLR) to prevent post-hepatectomy liver failure (PHLF). Volumetry, although standard in surgical planning, does not always reflect true functional reserve, especially in steatotic, fibrotic or chemotherapy-damaged liver. Methods: This review proposes an integrative physiological framework of functional liver recovery after a major hepatectomy that connects preoperative functional assessments—indocyanine clearance (ICG-PDR), Liver Maximum Function Capacity test (LiMAx) and 99mTc-mebrofenin SPECT/CT—with perioperative hemodynamic, oxidative and metabolic parameters. A narrative literature review was performed using PubMed and Web of Science, covering publications from January 2000 to January 2025. The search combined keywords and MeSH terms such as major hepatectomy, liver regeneration, hemodynamic optimization, oxidative stress and post-hepatectomy liver failure. We focused on clinically relevant studies, including randomized controlled studies and consensus guidelines, and complemented the search by screening the reference lists of selected articles. When direct clinical evidence was limited, a physiologically grounded interpretation was used to support a pragmatic framework for perioperative management. Results: The framework integrates three complementary physiological domains that together determine functional liver recovery. The first relates to hemodynamic stability, including optimal maintenance of arterial and venous pressures as well as portal-splanchnic gradients, which support adequate perfusion and oxygenation of hepatocytes. The second addresses the balance between oxidative stress and antioxidant defense, where the key indicators are the level of lipid peroxidation and endogenous antioxidant capacity. The third domain evaluates the functional ability of the liver through dynamic tests of synthesis and metabolism, such as factor V, indocyanine clearance (ICG-PDR), and the LiMAx test. With the integration of these three domains, a functional profile of liver recovery can be defined, facilitating monitoring of the physiological response in real time and guiding individualized perioperative support to the individual needs of the patient. Conclusions: Functional recovery follows a dynamic continuum, progressing from early reperfusion stress through hemodynamic stabilization to progressive hepatocellular regeneration. Integration of functional FLR assessment with perioperative physiological monitoring may support more individualized prediction of the regenerative capacity and therapeutic decision-making. This physiology-guided perspective extends assessment beyond remnant volume alone to include functional recovery.
Full article
(This article belongs to the Special Issue Latest Updates on Liver Surgery, Liver Regeneration, and Liver Transplantation)
►▼
Show Figures

Figure 1
Open AccessArticle
Clinical Characteristics of Adolescents Admitted to a Child and Adolescent Psychiatry Department in Poland: A Retrospective Chart Review
by
Magdalena Uzar, Weronika Zwolińska, Tomasz Hałas, Aleksandra Hajdo-Kołbuc and Agnieszka Słopień
J. Clin. Med. 2026, 15(9), 3493; https://doi.org/10.3390/jcm15093493 (registering DOI) - 2 May 2026
Abstract
Background/Objectives: Adolescents admitted for emergency psychiatric hospitalization frequently present with severe and heterogeneous psychopathology. In clinical practice, some adolescent inpatients appear to present a broader symptom pattern suggestive of emotional dysregulation. However, it remains unclear whether they can truly be distinguished in this
[...] Read more.
Background/Objectives: Adolescents admitted for emergency psychiatric hospitalization frequently present with severe and heterogeneous psychopathology. In clinical practice, some adolescent inpatients appear to present a broader symptom pattern suggestive of emotional dysregulation. However, it remains unclear whether they can truly be distinguished in this population and whether they differ meaningfully from adolescents with predominantly depressive presentations. Methods: We conducted a retrospective cross-sectional chart review with subgroup analysis based on the medical records of patients aged 11–17 years hospitalized on an emergency basis at the Department of Child and Adolescent Psychiatry in Poznań, Poland, between January and December 2024. Patients were assigned either to an emotional dysregulation group, defined by affective dysregulation and behavioral dyscontrol, or to a depressive presentations group, comprising adolescents with depressive presentations who did not meet criteria for the emotional dysregulation profile. Broader clinical characteristics, adverse childhood experiences, and prior treatment history were compared between groups. Results: A total of 139 adolescents were included (85 in the emotional dysregulation group and 54 in the depressive presentations group). The median age was 13 years [Q1–Q3: 13–14] in the emotional dysregulation group and 14 years [Q1–Q3: 12.25–14] in the depressive presentations group; girls comprised 77.6% and 83.3% of the groups, respectively. The emotional dysregulation group more often presented with conflict-ridden relationships, a more frequent history of suicide attempts (72.9% vs. 50.0%, p = 0.006), and a higher number of suicide attempts (median 1 [Q1–Q3: 0–2] vs. 0.5 [Q1–Q3: 0–1], p = 0.012), as well as more frequent exposure to adversity-related experiences. Furthermore, this group had a higher number of previous psychiatric hospitalizations (median 1 [Q1–Q3: 1–2] vs. 1 [Q1–Q3: 1–1], p = 0.001) and a longer history of psychiatric treatment. In contrast, social withdrawal was more characteristic of the depressive presentations group. Conclusions: Routinely collected clinical records may capture a clinically meaningful subgroup of adolescents with a symptom profile suggestive of emotional dysregulation. Compared with the depressive presentations group, these adolescents showed greater interpersonal difficulties, more recurrent suicide attempts, greater adversity burden, and a longer history of psychiatric treatment. Further prospective studies using standardized measures are needed.
Full article
(This article belongs to the Special Issue (Recent Advances) Treating Psychiatry Disorders in Children and Adolescents: From Theory to Practice: 2nd Edition)
Open AccessArticle
The Role of CD56 as an Immunophenotypic Marker in the Clinical Course of Multiple Myeloma
by
Azat Karabekov, Vadim Kemaikin, Zhandos Burkitbayev, Gulnur Zhakhina, Aigerim Sipenova, Inna Berger, Ulbolsyn Orumbayeva, Zhuldyz Iskakova, Rose Ibragimova, Nazym Temir, Gulnur Mamyr, Olga Kolesnikova, Fariza Shokubaeva, Akbota Tursyn, Meiramgul Yussupova, Aidana Shalkarbekova, Ayagul Ainabay and Alexandr Kolesnev
J. Clin. Med. 2026, 15(9), 3492; https://doi.org/10.3390/jcm15093492 (registering DOI) - 2 May 2026
Abstract
Background: CD56 expression has been proposed as a prognostic and predictive biomarker in multiple myeloma. However, its clinical relevance in the context of modern induction therapy and autologous stem cell transplantation (ASCT) remains controversial. Methods: The researchers studied individuals with newly diagnosed multiple
[...] Read more.
Background: CD56 expression has been proposed as a prognostic and predictive biomarker in multiple myeloma. However, its clinical relevance in the context of modern induction therapy and autologous stem cell transplantation (ASCT) remains controversial. Methods: The researchers studied individuals with newly diagnosed multiple myeloma. CD56 expression was assessed by flow cytometry at diagnosis. Assessment was performed to determine patients’ responses to induction therapy and to measure their progression-free and overall survival rates. Results: The study included 88 participants, of whom 68 (77%) were CD56-positive, and 20 (23%) were CD56-negative. The study results showed that CD56(−) patients developed plasmacytomas at a 70% rate, while CD56(+) patients had a 46% rate (p = 0.055). A similar pattern was observed for extramedullary lesions (p = 0.006). The induction response rate was lower in CD56-negative patients than in CD56-positive patients (65% vs. 85%, p = 0.043). Patients who did not experience relapse received more CD34+ cells (11.9 ± 5.71 vs. 9.29 ± 2.57 × 106/kg, p = 0.012) and had higher post-transplant response rates (91% vs. 63%, p = 0.002). The patients who received induction treatment before their disease showed better survival outcomes than patients who did not respond to treatment (90.2% vs. 87.1%, p = 0.029) and patients who did not experience relapse (92.7% vs. 85.0%, p = 0.022). CD56 status did not affect survival outcomes. Conclusions: CD56 expression is associated with disease burden and response to induction therapy in multiple myeloma, supporting its role as an early disease-modifying factor. However, its prognostic value appears limited in patients receiving high-dose chemotherapy with ASCT, suggesting that intensive treatment may mitigate the adverse impact of CD56 negativity.
Full article
(This article belongs to the Section Hematology)
►▼
Show Figures

Figure 1
Open AccessArticle
Association of Cyclosporine Dose with Early Onset Hypertension in Allogeneic Hematopoietic Cell Transplant Patients: A Cohort Study
by
Yves Soltermann, Jérémie Héritier, Helen Baldomero, Jakob R. Passweg and Martina Kleber
J. Clin. Med. 2026, 15(9), 3491; https://doi.org/10.3390/jcm15093491 (registering DOI) - 2 May 2026
Abstract
Background: Cyclosporine A (CsA) is a cornerstone in graft-versus-host disease (GVHD) prophylaxis in allogeneic hematopoietic cell transplantation (allo-HCT), and a higher starting dose of 5 vs. 3 mg/kg reduces the risk of acute GVHD. Since hypertension is a relevant side effect of CsA,
[...] Read more.
Background: Cyclosporine A (CsA) is a cornerstone in graft-versus-host disease (GVHD) prophylaxis in allogeneic hematopoietic cell transplantation (allo-HCT), and a higher starting dose of 5 vs. 3 mg/kg reduces the risk of acute GVHD. Since hypertension is a relevant side effect of CsA, data on whether a higher CsA starting dose affects the incidence of hypertension are warranted. Methods: In this monocentric cohort study, 367 patients with no preexisting hypertension and treated with a CsA-containing GVHD prophylaxis were included: 230 (63%) with a CsA starting dose of 3 mg/kg and 137 (37%) with 5 mg/kg. The primary outcome was the incidence of early new-onset hypertension during the engraftment period. Potential risk factors for early new-onset hypertension were assessed using uni- and multivariable Cox regression models. Results: Overall, the cumulative incidence of early new-onset hypertension was 67% (246/367), but the incidence rate for early new-onset hypertension in the higher CsA group was lower (CsA 5 vs. 3 mg/kg: 57 vs. 67 per 1,000 patient-days; p = 0.414). In the multivariable analysis, risk factors for early new-onset hypertension were advanced patient age, obesity and prior autologous HCT, while a higher CsA starting dose was not associated with increased early new-onset hypertension (adjusted hazard ratio, 0.90; 95% CI, 0.67–1.21). Conclusions: A higher CSA starting dose of 5 vs. 3 mg/kg did not increase the risk of hypertension. Since previous analyses demonstrated a reduction in GVHD with a higher CsA starting dose of 5 mg/kg, current findings further support the safety of a higher CsA starting dose.
Full article
(This article belongs to the Section Hematology)
►▼
Show Figures

Figure 1
Open AccessReview
Vogt–Koyanagi–Harada Syndrome: Clinical Features, Immunogenetic Predisposition and PD-1 Inhibitor-Induced Forms—A Comprehensive Review
by
Sara Małgorzata Orłowska, Łukasz Bednarczyk, Kamal Morshed, Mateusz Tyniec and Paweł Olczyk
J. Clin. Med. 2026, 15(9), 3490; https://doi.org/10.3390/jcm15093490 (registering DOI) - 2 May 2026
Abstract
Vogt–Koyanagi–Harada syndrome (VKH) is a rare granulomatous autoimmune disease characterised by a systemic immune response directed against melanocytes. This multisystem condition primarily affects organs that are rich in melanocytes, such as the eyes, inner ear, meninges and skin. VKH might be responsible for
[...] Read more.
Vogt–Koyanagi–Harada syndrome (VKH) is a rare granulomatous autoimmune disease characterised by a systemic immune response directed against melanocytes. This multisystem condition primarily affects organs that are rich in melanocytes, such as the eyes, inner ear, meninges and skin. VKH might be responsible for the development of chronic uveitis and permanent visual impairment, particularly in cases where a diagnosis is delayed and treatment is not administered in a timely manner. A key factor in its pathogenesis is the loss of immune tolerance to melanocytes, driven by a T-cell–mediated immune response and genetic susceptibility, including the presence of HLA-DRB1*04 antigens. In recent years, immune checkpoint inhibitors (ICIs) have become the standard treatment in oncology, including non-small cell lung cancer and unresectable melanoma. However, it should be noted that their utilisation carries with it the potential for immune-related adverse events, including rare cases of VKH-like uveitis. The objective of this review is to outline the clinical features of VKH syndrome, examine current diagnostic and treatment approaches, and emphasise the immunopathological mechanisms associated with drug-induced forms of VKH, with a particular focus on programmed cell death protein 1 (PD-1) inhibitors. The article also includes an analysis of the genetic, epigenetic, and environmental factors that predispose individuals to the disease. This analysis facilitates a deeper understanding of the pathogenesis of the disease and assists in the identification of patients at increased risk of drug-induced VKH manifestations.
Full article
(This article belongs to the Section Immunology & Rheumatology)
►▼
Show Figures

Figure 1
Open AccessSystematic Review
Survival Rates of Reinserted Orthodontic Microimplants: An Exploratory Systematic Review
by
Kacper Galant, Maja Podziewska, Norbert Soboń, Natalia Turosz and Konrad Małkiewicz
J. Clin. Med. 2026, 15(9), 3489; https://doi.org/10.3390/jcm15093489 (registering DOI) - 2 May 2026
Abstract
Background/Objectives: The loss of orthodontic microimplants is a common clinical complication that significantly disrupts the continuity of malocclusion treatment. Despite increasing clinical use of microimplant reinsertion, the factors influencing its success remain unclear. The aim of this exploratory systematic review was to
[...] Read more.
Background/Objectives: The loss of orthodontic microimplants is a common clinical complication that significantly disrupts the continuity of malocclusion treatment. Despite increasing clinical use of microimplant reinsertion, the factors influencing its success remain unclear. The aim of this exploratory systematic review was to examine the available literature regarding clinical outcomes related to the retention of orthodontic microimplants following their reinsertion. Methods: Studies that assessed the success of orthodontic microimplant reinserted were included in the review. Searches were conducted on 27 September 2025, in the following databases: BASE (Bielefeld Academic Search Engine), PubMed, Scopus, and EMBASE. The ROBINS-I (Risk of Bias in Non-randomized Studies—of Interventions) tool was used to assess the risk of bias. Due to heterogeneity of included studies, a narrative synthesis was performed. Results: Four of the 577 studies were included in the review. A total of 305 microimplants were reinserted in 276 patients. The overall success rate ranged from 44.16% to 66%. Analysis indicated a significantly higher success rate in the maxilla (up to 68.60%) compared to the mandible (lowest 36.84%). Furthermore, a narrative synthesis suggests better clinical outcomes for 8 mm long microimplants compared to 6 mm ones, as well as reduced reinsertion success in areas with high cancellous bone density. Regarding the modification of the insertion site, the current data are contradictory; while some studies indicate significant benefits from changing the site (e.g., to the midpalatal suture), others show no statistical difference compared to reinsertion at the same site. Overall, the evidence remains limited and heterogeneous. Conclusions: The current review of the literature on the success of reinsertion of orthodontic microimplants is subject to a high risk of misinterpretation, due to the limited amount of data and the risk of unidentified confounding factors. Further standardized clinical trials are needed to develop unified protocols for these procedures. Other: The review was prospectively registered with the Open Science Framework (OSF); osf.io/tbj2s.
Full article
(This article belongs to the Special Issue Orthodontics: Current Management and Future Options)
Open AccessArticle
Endothelium-Dependent Nitric Oxide-Mediated Vasorelaxant Effects of BPC 157 in Human Internal Mammary Artery
by
Alperen Kutay Yildirim, Ahmet Onur Dastan, Meric Demeli Ertus, Mesher Ensarioglu, Kubilay Karabacak and Bilge Pehlivanoglu
J. Clin. Med. 2026, 15(9), 3488; https://doi.org/10.3390/jcm15093488 (registering DOI) - 2 May 2026
Abstract
Background/Objectives: Body Protection Compound-157 (BPC 157) is a stable gastric pentadecapeptide with cytoprotective, pro-angiogenic, and nitric oxide (NO)-modulating properties that has gained increasing attention for its therapeutic potential. Although vasodilatory effects have been demonstrated in animal models, functional evidence in human arterial tissue
[...] Read more.
Background/Objectives: Body Protection Compound-157 (BPC 157) is a stable gastric pentadecapeptide with cytoprotective, pro-angiogenic, and nitric oxide (NO)-modulating properties that has gained increasing attention for its therapeutic potential. Although vasodilatory effects have been demonstrated in animal models, functional evidence in human arterial tissue remains limited. This study investigated the effects of BPC 157 on vascular tone in human internal mammary artery (IMA) rings and evaluated the contribution of endothelial NO signaling. Methods: Residual IMA segments obtained from elective coronary artery bypass graft surgeries (n = 12) were dissected into endothelium-intact and endothelium-denuded rings. Following equilibration, the rings were challenged by phenylephrine (PheE; 3 × 10−6 M) to induce contraction. Cumulative concentration–response curves of BPC 157 (0.01–1 mg/mL) for five consecutive doses were constructed. The involvement of NO was assessed by BPC 157 dose–response curves in the nitric oxide synthase (NOS) inhibitor Nω-nitro-L-arginine methyl ester (L-NAME; 10−6 M) pre-incubated rings. Maximum force of contraction, area under the curve, maximum response (Emax), and negative logarithm of the half-maximal effective concentration (pEC50) values were analyzed. Results: BPC 157 produced a concentration-dependent reduction in PheE-induced contraction in both groups, with significantly greater relaxation in endothelium-intact rings (p < 0.05). L-NAME increased contractile responsiveness in intact rings and attenuated BPC 157-induced relaxation. Under NOS inhibition, differences between groups progressively diminished and concentration–response curves converged at higher concentrations. Emax analysis demonstrated that endothelial integrity markedly enhanced maximal vasorelaxation, whereas this advantage was largely abolished after NOS inhibition. Conclusions: BPC 157 induces concentration-dependent vasorelaxation in human arterial tissue, predominantly mediated via an endothelium-dependent NO pathway. Endothelial integrity primarily enhances maximal efficacy, while residual effects indicate additional mechanisms. These findings provide early mechanistic evidence for the vascular activity of BPC 157, although further molecular and in vivo studies are required to clarify its clinical relevance.
Full article
(This article belongs to the Section Vascular Medicine)
►▼
Show Figures

Figure 1
Open AccessArticle
Intravitreal Faricimab Prior to Direct Photocoagulation Improves Anatomical Outcomes in Focal Diabetic Macular Edema
by
Yuki Sanada, Yoshihiro Takamura, Yutaka Yamada, Hideyuki Oshima, Makoto Gozawa, Takehiro Matsumura and Masaru Inatani
J. Clin. Med. 2026, 15(9), 3487; https://doi.org/10.3390/jcm15093487 (registering DOI) - 2 May 2026
Abstract
Purpose: To determine the optimal treatment sequence for combination therapy using intravitreal faricimab (IVF) and direct photocoagulation (PC) in eyes with non-center-involved diabetic macular edema (DME). Methods: This retrospective study included 35 eyes with focal DME treated with IVF and PC targeting microaneurysms
[...] Read more.
Purpose: To determine the optimal treatment sequence for combination therapy using intravitreal faricimab (IVF) and direct photocoagulation (PC) in eyes with non-center-involved diabetic macular edema (DME). Methods: This retrospective study included 35 eyes with focal DME treated with IVF and PC targeting microaneurysms (MAs). Treatment success was defined as resolution of focal edema, indicated by disappearance of the white area (WA) on optical coherence tomography. Eyes were assigned to a PC-IVF group (initial PC followed by IVF if edema persisted after 2 months; n = 20) or an IVF-PC group (initial IVF followed by PC for residual edema; n = 15). Additional PC was performed every 2 months as needed. Results: Cumulative success rates at 2, 4, and 6 months were 35.0%, 70.0%, and 90.0% in the PC-IVF group and 60.0%, 93.3%, and 100% in the IVF-PC group, respectively. Macular volume significantly decreased at all time points in the IVF-PC group (all p < 0.01), whereas a significant reduction was observed only after 6 months in the PC-IVF group (p < 0.01). The number of MAs and the extent of edema were significantly reduced after 2 months in both groups, with greater reductions in the IVF-PC group (p < 0.05). The number of laser shots required for initial PC was significantly lower in the IVF-PC group (p < 0.0001), and the mean number of PC sessions was also reduced (0.6 vs. 1.8). In the PC-IVF group, baseline edema size was significantly smaller in successfully treated eyes (p < 0.001). Conclusions: Initiating treatment with IVF prior to PC may be advantageous in focal DME, particularly in eyes with larger edema, enabling faster anatomical improvement and reducing the need for laser treatment. Direct PC alone may be sufficient for small focal lesions with limited edema, supporting an individualized treatment strategy.
Full article
(This article belongs to the Special Issue Updates in the Diagnosis, Imaging, and Treatment of Retinal and Macular Diseases)
►▼
Show Figures

Figure 1
Open AccessReview
Finerenone Across the Cardiovascular–Kidney–Metabolic Continuum: From Mechanistic Rationale to Clinical Positioning—A Narrative Review
by
Jacek Kubica, Aldona Kubica, Jakub Ratajczak, Robert Gajda, Łukasz Szarpak and Eliano P. Navarese
J. Clin. Med. 2026, 15(9), 3486; https://doi.org/10.3390/jcm15093486 (registering DOI) - 2 May 2026
Abstract
The cardiovascular–kidney–metabolic (CKM) syndrome has emerged as an integrated framework linking obesity, type 2 diabetes, chronic kidney disease (CKD), and heart failure with preserved or mildly reduced ejection fraction through shared mechanisms including inflammation, oxidative stress, endothelial dysfunction, and fibrosis. Persistent mineralocorticoid receptor
[...] Read more.
The cardiovascular–kidney–metabolic (CKM) syndrome has emerged as an integrated framework linking obesity, type 2 diabetes, chronic kidney disease (CKD), and heart failure with preserved or mildly reduced ejection fraction through shared mechanisms including inflammation, oxidative stress, endothelial dysfunction, and fibrosis. Persistent mineralocorticoid receptor overactivation plays a central role in this continuum, contributing to progressive cardiac and renal injury despite optimized renin–angiotensin system blockade. Finerenone, a selective non-steroidal mineralocorticoid receptor antagonist, has therefore gained increasing attention as a targeted strategy to reduce residual cardiorenal risk. This narrative review summarizes the mechanistic rationale and clinical evidence supporting finerenone across the CKM spectrum. Experimental data indicate that finerenone attenuates inflammation, fibrosis, myocardial hypertrophy, and adverse remodeling, while proteomic and translational analyses suggest biological complementarity with sodium–glucose cotransporter 2 inhibitors. Clinically, pivotal randomized trials have demonstrated that finerenone reduces kidney disease progression and major cardiovascular events in patients with CKD and type 2 diabetes, while the FINEARTS-HF trial extended these benefits to patients with heart failure with mildly reduced or preserved ejection fraction by reducing worsening heart failure events. Additional subgroup, pooled, and meta-analytic data reinforce the consistency of these effects across a broad range of cardiorenal phenotypes. Taken together, current evidence positions finerenone as an important component of contemporary CKM management, particularly in patients with diabetic CKD and selected heart failure phenotypes. Its principal value lies in targeting residual inflammatory and fibrotic risk beyond conventional hemodynamic and metabolic control. Future progress will depend on earlier phenotype recognition, improved implementation and adherence, and wider adoption of pathway-oriented combination therapy across the cardiorenal continuum.
Full article
(This article belongs to the Special Issue Current Trends and Future Challenges in Heart Failure)
►▼
Show Figures

Figure 1
Open AccessArticle
Enhanced Surgical Efficiency with 3D Heads-Up Visualization in Vitreoretinal Surgery: A Retrospective Comparative Study
by
Ludovico Iannetti, Carmen Baratta, Annalisa Romaniello, Claudia Magnolo, Francesco Ruggeri, Francesca Romana Blasi, Sandra Cinzia Carlesimo, Magda Gharbiya, Fabio Scarinci and Ludovico Alisi
J. Clin. Med. 2026, 15(9), 3485; https://doi.org/10.3390/jcm15093485 (registering DOI) - 2 May 2026
Abstract
Background/Objectives: This study analyzed intraoperative parameters, structural safety, and morphofunctional outcomes of vitreoretinal procedures performed using a conventional operating microscope versus a three-dimensional (3D) heads-up digital visualization system. Methods: A retrospective single-surgeon case series included 248 eyes undergoing pars plana vitrectomy for epiretinal
[...] Read more.
Background/Objectives: This study analyzed intraoperative parameters, structural safety, and morphofunctional outcomes of vitreoretinal procedures performed using a conventional operating microscope versus a three-dimensional (3D) heads-up digital visualization system. Methods: A retrospective single-surgeon case series included 248 eyes undergoing pars plana vitrectomy for epiretinal membrane (ERM), macular hole (MH), or rhegmatogenous retinal detachment (RRD). Patients were divided into conventional microscope (n = 122) and 3D heads-up (n = 126) groups. Primary outcomes included surgical duration, endoillumination intensity, best-corrected visual acuity (BCVA), anatomical success, and complications over a 6-month follow-up. Results: The 3D cohort showed a significantly shorter global median surgical duration (50.0 vs. 60.0 min, p = 0.001). Multivariate regression confirmed the 3D system as an independent predictor of shorter operative time globally (p = 0.011). After adjusting for baseline disease severity imbalances in the ERM subgroup, the 3D system maintained an independent reduction in surgical duration of 5.5 min (p = 0.044). The 3D system also required significantly lower endoillumination across all procedures (p ≤ 0.002). Anatomical success rates were high and comparable across indications. Both groups achieved similar and significant visual improvement at 6 months (p = 0.120). Structural safety biomarkers (SANFL, DONFL) and complication rates remained comparable. Conclusions: The 3D heads-up visualization system demonstrated comparable functional and anatomical outcomes to conventional microscopy across standard vitreoretinal procedures. It allows for surgery under significantly lower light conditions and demonstrates the potential to optimize operative time, particularly in ERM peeling. Furthermore, it maintains an equivalent structural safety profile to conventional surgery.
Full article
(This article belongs to the Special Issue New Insights into Retinal Diseases)
►▼
Show Figures

Figure 1
Open AccessArticle
All-Cause and Cause-Specific Mortality by SEER Stage in Gastric Cancer: A Nationwide Population-Based Cohort Study
by
Jihoon Hong, Mi Jin Oh, Bokyung Kim, Seunghan Lee, Yoon Jin Choi, Kyungdo Han and Soo-Jeong Cho
J. Clin. Med. 2026, 15(9), 3484; https://doi.org/10.3390/jcm15093484 (registering DOI) - 2 May 2026
Abstract
Background: Despite significant advances in diagnosis and treatment, gastric cancer remains a major global malignancy. This study aimed to evaluate the impact of Surveillance, Epidemiology, and End Result (SEER) stages on all-cause and cause-specific mortality in gastric cancer. Methods: This nationwide population-based cohort
[...] Read more.
Background: Despite significant advances in diagnosis and treatment, gastric cancer remains a major global malignancy. This study aimed to evaluate the impact of Surveillance, Epidemiology, and End Result (SEER) stages on all-cause and cause-specific mortality in gastric cancer. Methods: This nationwide population-based cohort study analyzed data from the Cancer Public Library Database (CPLD). Patients aged ≥ 30 years diagnosed with gastric cancer between 2012 and 2019 were followed up until 31 December 2020. Cox proportional hazards models and Fine–Gray models were used to compare the risk of all-cause and cause-specific mortality based on SEER stages. The Kaplan–Meier method and cumulative incidence functions were applied to analyze cumulative incidences of all-cause and cause-specific mortality. Statistical significance was assessed using the log-rank test and Gray’s test. Additionally, a subgroup analysis was performed. Results: Among 218,491 individuals, 59,952 died during a median follow-up of 3.62 years. Compared with the localized stage, the risk of all-cause mortality was 4.31 and 24.73 times higher in patients with the regional and distant stages, respectively, after adjusting for sex, age, income, residential area, and comorbidities. The regional stage was associated with an 8.70-, 6.08-, 1.28-, and 1.43-fold higher risk of stomach cancer death, cancer death, cardiovascular death, and respiratory death, respectively. The distant stage was associated with 51.67-, 35.97-, 1.74, and 1.54-fold higher risk of stomach cancer death, cancer death, cardiovascular death, and respiratory death, respectively. Conclusions: Higher SEER stage in gastric cancer is associated with an increased risk of all-cause mortality, gastric cancer-specific mortality, overall cancer mortality, cardiovascular disease-related mortality, and respiratory disease-related mortality. Notably, cardiopulmonary mortality increased with advancing SEER stage, particularly among younger patients, underscoring the need for vigilant monitoring.
Full article
(This article belongs to the Section Gastroenterology & Hepatopancreatobiliary Medicine)
►▼
Show Figures

Figure 1
Open AccessArticle
Drug Adherence After Hospitalisation for Heart Failure: What Have We Learned from a French Survey?
by
Aurélie Lenglet, Emmanuelle Vermes, Maxime Doublet, Richard Isnard, François Roubille, Thibaud Damy, Christophe Tribouilloy and Damien Logeart
J. Clin. Med. 2026, 15(9), 3483; https://doi.org/10.3390/jcm15093483 (registering DOI) - 2 May 2026
Abstract
Background: Despite significant advances in heart failure (HF) management, mortality and readmission rates remain persistently high. Low adherence has been recognised as a contributing factor, although supporting data remain limited. Objective: This study aimed to evaluate the impact of medication adherence on outcome
[...] Read more.
Background: Despite significant advances in heart failure (HF) management, mortality and readmission rates remain persistently high. Low adherence has been recognised as a contributing factor, although supporting data remain limited. Objective: This study aimed to evaluate the impact of medication adherence on outcome following a HF hospitalisation. Methods: Patients who were discharged after HF hospitalisation were included in the study from a national multicentre HF cohort, and their records were matched with the National Healthcare System database, which includes all health-related claims and clinical events. Adherence to beta blockers, renin-angiotensin system inhibitors, and mineralocorticoid receptor antagonists were measured using the proportion of days covered (PDC). Low adherence was defined by PDC < 80% for at least one of the three HF drug classes. We then analysed the relationship between the PDC and outcome during a two-year follow-up period. Results: A total of 448 patients (median age: 73 years; 67% male; mean ejection fraction: 40%) were included. Of these patients, 152 (34%) were classified as having low adherence. The two-year mortality rate was comparable between the two groups (16.9% vs. 19.1% in adherent and low-adherent groups, respectively, p = 0.6). However, the rates of all-cause and HF rehospitalisations at two years were lower in the adherent group than in the group with low adherence (85.9% vs. 92.8%, p ≤ 0.01; 48.5% vs. 58.2%, p = 0.04, respectively). Conclusions: In patients discharged after acute HF, low adherence to HF drugs is frequent and worsens outcome, particularly the risk of rehospitalisation.
Full article
(This article belongs to the Section Cardiology)
►▼
Show Figures

Graphical abstract
Open AccessSystematic Review
Major Adverse Cardiovascular Events in Patients with Acute Myocardial Infarction and Angiographic Evidence of Coronary Artery Ectasia: A Systematic Review and Meta-Analysis
by
Nikolaos Otountzidis, Nikolaos Stalikas, Amalia Baroutidou, Efstratios Karagiannidis, Matthaios Didagelos, Barbara Fyntanidou, Antonios Ziakas and George Giannakoulas
J. Clin. Med. 2026, 15(9), 3482; https://doi.org/10.3390/jcm15093482 - 1 May 2026
Abstract
Background/Objectives: Coronary artery ectasia (CAE) presents challenges, specifically in the context of percutaneous coronary intervention (PCI), and has been associated with adverse events, particularly in the setting of acute myocardial infarction (AMI). The objective of the present study was to assess whether CAE
[...] Read more.
Background/Objectives: Coronary artery ectasia (CAE) presents challenges, specifically in the context of percutaneous coronary intervention (PCI), and has been associated with adverse events, particularly in the setting of acute myocardial infarction (AMI). The objective of the present study was to assess whether CAE is associated with increased occurrence of major adverse cardiovascular events (MACEs) in patients with AMI. Methods: A systematic review and meta-analysis of observational studies were conducted. We systematically searched MEDLINE via PubMed, Scopus, the Cochrane Library (CENTRAL), ClinicalTrials.gov, and reference lists to identify eligible studies. Baseline characteristics, comorbidities, angiographic data, and rates of MACEs and their individual components (all-cause or cardiovascular mortality, repeat AMI, repeat revascularization, stroke, and heart failure) have been extracted. The results were synthesized as odds ratios (ORs) using random-effects models. Results: Ten studies and 13,908 patients were included. CAE was found to be predictive of higher odds of MACEs [OR: 2.12, 95% CI: 1.34 to 3.36]. No difference was found regarding the odds of all-cause and cardiac death. The presence of ectasia was associated with higher odds of recurrent AMI, compared with controls [OR: 2.76, 95% CI:1.62 to 4.71]. The groups were comparable regarding the need for repeat revascularization, while the reports on stroke and heart failure were scarce. Conclusions: The results highlight the compounding effect of CAE on future MACE events in patients with AMI. Patients with AMI and CAE have higher odds of repeat AMI compared to patients without CAE, while mortality and repeat revascularization rates are similar. This might indicate the need for more aggressive treatment strategies in these patients.
Full article
(This article belongs to the Special Issue Coronary Artery Disease: Diagnosis, Treatment Challenges, and Emerging Therapy)
Open AccessArticle
HER-2 Altered Early-Stage Non-Small Cell Lung Cancer Had Better Survival than Triple-Negative Disease
by
Tawee Tanvetyanon, Dung-Tsa Chen and Jhanelle E. Gray
J. Clin. Med. 2026, 15(9), 3481; https://doi.org/10.3390/jcm15093481 - 1 May 2026
Abstract
Background: A unique group of non-small cell lung cancer (NSCLC) is driven by alterations in HER2. Early studies, mostly from advanced NSCLC, suggest that NSCLC with HER2 alterations confers a poor prognosis. However, modern studies are scant. Methods: We performed an
[...] Read more.
Background: A unique group of non-small cell lung cancer (NSCLC) is driven by alterations in HER2. Early studies, mostly from advanced NSCLC, suggest that NSCLC with HER2 alterations confers a poor prognosis. However, modern studies are scant. Methods: We performed an analysis of a United States-based database on stage I–III NSCLC patients diagnosed during 2019–2024. Cases with complete data on EGFR, ALK, and HER 2 alterations were included. Study cohorts were divided into: EGFR or ALK alterations (EGFR/ALK group), HER2 alterations (HER2 group), or negative for these alterations (triple-negative group). Outcomes of interest were survival. Results: Analyses were performed on data from 3486 patients: 515 patients (15%) in the EGFR/ALK group, 173 patients (5%) in the HER2 group, and 2798 patients (80%) in the triple-negative group. Median disease-free survival (DFS) was 41.3 months, 26.6 months, and 21.2 months, respectively. Median overall survival (OS) was 62.5 months, 63.7 months, and 40.1 months, respectively. Multivariable analysis showed that DFS and OS were significantly worse among the triple-negative group than HER2 group: adjusted HRs 1.44 (95% CI: 1.08–1.90, p = 0.01) and 1.94 (95% CI: 1.25–3.01, p = 0.003), respectively. In the subgroup of patients with HER2 alterations, no significant difference in DFS or OS was found among patients with HER2 mutation, HER2 amplification, or HER2 overexpression in this exploratory analysis. Conclusions: When classified by the status of EGFR, ALK and HER2, early-stage NSCLC patients with HER2 alterations had significantly better DFS and OS than those with triple-negative biomarkers.
Full article
(This article belongs to the Section Oncology)
►▼
Show Figures

Figure 1
Journal Menu
► ▼ Journal Menu-
- JCM Home
- Aims & Scope
- Editorial Board
- Reviewer Board
- Topical Advisory Panel
- Instructions for Authors
- Special Issues
- Topics
- Sections & Collections
- Article Processing Charge
- Indexing & Archiving
- Editor’s Choice Articles
- Most Cited & Viewed
- Journal Statistics
- Journal History
- Journal Awards
- Society Collaborations
- Conferences
- Editorial Office
Journal Browser
► ▼ Journal BrowserHighly Accessed Articles
Latest Books
E-Mail Alert
News
Topics
Topic in
Biology, JCM, Diagnostics, Dentistry Journal
Assessment of Craniofacial Morphology: Traditional Methods and Innovative Approaches
Topic Editors: Nikolaos Gkantidis, Carlalberta VernaDeadline: 1 June 2026
Topic in
Cells, JCM, Organoids, JMP
Novel Discoveries in Oncology 2nd Edition
Topic Editors: Michela Campolo, Giovanna Casili, Alessia Filippone, Marika LanzaDeadline: 20 June 2026
Topic in
Biomedicines, IJMS, JCM, Medicina, Neurology International
Advances in Exercise-Induced Neurogenesis, Neuronal and Functional Adaptations in Neurorehabilitation
Topic Editors: Carlos Bernal-Utrera, Cleofas Rodriguez-Blanco, Maria Livia Carrascal MorenoDeadline: 29 June 2026
Topic in
Dentistry Journal, IJMS, JCM, Medicina, Applied Sciences
Oral Health Management and Disease Treatment
Topic Editors: Christos Rahiotis, Felice Lorusso, Sergio Rexhep TariDeadline: 31 July 2026
Conferences
Special Issues
Special Issue in
JCM
Recent Advancements in Periodontal and Peri-Implant Disease Management
Guest Editors: João Martins de Mello-Neto, Leticia Helena TheodoroDeadline: 5 May 2026
Special Issue in
JCM
Revolutionizing Arrhythmia Therapy: Novel Approaches in Pacing and Defibrillation
Guest Editors: Amato Santoro, Alberto PalazzuoliDeadline: 10 May 2026
Special Issue in
JCM
Innovations, Biomarkers, and Challenges in Cancer Immunotherapy
Guest Editors: Mohammad Mousaei Ghasroldasht, Mahzad AkbarpourDeadline: 10 May 2026
Special Issue in
JCM
Challenging ICU Dogma: Where Routine Practice and Evidence Collide
Guest Editors: Yujiro Matsuishi, Nobutake ShimojoDeadline: 10 May 2026
Topical Collections
Topical Collection in
JCM
Pediatric and Adolescent Gynecology
Collection Editor: Panagiotis Christopoulos






