Journal Description
Epidemiologia
Epidemiologia
is an international, peer-reviewed, open access journal on epidemiologic research published bimonthly online by MDPI. The Italian Society of Environmental Medicine (SIMA) is affiliated with Epidemiologia, and its members receive discounts on article processing charges.
- Open Access— free for readers, with article processing charges (APC) paid by authors or their institutions.
- High Visibility: indexed within ESCI (Web of Science), Scopus, PMC, PubMed, FSTA, and other databases.
- Rapid Publication: manuscripts are peer-reviewed and a first decision is provided to authors approximately 21.9 days after submission; acceptance to publication is undertaken in 6.7 days (median values for papers published in this journal in the second half of 2025).
- Journal Rank: JCR - Q2 (Public, Environmental and Occupational Health) / CiteScore - Q2 (Medicine (miscellaneous))
- Recognition of Reviewers: APC discount vouchers, optional signed peer review, and reviewer names published annually in the journal.
- Epidemiologia is a companion journal of JCM.
Impact Factor:
2.2 (2024);
5-Year Impact Factor:
1.9 (2024)
Latest Articles
Insights into Clustering Patterns in Romania’s 2020–2024 Measles Cases
Epidemiologia 2026, 7(1), 11; https://doi.org/10.3390/epidemiologia7010011 - 7 Jan 2026
Abstract
►
Show Figures
Background and objectives: During an outbreak, measles cases tend to aggregate into increasingly bigger clusters that show specific characteristics, different from the non-cluster cases. As the measles threat continues throughout Europe in 2025 with a high notification rate in Romania as well,
[...] Read more.
Background and objectives: During an outbreak, measles cases tend to aggregate into increasingly bigger clusters that show specific characteristics, different from the non-cluster cases. As the measles threat continues throughout Europe in 2025 with a high notification rate in Romania as well, exploring how clustering affects the disease propagation can provide additional insights into how to improve measles surveillance and control. Methods: National measles cases from 2020 to 2024 have been split into cluster (at least three related cases) and non-cluster-related cases and analyzed comparatively based on vaccination status, disease-related data (hospitalization) and patient-related data (age, location). Large outbreaks with at least 150 cases, allowing for more comprehensive R0 analysis, have been described and the basic reproduction numbers computed for each of them. Results: There are statistically significant differences in vaccination status, age, and hospital stay between outbreak and non-outbreak cases. Large outbreaks (≥150 cases) show a high degree of variability, with R0 values varying from as low to 1 to as high as 3.92, indicating limited measles transmission control. Conclusions: The findings in this research highlight the critical impact of clustering on measles transmission dynamics during outbreaks. Significant differences in vaccination status, age, and hospitalization rates between cluster and non-cluster cases underscore the importance of targeted surveillance and intervention strategies while the wide range of R0 values observed in large outbreaks points to inconsistent control measures and emphasizes the need for strengthened vaccination campaigns and improved outbreak response protocols to better contain measles spread.
Full article
Open AccessSystematic Review
Cardiovascular Disease Burden in Rural Central Asia: A Systematic Review of Epidemiological Trends and Mortality Patterns
by
Akerke Kassymkhan, Alma-Gul Ryskulova, Zhanara Buribayeva, Bakytgul Nurmukhambetova, Kenzhebek Bizhanov, Daria Nabok, Nargiza Nassyrova, Magripa Bapayeva and Erkin Mirrakhimov
Epidemiologia 2026, 7(1), 10; https://doi.org/10.3390/epidemiologia7010010 - 6 Jan 2026
Abstract
►▼
Show Figures
Background/Objectives: Cardiovascular diseases (CVDs) remain a leading cause of mortality worldwide, with a particularly high burden in Central Asian countries. Despite ongoing urbanization, rural populations constitute a significant demographic in this region, yet epidemiological data stratified by urban and rural residence are limited
[...] Read more.
Background/Objectives: Cardiovascular diseases (CVDs) remain a leading cause of mortality worldwide, with a particularly high burden in Central Asian countries. Despite ongoing urbanization, rural populations constitute a significant demographic in this region, yet epidemiological data stratified by urban and rural residence are limited and fragmented. This systematic review aimed to synthesize current evidence on the incidence, prevalence, mortality, and risk factor profiles of CVDs among urban and rural populations in Central Asia, identify disparities, and inform targeted prevention and control strategies. Methods: A systematic literature search was conducted across the PubMed, Science Direct, Web of Science, and Google Scholar databases for studies published between 2015 and 2025. Included studies reported cardiovascular health indicators with urban–rural stratification in Kazakhstan, Kyrgyzstan, Uzbekistan, Tajikistan, and Turkmenistan. Data extraction and qualitative synthesis were performed, with methodological quality assessed using the Newcastle–Ottawa Scale. Results: Eight original studies met the inclusion criteria, encompassing national and regional datasets with diverse designs, including retrospective analyses, cross-sectional surveys, and registry data. Overall, CVD incidence and prevalence showed increasing trends in both urban and rural areas, with consistently higher mortality rates in urban populations. Key modifiable risk factors—hypertension, obesity, dyslipidemia, and smoking—were prevalent, particularly in rural settings. Variability in healthcare access and preventive program implementation contributed to the observed disparities. Limited data from some countries, particularly Tajikistan and Turkmenistan, highlight gaps in epidemiological surveillance. Conclusions: The cardiovascular disease burden in Central Asia demonstrates significant urban–rural disparities, underscoring the need for tailored public health interventions and enhanced healthcare resource allocation in rural regions. Strengthening epidemiological monitoring and implementing region-specific prevention programs targeting modifiable risk factors are imperative for reducing CVD morbidity and mortality. Further high-quality research is necessary to address existing data gaps and optimize cardiovascular health strategies across the region.
Full article

Figure 1
Open AccessArticle
Sociodemographic and Lifestyle Determinants of HIF-1α Response to Blood Donation and Hematopoietic Factors: Epidemiological and Public Health Perspectives from Voluntary Donors
by
Svjetlana Gašparović Babić, Ivana Paver, Tomislav Rukavina and Lara Batičić
Epidemiologia 2026, 7(1), 9; https://doi.org/10.3390/epidemiologia7010009 - 5 Jan 2026
Abstract
►▼
Show Figures
Background/Objectives: Blood donation is essential to health systems and represents a valuable epidemiological model for studying physiological adaptation to controlled blood loss. Regular blood donors constitute a distinct, health-screened population whose biological responses offer unique insight into mechanisms of resilience and key determinants
[...] Read more.
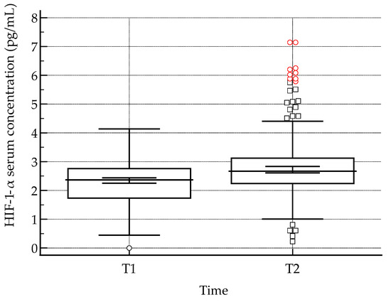
Background/Objectives: Blood donation is essential to health systems and represents a valuable epidemiological model for studying physiological adaptation to controlled blood loss. Regular blood donors constitute a distinct, health-screened population whose biological responses offer unique insight into mechanisms of resilience and key determinants of population health. Hypoxia-inducible factor 1-alpha (HIF-1α) is a key regulator of erythropoiesis and cellular response to hypoxia, and its modulation following blood donation may inform donor safety and the sustainability of blood donation programs. This study aimed to characterize the sociodemographic, lifestyle, and anthropometric profiles of blood donors in relation to hematopoietic biomarkers (vitamin B12 and folic acid) and to evaluate changes in serum HIF-1α concentration after donation, emphasizing the public health relevance of voluntary blood donation. Methods: A cross-sectional study was conducted among 324 voluntary blood donors (159 regular and 165 occasional). Serum HIF-1α was measured before and 30 min after donation, together with vitamin B12 and folic acid levels. Sociodemographic and lifestyle characteristics (physical activity, smoking, dietary habits) were collected through standardized questionnaires (EHIS-3, FFQ), and anthropometric parameters were assessed. Results: Regular donors were older and predominantly male, with comparable socioeconomic indicators between groups. Both regular and occasional donors showed favorable lifestyle profiles, including low smoking prevalence and moderate physical activity. Skinfold thickness was significantly greater in regular donors (p < 0.001). The main biological finding was a robust post-donation increase in HIF-1α concentrations (≈80%, p < 0.001), independent of donation frequency or lifestyle. No significant associations were found between lifestyle factors and vitamin B12 or folate levels. Conclusions: Blood donation induces a rapid elevation in HIF-1α, reflecting activation of hypoxia-responsive pathways and short-term hematopoietic adaptation. Beyond its biomedical relevance, voluntary blood donation represents a meaningful epidemiological and public health model for studying physiological resilience and the health benefits of altruistic behavior. These findings underscore the importance of donor surveillance and motivation as components of broader preventive health and health equity strategies.
Full article

Figure 1
Open AccessReview
Severity Scores in SARS-CoV-2 Infection—A Comprehensive Bibliometric Review and Visualization Analysis
by
Andreea Magdalena Ghibu, Ionela Maniu and Victoria Birlutiu
Epidemiologia 2026, 7(1), 8; https://doi.org/10.3390/epidemiologia7010008 - 5 Jan 2026
Abstract
►▼
Show Figures
Background/Objectives: Discovered in 2019, COVID-19 spread rapidly worldwide, leading from mild forms of the disease to critical forms or death, predominantly among vulnerable patients. Severity scores help clinicians in stratifying the risk of complications and death among patients diagnosed with SARS-CoV-2 infection. Methods:
[...] Read more.
Background/Objectives: Discovered in 2019, COVID-19 spread rapidly worldwide, leading from mild forms of the disease to critical forms or death, predominantly among vulnerable patients. Severity scores help clinicians in stratifying the risk of complications and death among patients diagnosed with SARS-CoV-2 infection. Methods: This study aims to identify the severity scores used in this type of infection, while bibliometric analysis carried out provided a comprehensive overview of global research patterns, trends, and cooperation in scientific literature on the chosen topic. Results: We conducted a literature screening to identify severity scores used in SARS-CoV-2 infection. Scores including CURB-54, COVID-GRAM, NEWS, APACHE II, SOFA, qSOFA, CALL, MuLBSTA, ISARIC 4C, and PADUA were identified with different performance indices. Conclusions: There were different results obtained depending on the geographical area of applicability, patient groups analyzed, and individual patient characteristics.
Full article

Figure 1
Open AccessArticle
Trends of Tobacco and Alcohol Consumption Among People with Diabetes Mellitus in Spain: A Population-Based Study (2014–2020)
by
Luyi Zeng-Zhang, Rodrigo Jiménez-García, Ana López-de-Andrés, Zichen Ji, Jose J. Zamorano-León, Natividad Cuadrado-Corrales, Andrés Bodas-Pinedo, Ana Jiménez-Sierra and Javier de Miguel-Díez
Epidemiologia 2026, 7(1), 7; https://doi.org/10.3390/epidemiologia7010007 - 4 Jan 2026
Abstract
►▼
Show Figures
Background/Objectives: To examine trends in tobacco and alcohol consumption among individuals with and without diabetes mellitus (DM) in Spain from 2014 to 2020 and identify sociodemographic, lifestyle, and comorbidity-related predictors of consumption. Methods: Population-based cross-sectional study using data from the 2014 and 2020
[...] Read more.
Background/Objectives: To examine trends in tobacco and alcohol consumption among individuals with and without diabetes mellitus (DM) in Spain from 2014 to 2020 and identify sociodemographic, lifestyle, and comorbidity-related predictors of consumption. Methods: Population-based cross-sectional study using data from the 2014 and 2020 European Health Interview Surveys for Spain. Participants’ self-reported tobacco and alcohol consumption were analyzed based on DM status. Results: This study included 7854 participants (3927 participants with DM and 3927 participants without DM). Among participants with DM, tobacco and alcohol consumption remained stable over the study period, with tobacco from 15.2% in 2014 to 14.8% in 2020 (p = 0.761) and alcohol from 37.2% to 39.8% (p = 0.088), respectively. Tobacco consumption did not differ significantly between those with and without DM (15.0% vs. 15.2%, p = 0.777). However, alcohol consumption was significantly lower among those with than without DM (38.6% vs. 48.7%, p < 0.001). In those with DM, predictors of tobacco consumption included male sex, younger age, alcohol consumption, living without a partner, and DM, and predictors of alcohol consumption included male sex, active smoking, higher education, and sedentary lifestyle. Conclusions: Between 2014 and 2020, both tobacco and alcohol consumption remained stable among individuals with DM. The prevalence of alcohol consumption was lower among those with than without DM. Key predictors of tobacco and alcohol consumption included sex, lifestyle behaviors, and socioeconomic factors. These findings highlight the need for targeted public health interventions to reduce harmful substance use in DM populations and mitigate associated health risks.
Full article

Figure 1
Open AccessArticle
Assessment of Temporomandibular Disorders, Oral Health Status, Knowledge and Hygiene Behaviours Among Athletes in Croatia: A Cross-Sectional Study
by
Josip Kapetanovic, Ivan Lucin, Ivan Kovacic and Antonija Tadin
Epidemiologia 2026, 7(1), 6; https://doi.org/10.3390/epidemiologia7010006 - 4 Jan 2026
Abstract
Aim: This study aimed to assess self-reported oral and orofacial health, hygiene habits, and oral health knowledge among Croatian athletes, and to determine factors influencing that knowledge. Differences between contact and non-contact sports, as well as the occurrence of dental trauma and temporomandibular
[...] Read more.
Aim: This study aimed to assess self-reported oral and orofacial health, hygiene habits, and oral health knowledge among Croatian athletes, and to determine factors influencing that knowledge. Differences between contact and non-contact sports, as well as the occurrence of dental trauma and temporomandibular joint (TMJ) symptoms, were also examined. Methods: A cross-sectional, questionnaire-based study was conducted among 1007 athletes (56% male, 44% female) aged 18–42 years, recruited through national sports federations and university sports clubs. The instrument comprised 85 items divided into five domains: sociodemographic data, oral hygiene habits, self-assessed oral health, TMJ symptoms, and oral health knowledge. Data were analysed using descriptive statistics, Chi-square and Fisher’s exact tests, and generalised linear modelling (p < 0.05). Results: Athletes demonstrated moderate oral health knowledge (mean score 11.3 ± 4.4/18). While 92.2% recognised that poor oral hygiene leads to caries and periodontitis, only 52.4% correctly identified the ideal time to replant an avulsed tooth. Female participants, older age groups, and those with higher education had significantly better knowledge (p ≤ 0.05). Recreational athletes scored higher than amateurs (p = 0.002), and those with prior dental trauma experience also showed greater awareness (p = 0.028). No significant difference was found between contact and non-contact sports (p = 0.287). Despite good brushing habits (86.9% brushed twice daily), only 25.4% regularly used dental floss or interdental brushes. A small proportion of athletes reported symptoms related to temporomandibular joint function, most commonly joint clicking (18.2%), tooth wear (13.4%), and nocturnal bruxism (14.3%). There were no significant differences between contact and non-contact sports, except for muscle stiffness near the temples (p = 0.024) and daytime or stress-related teeth grinding (p = 0.013 and p = 0.018). Conclusions: Croatian athletes demonstrated moderate oral health knowledge and satisfactory hygiene habits, but preventive practices remain inadequate. Education level, gender, and previous dental trauma were key determinants of knowledge. Systematic preventive programmes and targeted education are necessary to improve oral health awareness in sports populations.
Full article
Open AccessArticle
A Cross-Sectional Analysis of Blood Spot per- and Polyfluoroalkyl Substances (PFAS) from Adolescents in Chitwan Valley, Nepal
by
Lauren Marie Ward, Shristi Bhandari, Hafsa Aleem, Jaclyn M. Goodrich and Rajendra Prasad Parajuli
Epidemiologia 2026, 7(1), 5; https://doi.org/10.3390/epidemiologia7010005 - 4 Jan 2026
Abstract
Background/Objectives: Per- and polyfluoroalkyl substances (PFAS) are globally widespread contaminants linked to adverse health outcomes, including immune dysregulation. We aimed to characterize PFAS exposure among adolescents in Nepal. We conducted a cross-sectional study in Chitwan District, Nepal, during September–October 2023, enrolling 73 adolescents
[...] Read more.
Background/Objectives: Per- and polyfluoroalkyl substances (PFAS) are globally widespread contaminants linked to adverse health outcomes, including immune dysregulation. We aimed to characterize PFAS exposure among adolescents in Nepal. We conducted a cross-sectional study in Chitwan District, Nepal, during September–October 2023, enrolling 73 adolescents from the Chitwan Birth Cohort. Methods: Dried blood spots from 48 participants were analyzed for 45 PFAS by liquid chromatography–tandem mass spectrometry. Sociodemographic and contextual behavioral covariates information (e.g., water source and local fish consumption) were collected via questionnaire. We used linear regression to analyze the association between contextual behavioral covariates and PFAS concentrations. Results: PFOS was detected in 46% of samples, followed by PFNA (25%) and PFOA (12.5%); other PFAS were rarely detected. Participants who consumed locally caught fish more than once per month had significantly higher PFOS levels (β = 0.35, p = 0.006). Conclusions: Frequent fish intake was the only factor significantly associated with PFAS levels, suggesting a dietary exposure pathway. This study provides the first documentation of PFAS exposure among Nepalese adolescents, revealing low-level exposures. Findings underscore the need for ongoing surveillance of environmental contaminants in vulnerable populations.
Full article
(This article belongs to the Special Issue Advances in Environmental Epidemiology, Health and Lifestyle)
►▼
Show Figures

Figure 1
Open AccessArticle
Perinatal Risk Factors and Clinical Correlations in Molar–Incisor Hypomineralization: A Cross-Sectional Epidemiological Study
by
Esztella-Éva Kis, Ilona-Boglárka Gecse, Cristina Bica, Csaba Dudás, Henrietta Dudás and Krisztina Martha
Epidemiologia 2026, 7(1), 4; https://doi.org/10.3390/epidemiologia7010004 - 26 Dec 2025
Abstract
Background: Molar–Incisor Hypomineralization (MIH) represents a developmental enamel defect of systemic origin, typically affecting the first permanent molars and often the incisors. Within the limitations of this study, several associations were observed between perinatal factors and MIH-related outcomes. However, most of these connections
[...] Read more.
Background: Molar–Incisor Hypomineralization (MIH) represents a developmental enamel defect of systemic origin, typically affecting the first permanent molars and often the incisors. Within the limitations of this study, several associations were observed between perinatal factors and MIH-related outcomes. However, most of these connections were not retained in adjusted analyses. Febrile illness during the first year of life showed a significant association with hypersensitivity. Methods: A structured 30-item questionnaire was distributed to mothers of 50 children diagnosed with MIH between February and March 2024. Data was analyzed using chi-square tests, with p < 0.05 considered significant, and univariate and multivariate logistic regressions at 95% confidence interval. Clinical diagnosis followed the Weerheijm (EAPD) criteria. Results: Maternal medication during pregnancy (antibiotics, antiepileptics, asthma drugs) was significantly associated with preterm birth (p = 0.01). Low birth weight correlated with tooth eruption disorders (p = 0.009) and perinatal complications such as hypoxia and respiratory distress (p = 0.0001). Fluoride application demonstrated a protective effect against discolorations (p = 0.005), caries (p = 0.002), and hypersensitivity (p = 0.01). In the multivariate model, febrile illness during the first year of life may be associated with hypersensitivity in MIH-affected teeth (aOR = 5.71, 95% CI: 1.01–32.27, p = 0.049). Conclusions: Maternal medication and perinatal complications, particularly low birth weight, were associated with MIH occurrence. Preventive strategies emphasizing maternal health, early screening, and remineralization-based therapies can mitigate long-term oral health impacts.
Full article
(This article belongs to the Special Issue Advances in Environmental Epidemiology, Health and Lifestyle)
Open AccessArticle
COVID-19 and MPXV: Twindemic Response and Dual Infections in Individuals in a US Metro
by
Atiya Khan, Timothy A. Erickson and Louis Carrillo
Epidemiologia 2026, 7(1), 3; https://doi.org/10.3390/epidemiologia7010003 - 24 Dec 2025
Abstract
Background/Objectives: The purpose of this study was to identify shared and differing characteristics of individuals testing for both SARS-CoV-2 and MPXV in 2022 in the greater Houston metro area. Methods: Data from the Houston Electronic Disease Surveillance System (HEDSS) identified 7,754,198 SARS-CoV-2 PCR
[...] Read more.
Background/Objectives: The purpose of this study was to identify shared and differing characteristics of individuals testing for both SARS-CoV-2 and MPXV in 2022 in the greater Houston metro area. Methods: Data from the Houston Electronic Disease Surveillance System (HEDSS) identified 7,754,198 SARS-CoV-2 PCR lab results and 1246 MPXVV PCR lab results in 2022. Three cohorts for analysis were created where tests were performed, as follows: those positive for both viruses, those negative for COVID-19 but positive for MPXV, and those positive for COVID-19 but negative for MPXV. Results: We identified 88 individuals positive for both viral infections, those negative for COVID-19 but positive for MPXV (n = 38), and those positive for COVID-19 but negative for MPXV (n = 96). While groups were generally similar in regard to demographics (age, sex, and race) and risk factors reported, key differences in timing of testing and risk factors were reported. Notably, there was statistically significant difference in the time between t-tests for dual-infected individuals (99 days) compared to MPXV-positive only (58 days, p < 0.01) or COVID-19 positive only (63 days, p < 0.01). Conclusions: In the setting of multiple disease outbreaks, the characteristics of infected patients may be largely similar. Some people with dual infection may show unusual test results or symptom patterns compared with those with only one infection. Large public health studies with robust reporting systems and laboratory screening are vital for early detection of dual infections. Public health strategies to educate providers and outreach teams enhance response during concurrent outbreaks. Further research is needed on behavior and risk factors in communities with simultaneous outbreaks.
Full article
(This article belongs to the Special Issue Local Healthcare Preparedness and Alert Systems—How to Prevent Future Pandemics?)
►▼
Show Figures

Figure 1
Open AccessArticle
Risk of Infections Among Contacts of COVID-19 Cases in the Healthcare Setting: Experience of One University Hospital
by
Borislav Tošković, Ljiljana Marković-Denić, Milica Brajković, Igor Nađ, Dimitrije Zdravković, Vladimir Nikolić and COVID-19 Working Group
Epidemiologia 2026, 7(1), 2; https://doi.org/10.3390/epidemiologia7010002 - 22 Dec 2025
Abstract
Background/Objectives: The onset of infection in patients in contact with a COVID-19-positive index case in healthcare settings depends on intrinsic factors such as demographic factors, immune status, severity of underlying diseases, and comorbidities. Critical extrinsic factors for transmission, especially in hospitals, are length
[...] Read more.
Background/Objectives: The onset of infection in patients in contact with a COVID-19-positive index case in healthcare settings depends on intrinsic factors such as demographic factors, immune status, severity of underlying diseases, and comorbidities. Critical extrinsic factors for transmission, especially in hospitals, are length of exposure and distance. This study aimed to determine the risk factors of COVID-19 infections in contacts of COVID-19 index cases by conducting a prospective cohort study. Methods: The prospective cohort study included 186 index patients with confirmed COVID-19 and their 416 close hospital contacts. All contacts were followed for five days and tested using antigen or RT-PCR assays, with additional follow-up through national registries if discharged earlier. Results: The risk of infection was significantly higher in contacts older than 60 years (p = 0.009), in those hospitalised within orthopaedics and haematology departments (p < 0.001), and in patients whose bed was located within 1.5 m of the index case (p < 0.001). Laboratory findings showed significant associations with lower lymphocytes, glucose and higher potassium and creatinine levels, while other haematological and biochemical parameters did not differ. Hyperkalaemia (RR = 6.2 95%CI = 1.2–32.1 p = 0.30) and bed distance ≥ 1.5 m (RR = 0.3 95%CI = 0.2–0.6 p < 0.001) demonstrated an independent association with COVID-19 infection among contact patients. Conclusions: To reduce nosocomial transmission from unrecognised COVID-19 reservoirs, patients with electrolyte imbalance and lower levels of blood elements should be placed at a greater distance of 1.5 m from others, especially patients in haematology departments.
Full article
Open AccessArticle
SARS-CoV-2 mRNA Vaccine Effectiveness in the Borriana COVID-19 Cohort: A Prospective Population-Based Cohort Study
by
Salvador Domènech-Montoliu, Óscar Pérez-Olaso, Diego Sala-Trull, Alba Del Rio-Gonzalez, Laura López-Diago, Isabel Aleixandre-Gorriz, Maria Rosario Pac-Sa, Manuel Sánchez-Urbano, Paloma Satorres-Martinez, Cristina Notari-Rodriguez, Juan Casanova-Suárez, Raquel Ruiz-Puig, Gema Badenes-Marques, Laura Aparisi-Esteve, Carmen Domènech-León, Maria Angeles Romeu-Garcia and Alberto Arnedo-Pena
Epidemiologia 2026, 7(1), 1; https://doi.org/10.3390/epidemiologia7010001 - 19 Dec 2025
Abstract
►▼
Show Figures
Background and Objective: Evaluating vaccine effectiveness (VE) is essential to implementing prevention strategies, and our objective was to estimate the VE of SARS-CoV-2 messenger RNA (mRNA) vaccines in preventing SARS-CoV-2 infection. Materials and Methods: We carried out a population-based, prospective cohort study on
[...] Read more.
Background and Objective: Evaluating vaccine effectiveness (VE) is essential to implementing prevention strategies, and our objective was to estimate the VE of SARS-CoV-2 messenger RNA (mRNA) vaccines in preventing SARS-CoV-2 infection. Materials and Methods: We carried out a population-based, prospective cohort study on the Borriana COVID-19 cohort (Valencia Community, Spain) during the 2021–2023 period, considering all SARS-CoV-2 cases that occurred after the SARS-CoV-2 vaccine campaign started in January 2021 (first approach), as well as only symptomatic cases (second approach). Multivariable robust Poisson regression models were employed. Results: In this cohort with 301 participants, 285 were vaccinated, among whom 228 received only SARS-CoV-2 mRNA vaccines, and 57 received mRNA vaccines and other vaccines. In the first approach, there were 226 cases and 75 non-cases. The adjusted VE for three doses of vaccine was 37% (95% confidence interval [CI]: 22–49%) to prevent infection. In the second approach, with 153 symptomatic cases after excluding 73 asymptomatic cases, the adjusted VE for three doses of vaccine was 50% (95% CI 33–63%) to prevent symptomatic infection. Three doses of vaccine exhibited modest but significant protection against infection and symptomatic infection. Conclusions: This study recommends surveilling SARS-CoV-2 infections and variants, vaccinating at-risk populations, and developing new vaccines.
Full article

Figure 1
Open AccessArticle
Physical and Mental Health of Nurses During COVID-19: A Pilot Study on the Role of Work Engagement and Musculoskeletal Symptoms
by
Luciano Garcia Lourenção, José Gustavo Monteiro Penha, Daniela Menezes Galvão, Luiz Antônio Alves de Menezes Júnior, Daiani Modernel Xavier, Natália Sperli Geraldes Marin dos Santos Sasaki, Francisco Rosemiro Guimarães Ximenes Neto, Jacqueline Flores de Oliveira, Alberto de Oliveira Redü, Max dos Santos Afonso, Vagner Ferreira do Nascimento, Rita de Cássia Helú de Mendonça Ribeiro, Renato Mendonça Ribeiro, Daniele Alcalá Pompeo and Sidiane Rodrigues Bacelo
Epidemiologia 2025, 6(4), 93; https://doi.org/10.3390/epidemiologia6040093 - 18 Dec 2025
Abstract
►▼
Show Figures
Background/Objectives: Nursing professionals were among the most affected groups during the COVID-19 pandemic, exposed to simultaneous physical demands and emotional strain. This study examined the interplay between work engagement, compassion fatigue, and musculoskeletal symptoms among frontline nurses in a Brazilian public hospital. Methods:
[...] Read more.
Background/Objectives: Nursing professionals were among the most affected groups during the COVID-19 pandemic, exposed to simultaneous physical demands and emotional strain. This study examined the interplay between work engagement, compassion fatigue, and musculoskeletal symptoms among frontline nurses in a Brazilian public hospital. Methods: A cross-sectional study (n = 77) was conducted between February and April 2022 using validated instruments (Work Stress Scale, ProQoL-BR, Nordic Musculoskeletal Questionnaire, and UWES-9). Descriptive and inferential analyses were performed (p ≤ 0.05). Results: Most participants did not report occupational stress (84.4%). No profiles of compassion fatigue were identified, although notable rates of burnout (26.0%) and secondary traumatic stress (23.4%) were observed. Engagement scores were very high in vigor and dedication. Musculoskeletal symptoms were prevalent, especially in the lumbar region (chronic: 60.0%). Female sex, statutory employment, and lack of physical activity were associated with a higher prevalence of symptoms and sick leave. Work engagement (vigor and overall score) showed negative correlations with absenteeism. Conclusions: The coexistence of high engagement and emotional vulnerability, in the absence of compassion fatigue, suggests that higher levels of engagement may be associated with lower occupational stress. These findings highlight the importance of integrated strategies, including ergonomic interventions, health promotion, and organizational support, to preserve the physical and mental health of frontline nursing professionals. This study provides new evidence of engagement as a potential protective factor that may mitigate physical and emotional burden among nurses in resource-limited settings.
Full article

Figure 1
Open AccessArticle
Spina Bifida Incidence Trends: A Comparative Study of Puerto Rico and the United States
by
Eric Pérez-Pérez, Esteban Rivera-Rivera, Natasha Frontera, Alejandro Cedeño-Moran, Camelia Carvajal-Matta, Jeremy González, Aixa de Jesús-Espinosa, Iván Sosa-González and Miguel Mayol del Valle
Epidemiologia 2025, 6(4), 92; https://doi.org/10.3390/epidemiologia6040092 - 16 Dec 2025
Abstract
►▼
Show Figures
Objectives: Neural tube defects such as myelomeningocele (MMC) remain a significant public health concern despite prevention efforts. Public health measures have reduced the global MMC incidence, but socioeconomic disparities may limit their impact. Puerto Rico (PR) is a United States (US) territory; however,
[...] Read more.
Objectives: Neural tube defects such as myelomeningocele (MMC) remain a significant public health concern despite prevention efforts. Public health measures have reduced the global MMC incidence, but socioeconomic disparities may limit their impact. Puerto Rico (PR) is a United States (US) territory; however, its socioeconomic landscape is vastly different, which may contribute to differences in MMC incidence. In this study, we aimed to compare the differences in MMC incidence and annual variability between PR and the US. Materials and Methods: Data on MMC incidence for the US was obtained from the Centers for Disease Control’s National Vital Statistics Reports, and data for PR from the Puerto Rico Birth Defects Surveillance and Prevention System. Annual percentage change (APC) was used to evaluate year-to-year variation, and multiple linear regression analysis was applied to compare incidence rates. Results: The mean annual MMC incidence in 1996–2020 was 4.88 per 10,000 live births in PR (SD = 1.86), and 1.78 (SD = 0.35) in the US, with an estimated mean difference of 3.11 (p < 0.001). APCs during this period varied significantly, ranging from +200% to −63%. A subgroup analysis after folic acid fortification efforts in PR (1999–2020) showed a persistently elevated incidence in PR (mean = 4.41, SD = 1.33) vs. US (mean = 1.67, SD = 0.25), with an estimated mean difference of 2.72 (p < 0.001). Conclusions: Despite folic acid fortification and public health interventions, MMC incidence in PR remains higher and more variable. These findings underscore the need for improved disease reporting and targeted, region-specific preventive strategies.
Full article

Figure 1
Open AccessArticle
High Household Transmission Among Asymptomatic Contacts Across Pandemic Waves in Cincinnati, Ohio
by
Katherine Bowers, Stefanie Benoit, James Rose, Andrew F. Beck, Alonzo T. Folger, Tara N. Calhoun, Melissa E. Day, Andrew Lovell and Maryse Amin
Epidemiologia 2025, 6(4), 91; https://doi.org/10.3390/epidemiologia6040091 - 12 Dec 2025
Abstract
►▼
Show Figures
Background/Objectives: COVID-19 and long COVID remain prevalent, with household transmission being an important mode of spread. To quantify household transmission of subclinical SARS-COV-2 infection and identify sociodemographic risk factors that may explain disparities in transmission, we conducted a case-ascertained antibody surveillance study of
[...] Read more.
Background/Objectives: COVID-19 and long COVID remain prevalent, with household transmission being an important mode of spread. To quantify household transmission of subclinical SARS-COV-2 infection and identify sociodemographic risk factors that may explain disparities in transmission, we conducted a case-ascertained antibody surveillance study of households in Cincinnati, Ohio. Methods: A partnership was formed between the Cincinnati Health Department and Cincinnati Children’s Hospital Medical Center. The Health Department identified cases of COVID-19. Infected individuals, along with their household contacts (n = 245), completed multiple questionnaires about symptoms, demographics, psychosocial (Adverse Childhood Experiences Scale and Everyday Discrimination Scale) and social risk factors, and conditions before and during the pandemic. In addition, they completed a non-fasting blood draw for IgG, IgM, IgA, and nucleocapsid protein serology testing. Results: Household contacts experienced few symptoms of COVID-19. However, according to the presence of the nucleocapsid protein, nearly 50% contracted the SARS-CoV-2 virus. This rate was similar by vaccination status but it was higher for household contacts who experienced high levels of early life adversity compared with those with lower levels. Conclusions: Our results confirm the high transmission of subclinical disease among household contacts, which may vary due to psychosocial factors. This reinforces the importance of isolating cases to prevent transmission, regardless of vaccination status.
Full article

Figure 1
Open AccessArticle
Awareness, Cultural Beliefs, and Health-Seeking Behavior of Females in Cancer Screening: A Pilot Study in Rural South Africa
by
Olufunmilayo Olukemi Akapo, Mojisola Clara Hosu and Mirabel Kah-Keh Nanjoh
Epidemiologia 2025, 6(4), 90; https://doi.org/10.3390/epidemiologia6040090 - 10 Dec 2025
Abstract
►▼
Show Figures
Background/Objectives: Cervical cancer is one of the most common cancers among women of reproductive age, with 80% of the cases occurring in developing countries. Cervical cancer is largely preventable by effective screening programs. This study assessed the knowledge, attitudes, cultural beliefs, and screening
[...] Read more.
Background/Objectives: Cervical cancer is one of the most common cancers among women of reproductive age, with 80% of the cases occurring in developing countries. Cervical cancer is largely preventable by effective screening programs. This study assessed the knowledge, attitudes, cultural beliefs, and screening practices related to cervical cancer among women in the rural community of Lutubeni, Eastern Cape Province. Methods: A descriptive cross-sectional study was conducted among 95 women aged 25 years or older attending Lutubeni Clinic. Data was collected using a structured, validated questionnaire covering demographics, reproductive health, knowledge of cervical cancer, attitudes, cultural perceptions, and screening practices. Statistical analysis involved descriptive summaries, chi-square tests, and binary logistic regression. Results: Most participants exhibited poor knowledge of cervical cancer symptoms (47.4%) and risk factors (61.1%), with only 3.2% demonstrating good overall knowledge. Vaginal bleeding (60.0%) and foul-smelling discharge (50.5%) were the most recognized symptoms. Only 40.0% were aware of human papillomavirus (HPV) vaccination. While 87.4% knew about cervical cancer screening, only 55.8% had ever been screened. Of these, 43.2% had screened only once, primarily at the clinic (33.7%), mostly initiated by health professionals (41.1%). Positive attitudes toward screening were observed in 52.6%, while 88.4% held cultural beliefs that hindered open discussion about sexual health. Statistically significant factors associated with screening uptake included educational level (p = 0.047), knowledge of symptoms (p = 0.04), risk factors (p < 0.0001), prevention (p < 0.0001), treatment (p = 0.001), and attitudes (p < 0.0001). Independent predictors of poor screening practice were holding an associate degree (OR = 0.04, p = 0.042), having good preventive knowledge (OR = 0.02, p = 0.012), and having negative attitudes (OR = 36.22, p = 0.005). Conclusions: High awareness alone does not guarantee participation in cervical cancer screening in rural South Africa. Interventions must address cultural barriers, stigma, and negative perceptions while strengthening health education that links HPV vaccination with screening awareness. The unexpected association between associate degree attainment and poor screening underscores the complexity of behavioral determinants and warrants further investigation in larger cohorts.
Full article

Figure 1
Open AccessArticle
Increasing Prevalence and Temporal Trend of Prematurity, São Paulo, Brazil, 2000–2023
by
Adriana Gonçalves de Oliveira, João Batista Francalino da Rocha, Edige Felipe de Sousa Santos, Hugo Macedo Jr., Orivaldo Florencio de Souza, Luiz Carlos de Abreu and Rubens Wajnsztejn
Epidemiologia 2025, 6(4), 89; https://doi.org/10.3390/epidemiologia6040089 - 8 Dec 2025
Abstract
►▼
Show Figures
Background: premature birth is a significant public health problem, especially in developing countries such as Brazil. Premature newborns require special care from birth, often requiring prolonged hospitalization and continuous monitoring by various specialists after discharge. Infant Mortality among children under five years of
[...] Read more.
Background: premature birth is a significant public health problem, especially in developing countries such as Brazil. Premature newborns require special care from birth, often requiring prolonged hospitalization and continuous monitoring by various specialists after discharge. Infant Mortality among children under five years of age in Brazil is alarming, with prematurity being the main cause of death in this age group. Objectives: we aim to analyze the prevalence and temporal trend of premature live births in the state of São Paulo, Brazil, in the period 2000–2023. Methods: this is an Ecological, Time-Series Study with secondary data on premature live births in the state of São Paulo, Brazil, from 2000 to 2023. The variables in this study are aggregated measures by year. The Annual Percentage Change and the Average Annual Percentage Change in the percentage of premature live births were estimated by Joinpoint regression. Results: the percentage of premature live births in the period 2000 to 2023 was 9.71%. The average annual percentage change showed an increase of 2.30% per year. In the 2010 to 2013 segment, there was an increase of 12.58% per year (p ≤ 0.05), with subsequent stability in the 2013 to 2016 segment (p ≥ 0.05). The largest annual increases occurred in the number of 4 to 6 prenatal consultations and cesarean sections, with an annual percentage change of 4.51% per year and 2.68% per year, respectively. In the birth weight category equal to or greater than 2500 g, there was an increase in premature live births of 2.50% per year. All categories of the variables sex, type of pregnancy, and type of delivery increased in the period 2000–2023 (p ≤ 0.05). Conclusions: given the increase in the prematurity rate in the period 2000–2023, a long-term growing trend is expected in the largest and most developed state in Brazil.
Full article

Figure 1
Open AccessArticle
Oral Health Assessment in Prisoners: A Cross-Sectional Observational and Epidemiological Study
by
William Alves dos Reis, Bruno Gomes dos Santos Martins, Rodrigo Resende, Urubatan Vieira de Medeiros, Juliana Campos Hasse Fernandes and Gustavo Vicentis Oliveira Fernandes
Epidemiologia 2025, 6(4), 88; https://doi.org/10.3390/epidemiologia6040088 - 5 Dec 2025
Abstract
►▼
Show Figures
Objectives: This cross-sectional observational and epidemiological study aimed to collect data on the oral health conditions of the prison population in Rio de Janeiro, Brazil. Methods: The Penitentiary Moniz Sodré, part of the Penitentiary Complex of Bangu, houses 1385 male inmates of different
[...] Read more.
Objectives: This cross-sectional observational and epidemiological study aimed to collect data on the oral health conditions of the prison population in Rio de Janeiro, Brazil. Methods: The Penitentiary Moniz Sodré, part of the Penitentiary Complex of Bangu, houses 1385 male inmates of different nationalities. They were divided into groups according to age: Group 1, prisoners aged 18 to 27 years; Group 2, from 28 to 37 years; Group 3, from 38 to 47 years; and Group 4, from 48 and older. A survey was performed, and the Decayed, Missing, Filled Teeth (DMFT) index was applied. A statistical analysis was conducted, considering a p-value of less than 0.05 as significant. Then, multiple linear regression was implemented to verify correlations among the studied parameters, to adjust for confounders, and to examine predictors of DMFT scores. Results: The average age was 26.95 ± 6.72 years, with 57.7% smokers (n = 720) and 7.7% (n = 96) former smokers. Lung diseases were also relatively common (20.9%). The most frequently reported oral issue was bleeding on probing (37.7%, n = 470), with 100% presenting visible dental plaque and 71.3% dental calculus. Oral hygiene habits showed moderate adherence, with 20.1% brushing their teeth at least once daily and 20.3% flossing; however, only 10.3% reported using fluoride mouthwash. The average DMFT score progressively increased across age groups: Group 1 (age: 18–27): 6.89; Group 2 (age: 28–37): 10.87; Group 3 (age: 38–47): 16; and Group 4 (age ≥ 48): 22.5 (p < 0.0001). Decayed (D) teeth scores showed a moderate increase: Group 1: 2.94 ± 2.74; Group 2: 3.38 ± 2.65; Group 3: 3.11 ± 2.56; Group 4: 3.75 ± 3.1 (p = 0.0029). Missing (M) teeth scores demonstrated a significant increase with age, from 2.74 (±2.84) in group 1 to 18.12 (±7.71) in group 4 (p < 0.0001), whereas Filled (F) teeth scores were highest in group 3 (mean 1.92 ± 4.13), followed by a decline in the oldest group (mean 0.62 ± 1.18) (p < 0.0001). These findings indicate a strong age-related increase in the total DMFT score, primarily driven by the number of missing teeth. Conclusions: High levels of caries and its sequelae exist, demonstrating a correlation with age, as well as a low level of previous periodontal treatment or intervention. As the treatments performed did not manage to reduce the incidence of caries and periodontal diseases, a high number of extractions were observed in patients in confinement.
Full article

Figure 1
Open AccessFeature PaperArticle
The Relationship Between Retrospectively Measured Pregnancy Intentions and Women’s Stages of Behavior Change for Contraceptive Use and Effectiveness Level of Contraceptive Method Choice
by
Otobo I. Ujah, Jason L. Salemi, Rachel B. Rapkin, William M. Sappenfield, Ellen M. Daley and Russell S. Kirby
Epidemiologia 2025, 6(4), 87; https://doi.org/10.3390/epidemiologia6040087 - 2 Dec 2025
Abstract
►▼
Show Figures
Background/Objectives: Unintended pregnancy is linked to an increased risk of subsequent unintended pregnancies, but its impact on contraceptive use and intention remains vastly understudied. This study assessed whether unintended pregnancy independently influences women’s stages of behavior change for contraceptive use and the
[...] Read more.
Background/Objectives: Unintended pregnancy is linked to an increased risk of subsequent unintended pregnancies, but its impact on contraceptive use and intention remains vastly understudied. This study assessed whether unintended pregnancy independently influences women’s stages of behavior change for contraceptive use and the effectiveness of their chosen contraceptive methods. Methods: Using pooled data from three cross-sectional surveys of the Performance Monitoring and Accountability 2020 project in Nigeria, we analyzed responses from 8014 non-pregnant women aged 15–49 years nested within 892 communities. Multilevel multinomial logistic regression accounted for compositional and contextual factors. Results: Women with a mistimed pregnancy had higher odds of being in the contemplation stage of behavior change compared to those with an intended pregnancy (adjusted odds ratio [aOR] = 1.59, 95% confidence interval [CI] = 1.13–2.22), with a similar but non-significant trend for unwanted pregnancies (aOR = 1.46, 95% CI = 0.91–2.34). Mistimed and unwanted pregnancies were also linked to higher odds of being in the action stage (aOR = 2.17 and 1.85, respectively). Regarding contraceptive effectiveness, women with a mistimed pregnancy were more likely to use moderately effective methods (aOR = 1.47, 95% CI = 1.02–2.12) and highly effective methods (aOR = 2.45, 95% CI = 1.41–4.26). Unwanted pregnancies showed even stronger associations with highly effective methods (aOR = 4.03, 95% CI = 1.18–13.74). Community-level variability significantly influenced outcomes. Conclusions: Together, these findings underscore the importance of person-centered approaches and public health interventions tailored to stages of contraceptive behavior change, targeting both women and communities at high risk of unintended pregnancy.
Full article

Figure 1
Open AccessArticle
Early Menarche and Hypertension Among Postmenopausal Women: The Mediating Role of Obesity
by
Eunice Carolina Ibáñez-García, Mónica Alethia Cureño-Díaz, María Alicia Mejía-Blanquel, Ana Cristina Castañeda-Márquez, Ahidée Leyva-López, Yaneth Citlalli Orbe Orihuela, Miguel Trujillo-Martínez, Ricardo Castrejón-Salgado, Erick Ordoñez-Villordo and José Ángel Hernández-Mariano
Epidemiologia 2025, 6(4), 86; https://doi.org/10.3390/epidemiologia6040086 - 2 Dec 2025
Abstract
►▼
Show Figures
Background/Objectives: Cardiovascular diseases are the leading cause of mortality worldwide and are strongly influenced by obesity and hypertension. Age at menarche has been proposed as an early marker of cardiometabolic risk, but evidence in postmenopausal women is inconsistent, particularly in Mexico. We aimed
[...] Read more.
Background/Objectives: Cardiovascular diseases are the leading cause of mortality worldwide and are strongly influenced by obesity and hypertension. Age at menarche has been proposed as an early marker of cardiometabolic risk, but evidence in postmenopausal women is inconsistent, particularly in Mexico. We aimed to evaluate the association between early menarche and obesity and hypertension in postmenopausal women, and to examine whether obesity mediates this relationship. Methods: We conducted a cross-sectional study based on a retrospective review of 462 medical records of postmenopausal women who attended a tertiary hospital in Mexico City between January 2023 and August 2024. Early menarche was defined as <12 years. Obesity and hypertension were identified from records. Associations were estimated using Poisson regression with robust variance to obtain prevalence ratios (PRs) and 95% confidence intervals (CIs). We assessed effect modification by age at menopause and conducted a mediation analysis under the counterfactual framework to estimate the proportion of the menarche–hypertension association explained by obesity. Results: Early menarche was associated with a higher prevalence of obesity (PR = 1.36, 95% CI = 1.08–1.70) and hypertension (PR = 1.34, 95% CI = 1.06–1.71). Associations were stronger among women with menopause at ≤45 years. Mediation analysis indicated that obesity explained 61.6% of this relationship, with a significant indirect effect (PR = 1.18, 95% CI = 1.05–1.33). Conclusions: Early menarche was independently associated with obesity and hypertension in postmenopausal women, with obesity acting as a potential intermediary factor. Given the cross-sectional design, causality cannot be established, but the associations observed are biologically and temporally coherent.
Full article

Figure 1
Open AccessArticle
Adult Food Allergy Is an Under-Recognized Health Problem in Northwestern Mexico: A Population-Based Cross-Sectional Survey
by
Lizbeth Vizcarra-Olguin, Marcela de Jesús Vergara-Jiménez, Juancarlos Manuel Velásquez-Rodríguez, Oscar Gerardo Figueroa-Salcido, Elisa María Barrón-Cabrera, Perla Y. Gutiérrez-Arzapalo, Fernando Salas-López, Noé Ontiveros and Jesús Gilberto Arámburo-Gálvez
Epidemiologia 2025, 6(4), 85; https://doi.org/10.3390/epidemiologia6040085 - 2 Dec 2025
Abstract
►▼
Show Figures
Objectives: To estimate the prevalence, clinical characteristics, and risk factors of IgE-mediated food allergy (FA) in adults from northwestern Mexico. Methods: A population-based, cross-sectional study was conducted in Culiacán, Sinaloa. A validated questionnaire was administered to 834 adults (valid response rate: 87.5%) in
[...] Read more.
Objectives: To estimate the prevalence, clinical characteristics, and risk factors of IgE-mediated food allergy (FA) in adults from northwestern Mexico. Methods: A population-based, cross-sectional study was conducted in Culiacán, Sinaloa. A validated questionnaire was administered to 834 adults (valid response rate: 87.5%) in public spaces. Prevalence rates (95% CI) were calculated, and associations were analyzed using odds ratios (OR). Results: The prevalence rates of “current immediate-type FA”, “food-induced anaphylaxis” and adult-onset “current immediate-type FA” were 5.75% (4.27–7.49), 2.5% (1.75–4.10) and 2.99% (1.94–4.39), respectively. The most common allergens were shellfish (2.14% (1.28–3.39)) and milk (1.19% (0.57–2.19)). Epinephrine was prescribed in 9.5% of the cases with anaphylaxis history. General practitioners made the diagnosis of 63.4% of the FA cases. FA was associated with personal and family history of atopy. Conclusions: Adult FA is frequent in the population studied and could be an emerging public health problem, characterized by a high rate of adult-onset cases and suboptimal management of anaphylaxis.
Full article

Figure 1
Journal Menu
► ▼ Journal Menu-
- Epidemiologia Home
- Aims & Scope
- Editorial Board
- Topical Advisory Panel
- Instructions for Authors
- Special Issues
- Topics
- Sections
- Article Processing Charge
- Indexing & Archiving
- Editor’s Choice Articles
- Most Cited & Viewed
- Journal Statistics
- Journal History
- Journal Awards
- Society Collaborations
- Editorial Office
Journal Browser
► ▼ Journal BrowserHighly Accessed Articles
Latest Books
E-Mail Alert
News
Topics
Topic in
Diseases, Epidemiologia, Infectious Disease Reports, Medicina, TropicalMed
Surveillance Systems and Predictive Analytics for Epidemics
Topic Editors: Georgia Kourlaba, Elisavet StavropoulouDeadline: 31 January 2027
Special Issues
Special Issue in
Epidemiologia
Psychiatric Comorbidities and Substance Use Among Individuals with Physical Health Issues and Chronic Diseases
Guest Editor: Jagdish KhubchandaniDeadline: 30 March 2026
Special Issue in
Epidemiologia
Local Healthcare Preparedness and Alert Systems—How to Prevent Future Pandemics?
Guest Editors: Giuseppe Stirparo, Alberto Arnedo-PenaDeadline: 15 April 2026
Special Issue in
Epidemiologia
Recent Advances in Acute Diseases and Epidemiological Studies
Guest Editors: Giuseppe Stirparo, Giuseppe RistagnoDeadline: 30 April 2026
Special Issue in
Epidemiologia
Advances in Environmental Epidemiology, Health and Lifestyle
Guest Editor: Rajendra Prasad ParajuliDeadline: 30 April 2026



