Sign in to use this feature.

Years

Between: -

Subjects

remove_circle_outline
remove_circle_outline
remove_circle_outline
remove_circle_outline
remove_circle_outline
remove_circle_outline
remove_circle_outline
remove_circle_outline
remove_circle_outline

Journals

remove_circle_outline
remove_circle_outline
remove_circle_outline
remove_circle_outline
remove_circle_outline
remove_circle_outline
remove_circle_outline
remove_circle_outline
remove_circle_outline
remove_circle_outline
remove_circle_outline
remove_circle_outline
remove_circle_outline
remove_circle_outline
remove_circle_outline
remove_circle_outline
remove_circle_outline
remove_circle_outline
remove_circle_outline
remove_circle_outline
remove_circle_outline
remove_circle_outline
remove_circle_outline
remove_circle_outline
remove_circle_outline
remove_circle_outline

Article Types

Countries / Regions

remove_circle_outline
remove_circle_outline
remove_circle_outline
remove_circle_outline
remove_circle_outline
remove_circle_outline
remove_circle_outline
remove_circle_outline
remove_circle_outline
remove_circle_outline

Search Results (6,680)

Search Parameters:
Keywords = protease

Order results
Result details
Results per page
Select all
Export citation of selected articles as:
16 pages, 1913 KB  
Article
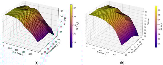
Effect of Storage Duration on Amylase, Protease, and Lipase Activities in Ultrasound-Assisted Extracted Bovine Pancreatin
by Gulmira Kenenbay, Urishbay Chomanov, Gulzhan Zhumaliyeva and Alibek Alashevich Tursunov
Molecules 2026, 31(6), 980; https://doi.org/10.3390/molecules31060980 (registering DOI) - 15 Mar 2026
Abstract
Long-term stability of multienzyme protein systems is governed by preservation of conformational integrity and resistance to thermally induced structural destabilization. This study evaluated bovine pancreatin (BP) obtained by conventional extraction (CM) and ultrasound-assisted extraction (UAM) during 0–930 days of storage at 10–40 °C. [...] Read more.
Long-term stability of multienzyme protein systems is governed by preservation of conformational integrity and resistance to thermally induced structural destabilization. This study evaluated bovine pancreatin (BP) obtained by conventional extraction (CM) and ultrasound-assisted extraction (UAM) during 0–930 days of storage at 10–40 °C. Amylolytic (AA), proteolytic (PA), and lipolytic activities (LA), representing the functional enzymatic activity (EA) of the multienzyme protein system, were monitored to characterize degradation kinetics and activity loss associated with conformational destabilization. After 930 days at 20 ± 1 °C, UAM retained 76% of initial AA compared with 58% for CM, corresponding to a 31% higher residual activity in UAM. LA demonstrated comparatively high stability in both preparations (~84% retention), whereas PA exhibited delayed degradation and significantly higher residual values in UAM samples. Two-way ANOVA confirmed significant effects of extraction method, storage duration, and their interaction (p < 0.001), indicating method-dependent kinetic behavior. Elevated temperatures (35–40 °C) accelerated inactivation, consistent with increased molecular mobility and reduced conformational stability. The smoother degradation trajectories and lower apparent inactivation rates observed in UAM preparations suggest kinetic stabilization, potentially associated with improved conformational preservation and reduced extraction-induced structural stress. Both preparations complied with pharmacopoeial microbiological limits. These findings support the hypothesis that UAM enhances long-term functional stability of complex multienzyme systems through mechanisms related to conformational resilience. Full article
(This article belongs to the Special Issue 30th Anniversary of Molecules—Recent Advances in Food Chemistry)
Show Figures

Figure 1

22 pages, 1937 KB  
Article
Comparative Evaluation of High-Throughput In Vitro Digestion Methods for Predicting In Vivo Digestibility and Fecal Odor Emissions in Pigs
by Ching-Yi Chen, Ruei-Yang Huang and Han-Tsung Wang
Animals 2026, 16(6), 918; https://doi.org/10.3390/ani16060918 (registering DOI) - 14 Mar 2026
Abstract
Accurate and physiologically relevant in vitro models are needed to predict nutrient digestibility and hindgut fermentation in pigs, as conventional in vivo trials are resource-intensive and raise animal welfare concerns. This study evaluated and compared the predictive performance of three in vitro digestion [...] Read more.
Accurate and physiologically relevant in vitro models are needed to predict nutrient digestibility and hindgut fermentation in pigs, as conventional in vivo trials are resource-intensive and raise animal welfare concerns. This study evaluated and compared the predictive performance of three in vitro digestion approaches—shaking (S), dialysis (D), and a combined shaking plus dialysis (SD) method—for estimating in vivo apparent total tract digestibility (ATTD) and fermentation characteristics across weaning, growing, and finishing pigs. Commercial diets were subjected to simulated gastric and small-intestinal digestion using S, D, or SD, followed by fecal inoculation to model hindgut fermentation for 12 and 48 h. During the gastrointestinal phase, crude protein digestibility was highest with D (>75%), intermediate with SD, and lowest with S (50–60%), indicating that product removal by dialysis mitigated enzyme inhibition from metabolite accumulation. After 48 h of fermentation, all methods showed strong linear correlations with in vivo ATTD (r > 0.93), but only D achieved high absolute agreement (Lin’s CCC > 0.95 for dry matter and crude protein). Moreover, D and SD at 48 h closely reflected in vivo fecal profiles of skatole, indole, and microbial enzyme activities, with D at 12 h showing an especially strong correlation for protease (r = 0.98). While D provided the most precise predictions of absolute values, the SD method offered an optimal balance between physiological relevance and operational efficiency, supporting its use as a robust, high-throughput platform for porcine feed evaluation and fecal nitrogenous odorant prediction. Full article
(This article belongs to the Special Issue Advances in Farm Animal Feed and Nutrition)
Show Figures

Figure 1

13 pages, 1024 KB  
Article
Genomic Features and Antimicrobial Susceptibility of Listeria innocua Isolated from Raw Drinking Milk in Poland
by Pierre-Emmanuel Douarre, Renata Pyz-Łukasik, Grzegorz Borsuk and Waldemar Paszkiewicz
Foods 2026, 15(6), 1017; https://doi.org/10.3390/foods15061017 - 13 Mar 2026
Abstract
Listeria innocua is a bacterium frequently detected in food and food production plants (FPPs). Understanding the heterogeneity of L. innocua food isolates is essential for predicting potential food safety threats and developing preventive and control measures. This study aimed to characterize L. innocua [...] Read more.
Listeria innocua is a bacterium frequently detected in food and food production plants (FPPs). Understanding the heterogeneity of L. innocua food isolates is essential for predicting potential food safety threats and developing preventive and control measures. This study aimed to characterize L. innocua isolated from raw drinking milk by investigating the genomic features related to virulence, antimicrobial resistance, and persistence using whole-genome sequencing (WGS), along with phenotypic antimicrobial susceptibility testing using the disk diffusion method. All ten isolates analyzed in this study belonged to sequence type (ST) 492 and were distantly related to the reference strain. A total of 80 virulence-associated genes were identified, including the complete Listeria Pathogenicity Islands-3 (LIPI-3) and LIPI-4 clusters typically found in virulent L. monocytogenes clones, as well as 66 additional genes involved in adhesion, invasion, motility, post-translational modification, regulation, immune modulation, and stress survival. Stress survival islet 2 (SSI-2) and genes encoding the Clp protease complex (clpC, clpE, clpP), which support both persistence and virulence, were also detected, whereas LIPI-1 and internalin genes were not detected. The antimicrobial resistance determinants included fosX, lin, norB, sul, and three multidrug efflux pumps (lde, mdrL and mdrM). Mobile genetic elements (plasmids, prophages, or transposons) were not detected. All isolates were phenotypically susceptible to benzylpenicillin, ampicillin, meropenem, erythromycin, and trimethoprim–sulfamethoxazole. These findings underscore the importance of ongoing genomic surveillance of L. innocua in food environments and highlight the need to assess the potential risk posed by specific lineages, such as ST492, to food safety. Full article
(This article belongs to the Section Food Microbiology)
Show Figures

Figure 1

22 pages, 11351 KB  
Article
Functional Characterization of a Signal Peptide Peptidase in Phaffia rhodozyma Reveals a Potential Role in Protein Stress Response but Not in Activation of the SREBP Ortholog Sre1
by Marcelo Baeza, Melissa Gómez, Gabriela Apariz, Salvador Barahona and Jennifer Alcaíno
Int. J. Mol. Sci. 2026, 27(6), 2628; https://doi.org/10.3390/ijms27062628 - 13 Mar 2026
Abstract
Sterol regulatory element-binding proteins (SREBPs) regulate lipid homeostasis and coordinate sterol metabolism and carotenogenesis in the astaxanthin-producing yeast Phaffia rhodozyma. While Sre1, the SREBP ortholog, and the site-2 protease Stp1 have been identified as essential components of this pathway in P. rhodozyma [...] Read more.
Sterol regulatory element-binding proteins (SREBPs) regulate lipid homeostasis and coordinate sterol metabolism and carotenogenesis in the astaxanthin-producing yeast Phaffia rhodozyma. While Sre1, the SREBP ortholog, and the site-2 protease Stp1 have been identified as essential components of this pathway in P. rhodozyma, additional factors involved in Sre1 processing or regulation remain unknown. In Aspergillus species, a signal peptide peptidase contributes to the activation of the SREBP ortholog, raising the possibility of a similar role in this yeast. In this work, we identified and characterized the P. rhodozyma signal peptide peptidase (SppA) homolog. Sequence analysis, domain prediction, and phylogenetic analyses supported its classification within the SPP family of intramembrane aspartyl proteases. To evaluate its functional role, ΔsppA mutants were constructed in genetic backgrounds with constitutive Sre1 activity, including the cyp61 mutant and a strain expressing the active form of Sre1 (Sre1N). Deletion of SPPA did not alter sensitivity to clotrimazole or cobalt chloride, nor affect pigmentation, indicating that SppA is not required for Sre1 activation in P. rhodozyma. Transcriptomic analyses further showed that expression of SRE1 and of its known target genes remained unchanged upon SPPA deletion. Interestingly, the loss of SppA in the Sre1N background caused marked downregulation of genes associated with protein refolding and unfolded protein binding. In agreement with these transcriptional changes, the Sre1NΔsppA strain displayed increased sensitivity to dithiothreitol. These findings suggest that, although SppA is not involved in Sre1 activation in P. rhodozyma, it may play a role in protein stress-related processes. Future studies will be required to define the molecular mechanisms underlying this role and its integration with protein homeostasis networks. Full article
(This article belongs to the Special Issue Fungal Genetics and Functional Genomics Research)
Show Figures

Figure 1

16 pages, 4884 KB  
Article
Serine Protease HtrA2 from Halophilic Archeon Haloarcula sp. TG1: Heterologous Expression, Characterization and Immobilization
by Aslıhan Kurt-Kızıldoğan, Ömer Konuksever, Özlem Yavuz, Çiğdem Otur, Büşra Abanoz-Seçgin and Sezer Okay
Biomolecules 2026, 16(3), 424; https://doi.org/10.3390/biom16030424 - 13 Mar 2026
Abstract
Halophilic proteases are valuable in industrial applications due to their resistance to harsh conditions. HtrA2 serine protease is widely distributed and conserved among eukaryotes and prokaryotes. However, HtrA2 proteases from archaea have been poorly characterized. In this study, htrA2 from haloarcheon Haloarcula sp. [...] Read more.
Halophilic proteases are valuable in industrial applications due to their resistance to harsh conditions. HtrA2 serine protease is widely distributed and conserved among eukaryotes and prokaryotes. However, HtrA2 proteases from archaea have been poorly characterized. In this study, htrA2 from haloarcheon Haloarcula sp. TG1 was cloned and corresponding nucleotide and amino acid sequences were analyzed. Recombinant HtrA2 was produced in Escherichia coli, and biochemical properties of purified HtrA2 were characterized. HtrA2 was immobilized for the first time using polyhydroxybutyrate (PHB) nanoparticles. Additionally, potential of HtrA2 as a detergent additive was evaluated by its bloodstain removal activity. Recombinant HtrA2 showed its optimum activity at 50 °C, pH 7.0, and 3.0 M NaCl. HtrA2 activity was highly retained over wide temperature (40 to 60 °C) and pH ranges (pH 5.0 to 11.0). Moreover, various organic solvents, inhibitors and metal ions were well tolerated by the enzyme. Acetone and Fe2+ significantly increased HtrA2 activity, while it was not inhibited by phenylmethylsulfonyl fluoride and sodium dodecyl sulfate. Also, immobilization of HtrA2 onto PHB nanoparticles improved its reusability. Furthermore, HtrA2 successfully removed the bloodstain from cotton fabric. This comprehensive characterization of HtrA2 demonstrates that recombinant HtrA2 obtained from Haloarcula sp. TG1 is promising for industrial applications. Full article
Show Figures

Figure 1

26 pages, 2843 KB  
Article
Stalling the Enemy: Targeting Nsp13 for Next-Generation SARS-CoV-2 Antivirals
by Jose M. Castro, Ryan L. Slack, Yee T. Ong, Huanchun Zhang, Levi B. Gifford, Valentine V. Courouble, Riley M. Aiken, Vishal Shankar, Timothy R. O’Leary, Patrick R. Griffin, Shuiyun Lan, Yuhong Du, Haian Fu and Stefan G. Sarafianos
Int. J. Mol. Sci. 2026, 27(6), 2587; https://doi.org/10.3390/ijms27062587 - 11 Mar 2026
Viewed by 163
Abstract
The SARS-CoV-2 public health challenges have highlighted the urgent need for coronavirus-targeting life-saving therapeutics. Given the emergence of drug-resistant strains, the development of antivirals against viral proteins beyond the commonly targeted main protease or RNA-dependent RNA polymerase is critical. The SARS-CoV-2 nonstructural protein [...] Read more.
The SARS-CoV-2 public health challenges have highlighted the urgent need for coronavirus-targeting life-saving therapeutics. Given the emergence of drug-resistant strains, the development of antivirals against viral proteins beyond the commonly targeted main protease or RNA-dependent RNA polymerase is critical. The SARS-CoV-2 nonstructural protein 13 (nsp13) is a highly conserved RNA helicase and an essential component of the viral replication–transcription complex (RTC). It unwinds double-stranded RNA to facilitate viral transcription and replication, making it a strong target for drug development. To identify nsp13 inhibitors, we used an ultra-high-throughput nucleic acid unwinding assay to screen a library of FDA-approved drugs and bioactive compounds. We identified forty inhibitors with IC50 values ranging from 1.4 to 10 μM. Ten were further selected for biochemical and biophysical characterization. Four of these are bound to nsp13 without interacting with the nucleic acid substrate and without inhibiting the ATPase activity of nsp13. Hydrogen–deuterium exchange coupled with Mass Spectrometry (HDX-MS) studies show compound binding causes differential exchange in two regions of nsp13. Furthermore, these compounds have antiviral activity against infectious SARS-CoV-2 in multiple cell lines, with cytotoxicity affecting, in some cases, the apparent antiviral effect. Future optimization efforts could help develop therapeutics against SARS-CoV-2 and other potential coronavirus threats. Full article
(This article belongs to the Special Issue Antiviral Drugs Discovery)
Show Figures

Figure 1

13 pages, 2566 KB  
Article
The Effects of Adding Walnut Green Husk on the Quality of Alfalfa Mixed Silage, Protein Degradation, Microbial Community, and Their Interrelationships
by Naibi Abulaiti, Gulinigaer Aiyisirehong and Aibibula Yimamu
Metabolites 2026, 16(3), 187; https://doi.org/10.3390/metabo16030187 - 11 Mar 2026
Viewed by 104
Abstract
Objectives: This experiment was conducted to investigate the effects of adding walnut (Juglans regia L.) green husk (WGH) on the quality of alfalfa mixed silage, protein degradation, microbial community, and their interrelationships. Methods: Alfalfa (Medicago sativa L.) fresh grass [...] Read more.
Objectives: This experiment was conducted to investigate the effects of adding walnut (Juglans regia L.) green husk (WGH) on the quality of alfalfa mixed silage, protein degradation, microbial community, and their interrelationships. Methods: Alfalfa (Medicago sativa L.) fresh grass and WGH dried powder were used as raw materials to prepare three mixed silages of alfalfa fresh grass with 80 g/kg (A1), 120 g/kg (A2), and 160 g/kg (A3) of WGH dried powder, respectively, with alfalfa fresh grass silage as the control group (CK). After 60 days of ensilage, samples were taken and analyzed, with three replicates per treatment. Results: WGH treatment significantly improved alfalfa silage fermentation and nutritional quality. It reduced undesirable fermentation products while promoting beneficial lactic acid bacteria and preventing mold growth. Increasing the WGH ratio enhanced dry matter content and digestibility, with only a minor effect on crude protein. These results suggest that WGH is an effective silage additive for improving both fermentation characteristics and feed value. With the increase in the proportion of WGH, the proportions of rapidly degradable protein (PB1) and medium rate degradable protein (PB2) increased linearly, while the proportions of free amino acid nitrogen (FAA-N), peptide nitrogen (Peptide-N), slow degradable protein (PB3) and binding protein (PC) decreased linearly and the protease activity decreased significantly (p < 0.05). Bacterial community analysis showed that the relative abundance of Lactiplantibacillus and Levilactobacillus in the silage increased after WGH was added, while the relative abundance of Acetobacter, Pantoea, Weissella and Serratia decreased. Conclusions: Compared with pure alfalfa silage, the addition of WGH has a positive effect on silage quality, protein degradation and bacterial community structure, and the addition of WGH with 120 g/kg is more suitable. Full article
(This article belongs to the Section Nutrition and Metabolism)
Show Figures

Figure 1

26 pages, 3070 KB  
Article
Screening, Safety Assessment, and Process Optimization of Lactic Acid Bacteria from Traditional Yak Yogurt as Adjunct Cultures
by Weiming Shuang, Xiaodong Zeng, Ting Li, Jing Li, Qing Sun and Lianhong Chen
Microorganisms 2026, 14(3), 630; https://doi.org/10.3390/microorganisms14030630 - 11 Mar 2026
Viewed by 87
Abstract
Cheese ripening is slow and costly, driving interest in accelerating maturation. This study aimed to isolate a safe, efficient adjunct starter from traditional Sichuan yak yoghurt, a niche rich in stress-adapted lactic acid bacteria. From 295 isolates, 15 strains tolerant to high salt, [...] Read more.
Cheese ripening is slow and costly, driving interest in accelerating maturation. This study aimed to isolate a safe, efficient adjunct starter from traditional Sichuan yak yoghurt, a niche rich in stress-adapted lactic acid bacteria. From 295 isolates, 15 strains tolerant to high salt, low pH, and low temperature were selected. Using acidification, autolysis, proteolysis, and peptidase activity as indices, principal component analysis identified Limosilactobacillus fermentum 270 as the best candidate. Phenotypic assays showed no haemolysis, gelatin liquefaction, indole production, or amino acid decarboxylase activity. Whole-genome sequencing confirmed species identity and revealed 52 protease/peptidase genes, complete pathways for diacetyl/acetoin biosynthesis and branched-chain amino acid conversion, and no functional biogenic amine synthesis genes. Stress-related genes (F-ATPase, glycine-betaine transport, cold-shock proteins) support cheese adaptability. Antibiotic resistance gene homologs were mainly chromosomal and unlinked to mobile genetic elements; a functional CRISPR-Cas system lowers horizontal transfer risk. The strain was developed as a freeze-dried direct-vat starter (97.3% viability). Orthogonal optimisation of yak Gouda cheese-making defined best conditions: 0.018% adjunct, 45 min acidification, pH 5.8, and 30% curd washing. L. fermentum 270 thus combines proteolytic, flavour-enhancing, genetic safety, and processing traits, offering a promising adjunct for accelerated cheese ripening. Full article
(This article belongs to the Special Issue Lactic Acid Bacteria and Dairy Food Production)
Show Figures

Figure 1

25 pages, 6696 KB  
Article
SLPI-Loaded Liposomes Targeting Kupffer Cells Modulate Macrophage Polarization and Mitigate Radiation-Induced Liver Damage
by Nan Yuan, Xiaodong Sun, Gang Zhao, Shihong Li, Qi Zhang, Jianping Cao and Yang Jiao
Int. J. Mol. Sci. 2026, 27(5), 2517; https://doi.org/10.3390/ijms27052517 - 9 Mar 2026
Viewed by 295
Abstract
Kupffer cells (KCs) make up the predominant population of resident innate immune cells in the liver, serving as key immune sentinels that maintain local immune surveillance and immunoregulatory homeostasis. However, their functional involvement and phenotypic dynamics during radiation-induced liver damage (RILD) remain insufficiently [...] Read more.
Kupffer cells (KCs) make up the predominant population of resident innate immune cells in the liver, serving as key immune sentinels that maintain local immune surveillance and immunoregulatory homeostasis. However, their functional involvement and phenotypic dynamics during radiation-induced liver damage (RILD) remain insufficiently explored. Therefore, we established a mouse model of RILD and, through systematic single-cell-level profiling of hepatic immune cell populations, found that KCs play a critical role in hepatic immune responses and undergo a pronounced radiation-induced shift toward a pro-inflammatory M1 phenotype. Further KC depletion/reconstitution, molecular assays, and coculture experiments consistently demonstrated that M1-polarized KCs exacerbate liver damage, with secretory leukocyte protease inhibitor (SLPI) being identified as a key molecular mediator driving this polarization and its pathogenic effects. To further substantiate these findings, we designed a liposome-based delivery strategy to selectively inhibit SLPI in KCs, which effectively suppressed M1 polarization and alleviated radiation-induced liver damage, underscoring the therapeutic relevance and translational potential of this approach in RILD. Overall, these findings demonstrate that radiation drives KCs toward an SLPI-dependent pro-inflammatory M1 state, thereby exacerbating liver injury. Moreover, targeted liposomal suppression of SLPI effectively reverses this polarization and protects against RILD, highlighting SLPI-modulated KC reprogramming as a promising therapeutic approach. Full article
Show Figures

Figure 1

15 pages, 758 KB  
Review
Morphological and Molecular Characteristics of Choroid Plexus Epithelium in Aged Brains
by Ryuta Murakami and Masaki Ueno
Int. J. Mol. Sci. 2026, 27(5), 2505; https://doi.org/10.3390/ijms27052505 - 9 Mar 2026
Viewed by 218
Abstract
The choroid plexus (CP) has traditionally been regarded as a cerebrospinal fluid-producing structure; however, increasing evidence indicates that it functions as a dynamic regulatory interface involved in immune surveillance, metabolic homeostasis, and brain clearance. Neuroimaging studies consistently report CP enlargement across aging and [...] Read more.
The choroid plexus (CP) has traditionally been regarded as a cerebrospinal fluid-producing structure; however, increasing evidence indicates that it functions as a dynamic regulatory interface involved in immune surveillance, metabolic homeostasis, and brain clearance. Neuroimaging studies consistently report CP enlargement across aging and diverse neurological and neuropsychiatric disorders, yet the underlying cellular mechanisms remain poorly integrated. In this review, we synthesize morphological, molecular, and imaging evidence to propose a sequential degenerative model of the CP epithelium. This model comprises: (1) regulated epithelial cell loss via apical extrusion, (2) compensatory hypertrophy of residual cells, (3) mitochondrial remodeling with oncocytic-like change, and (4) progressive blood–cerebrospinal fluid barrier dysfunction. At the molecular level, alterations in epithelial adhesion systems—particularly SPINT1-mediated protease regulation and E-cadherin–based adherens junction stability—may initiate epithelial instability. Hypertrophic epithelial cells exhibit increased mitochondrial burden, reflected by Tom20 expression, which may initially support metabolic adaptation but ultimately contribute to oxidative stress and functional decline. At the macroscopic level, the cumulative effects of cell loss, hypertrophy, and mitochondrial remodeling likely underlie CP enlargement detectable by magnetic resonance imaging. This framework positions CP enlargement as an imaging-visible manifestation of epithelial stress and provides a structural–molecular basis for interpreting CP alterations in brain aging and neurodegenerative disorders. Full article
(This article belongs to the Special Issue Molecular Mechanisms and Regulation in Blood-Brain Barrier)
Show Figures

Figure 1

43 pages, 4986 KB  
Review
Alcalase for Food-Protein-Derived Bioactive Peptides: Trends, Gaps, and Translational Opportunities
by Jesús Guadalupe Pérez-Flores, Laura García-Curiel, Emmanuel Pérez-Escalante, Elizabeth Contreras-López, Gabriela Mariana Rodríguez-Serrano, Marisa Rivera-Arredondo, Israel Oswaldo Ocampo-Salinas, José Antonio Sánchez-Franco, Rita Paz-Samaniego and José Antonio Guerrero-Solano
Macromol 2026, 6(1), 16; https://doi.org/10.3390/macromol6010016 - 9 Mar 2026
Viewed by 146
Abstract
Comparative studies report inconsistent peptide yields, bioactivities, and sensory outcomes for Alcalase across substrates, creating uncertainty about when it should be favored over other proteases. This study mapped research on hydrolysis of food proteins with Alcalase to quantify scientific output, organize thematic trends, [...] Read more.
Comparative studies report inconsistent peptide yields, bioactivities, and sensory outcomes for Alcalase across substrates, creating uncertainty about when it should be favored over other proteases. This study mapped research on hydrolysis of food proteins with Alcalase to quantify scientific output, organize thematic trends, and identify gaps relevant to peptide-based functional foods. A bibliometric analysis of Web of Science records (2004–2024) was performed in R (bibliometrix), using co-occurrence networks, temporal overlays, and conceptual mapping. The dataset comprised 203 documents from 78 sources, exhibiting a 10.3% annual growth rate and a 36.9% international co-authorship rate. Themes clustered around antioxidant and angiotensin-converting enzyme (ACE) inhibitory peptides, particularly in dairy and marine matrices, are supported by workflows combining Alcalase hydrolysis with size-guided ultrafiltration, RP-HPLC (Reverse Phase High-Performance Liquid Chromatography), and, more recently, in silico analyses and encapsulation studies. Recurrent limitations were identified: heterogeneous hydrolysates and uneven reporting that hinder sequence–activity correlations, gastrointestinal degradation and bitterness affecting applicability, and scale-up and purification choices influencing feasibility. The mapping clarified where Alcalase enables bioactive peptide generation and highlighted practical priorities, including protocol standardization and enzyme benchmarking, the integration of peptidomics and machine learning with targeted assays, and formulation-focused validation (encapsulation, stability, and delivery) to bridge in vitro activity to real-world use. These directions support the production of reproducible, application-ready peptide ingredients. Full article
Show Figures

Graphical abstract

18 pages, 1063 KB  
Review
Intracellular Signaling Regulated by Activated α2-Macroglobulin: Expanding Beyond Its Protease Inhibitory Role
by Lin Liu, Fang Yuan, Junting Jia and Yuyuan Ma
Int. J. Mol. Sci. 2026, 27(5), 2487; https://doi.org/10.3390/ijms27052487 - 8 Mar 2026
Viewed by 235
Abstract
Alpha-2-macroglobulin (α2M) is a conserved plasma glycoprotein traditionally known for its broad-spectrum protease inhibitory activity. However, emerging evidence indicates that its activated form, α2M*, generated via proteolytic cleavage or nucleophilic attack, functions as a versatile signaling ligand. By engaging [...] Read more.
Alpha-2-macroglobulin (α2M) is a conserved plasma glycoprotein traditionally known for its broad-spectrum protease inhibitory activity. However, emerging evidence indicates that its activated form, α2M*, generated via proteolytic cleavage or nucleophilic attack, functions as a versatile signaling ligand. By engaging specific cell-surface receptors, most notably low-density lipoprotein receptor-related protein 1 (LRP1) and glucose-regulated protein 78 (GRP78), α2M* orchestrates a diverse array of intracellular programs, including the PI3K/Akt/mTOR, MAPK/ERK, and JAK/STAT cascades, as well as mechanosensitive YAP/TAZ signaling. These pathways collectively govern fundamental cellular processes such as proliferation, metabolic reprogramming, cytoskeletal remodeling, and inflammatory adaptation across various cell types, including macrophages, cardiomyocytes, and malignant cells. Altogether, this review synthesizes current knowledge on α2M activation, structural transitions, receptor interactions, and downstream signaling, highlighting the expanding functional landscape of α2M* as a potent regulator of intracellular communication with implications for physiology and disease. Full article
(This article belongs to the Section Molecular Biology)
Show Figures

Figure 1

23 pages, 4458 KB  
Article
From Waste to Bioactive Ingredient: Integrated Extraction, Identification, and Validation of Novel Antioxidant Peptides from Xuefeng Black-Bone Chicken Bones
by Haige Yang, Fanjia Kong, Lan Mo, Yanyang Wu, Aihua Lou, Qingwu Shen, Wei Quan, Lei Zhou, Meichun Li and Yan Liu
Foods 2026, 15(5), 942; https://doi.org/10.3390/foods15050942 - 7 Mar 2026
Viewed by 191
Abstract
The valorization of poultry bone by-products into high-value bioactive ingredients aligns with the principles of a sustainable circular bioeconomy. This study established an integrated process for the production, identification, and validation of bioactive antioxidant peptides from Xuefeng black-bone chicken bones (BCB). Alcalase was [...] Read more.
The valorization of poultry bone by-products into high-value bioactive ingredients aligns with the principles of a sustainable circular bioeconomy. This study established an integrated process for the production, identification, and validation of bioactive antioxidant peptides from Xuefeng black-bone chicken bones (BCB). Alcalase was selected as the optimal protease due to its superior performance in both the degree of hydrolysis and antioxidant activity under the optimized conditions. Using response surface methodology (RSM), the optimal hydrolysis conditions were determined as 50 °C, pH 10.18, and 4.2 h, resulting in a hydrolysate with a hydrolysis degree of 25.10% and ABTS radical scavenging activity of 84.36%. Upon ultrafiltration, the <3 kDa fraction demonstrated a significantly higher antioxidant capacity than the crude hydrolysate. Further purification through gel filtration chromatography yielded the F3 sub-fraction (predominantly <1 kDa peptides), which exhibited the most potent activity across all four antioxidant assays conducted (ABTS, DPPH, hydroxyl radical scavenging, and reducing power). A liquid chromatography–tandem mass spectrometry (LC-MS/MS) analysis of F3 led to the identification of 21 peptide sequences. An in silico screening based on bioactivity and toxicity predictions pinpointed three promising candidates: DYPF, WDY, and FGYK. These peptides were chemically synthesized and validated to possess significant in vitro radical scavenging activities against both DPPH and hydroxyl radicals. Molecular docking simulations revealed that all three peptides could spontaneously bind to the Keap1 protein with a high affinity (binding energy < −7.0 kcal/mol), primarily through hydrogen bonds and hydrophobic interactions, suggesting a possible molecular mechanism that may involve the Keap1-Nrf2-ARE antioxidant pathway. This computational insight provides a testable hypothesis for their bioactivity, the verification of which is contingent upon future studies demonstrating their cellular delivery and intracellular action. This work not only provides a sustainable strategy for BCB utilization but also identifies potent antioxidant peptides with potential applications in functional foods and nutraceuticals. Full article
(This article belongs to the Section Food Security and Sustainability)
Show Figures

Figure 1

8 pages, 517 KB  
Communication
Endocytosis Mediated by Candida albicans END3 Is Required for Its In Vivo Virulence as an Opportunistic Fungal Pathogen
by Miranda Yu, Cameron Gilmore, Elena Dos Santos, Susan Eszterhas and Samuel A. Lee
Microorganisms 2026, 14(3), 598; https://doi.org/10.3390/microorganisms14030598 - 7 Mar 2026
Viewed by 177
Abstract
Endocytic trafficking in Candida albicans is a fundamental cellular process that is crucial for its secretion, filamentation, and virulence-related processes. We have previously demonstrated that loss of the key endocytosis-related C. albicans gene END3 disrupts clathrin-mediated endocytosis, leading to impairments in actin patch [...] Read more.
Endocytic trafficking in Candida albicans is a fundamental cellular process that is crucial for its secretion, filamentation, and virulence-related processes. We have previously demonstrated that loss of the key endocytosis-related C. albicans gene END3 disrupts clathrin-mediated endocytosis, leading to impairments in actin patch formation, filamentation, biofilm formation, cell wall integrity, and extracellular protease secretion. The end3 null mutant also exhibits altered antifungal susceptibility and reduced host-cell damage in an in vitro keratinocyte infection model. To ascertain whether endocytosis is required for virulence in vivo, we assessed virulence of the C. albicans end3 null mutant in a murine model of disseminated candidiasis. After infection via the tail vein, and analysis of host survival over 28 days, the end3 null mutant was markedly hypovirulent compared to corresponding control strains. These results indicate that endocytosis mediated by END3 in C. albicans contributes to pathogenesis in vivo. Full article
Show Figures

Figure 1

23 pages, 2583 KB  
Systematic Review
From Pathology to Formulation: Designing Biodegradable Polymers for Personalized Drug Delivery
by Mariann Dinya, Elek Dinya and Gábor M. Mórotz
Pharmaceutics 2026, 18(3), 330; https://doi.org/10.3390/pharmaceutics18030330 - 6 Mar 2026
Viewed by 312
Abstract
Background/Objectives: Selection of polymer carriers for targeted drug delivery is typically guided by material availability or trigger responsiveness rather than disease-specific evidence. However, successful preclinical formulations may already encode implicit design rules linking polymer composition to particular pathological environments. This study aimed to [...] Read more.
Background/Objectives: Selection of polymer carriers for targeted drug delivery is typically guided by material availability or trigger responsiveness rather than disease-specific evidence. However, successful preclinical formulations may already encode implicit design rules linking polymer composition to particular pathological environments. This study aimed to identify reproducible material-disease associations across biodegradable polymer systems and to derive formulation-oriented guidance for disease-calibrated carrier selection. Methods: A structured synthesis of 65 preclinical in vivo studies (2020–2025) covering inflammatory bowel disease, arthritis, cardiovascular inflammation, and solid tumors was performed. Extracted variables included polymer family, backbone chemistry, stimulus responsiveness, disease model, and reported therapeutic benefit relative to controls. Associations between polymer composition, trigger mechanisms, and disease categories were analyzed using cross-tabulation, chi-square statistics, Cramér’s V, and direction-of-effect synthesis. Results: Distinct material-disease clustering patterns emerged. Ionizable polysaccharide and methacrylate systems (e.g., alginate, chitosan, Eudragit) were strongly associated with intestinal inflammatory models, reflecting reliance on pH- and ion-mediated mechanisms. Enzyme-degradable hyaluronic acid matrices were concentrated in joint and cartilage disorders characterized by protease overexpression. Oxidation-sensitive polyether systems (e.g., PEG-PPS) and redox-active hybrid platforms predominated in atherosclerosis and tumor models, where oxidative stress is a defining pathological feature. Composite and multi-responsive systems were disproportionately represented in tumors, consistent with microenvironmental heterogeneity. Across studies, therapeutic improvement was consistently reported when polymer functional motifs aligned with dominant biochemical drivers of the disease. Conclusions: Successful biodegradable polymer carriers exhibit disease-specific compatibility patterns rather than universal applicability. These recurring associations suggest that polymer selection can be guided by pathological context even in the absence of direct outcome comparisons. The resulting formulation-oriented framework supports rational carrier choice for personalized drug delivery based on disease-specific microenvironment signatures. Full article
(This article belongs to the Section Biopharmaceutics)
Show Figures

Graphical abstract

Back to TopTop