Sign in to use this feature.

Years

Between: -

Subjects

remove_circle_outline
remove_circle_outline
remove_circle_outline
remove_circle_outline
remove_circle_outline
remove_circle_outline
remove_circle_outline
remove_circle_outline
remove_circle_outline

Journals

Article Types

Countries / Regions

Search Results (32)

Search Parameters:
Keywords = supercurrents

Order results
Result details
Results per page
Select all
Export citation of selected articles as:
12 pages, 608 KB  
Article
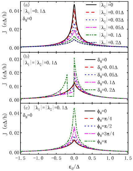
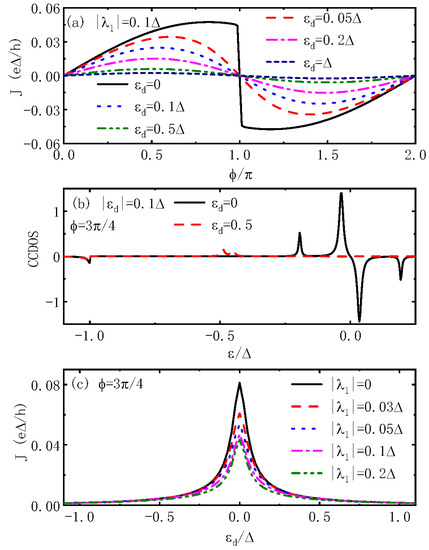
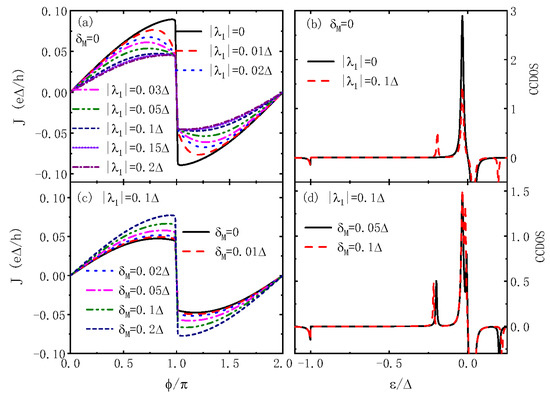
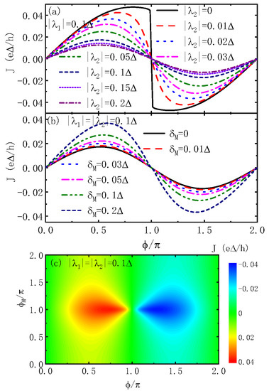
Flux-Dependent Superconducting Diode Effect in an Aharonov–Bohm Interferometer
by Yu-Mei Gao, Hao-Yuan Yang, Feng Chi, Zi-Chuan Yi and Li-Ming Liu
Materials 2025, 18(20), 4670; https://doi.org/10.3390/ma18204670 - 11 Oct 2025
Viewed by 748
Abstract
We theoretically investigate the supercurrent and superconducting diode effect (SDE) in an Aharonov–Bohm (AB) interferometer sandwiched between two aluminium-based superconducting leads. The interferometer features a quantum dot (QD), which is created in an indium arsenide (InAs) semiconductor nanowire by local electrostatic gating, inserted [...] Read more.
We theoretically investigate the supercurrent and superconducting diode effect (SDE) in an Aharonov–Bohm (AB) interferometer sandwiched between two aluminium-based superconducting leads. The interferometer features a quantum dot (QD), which is created in an indium arsenide (InAs) semiconductor nanowire by local electrostatic gating, inserted in one of its arms and a magnetic flux threading through the ring structure. The magnetic flux breaks the system time-reversal symmetry by modulating the quantum phase difference between electronic transport through the QD path and the direct arm, which enhances constructive interference in one direction and destructive interference in the other. This leads to a discrepancy between the magnitudes of the forward and reverse critical supercurrents and is the core mechanism that induces the SDE. We demonstrate that the critical supercurrents exhibit Fano line shapes arising from the interference between discrete Andreev bound states in the QD and continuous states in the direct arm. It is found that when electron transport is dominated by the QD-containing path as compared to the direct arm path of the interferometer, the diode efficiency reaches a maximum, with values as high as 80%. In contrast, when the direct arm path dominates transport, the diode efficiency becomes weak. This attenuation is attributed to the participation of higher-order quantum interference processes, which disrupt the nonreciprocal supercurrent balance. Importantly, the proposed AB interferometer system has a relatively simple structure, and the realization of the SDE within it is feasible using current nano-fabrication technologies. Full article
(This article belongs to the Special Issue Feature Papers in Materials Physics (2nd Edition))
Show Figures

Figure 1

22 pages, 1439 KB  
Article
The Transcription Machinery and the Driving Force of the Transcriptional Molecular Condensate: The Role of Phosphates
by Raúl Riera Aroche, Esli C. Sánchez Moreno, Yveth M. Ortiz García, Andrea C. Machado Sulbarán, Lizbeth Riera Leal, Luis R. Olivas Román and Annie Riera Leal
Curr. Issues Mol. Biol. 2025, 47(7), 571; https://doi.org/10.3390/cimb47070571 - 20 Jul 2025
Cited by 1 | Viewed by 946
Abstract
The dynamic phosphorylation of the human RNA Pol II CTD establishes a code applicable to all eukaryotic transcription processes. However, the ability of these specific post-translational modifications to convey molecular signals through structural changes remains unclear. We previously explained that each gene can [...] Read more.
The dynamic phosphorylation of the human RNA Pol II CTD establishes a code applicable to all eukaryotic transcription processes. However, the ability of these specific post-translational modifications to convey molecular signals through structural changes remains unclear. We previously explained that each gene can be modeled as a combination of n circuits connected in parallel. RNA Pol II accesses these circuits and, through a series of pulses, matches the resonance frequency of the DNA qubits, enabling it to extract genetic information and quantum teleport it. Negatively charged phosphates react under RNA Pol II catalysis, which increases the electron density on the deoxyribose acceptor carbon (2’C in the DNA sugar backbone). The phosphorylation effect on the stability of a carbon radical connects tyrosine to the nitrogenous base, while the subsequent pulses link the protein to molecular water through hydrogen bonds. The selective activation of inert C(sp3)–H bonds begins by reading the quantum information stored in the nitrogenous bases. The coupling of hydrogen proton transfer with electron transfer in water generates a supercurrent, which is explained by the correlation of pairs of the same type of fermions exchanging a boson. All these changes lead to the formation of a molecular protein–DNA–water transcriptional condensate. Full article
Show Figures

Figure 1

13 pages, 946 KB  
Article
Supercurrent and Superconducting Diode Effect in Parallel Double Quantum Dots with Rashba Spin–Orbit Interaction
by Feng Chi, Yaohong Shen, Yumei Gao, Jia Liu, Zhenguo Fu, Zichuan Yi and Liming Liu
Materials 2024, 17(18), 4497; https://doi.org/10.3390/ma17184497 - 13 Sep 2024
Cited by 1 | Viewed by 1891
Abstract
We study theoretically the supercurrent and the superconducting diode effect (SDE) in a structure comprising parallel-coupled double quantum dots (DQDs) sandwiched between two superconductor leads in the presence of a magnetic flux. The influence of the Rashba spin–orbit interaction (RSOI), which induces a [...] Read more.
We study theoretically the supercurrent and the superconducting diode effect (SDE) in a structure comprising parallel-coupled double quantum dots (DQDs) sandwiched between two superconductor leads in the presence of a magnetic flux. The influence of the Rashba spin–orbit interaction (RSOI), which induces a spin-dependent phase factor in the dot–superconductor coupling strength, is taken into account by adopting the nonequilibrium Green’s function technique. This RSOI-induced phase factor serves as a driving force for the supercurrent in addition to the usual superconducting phase difference, and it leads to the system’s left/right asymmetry. Correspondingly, the magnitude of the positive and negative critical currents become different from each other: the so-called SDE. Our results show that the period, magnitude, and direction of the supercurrents depend strongly on the RSOI-induced phase factor, dots’ energy levels, interdot coupling strengths, and the magnetic flux. In the absence of magnetic flux, the diode efficiency is negative and may approach 2, which indicates the perfect diode effect with only negative flowing supercurrent in the absence of a positive one. Interestingly enough, both the sign and magnitude of the diode efficiency can be efficiently adjusted with the help of magnetic flux, the dots’ energy levels and the interdot coupling strength and thus provide a controllable SDE by rich means, such as gate voltage or host materials of the system. Full article
Show Figures

Figure 1

16 pages, 4940 KB  
Article
Hybrid Superconducting/Superconducting Mesoscopic Heterostructure Studied by Modified Ginzburg–Landau Equations
by Jesús González, Angélica Melendez and Luis Camargo
Condens. Matter 2023, 8(4), 104; https://doi.org/10.3390/condmat8040104 - 1 Dec 2023
Cited by 1 | Viewed by 2078
Abstract
Studies involving vortexes in hybrid superconducting devices and their interactions with different components inside samples are important for reaching higher values of critical parameters in superconducting materials. The vortex distribution on each side of a sample with different fundamental parameters, such as temperature [...] Read more.
Studies involving vortexes in hybrid superconducting devices and their interactions with different components inside samples are important for reaching higher values of critical parameters in superconducting materials. The vortex distribution on each side of a sample with different fundamental parameters, such as temperature T, penetration depth λ, coherence length ξ, electron mass m, and the order parameter Ψ, may help to improve the superconducting properties. Thus, in this work, we used the modified Ginzburg–Landau theory to investigate a hybrid superconductor (HS), as well as to provide a highly tunable and adjustable theoretical tool for theoretically explaining the experimental results involving the HS in order to study the vortex behavior in superconductors of mesoscopic dimensions with extreme differences among their fundamental parameters. Therefore, we evaluated the influence of the HS on the vortex configuration and its effects on field-dependent magnetization. The results show that when the applied magnetic field H was increased, the diamagnetic response of the HS (Meissner effect) included additional jumps in magnetization, while diamagnetism continued to increase in the sample. In addition, the differences among parameters created an interface between both components, and two different magnitudes of supercurrent and vortex sizes caused less degradation of the local superconductivity, which increased the upper critical field. On the other hand, this type of HS with differences in parameters on both sides can be used to control the vortex movement in the selected sample of the superconducting region with more accuracy. Full article
(This article belongs to the Special Issue Multicomponent Superconductivity and Superfluidity)
Show Figures

Figure 1

7 pages, 1257 KB  
Article
Influence of Frustration Effects on the Critical Current of DC SQUID
by Iman N. Askerzade
Condens. Matter 2023, 8(3), 65; https://doi.org/10.3390/condmat8030065 - 28 Jul 2023
Viewed by 2170
Abstract
In this paper, we conducted the calculation of the critical current of DC SQUID based on the Josephson junction on a multi-band superconductor with frustration effect. It is shown that the critical current of DC SQUID on the frustrated multi-band superconductor with a [...] Read more.
In this paper, we conducted the calculation of the critical current of DC SQUID based on the Josephson junction on a multi-band superconductor with frustration effect. It is shown that the critical current of DC SQUID on the frustrated multi-band superconductor with a small geometrical inductance of the loop is determined by the supercurrent amplitude in different channels and by the external magnetic field. In the case of a DC SQUID with high inductance, frustration effects can be ignored. Full article
Show Figures

Figure 1

12 pages, 3988 KB  
Article
Decay of Persistent Currents in Annular Atomic Superfluids
by Klejdja Xhani, Giulia Del Pace, Francesco Scazza and Giacomo Roati
Atoms 2023, 11(8), 109; https://doi.org/10.3390/atoms11080109 - 27 Jul 2023
Cited by 12 | Viewed by 2659
Abstract
We investigate the role of vortices in the decay of persistent current states of annular atomic superfluids by solving numerically the Gross–Pitaevskii equation, and we directly compare our results with the 6Li experiment at LENS data. We theoretically model the optical phase-imprinting [...] Read more.
We investigate the role of vortices in the decay of persistent current states of annular atomic superfluids by solving numerically the Gross–Pitaevskii equation, and we directly compare our results with the 6Li experiment at LENS data. We theoretically model the optical phase-imprinting technique employed to experimentally excite finite-circulation states in the Bose–Einstein condensation regime, accounting for imperfections of the optical gradient imprinting profile. By comparing simulations of this realistic protocol to an ideal imprinting, we show that the introduced density excitations arising from imperfect imprinting are mainly responsible for limiting the maximum reachable winding number wmax in the superfluid ring. We also investigate the effect of a point-like obstacle with variable potential height V0 on the decay of circulating supercurrents. For a given obstacle height, a critical circulation wc exists, such that for an initial circulation w0 larger than wc the supercurrent decays through the emission of vortices, which cross the superflow and thus induce phase slippage. Higher values of the obstacle height V0 further favor the entrance of vortices, thus leading to lower values of wc. Furthermore, the stronger vortex-defect interaction at higher V0 leads to vortices that propagate closer to the center of the ring condensate. The combination of both these effects leads to an increase in the supercurrent decay rate for increasing w0, in agreement with experimental observations. Full article
(This article belongs to the Special Issue Recent Trends on Quantum Fluctuations in Ultra-Cold Quantum Gases)
Show Figures

Figure 1

14 pages, 2937 KB  
Article
Characteristic Length for Pinning Force Density in Nb3Sn
by Evgeny F. Talantsev, Evgeniya G. Valova-Zaharevskaya, Irina L. Deryagina and Elena N. Popova
Materials 2023, 16(14), 5185; https://doi.org/10.3390/ma16145185 - 24 Jul 2023
Cited by 7 | Viewed by 2321
Abstract
The pinning force density, Fp, is one of the main parameters that characterize the resilience of a superconductor to carrying a dissipative-free transport current in an applied magnetic field. Kramer (1973) and Dew-Hughes (1974) proposed a widely used scaling law for [...] Read more.
The pinning force density, Fp, is one of the main parameters that characterize the resilience of a superconductor to carrying a dissipative-free transport current in an applied magnetic field. Kramer (1973) and Dew-Hughes (1974) proposed a widely used scaling law for this quantity, where one of the parameters is the pinning force density maximum, Fp,max, which represents the maximal performance of a given superconductor in an applied magnetic field at a given temperature. Since the late 1970s to the present, several research groups have reported experimental data on the dependence of Fp,max on the average grain size, d, in Nb3Sn-based conductors. Fp,maxd datasets were analyzed and a scaling law for the dependence Fp,maxd=A×ln1/d+B was proposed. Despite the fact that this scaling law is widely accepted, it has several problems; for instance, according to this law, at T=4.2 K and d650 nm, Nb3Sn should lose its superconductivity, which is in striking contrast to experiments. Here, we reanalyzed the full inventory of publicly available Fp,maxd data for Nb3Sn conductors and found that the dependence can be described by the exponential law, in which the characteristic length, δ, varies within a remarkably narrow range of δ=175±13 nm for samples fabricated using different technologies. The interpretation of this result is based on the idea that the in-field supercurrent flows within a thin surface layer (thickness of δ) near grain boundary surfaces (similar to London’s law, where the self-field supercurrent flows within a thin surface layer with a thickness of the London penetration depth, λ, and the surface is a superconductor–vacuum surface). An alternative interpretation is that δ represents the characteristic length of the exponential decay flux pinning potential from the dominant defects in Nb3Sn superconductors, which are grain boundaries. Full article
Show Figures

Figure 1

18 pages, 3123 KB  
Article
Contribution of Processes in SN Electrodes to the Transport Properties of SN-N-NS Josephson Junctions
by Vsevolod Ruzhickiy, Sergey Bakurskiy, Mikhail Kupriyanov, Nikolay Klenov, Igor Soloviev, Vasily Stolyarov and Alexander Golubov
Nanomaterials 2023, 13(12), 1873; https://doi.org/10.3390/nano13121873 - 16 Jun 2023
Cited by 13 | Viewed by 2583
Abstract
In this paper, we present a theoretical study of electronic transport in planar Josephson Superconductor–Normal Metal–Superconductor (SN-N-NS) bridges with arbitrary transparency of the SN interfaces. We formulate and solve the two-dimensional problem of finding the spatial distribution of the supercurrent in the SN [...] Read more.
In this paper, we present a theoretical study of electronic transport in planar Josephson Superconductor–Normal Metal–Superconductor (SN-N-NS) bridges with arbitrary transparency of the SN interfaces. We formulate and solve the two-dimensional problem of finding the spatial distribution of the supercurrent in the SN electrodes. This allows us to determine the scale of the weak coupling region in the SN-N-NS bridges, i.e., to describe this structure as a serial connection between the Josephson contact and the linear inductance of the current-carrying electrodes. We show that the presence of a two-dimensional spatial current distribution in the SN electrodes leads to a modification of the current–phase relation and the critical current magnitude of the bridges. In particular, the critical current decreases as the overlap area of the SN parts of the electrodes decreases. We show that this is accompanied by a transformation of the SN-N-NS structure from an SNS-type weak link to a double-barrier SINIS contact. In addition, we find the range of interface transparency in order to optimise device performance. The features we have discovered should have a significant impact on the operation of small-scale superconducting electronic devices, and should be taken into account in their design. Full article
(This article belongs to the Special Issue Nanostructures for Superconducting Electronics)
Show Figures

Figure 1

12 pages, 754 KB  
Article
Superconducting Diode Effect in Topological Hybrid Structures
by Tairzhan Karabassov, Emir S. Amirov, Irina V. Bobkova, Alexander A. Golubov, Elena A. Kazakova and Andrey S. Vasenko
Condens. Matter 2023, 8(2), 36; https://doi.org/10.3390/condmat8020036 - 14 Apr 2023
Cited by 10 | Viewed by 3936
Abstract
Currently, the superconducting diode effect (SDE) is being actively discussed, due to its large application potential in superconducting electronics. In particular, superconducting hybrid structures, based on three-dimensional (3D) topological insulators, are among the best candidates, due to their having the strongest spin–orbit coupling [...] Read more.
Currently, the superconducting diode effect (SDE) is being actively discussed, due to its large application potential in superconducting electronics. In particular, superconducting hybrid structures, based on three-dimensional (3D) topological insulators, are among the best candidates, due to their having the strongest spin–orbit coupling (SOC). Most theoretical studies on the SDE focus either on a full numerical calculation, which is often rather complicated, or on the phenomenological approach. In the present paper, we compare the linearized and nonlinear microscopic approaches in the superconductor/ferromagnet/3D topological insulator (S/F/TI) hybrid structure. Employing the quasiclassical Green’s function formalism we solve the problem self-consistently. We show that the results obtained by the linearized approximation are not qualitatively different from the nonlinear solution. The main distinction in the results between the two methods was quantitative, i.e., they yielded different supercurrent amplitudes. However, when calculating the so-called diode quality factor the quantitative difference is eliminated and both approaches result in good agreement. Full article
Show Figures

Figure 1

11 pages, 494 KB  
Article
Electronic Tunnelling in Superconductor/Quantum-Dot Josephson Junction Side-Coupled to Majorana Nanowire
by Feng Chi, Qiang-Sheng Jia, Jia Liu, Qing-Guo Gao, Zi-Chuan Yi and Li-Ming Liu
Coatings 2023, 13(3), 612; https://doi.org/10.3390/coatings13030612 - 13 Mar 2023
Cited by 6 | Viewed by 2328
Abstract
We study the Josephson current (supercurrent) in a system consisting of two superconductors connected to a single-level quantum dot (QD), which is also side-coupled to a nanowire hosting Majorana bound states (MBSs). Our results show that the MBSs change both the peak height [...] Read more.
We study the Josephson current (supercurrent) in a system consisting of two superconductors connected to a single-level quantum dot (QD), which is also side-coupled to a nanowire hosting Majorana bound states (MBSs). Our results show that the MBSs change both the peak height and position in the current-carrying density of states (CCDOS), and this determines the amplitude of the Josephson current due to the phase difference between the superconductors. By adjusting the energy level in the QD and MBSs-QD hybridization strengths, the magnetic flux penetrating through the closed circuit formed by the QD and the nanowire as well as the direct overlap between the MBSs, one can fully control the electron transport processes. The present results are useful in superconductor-based electrical devices and the newly developed area of superconducting coated conductors. Full article
Show Figures

Figure 1

10 pages, 322 KB  
Article
Multi-Band Analysis on Physical Properties of the Quasi-Two-Dimensional Superconductor NbSe2
by Chenxiao Ye, Jiantao Che, Tianyi Han and Hai Huang
Coatings 2023, 13(3), 548; https://doi.org/10.3390/coatings13030548 - 3 Mar 2023
Cited by 1 | Viewed by 2059
Abstract
The discovery of quasi-two-dimensional superconductors bears consequences for both basic research and practical applications. However, the mechanism of superconductivity and the form of order parameters are still controversial problems for the transition metal dichalcogenide NbSe2 thin film. Under the Neumann boundary condition, [...] Read more.
The discovery of quasi-two-dimensional superconductors bears consequences for both basic research and practical applications. However, the mechanism of superconductivity and the form of order parameters are still controversial problems for the transition metal dichalcogenide NbSe2 thin film. Under the Neumann boundary condition, the physical properties of this compound are investigated within the two-component Ginzburg–Landau theory. We compute the upper critical field in an arbitrary direction and the temperature dependence of critical supercurrent density through this layered system. All of our theoretical calculations fit the experimental measurements well; thus, this study strongly provides evidence of two-gap s-wave superconductivity in the NbSe2 thin film. Full article
(This article belongs to the Section Thin Films)
Show Figures

Figure 1

11 pages, 659 KB  
Article
Effects of the Spatial Extension of the Edge Channels on the Interference Pattern of a Helical Josephson Junction
by Lucia Vigliotti, Alessio Calzona, Niccolò Traverso Ziani, F. Sebastian Bergeret, Maura Sassetti and Björn Trauzettel
Nanomaterials 2023, 13(3), 569; https://doi.org/10.3390/nano13030569 - 31 Jan 2023
Cited by 3 | Viewed by 2809
Abstract
Josephson junctions (JJs) in the presence of a magnetic field exhibit qualitatively different interference patterns depending on the spatial distribution of the supercurrent through the junction. In JJs based on two-dimensional topological insulators (2DTIs), the electrons/holes forming a Cooper pair (CP) can either [...] Read more.
Josephson junctions (JJs) in the presence of a magnetic field exhibit qualitatively different interference patterns depending on the spatial distribution of the supercurrent through the junction. In JJs based on two-dimensional topological insulators (2DTIs), the electrons/holes forming a Cooper pair (CP) can either propagate along the same edge or be split into the two edges. The former leads to a SQUID-like interference pattern, with the superconducting flux quantum ϕ0 (where ϕ0=h/2e) as a fundamental period. If CPs’ splitting is additionally included, the resultant periodicity doubles. Since the edge states are typically considered to be strongly localized, the critical current does not decay as a function of the magnetic field. The present paper goes beyond this approach and inspects a topological JJ in the tunneling regime featuring extended edge states. It is here considered the possibility that the two electrons of a CP propagate and explore the junction independently over length scales comparable to the superconducting coherence length. As a consequence of the spatial extension, a decaying pattern with different possible periods is obtained. In particular, it is shown that, if crossed Andreev reflections (CARs) are dominant and the edge states overlap, the resulting interference pattern features oscillations whose periodicity approaches 2ϕ0. Full article
(This article belongs to the Special Issue Topological Materials in Low Dimensions)
Show Figures

Figure 1

12 pages, 9453 KB  
Article
Supercurrent in Bi4Te3 Topological Material-Based Three-Terminal Junctions
by Jonas Kölzer, Abdur Rehman Jalil, Daniel Rosenbach, Lisa Arndt, Gregor Mussler, Peter Schüffelgen, Detlev Grützmacher, Hans Lüth and Thomas Schäpers
Nanomaterials 2023, 13(2), 293; https://doi.org/10.3390/nano13020293 - 10 Jan 2023
Cited by 12 | Viewed by 6281
Abstract
In this paper, in an in situ prepared three-terminal Josephson junction based on the topological insulator Bi4Te3 and the superconductor Nb the transport properties are studied. The differential resistance maps as a function of two bias currents reveal extended areas [...] Read more.
In this paper, in an in situ prepared three-terminal Josephson junction based on the topological insulator Bi4Te3 and the superconductor Nb the transport properties are studied. The differential resistance maps as a function of two bias currents reveal extended areas of Josephson supercurrent, including coupling effects between adjacent superconducting electrodes. The observed dynamics for the coupling of the junctions is interpreted using a numerical simulation of a similar geometry based on a resistively and capacitively shunted Josephson junction model. The temperature dependency indicates that the device behaves similar to prior experiments with single Josephson junctions comprising topological insulators’ weak links. Irradiating radio frequencies to the junction, we find a spectrum of integer Shapiro steps and an additional fractional step, which is interpreted with a skewed current–phase relationship. In a perpendicular magnetic field, we observe Fraunhofer-like interference patterns in the switching currents. Full article
(This article belongs to the Special Issue Topological Materials in Low Dimensions)
Show Figures

Figure 1

40 pages, 928 KB  
Review
Superconductors and Gravity
by Antonio Gallerati and Giovanni Alberto Ummarino
Symmetry 2022, 14(3), 554; https://doi.org/10.3390/sym14030554 - 10 Mar 2022
Cited by 7 | Viewed by 7214
Abstract
We review and discuss some recent developments on the unconventional interaction between superconducting systems and the local gravitational field. While it is known that gravitational perturbations (such as gravitational waves) can affect supercondensates and supercurrents dynamics, we want to focus here on the [...] Read more.
We review and discuss some recent developments on the unconventional interaction between superconducting systems and the local gravitational field. While it is known that gravitational perturbations (such as gravitational waves) can affect supercondensates and supercurrents dynamics, we want to focus here on the more subtle superfluid back-reaction acting on the surrounding gravitational field, analysing some specific favourable situations. To this end, we will consider suitable quantum macrosystems in a coherent state, immersed in the static weak Earth’s gravitational field, investigating possible slight local alterations of the latter not explained in terms of classical physics. Full article
Show Figures

Figure 1

16 pages, 2714 KB  
Article
Extreme Learning Machine Approach to Modeling the Superconducting Critical Temperature of Doped MgB2 Superconductor
by Sunday Olusanya Olatunji and Taoreed Owolabi
Crystals 2022, 12(2), 228; https://doi.org/10.3390/cryst12020228 - 7 Feb 2022
Cited by 4 | Viewed by 2366
Abstract
Magnesium diboride (MgB2) superconductor combines many unique features such as transparency of its grain boundaries to super-current flow, large coherence length, absence of weak links and small anisotropy. Doping is one of the mechanisms for enhancing these features, as well as [...] Read more.
Magnesium diboride (MgB2) superconductor combines many unique features such as transparency of its grain boundaries to super-current flow, large coherence length, absence of weak links and small anisotropy. Doping is one of the mechanisms for enhancing these features, as well as the superconducting critical temperature, of the compound. During the process of doping, the MgB2 superconductor structural lattice is often distorted while the room temperature resistivity, as well as residual resistivity ratio, contributes to the impurity scattering in the lattice of doped samples. This work develops three extreme learning machine (ELM)-based empirical models for determining MgB2 superconducting critical temperature (TC) using structural distortion as contained in lattice parameters (LP) of doped superconductor, room temperature resistivity (RTR) and residual resistivity ratio (RRR) as descriptors. The developed models are compared with nine different existing models in the literature using different performance metrics and show superior performance over the existing models. The developed SINE-ELM-RTR model performs better than Intikhab et al. (2021)_linear model, Intikhab et al. (2021)_Exponential model, Intikhab et al. (2021)_Quadratic model, HGA-SVR-RRR(2021) model and HGA-SVR-CLD(2021) model with a performance improvement of 32.67%, 29.56%, 20.04%, 8.82% and 13.51%, respectively, on the basis of the coefficient of correlation. The established empirical relationships in this contribution will be of immense significance for quick estimation of the influence of dopants on superconducting transition temperature of MgB2 superconductor without the need for sophisticated equipment while preserving the experimental precision. Full article
(This article belongs to the Special Issue Combinatorial and High-Throughput Discovery of New Metallic Materials)
Show Figures

Figure 1

Back to TopTop