Supercurrent and Superconducting Diode Effect in Parallel Double Quantum Dots with Rashba Spin–Orbit Interaction
Abstract
1. Introduction
2. Model and Method
3. Numerical Results
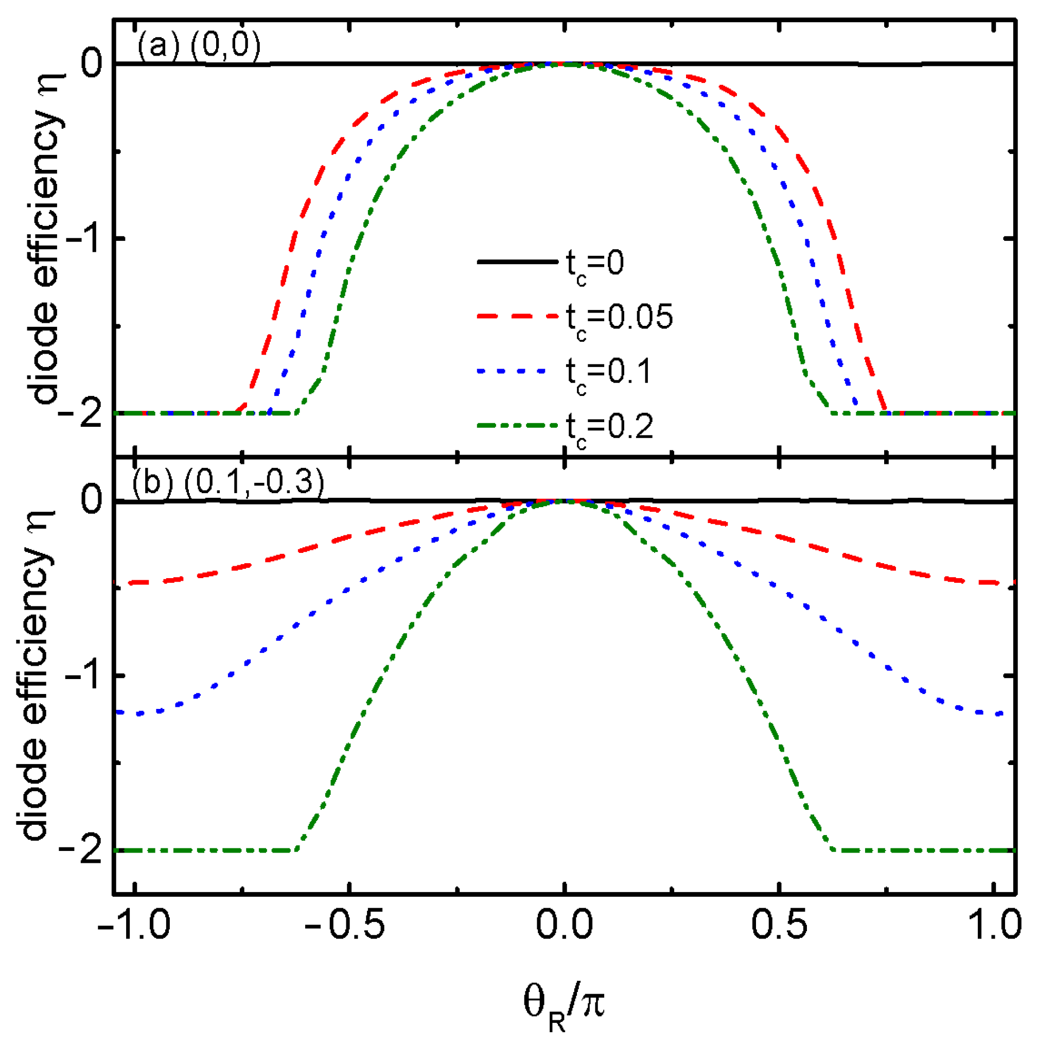
3.1. Magnetic Flux
3.2. Finite Magnetic Flux
4. Summary
Author Contributions
Funding
Institutional Review Board Statement
Informed Consent Statement
Data Availability Statement
Conflicts of Interest
References
- Josephson, B.D. Possible new effects in superconductive tunnelling. Phys. Lett. 1962, 1, 251. [Google Scholar] [CrossRef]
- Josephson, B.D. The discovery of tunnelling supercurrents. Rev. Mod. Phys. 1974, 46, 251. [Google Scholar] [CrossRef]
- Makhlin, Y.; Schön, G.; Shnirman, A. Quantum-state engineering with Josephson-junction devices. Rev. Mod. Phys. 2001, 73, 357. [Google Scholar] [CrossRef]
- Tafuri, F. Fundamentals and Frontiers of the Josephson Effect; Springer Series in Materials Science; Springer: Berlin/Heidelberg, Germany, 2019; Volume 286, ISBN 978-3-030-20724-3. [Google Scholar] [CrossRef]
- Blais, A.; Grimsmo, A.L.; Girvin, S.M.; Wallraff, A. Circuit quantum electrodynamics. Rev. Mod. Phys. 2021, 93, 025005. [Google Scholar] [CrossRef]
- Koren, G.; Eyal, A.; Iomin, L.; Nitzav, Y. Observation of Josephson-like Tunneling Junction Characteristics and Positive Magnetoresistance in Oxygen Deficient Nickelate Films of Nd0.8Sr0.2NiO3-δ. Materials 2021, 14, 7689. [Google Scholar] [CrossRef]
- Braginski, A.I. Superconductor electronics: Status and outlook. J. Supercond. Nov. Magn. 2019, 32, 23. [Google Scholar] [CrossRef]
- Linder, J.; Robinson, J.W. Superconducting spintronics. Nat. Phys. 2015, 11, 307. [Google Scholar] [CrossRef]
- Nadeem, M.; Fuhrer, M.S.; Wang, X. The superconducting diode effect. Nat. Rev. Phys. 2023, 5, 558. [Google Scholar] [CrossRef]
- Hu, J.P.; Wu, C.J.; Dai, X. Proposed Design of a Josephson Diode. Phys. Rev. Lett. 2007, 99, 067004. [Google Scholar] [CrossRef]
- Ando, F.; Miyasaka, Y.; Li, T.; Ishizuka, J.; Arakawa, T.; Shiota, Y.; Moriyama, T.; Yanase, Y.; Ono, T. Observation of superconducting diode effect. Nature 2020, 584, 373. [Google Scholar] [CrossRef]
- Ideue, T.; Iwasa, Y. One-way supercurrent achieved in an electrically polar film. Nature 2020, 584, 349. [Google Scholar] [CrossRef] [PubMed]
- Jiang, K.; Hu, J. Superconducting diode effects. Nat. Phys. 2022, 18, 1145. [Google Scholar] [CrossRef]
- Pal, B.; Chakraborty, A.; Sivakumar, P.K.; Davydova, M.; Gopi, A.K.; Pandeya, A.K.; Krieger, J.A.; Zhang, Y.; Date, M.; Ju, S.; et al. Josephson diode effect from Cooper pair momentum in a topological semimetal. Nat. Phys. 2022, 18, 1228. [Google Scholar] [CrossRef]
- Fulton, T.A.; Dynes, R.C. Current-Phase Relations in Superconducting Bridges. Phys. Rev. Lett. 1970, 25, 794. [Google Scholar] [CrossRef]
- Fulton, T.A.; Dunkleberger, L.N.; Dynes, R.C. Quantum Interference Properties of Double Josephson Junctions. Phys. Rev. B 1972, 6, 855. [Google Scholar] [CrossRef]
- Sivakov, A.G.; Turutanov, O.G.; Kolinko, A.E.; Pokhila, A.S. Spatial Characterization of the Edge Barrier in Wide Superconducting Films. Low Temp. Phys. 2018, 44, 226–232. [Google Scholar] [CrossRef]
- Lyu, Y.Y.; Jiang, J.; Wang, Y.L.; Xiao, Z.L.; Dong, S.; Chen, Q.H.; Milošević, M.V.; Wang, H.; Divan, R.; Pearson, J.E.; et al. Superconducting Diode Effect via Conformal-Mapped Nanoholes. Nat. Commun. 2021, 12, 2703. [Google Scholar] [CrossRef] [PubMed]
- Hou, Y.; Nichele, F.; Chi, H.; Lodesani, A.; Wu, Y.; Ritter, M.F.; Haxell, D.Z.; Davydova, M.; Ilić, S.; Glezakou-Elbert, O.; et al. Ubiquitous Superconducting Diode Effect in Superconductor Thin Films. Phys. Rev. Lett. 2023, 131, 027001. [Google Scholar] [CrossRef]
- Baumgartner, C.; Fuchs, L.; Costa, A.; Picó-Cortés, J.; Reinhardt, S.; Gronin, S.; Gardner, G.C.; Lindemann, T.; Manfra, M.J.; Junior, P.F.; et al. Effect of Rashba and Dresselhaus Spin-Orbit Coupling on Supercurrent Rectification and Magnetochiral Anisotropy of Ballistic Josephson Junctions. J. Phys. Condens. Matter 2022, 34, 154005. [Google Scholar] [CrossRef]
- Amundsen, M.; Linder, J.; Robinson, J.W.A.; Žutić, I.; Banerjee, N. Colloquium: Spin-orbit effects in superconducting hybrid structures. Rev. Mod. Phys. 2024, 96, 021003. [Google Scholar] [CrossRef]
- Yuan, N.F.Q.; Fu, L. Supercurrent diode effect and finite-momentum superconductors. Proc. Natl. Acad. Sci. USA 2022, 119, e2119548119. [Google Scholar] [CrossRef] [PubMed]
- Souto, R.S.; Leijnse, M.; Schrade, C. Josephson Diode Effect in Supercurrent Interferometers. Phys. Rev. Lett. 2022, 129, 267702. [Google Scholar] [CrossRef] [PubMed]
- Gupta, M.; Graziano, G.V.; Pendharkar, M.; Dong, J.T.; Dempsey, C.P.; Palmstrøm, C.; Pribiag, V.S. Gate-tunable superconducting diode effect in a three-terminal Josephson device. Nat. Commun. 2023, 14, 3078. [Google Scholar] [CrossRef] [PubMed]
- Coraiola, M.; Svetogorov, A.E.; Haxell, D.Z. Flux-Tunable Josephson Diode Effect in a Hybrid Four-Terminal Josephson Junction. ACS Nano 2024, 18, 9221. [Google Scholar] [CrossRef]
- Zwolak, J.P.; Taylor, J.M. Colloquium: Advances in automation of quantum dot devices control. Rev. Mod. Phys. 2023, 95, 011006. [Google Scholar] [CrossRef]
- Martín-Rodero, A.; Yeyati, A.L. Josephson and Andreev transport through quantum dots. Adv. Phys. 2011, 60, 899. [Google Scholar] [CrossRef]
- Sun, Q.F.; Wang, J.; Lin, T.H. Photon-assisted andreev tunneling through a mesoscopic hybrid system. Phys. Rev. B 1999, 59, 13126. [Google Scholar] [CrossRef]
- Sun, Q.F.; Wang, J.; Lin, T.H. Control of the supercurrent in a mesoscopic four-terminal Josephson junction. Phys. Rev. B 2000, 62, 648. [Google Scholar] [CrossRef]
- Zhu, Y.; Sun, Q.F.; Lin, T.H. Andreev bound states and the π-junction transition in a superconductor/quantum-dot/superconductor system. J. Phys. Condens. Matter 2001, 13, 8783. [Google Scholar] [CrossRef]
- Buitelaar, M.R.; Nussbaumer, T.; Schönenberger, C. Quantum Dot in the Kondo Regime Coupled to Superconductors. Phys. Rev. Lett. 2002, 89, 256801. [Google Scholar] [CrossRef]
- Droste, S.; Andergassen, S.; Splettstoesser, J. Josephson current through interacting double quantum dots with spin-orbit coupling. J. Phys. Condens. Matter 2012, 24, 415301. [Google Scholar] [CrossRef] [PubMed]
- Cheng, S.G.; Sun, Q.F. Josephson current transport through T-shaped double quantum dots. J. Phys. Condens. Matter 2008, 20, 505202. [Google Scholar] [CrossRef]
- Hofstetter, L.; Csonka, S.; Nygard, J.; Schönenberger, C. Cooper pair splitter realized in a two-quantum-dot Y-junction. Nature 2009, 461, 960. [Google Scholar] [CrossRef]
- Sun, Y.F.; Mao, Y.; Sun, Q.F. Design of Josephson diode based on magnetic impurity. Phys. Rev. B 2023, 108, 214519. [Google Scholar] [CrossRef]
- Debnath, D.; Dutta, P. Gate-tunable Josephson diode effect in Rashba spin-orbit coupled quantum dot junctions. Phys. Rev. B 2024, 109, 174511. [Google Scholar] [CrossRef]
- Mao, Y.; Yan, Q.; Zhuang, Y.C.; Sun, Q.F. Universal Spin Superconducting Diode Effect from Spin-Orbit Coupling. Phys. Rev. Lett. 2024, 132, 216001. [Google Scholar] [CrossRef] [PubMed]
- Xu, L.T.; Li, X.Q.; Sun, Q.F. Majorana dc Josephson current mediated by a quantum dot. J. Phys. Condens. Matter 2017, 29, 195301. [Google Scholar] [CrossRef]
- Chi, F.; Jia, Q.S.; Liu, J.; Gao, Q.G.; Yi, Z.C.; Liu, L.M. Enhancement of the Josephson Current in a Quantum Dot Connected to Majorana Nanowires. Nanomaterials 2023, 13, 1482. [Google Scholar] [CrossRef]
- Zhang, H.R.; Sun, L.L.; Liu, J. Josephson dc Current through T-Shaped Double-Quantum-Dots Hybridized to Majorana Nanowires. Coatings 2023, 13, 523. [Google Scholar] [CrossRef]
- Gao, Y.M.; Zhang, X.Y. Tunable Josephson Current through a Semiconductor Quantum Dot Hybridized to Majorana Trijunction. Coatings 2023, 13, 1627. [Google Scholar] [CrossRef]
- Gao, Y.M.; Xiao, H.; Jiang, M.H.; Chi, F.; Yi, Z.C.; Liu, L.M. Josephson Diode Effect in Parallel-Coupled Double-Quantum Dots Connected to Unalike Majorana Nanowires. Nanomaterials 2024, 14, 1251. [Google Scholar] [CrossRef] [PubMed]
- Pan, H.; Lin, T.H. Control of the supercurrent through a parallel-coupled double quantum dot system. Phys. Rev. B 2006, 74, 235312. [Google Scholar] [CrossRef]
- Pan, H.; Lin, T.H. Tunable supercurrent in a parallel double quantum dot system. Eur. Phys. J. B 2007, 57, 299. [Google Scholar] [CrossRef]
- Deacon, R.S.; Oiwa, A.; Sailer, J.; Baba, S.; Kanai, Y.; Shibata, K.; Hirakawa, K.; Tarucha, S. Cooper pair splitting in parallel quantum dot Josephson junctions. Nat. Commun. 2015, 6, 7446. [Google Scholar] [CrossRef] [PubMed]
- Debbarma, R.; Aspegren, M.; Boström, F.V.; Lehmann, S.; Dick, K.; Thelander, C. Josephson Current via Spin and Orbital States of a Tunable Double Quantum Dot. Phys. Rev. B 2022, 106, L180507. [Google Scholar] [CrossRef]
- Debbarma, R.; Tsintzis, A.; Aspegren, M.; Souto, R.S.; Lehmann, S.; Dick, K.; Leijnse, M.; Thelander, C. Josephson Junction π − 0 Transition Induced by Orbital Hybridization in a Double Quantum Dot. Phys. Rev. Lett. 2023, 131, 256001. [Google Scholar] [CrossRef]
- Sun, Q.F.; Wang, J.; Guo, H. Quantum transport theory for nanostructures with Rashba spin-orbital interaction. Phys. Rev. B 2005, 71, 165310. [Google Scholar] [CrossRef]
- Sun, Q.F.; Xie, X.C. Bias-controllable intrinsic spin polarization in a quantum dot: Proposed scheme based on spin-orbit interaction. Phys. Rev. B 2006, 73, 235301. [Google Scholar] [CrossRef]
- Chi, F.; Li, S.S. Spin-polarized transport through an Aharonov-Bohm interferometer with Rashba spin-orbit interaction. J. Appl. Phys. 2006, 100, 113703. [Google Scholar] [CrossRef]
- Pan, H.; Cui, Y.M.; Wang, H.L.; Wang, R.M. Spin-polarized Andreev reflection and spin accumulation in a quantum-dot Aharonov-Bohm interferometer with spin-orbit interaction effects. J. Appl. Phys. 2011, 110, 033706. [Google Scholar] [CrossRef]
- Reinhardt, S.; Ascherl, T.; Costa, A.; Berger, J.; Gronin, S.; Gardner, G.C.; Lindemann, T.; Manfra, M.J.; Fabian, J.; Kochan, D.; et al. Link between supercurrent diode and anomalous Josephson effect revealed by gate-controlled interferometry. Nat. Commun. 2024, 15, 4413. [Google Scholar] [CrossRef] [PubMed]
- Garcia-Merino, J.A.; Mercado-Zuniga, C.; Hernandez-Acosta, M.A.; Aguilar-Pérez, L.A.; Villanueva-Fierro, I.; Hevia, S.A.; Torres-Torres, C. Magnetic frequency identification by quantum interference in magnetoplasmonic carbon/metal nanostructures. Mat. Sci. Eng. B 2021, 266, 115048. [Google Scholar] [CrossRef]






Disclaimer/Publisher’s Note: The statements, opinions and data contained in all publications are solely those of the individual author(s) and contributor(s) and not of MDPI and/or the editor(s). MDPI and/or the editor(s) disclaim responsibility for any injury to people or property resulting from any ideas, methods, instructions or products referred to in the content. |
© 2024 by the authors. Licensee MDPI, Basel, Switzerland. This article is an open access article distributed under the terms and conditions of the Creative Commons Attribution (CC BY) license (https://creativecommons.org/licenses/by/4.0/).
Share and Cite
Chi, F.; Shen, Y.; Gao, Y.; Liu, J.; Fu, Z.; Yi, Z.; Liu, L. Supercurrent and Superconducting Diode Effect in Parallel Double Quantum Dots with Rashba Spin–Orbit Interaction. Materials 2024, 17, 4497. https://doi.org/10.3390/ma17184497
Chi F, Shen Y, Gao Y, Liu J, Fu Z, Yi Z, Liu L. Supercurrent and Superconducting Diode Effect in Parallel Double Quantum Dots with Rashba Spin–Orbit Interaction. Materials. 2024; 17(18):4497. https://doi.org/10.3390/ma17184497
Chicago/Turabian StyleChi, Feng, Yaohong Shen, Yumei Gao, Jia Liu, Zhenguo Fu, Zichuan Yi, and Liming Liu. 2024. "Supercurrent and Superconducting Diode Effect in Parallel Double Quantum Dots with Rashba Spin–Orbit Interaction" Materials 17, no. 18: 4497. https://doi.org/10.3390/ma17184497
APA StyleChi, F., Shen, Y., Gao, Y., Liu, J., Fu, Z., Yi, Z., & Liu, L. (2024). Supercurrent and Superconducting Diode Effect in Parallel Double Quantum Dots with Rashba Spin–Orbit Interaction. Materials, 17(18), 4497. https://doi.org/10.3390/ma17184497

