Superconductors and Gravity
Abstract
1. Introduction
1.1. Theoretical Foundations
1.2. Experimental Evidence
2. Linearized Gravity: Gravito–Maxwell Fields
2.1. Generalizing Maxwell Equations
2.1.1. Gauge Fixing
2.1.2. Gravito–Maxwell Equations
2.1.3. Generalized Maxwell Equations
2.2. Generalizing London Equations
Generalized London Equations
3. A Simple Application: Josephson Effect
3.1. Josephson Junction
Josephson AC Current
3.2. Josephson Effect Induced by Gravity
Experimental Settings
4. Affecting the Field Just Outside the Sample: Ginzburg–Landau Formulation
4.1. Thermodynamic Fluctuations vs. Mean–Field Theory
GL Equations
4.2. Ginzburg–Landau Formulation
4.2.1. Thermodynamic Fluctuations
4.2.2. Generalized EM Fields
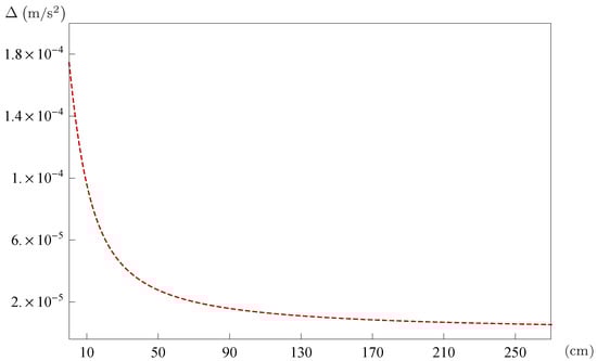
4.3. Expected Effects
5. Affecting the Field Inside the Sample: Vortex Lattice
5.1. Time-Dependent Ginzburg–Landau Formulation
Dimensionless TDGL
5.2. Isolated Superconductor in the Weak Gravitational Field
5.2.1. Solving TDGL Equations
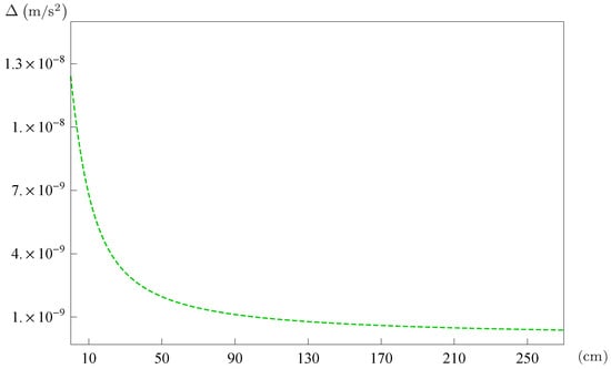
5.2.2. Expected Effects
5.3. Switching on EM Fields: Vortex Lattice
5.3.1. Linearized TDGL
5.3.2. Dimensionless Framework
5.3.3. Averaged Solutions
5.3.4. Expected Effects
6. Conclusions
Author Contributions
Funding
Acknowledgments
Conflicts of Interest
References
- DeWitt, B.S. Superconductors and gravitational drag. Phys. Rev. Lett. 1966, 16, 1092–1093. [Google Scholar] [CrossRef]
- Papini, G. London moment of rotating superconductors and Lense-Thirring fields of general relativity. Il Nuovo Cimento B 1966, 45, 66–68. [Google Scholar] [CrossRef]
- Papini, G. Detection of inertial effects with superconducting interferometers. Phys. Lett. A 1967, 24, 32–33. [Google Scholar] [CrossRef]
- Hirakawa, H. Superconductors in gravitational field. Phys. Lett. A 1975, 53, 395–396. [Google Scholar] [CrossRef]
- Ciubotariu, C. Absorption of gravitational waves. Phys. Lett. A 1991, 158, 27–30. [Google Scholar] [CrossRef]
- Anandan, J. Relativistic gravitation and superconductors. Class. Quant. Grav. 1994, 11, 23. [Google Scholar] [CrossRef]
- Podkletnov, E.; Nieminen, R. A possibility of gravitational force shielding by bulk YBa2Cu3O7-X superconductor. Phys. C Supercond. 1992, 203, 441–444. [Google Scholar] [CrossRef]
- Modanese, G. Theoretical analysis of a reported weak gravitational shielding effect. Europhys. Lett. 1996, 35, 413–418. [Google Scholar] [CrossRef][Green Version]
- Modanese, G. Role of a ‘local’ cosmological constant in Euclidean quantum gravity. Phys. Rev. D 1996, 54, 5002–5009. [Google Scholar] [CrossRef] [PubMed]
- Agop, M.; Buzea, C.; Griga, V.; Ciubotariu, C.; Stan, C.; Jatomir, D. Gravitational paramagnetism, diamagnetism and gravitational superconductivity. Aust. J. Phys. 1996, 49, 1063–1074. [Google Scholar] [CrossRef][Green Version]
- Li, N.; Torr, D. Effects of a gravitomagnetic field on pure superconductors. Phys. Rev. D 1991, 43, 457. [Google Scholar] [CrossRef] [PubMed]
- Ahmedov, B. General relativistic thermoelectric effects in superconductors. Gen. Relativ. Gravit. 1999, 31, 357–369. [Google Scholar] [CrossRef][Green Version]
- Agop, M.; Ioannou, P.; Diaconu, F. Some implications of gravitational superconductivity. Prog. Theor. Phys. 2000, 104, 733–742. [Google Scholar] [CrossRef][Green Version]
- Modanese, G. Local contribution of a quantum condensate to the vacuum energy density. Mod. Phys. Lett. A 2003, 18, 683–690. [Google Scholar] [CrossRef]
- Wu, N. Gravitational shielding effects in gauge theory of gravity. Commun. Theor. Phys. 2004, 41, 567–572. [Google Scholar] [CrossRef][Green Version]
- Hathaway, G.; Cleveland, B.; Bao, Y. Gravity modification experiment using a rotating superconducting disk and radio frequency fields. Phys. C Supercond. 2003, 385, 488. [Google Scholar] [CrossRef]
- Kiefer, C.; Weber, C. On the interaction of mesoscopic quantum systems with gravity. Ann. Phys. 2005, 14, 253–278. [Google Scholar] [CrossRef]
- Quach, J.Q. Gravitational Casimir effect. Phys. Rev. Lett. 2015, 114, 081104, Erratum: Phys. Rev. Lett. 2017, 118, 139901. [Google Scholar] [CrossRef]
- Ummarino, G.A.; Gallerati, A. Superconductor in a weak static gravitational field. Eur. Phys. J. C 2017, 77, 549. [Google Scholar] [CrossRef]
- Atanasov, V. The geometric field (gravity) as an electro-chemical potential in a Ginzburg-Landau theory of superconductivity. Phys. B Condens. Matter 2017, 517, 53–58. [Google Scholar] [CrossRef]
- Atanasov, V. Gravitation at the Josephson junction. Adv. Cond. Matt. Phys. 2018, 2018, 1618252. [Google Scholar] [CrossRef]
- Papini, G. Superconducting and normal metals as detectors of gravitational waves. Lett. Nuovo Cim. 1970, 4S1, 1027–1032. [Google Scholar] [CrossRef]
- Adler, R.J. Long conductors as antennae for gravitational radiation. Nature 1976, 259, 296–297. [Google Scholar] [CrossRef]
- Anandan, J. Relativistic thermoelectromagnetic gravitational effects in normal conductors and superconductors. Phys. Lett. A 1984, 105, 280–284. [Google Scholar] [CrossRef]
- Anandan, J. Detection of gravitational radiation using superconducting circuits. Phys. Lett. A 1985, 110, 446–450. [Google Scholar] [CrossRef]
- Carelli, P.; Castellano, M.; Cosmelli, C.; Foglietti, V.; Modena, I. Coupling of a high-sensitivity superconducting amplifier to a gravitational-wave antenna. Phys. Rev. A 1985, 32, 3258. [Google Scholar] [CrossRef] [PubMed]
- Chan, H.; Paik, H. Superconducting gravity gradiometer for sensitive gravity measurements. I. Theory. Phys. Rev. D 1987, 35, 3551. [Google Scholar] [CrossRef] [PubMed]
- Mashhoon, B.; Paik, H.J.; Will, C.M. Detection of the gravitomagnetic field using an orbiting superconducting gravity gradiometer. Theoretical principles. Phys. Rev. D 1989, 39, 2825. [Google Scholar] [CrossRef] [PubMed]
- Preparata, G. ‘Superradiance’ Effects in a Gravitational Antenna. Mod. Phys. Lett. A 1990, 5, 1. [Google Scholar] [CrossRef]
- Peng, H. The effects of gravitational waves on a superconducting antenna and its sensitivity. Gen. Rel. Grav. 1990, 22, 33–43. [Google Scholar] [CrossRef]
- Peng, H.; Torr, D. The Electric field induced by a gravitational wave in a superconductor: A Principle for a new gravitational wave antenna. Gen. Rel. Grav. 1990, 22, 53–59. [Google Scholar] [CrossRef]
- Peng, H.; Chin, Y.; Lind, G. Interaction between gravity and moving superconductors. Gen. Rel. Grav. 1991, 23, 1231–1250. [Google Scholar] [CrossRef]
- Peng, H.; Torr, D.; Hu, E.; Peng, B. Electrodynamics of moving superconductors and superconductors under the influence of external forces. Phys. Rev. B 1991, 43, 2700. [Google Scholar] [CrossRef] [PubMed]
- Li, F.; Baker, R., Jr. Detection of high-frequency gravitational waves by superconductors. Int. J. Mod. Phys. B 2007, 21, 3274–3278. [Google Scholar] [CrossRef]
- Minter, S.J.; Wegter-McNelly, K.; Chiao, R.Y. Do Mirrors for Gravitational Waves Exist? Phys. E 2010, 42, 234. [Google Scholar] [CrossRef]
- Inan, N.; Thompson, J.; Chiao, R. Interaction of gravitational waves with superconductors. Fortschr. Phys. 2017, 65, 1600066. [Google Scholar] [CrossRef]
- Inan, N. A new approach to detecting gravitational waves via the coupling of gravity to the zero-point energy of the phonon modes of a superconductor. Int. J. Mod. Phys. D 2017, 26, 1743031. [Google Scholar] [CrossRef]
- Hammad, F.; Landry, A. A simple superconductor quantum interference device for testing gravity. Mod. Phys. Lett. A 2020, 35, 2050171. [Google Scholar] [CrossRef]
- Overhauser, A.; Colella, R. Experimental test of gravitationally induced quantum interference. Phys. Rev. Lett. 1974, 33, 1237. [Google Scholar] [CrossRef]
- Colella, R.; Overhauser, A.; Werner, S. Observation of gravitationally induced quantum interference. Phys. Rev. Lett. 1975, 34, 1472–1474. [Google Scholar] [CrossRef]
- Anandan, J. Gravitational and Rotational Effects in Quantum Interference. Phys. Rev. D 1977, 15, 1448–1457. [Google Scholar] [CrossRef]
- Anandan, J. Interference, Gravity and Gauge Fields. Nuovo Cim. A 1979, 53, 221. [Google Scholar] [CrossRef]
- Anandan, J. Gravitationally Coupled Electromagnetic Systems and Quantum Interference. Class. Quant. Grav. 1984, 1, L51. [Google Scholar] [CrossRef]
- Cai, Y.; Papini, G. Particle Interferometry in Weak Gravitational Fields. Class. Quant. Grav. 1989, 6, 407. [Google Scholar] [CrossRef]
- Ahluwalia, D.; Burgard, C. Gravitationally induced quantum mechanical phases and neutrino oscillations in astrophysical environments. Gen. Rel. Grav. 1996, 28, 1161–1170. [Google Scholar] [CrossRef]
- Bhattacharya, T.; Habib, S.; Mottola, E. Gravitationally induced neutrino oscillation phases in static space-times. Phys. Rev. D 1999, 59, 067301. [Google Scholar] [CrossRef]
- Müntinga, H.; Ahlers, H.; Krutzik, M.; Wenzlawski, A.; Arnold, S.; Becker, D.; Bongs, K.; Dittus, H.; Duncker, H.; Gaaloul, N.; et al. Interferometry with Bose-Einstein Condensates in Microgravity. Phys. Rev. Lett. 2013, 110, 093602. [Google Scholar] [CrossRef] [PubMed]
- Asenbaum, P.; Overstreet, C.; Kovachy, T.; Brown, D.D.; Hogan, J.M.; Kasevich, M.A. Phase Shift in an Atom Interferometer due to Spacetime Curvature across its Wave Function. Phys. Rev. Lett. 2017, 118, 183602. [Google Scholar] [CrossRef]
- Kiefer, C.; Singh, T.P. Quantum gravitational corrections to the functional Schrodinger equation. Phys. Rev. D 1991, 44, 1067–1076. [Google Scholar] [CrossRef] [PubMed]
- Sakurai, J.J.; Napolitano, J. Modern Quantum Mechanics; Cambridge University Press: Cambridge, UK, 2017. [Google Scholar]
- Schiff, L.; Barnhill, M. Gravitation-induced electric field near a metal. Phys. Rev. 1966, 151, 1067. [Google Scholar] [CrossRef]
- Witteborn, F.; Fairbank, W. Experimental comparison of the gravitational force on freely falling electrons and metallic electrons. Phys. Rev. Lett. 1967, 19, 1049. [Google Scholar] [CrossRef]
- Witteborn, F.; Fairbank, W. Experiments to determine the force of gravity on single electrons and positrons. Nature 1968, 220, 436–440. [Google Scholar] [CrossRef]
- Beams, J. Potentials on rotor surfaces. Phys. Rev. Lett. 1968, 21, 1093. [Google Scholar] [CrossRef]
- Herring, C. Gravitationally induced electric field near a conductor, and its relation to the surface-stress concept. Phys. Rev. 1968, 171, 1361. [Google Scholar] [CrossRef]
- Peshkin, M. Gravity-induced electric field near a conductor. Ann. Phys. 1968, 46, 1–11. [Google Scholar] [CrossRef]
- Peshkin, M. Gravity-induced electric field near a conductor. Phys. Lett. A 1969, 29, 181–182. [Google Scholar] [CrossRef]
- Craig, P.P. Direct observation of stress-induced shifts in contact potentials. Phys. Rev. Lett. 1969, 22, 700. [Google Scholar] [CrossRef]
- Rieger, T. Gravitationally Induced Electric Field in Metals. Phys. Rev. B 1970, 2, 825. [Google Scholar] [CrossRef]
- Leung, M. Electric fields induced by gravitational fields in metals. Il Nuovo Cimento B 1972, 7, 220–224. [Google Scholar] [CrossRef]
- Lockhart, J.; Witteborn, F.; Fairbank, W. Evidence for a temperature-dependent surface shielding effect in Cu. Phys. Rev. Lett. 1977, 38, 1220. [Google Scholar] [CrossRef]
- Anandan, J. New relativistic gravitational effects using charged-particle interferometry. Gen. Rel. Grav. 1984, 16, 33–41. [Google Scholar] [CrossRef]
- Peng, H. On calculation of magnetic-type gravitation and experiments. Gen. Relativ. Gravit. 1983, 15, 725–735. [Google Scholar] [CrossRef]
- Jain, A.; Lukens, J.; Tsai, J. Test for relativistic gravitational effects on charged particles. Phys. Rev. Lett. 1987, 58, 1165–1168. [Google Scholar] [CrossRef] [PubMed]
- Li, N.; Torr, D. Gravitational effects on the magnetic attenuation of superconductors. Phys. Rev. B 1992, 46, 5489. [Google Scholar] [CrossRef] [PubMed]
- Harris, E. Analogy between general relativity and electromagnetism for slowly moving particles in weak gravitational fields. Am. J. Phys. 1991, 59, 421–425. [Google Scholar] [CrossRef]
- Torr, D.; Li, N. Gravitoelectric-electric coupling via superconductivity. Found. Phys. Lett. 1993, 6, 371–383. [Google Scholar] [CrossRef]
- Agop, M.; Buzea, C.; Nica, P. Local gravitoelectromagnetic effects on a superconductor. Phys. C Supercond. 2000, 339, 120–128. [Google Scholar] [CrossRef]
- Tajmar, M.; De Matos, C. Gravitomagnetic field of a rotating superconductor and of a rotating superfluid. Phys. C 2003, 385, 551–554. [Google Scholar] [CrossRef]
- Tajmar, M.; de Matos, C. Extended analysis of gravitomagnetic fields in rotating superconductors and superfluids. Phys. C 2005, 420, 56. [Google Scholar] [CrossRef]
- Ahmedov, B.; Kagramanova, V. Electromagnetic effects in superconductors in stationary gravitational field. Int. J. Mod. Phys. D 2005, 14, 837–847. [Google Scholar] [CrossRef]
- De Matos, C.J. Gravitational force between two electrons in superconductors. Phys. C Supercond. 2008, 468, 229–232. [Google Scholar] [CrossRef][Green Version]
- Tajmar, M. Electrodynamics in superconductors explained by Proca equations. Phys. Lett. A 2008, 372, 3289–3291. [Google Scholar] [CrossRef]
- Misner, C.W.; Thorne, K.; Wheeler, J. Gravitation; W. H. Freeman: San Francisco, CA, USA, 1973. [Google Scholar]
- Wald, R.M. General Relativity; Chicago University Press: Chicago, IL, USA, 1984. [Google Scholar] [CrossRef]
- Ummarino, G.A.; Gallerati, A. Exploiting weak field gravity-Maxwell symmetry in superconductive fluctuations regime. Symmetry 2019, 11, 1341. [Google Scholar] [CrossRef]
- Ummarino, G.A.; Gallerati, A. Josephson AC effect induced by weak gravitational field. Class. Quant. Grav. 2020, 37, 217001. [Google Scholar] [CrossRef]
- Braginsky, V.B.; Caves, C.M.; Thorne, K.S. Laboratory Experiments to Test Relativistic Gravity. Phys. Rev. D 1977, 15, 2047. [Google Scholar] [CrossRef]
- Ross, D. The London equations for superconductors in a gravitational field. J. Phys. A 1983, 16, 1331. [Google Scholar] [CrossRef]
- Thorne, K. Gravitomagnetism, jets in quasars, and the stanford gyroscope experiment. In Near Zero: New Frontiers of Physics; W.H. Freeman & Co.: New York, NY, USA, 1988; pp. 573–586. [Google Scholar]
- Peng, H. A new approach to studying local gravitomagnetic effects on a superconductor. Gen. Relativ. Gravit. 1990, 22, 609–617. [Google Scholar] [CrossRef]
- Ruggiero, M.L.; Tartaglia, A. Gravitomagnetic effects. Nuovo Cim. B 2002, 117, 743–768. [Google Scholar]
- Tartaglia, A.; Ruggiero, M.L. Gravitoelectromagnetism versus electromagnetism. Eur. J. Phys. 2004, 25, 203–210. [Google Scholar] [CrossRef]
- Vieira, R.; Brentan, H. Covariant theory of gravitation in the framework of special relativity. Eur. Phys. J. Plus 2018, 133, 165. [Google Scholar] [CrossRef]
- Behera, H. Comments on gravitoelectromagnetism of Ummarino and Gallerati in “Superconductor in a weak static gravitational field” vs other versions. Eur. Phys. J. C 2017, 77, 822. [Google Scholar] [CrossRef]
- Giardino, S. A novel covariant approach to gravito-electromagnetism. Braz. J. Phys. 2020, 50, 372–378. [Google Scholar] [CrossRef]
- Sbitnev, V.I. Quaternion algebra on 4D superfluid quantum space-time. Gravitomagnetism. Found. Phys. 2019, 49, 107–143. [Google Scholar] [CrossRef]
- Gallerati, A. Interaction between superconductors and weak gravitational field. J. Phys. Conf. Ser. 2020, 1690, 012141. [Google Scholar] [CrossRef]
- Williams, L.L.; Inan, N. Maxwellian mirages in general relativity. New J. Phys. 2021, 23, 053019. [Google Scholar] [CrossRef]
- Gallerati, A. Local affection of weak gravitational field from supercondensates. Phys. Scripta 2021, 96, 064001. [Google Scholar] [CrossRef]
- Toth, G.Z. Energy-momentum tensor and duality symmetry of linearized gravity in a Maxwellian formalism. arXiv 2021, arXiv:2108.02124. [Google Scholar]
- De Gennes, P.G. Superconductivity of Metals and Alloys; Taylor & Francis Ltd.: London, UK, 2018. [Google Scholar] [CrossRef]
- Tinkham, M. Introduction to Superconductivity; Dover Publications Inc.: New York, NY, USA, 2004. [Google Scholar]
- Ketterson, J.; Song, S. Superconductivity; Cambridge University Press: Cambridge, UK, 1999. [Google Scholar] [CrossRef]
- Josephson, B. Possible new effects in superconductive tunnelling. Phys. Lett. 1962, 1, 251–253. [Google Scholar] [CrossRef]
- Anderson, P. The Josephson Effect and Quantum Coherence Measurements in Superconductors and Superfluids. In Progress in Low Temperature Physics; Elsevier: Amsterdam, NL, USA, 1967; Volume 5, pp. 1–43. [Google Scholar]
- Barone, A.; Paternò, G. Physics and Applications of the Josephson Effect; John Wiley & Sons: New York, NY, USA, 1982. [Google Scholar] [CrossRef]
- Feynman, R.; Leighton, R.; Sands, M. The Josephson junction. In The Feynman Lectures on Physics; Addison-Wesley Publ. Comp.: New York, NY, USA, 1965; Chapter 21; Volume III. [Google Scholar]
- Fossheim, K.; Sudbø, A. Superconductivity: Physics and Applications; John Wiley & Sons Ltd.: Hoboken, NJ, USA, 2004. [Google Scholar] [CrossRef]
- Gor’kov, L. Microscopic derivation of the Ginzburg-Landau equations in the theory of superconductivity. Sov. Phys. JETP 1959, 9, 1364–1367. [Google Scholar]
- Josephson, B. Supercurrents through barriers. Adv. Phys. 1965, 14, 419–451. [Google Scholar] [CrossRef]
- Josephson, B. Coupled superconductors. Rev. Mod. Phys. 1964, 36, 216. [Google Scholar] [CrossRef]
- Ambegaokar, V.; Baratoff, A. tunnelling Between Superconductors. Phys. Rev. Lett. 1963, 10, 486. [Google Scholar] [CrossRef]
- Ambegaokar, V.; Baratoff, A. tunnelling Between Superconductors (Errata). Phys. Rev. Lett. 1963, 11, 104. [Google Scholar] [CrossRef]
- Saxena, A.K. The Proximity and Josephson Effects. In High-Temperature Superconductors; Springer: Berlin/Heidelberg, Germany, 2009; pp. 147–198. [Google Scholar] [CrossRef]
- Bardeen, J.; Cooper, L.; Schrieffer, J. Theory of superconductivity. Phys. Rev. 1957, 108, 1175–1204. [Google Scholar] [CrossRef]
- Ginzburg, V.; Landau, L. On the Theory of superconductivity. Zh. Eksp. Teor. Fiz. 1950, 20, 1064–1082. [Google Scholar]
- Ginzburg, V.; Landau, L. On the Theory of Superconductivity. In On Superconductivity and Superfluidity; Springer: Berlin/Heidelberg, Germany, 2009; pp. 113–137. [Google Scholar] [CrossRef]
- Ginzburg, V. Some remarks on phase transitions of the second kind and the microscopic theory of ferroelectric materials. Soviet Phys. Solid State 1961, 2, 1824–1834. [Google Scholar]
- Thouless, D.J. Perturbation theory in statistical mechanics and the theory of superconductivity. Ann. Phys. 1960, 10, 553–588. [Google Scholar] [CrossRef]
- Shier, J.; Ginsberg, D. Superconducting transitions of amorphous Bismuth alloys. Phys. Rev. 1966, 147, 384. [Google Scholar] [CrossRef]
- Glover, R. Ideal resistive transition of a superconductor. Phys. Lett. A 1967, 25, 542–544. [Google Scholar] [CrossRef]
- Strongin, M.; Kammerer, O.; Crow, J.; Thompson, R.; Fine, H. ‘Curie-Weiss’ behavior and fluctuation phenomena in the resistive transitions of dirty superconductors. Phys. Rev. Lett. 1968, 20, 922. [Google Scholar] [CrossRef]
- Ferrell, R.; Schmidt, H. Predicted critical behavior near the superconducting phase transition. Phys. Lett. A 1967, 25, 544–545. [Google Scholar] [CrossRef]
- Schmid, A. A time dependent Ginzburg-Landau equation and its application to the problem of resistivity in the mixed state. Phys. Der Kondens. Mater. 1966, 5, 302–317. [Google Scholar] [CrossRef]
- Hurault, J. Nonlinear Effects on the Conductivity of a Superconductor above Its Transition Temperature. Phys. Rev. 1969, 179, 494. [Google Scholar] [CrossRef]
- Schmid, A. Diamagnetic susceptibility at the transition to the superconducting state. Phys. Rev. 1969, 180, 527. [Google Scholar] [CrossRef]
- Poole, C.K.; Farach, H.A.; Creswick, R.J. Handbook of Superconductivity; Academic Press: San Diego, CA, USA, 1999. [Google Scholar]
- Welp, U.; Xie, R.; Koshelev, A.; Kwok, W.; Luo, H.; Wang, Z.; Mu, G.; Wen, H.H. Anisotropic phase diagram and strong coupling effects in Ba1-xKxFe2As2 from specific-heat measurements. Phys. Rev. B 2009, 79, 094505. [Google Scholar] [CrossRef]
- Ullah, S.; Dorsey, A. Effect of fluctuations on the transport properties of type-II superconductors in a magnetic field. Phys. Rev. B 1991, 44, 262. [Google Scholar] [CrossRef] [PubMed]
- Tang, Q.; Wang, S. Time dependent Ginzburg-Landau equations of superconductivity. Phys. D Nonlinear Phenom. 1995, 88, 139–166. [Google Scholar] [CrossRef]
- Du, Q.; Gray, P. High-kappa limits of the time-dependent Ginzburg-Landau model. SIAM J. Appl. Math. 1996, 56, 1060–1093. [Google Scholar] [CrossRef]
- Lin, F.H.; Du, Q. Ginzburg-Landau vortices: Dynamics, pinning, and hysteresis. SIAM J. Math. Anal. 1997, 28, 1265–1293. [Google Scholar] [CrossRef]
- Fleckinger-Pellé, J.; Kaper, H.G.; Takáč, P. Dynamics of the Ginzburg-Landau equations of superconductivity. Nonlinear Anal. Theory Methods Appl. 1998, 32, 647–665. [Google Scholar] [CrossRef]
- Kopnin, N.; Thuneberg, E. Time-dependent Ginzburg-Landau analysis of inhomogeneous normal-superfluid transitions. Phys. Rev. Lett. 1999, 83, 116. [Google Scholar] [CrossRef]
- Ghinovker, M.; Shapiro, I.; Shapiro, B.Y. Explosive nucleation of superconductivity in a magnetic field. Phys. Rev. B 1999, 59, 9514. [Google Scholar] [CrossRef]
- Ljubičić, A.; Logan, B. A proposed test of the general validity of Mach’s principle. Phys. Lett. A 1992, 172, 3–5. [Google Scholar] [CrossRef]
- Ummarino, G.A.; Gallerati, A. Possible alterations of local gravitational field inside a superconductor. Entropy 2021, 23, 193. [Google Scholar] [CrossRef] [PubMed]
- Kopnin, N.; Ivlev, B.; Kalatsky, V. The flux-flow Hall effect in type II superconductors. An explanation of the sign reversal. J. Low Temp. Phys. 1993, 90, 1–13. [Google Scholar] [CrossRef]
- Kopnin, N. Theory of Nonequilibrium Superconductivity; Oxford University Press: Oxford, UK, 2001. [Google Scholar] [CrossRef]
- Hoffmann, K.; Tang, Q. Ginzburg-Landau Phase Transition Theory and Superconductivity; Springer: Basel, Switzerland, 2012. [Google Scholar] [CrossRef]
- Ummarino, G.A.; Gallerati, A. Superconductor in static gravitational, electric and magnetic fields with vortex lattice. Results Phys. 2021, 30, 104838. [Google Scholar] [CrossRef]
- Sanders, J.A.; Verhulst, F.; Murdock, J. Averaging Methods in Nonlinear Dynamical Systems; Springer: New York, NY, USA, 2007. [Google Scholar] [CrossRef]
- Weigand, M.; Eisterer, M.; Giannini, E.; Weber, H. Mixed state properties of Bi2Sr2Ca2Cu3O10+δ single crystals before and after neutron irradiation. Phys. Rev. B 2010, 81, 014516. [Google Scholar] [CrossRef]
- Piriou, A.; Fasano, Y.; Giannini, E.; Fischer, Ø. Effect of oxygen-doping on Bi2Sr2Ca2Cu3O10+δ vortex matter: Crossover from electromagnetic to Josephson interlayer coupling. Phys. Rev. B 2008, 77, 184508. [Google Scholar] [CrossRef]
- Larkin, A.; Varlamov, A. Theory of fluctuations in superconductors; Oxford University Press: Oxford, UK, 2005. [Google Scholar] [CrossRef]
- Zurek, W. Cosmological experiments in condensed matter systems. Phys. Rept. 1996, 276, 177–221. [Google Scholar] [CrossRef]
- Volovik, G. Superfluid 3He-B and gravity. Phys. B Condens. Matter 1990, 162, 222–230. [Google Scholar] [CrossRef]
- Volovik, G. Superfluid analogies of cosmological phenomena. Phys. Rept. 2001, 351, 195–348. [Google Scholar] [CrossRef]
- Baeuerle, C.; Bunkov, Y.M.; Fisher, S.N.; Godfrin, H.; Pickett, G.R. Laboratory simulation of cosmic string formation in the early Universe using superfluid He-3. Nature 1996, 382, 332–334. [Google Scholar] [CrossRef]
- Ruutu, V.; Eltsov, V.; Gill, A.; Kibble, T.; Krusius, M.; Makhlin, Y.; Placais, B.; Volovik, G.; Xu, W. Big bang simulation in superfluid He-3-b: Vortex nucleation in neutron irradiated superflow. Nature 1996, 382, 334. [Google Scholar] [CrossRef]
- Garay, L.J.; Anglin, J.R.; Cirac, J.I.; Zoller, P. Black holes in Bose-Einstein condensates. Phys. Rev. Lett. 2000, 85, 4643–4647. [Google Scholar] [CrossRef] [PubMed]
- Jacobson, T.A.; Volovik, G.E. Event horizons and ergoregions in He-3. Phys. Rev. D 1998, 58, 064021. [Google Scholar] [CrossRef]
- Barcelo, C.; Liberati, S.; Visser, M. Analog gravity from Bose-Einstein condensates. Class. Quant. Grav. 2001, 18, 1137. [Google Scholar] [CrossRef]
- Novello, M.; Visser, M.; Volovik, G.E. Artificial Black Holes; World Scientific: Singapore, 2002. [Google Scholar] [CrossRef]
- Barcelo, C.; Liberati, S.; Visser, M. Analogue gravity. Living Rev. Rel. 2005, 8, 12. [Google Scholar] [CrossRef] [PubMed]
- Carusotto, I.; Fagnocchi, S.; Recati, A.; Balbinot, R.; Fabbri, A. Numerical observation of Hawking radiation from acoustic black holes in atomic Bose-Einstein condensates. New J. Phys. 2008, 10, 103001. [Google Scholar] [CrossRef]
- Mannarelli, M.; Manuel, C. Transport theory for cold relativistic superfluids from an analogue model of gravity. Phys. Rev. D 2008, 77, 103014. [Google Scholar] [CrossRef]
- Boada, O.; Celi, A.; Latorre, J.I.; Lewenstein, M. Dirac Equation For Cold Atoms In Artificial Curved Spacetimes. New J. Phys. 2011, 13, 035002. [Google Scholar] [CrossRef]
- Gallerati, A. Graphene properties from curved space Dirac equation. Eur. Phys. J. Plus 2019, 134, 202. [Google Scholar] [CrossRef]
- Capozziello, S.; Pincak, R.; Saridakis, E.N. Constructing superconductors by graphene Chern-Simons wormholes. Annals Phys. 2018, 390, 303–333. [Google Scholar] [CrossRef]
- Andrianopoli, L.; Cerchiai, B.L.; D’Auria, R.; Gallerati, A.; Noris, R.; Trigiante, M.; Zanelli, J. N-extended D=4 supergravity, unconventional SUSY and graphene. JHEP 2020, 1, 84. [Google Scholar] [CrossRef]
- Gallerati, A. Supersymmetric theories and graphene. PoS 2021, 390, 662. [Google Scholar] [CrossRef]
- Zaanen, J.; Liu, Y.; Sun, Y.W.; Schalm, K. Holographic Duality in Condensed Matter Physics; Cambridge University Press: Cambridge, UK, 2015. [Google Scholar] [CrossRef]
- Franz, M.; Rozali, M. Mimicking black hole event horizons in atomic and solid-state systems. Nat. Rev. Mater. 2018, 3, 491–501. [Google Scholar] [CrossRef]
- Kolobov, V.I.; Golubkov, K.; Muñoz de Nova, J.R.; Steinhauer, J. Observation of stationary spontaneous Hawking radiation and the time evolution of an analogue black hole. Nat. Phys. 2021, 17, 362–367. [Google Scholar] [CrossRef]
- Sbitnev, V.I. Quaternion Algebra on 4D Superfluid Quantum Space-Time. Dirac’s Ghost Fermion Fields. Found. Phys. 2022, 52, 19. [Google Scholar] [CrossRef]
- Gallerati, A. Negative-curvature spacetime solutions for graphene. J. Phys. Condens. Matter 2021, 33, 135501. [Google Scholar] [CrossRef] [PubMed]
- Lambiase, G.; Papini, G. The Interaction of Spin with Gravity in Particle Physics; Springer Nature: Cham, Switzerland, 2021. [Google Scholar] [CrossRef]
- Clark, J.; Khodel, V.; Zverev, M.; Yakovenko, V. Unconventional superconductivity in two-dimensional electron systems with long-range correlations. Phys. Rep. 2004, 391, 123–156. [Google Scholar] [CrossRef]
- Uchihashi, T. Two-dimensional superconductors with atomic-scale thickness. Supercond. Sci. Technol. 2016, 30, 013002. [Google Scholar] [CrossRef]








Publisher’s Note: MDPI stays neutral with regard to jurisdictional claims in published maps and institutional affiliations. |
© 2022 by the authors. Licensee MDPI, Basel, Switzerland. This article is an open access article distributed under the terms and conditions of the Creative Commons Attribution (CC BY) license (https://creativecommons.org/licenses/by/4.0/).
Share and Cite
Gallerati, A.; Ummarino, G.A. Superconductors and Gravity. Symmetry 2022, 14, 554. https://doi.org/10.3390/sym14030554
Gallerati A, Ummarino GA. Superconductors and Gravity. Symmetry. 2022; 14(3):554. https://doi.org/10.3390/sym14030554
Chicago/Turabian StyleGallerati, Antonio, and Giovanni Alberto Ummarino. 2022. "Superconductors and Gravity" Symmetry 14, no. 3: 554. https://doi.org/10.3390/sym14030554
APA StyleGallerati, A., & Ummarino, G. A. (2022). Superconductors and Gravity. Symmetry, 14(3), 554. https://doi.org/10.3390/sym14030554

