Supercurrent Induced by Chiral Coupling in Multiferroic/Superconductor Nanostructures
Abstract
1. Introduction
2. Methods
3. Results and Discussions
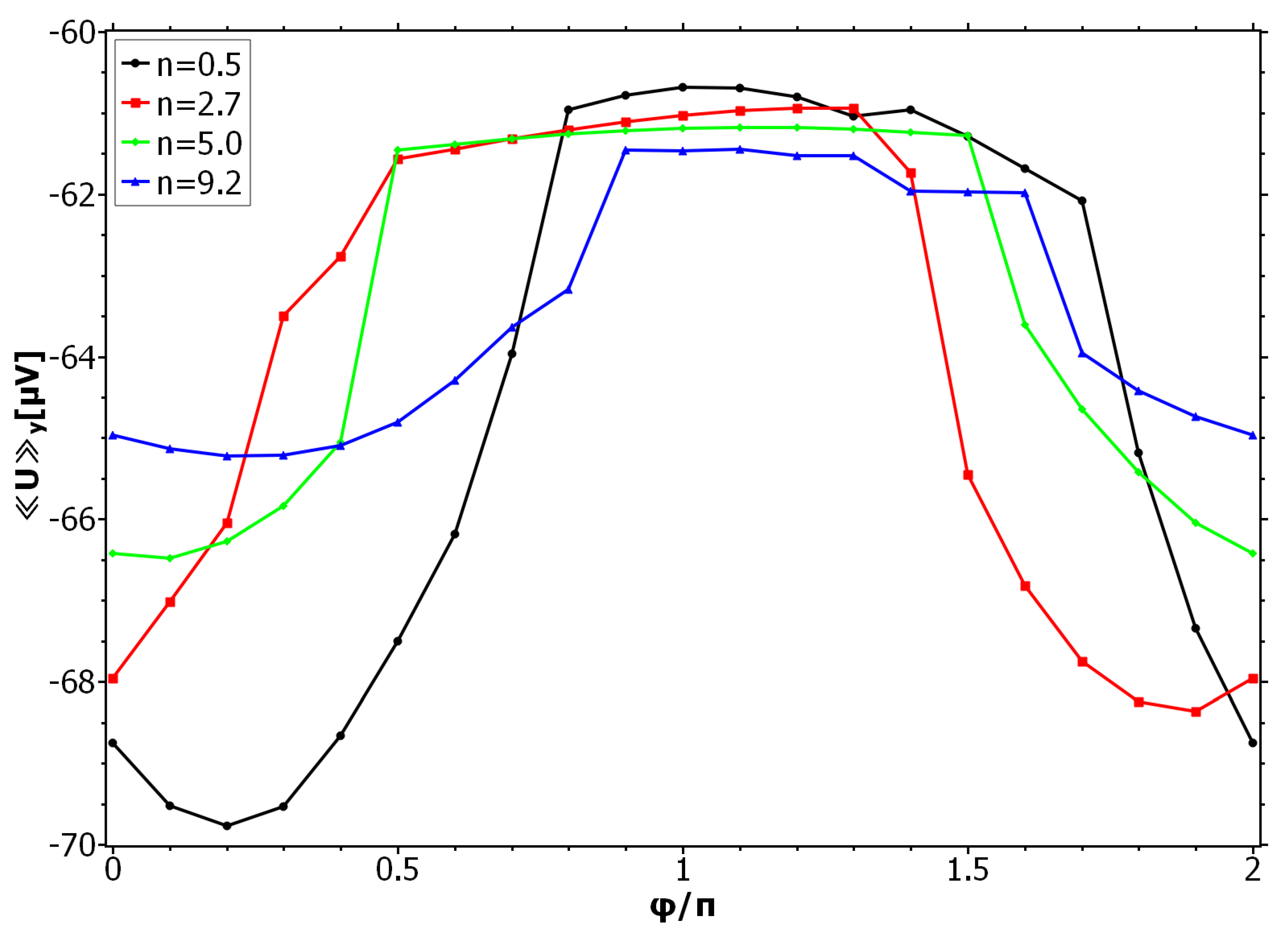
3.1. Vortex Dynamics in the Absence of SOC
3.2. Vortex Dynamics in the Presence of SOC
4. Conclusions
Author Contributions
Funding
Institutional Review Board Statement
Informed Consent Statement
Data Availability Statement
Conflicts of Interest
References
- Antončík, F.; Jankovskí, O.; Hlásek, T.; Bartůněk, V. Nanosized Pinning Centers in the Rare Earth-Barium-Copper-Oxide Thin-Film Superconductors. Nanomaterials 2020, 10, 1429. [Google Scholar] [CrossRef]
- Martín, J.I.; Vélez, M.; Nogués, J.; Schuller, I.K. Flux Pinning in a Superconductor by an Array of Submicrometer Magnetic Dots. Phys. Rev. Lett. 1997, 79, 1929. [Google Scholar] [CrossRef]
- Metlushko, V.; Welp, U.; Crabtree, G.W.; Zhang, Z.; Brueck, S.R.J.; Watkins, B.; DeLong, L.E.; Ilic, B.; Chung, K.; Hesketh, P.J. Nonlinear flux-line dynamics in vanadium films with square lattices of submicron holes. Phys. Rev. B 1999, 59, 603. [Google Scholar] [CrossRef]
- Civale, L.; Marwick, A.D.; Worthington, T.K.; Kirk, M.A.; Thompson, J.R.; Krusin-Elbaum, L.; Sun, Y.; Clem, J.R.; Holtzberg, F. Vortex confinement by columnar defects in YBa2Cu3O7 crystals: Enhanced pinning at high fields and temperatures. Phys. Rev. Lett. 1991, 67, 648. [Google Scholar] [CrossRef] [PubMed]
- Daldini, O.; Martinoli, P.; Olsen, J.L.; Berner, G. Vortex-Line Pinning by Thickness Modulation of Superconducting Films. Phys. Rev. Lett. 1974, 32, 218. [Google Scholar] [CrossRef]
- Lange, M.; Van Bael, M.J.; Moshchalkov, V.V.; Bruynseraede, Y. Magnetic-domain-controlled vortex pinning in a superconductor/ferromagnet bilayer. Appl. Phys. Lett. 2002, 81, 322. [Google Scholar] [CrossRef]
- Bulaevskii, L.N.; Chudnovsky, E.M.; Maley, M.P. Magnetic pinning in superconductorferromagnet multilayers. Appl. Phys. Lett. 2000, 76, 2594. [Google Scholar] [CrossRef]
- Berdiyorov, G.R.; Cabral, L.R.E.; Peeters, F.M. Surface barrier for flux entry and exit in mesoscopic superconducting systems. J. Math. Phys. 2005, 46, 095105. [Google Scholar] [CrossRef]
- Brandt, E.H. Geometric edge barrier in the Shubnikov phase of type-II superconductors. Low Temp. Phys. 2001, 27, 723. [Google Scholar] [CrossRef]
- Benfenati, A.; Maiani, A.; Rybakov, F.N.; Babaev, E. Vortex nucleation barrier in superconductors beyond the Bean-Livingston approximation: A numerical approach for the sphaleron problem in a gauge theory. Phys. Rev. B 2020, 101, 220505(R). [Google Scholar] [CrossRef]
- Kimmel, G.J.; Glatz, A.G.; Vinokur, V.M.; Sadovskyy, I.A. Edge effect pinning in mesoscopic superconducting strips with nonuniform distribution of defects. Sci. Rep. 2019, 9, 211. [Google Scholar] [CrossRef] [PubMed]
- Kimura, G.T.; Goto, T.; Shintani, H.; Ishizaka, K.; Arima, T.; Tokura, Y. Magnetic control of ferroelectric polarization. Nature 2003, 426, 55. [Google Scholar] [CrossRef] [PubMed]
- Chenlong, J.; Berakdar, J. Electrically controlled persistent spin currents at the interface of multiferroic oxides. Phys. Rev. B 2009, 80, 014432. [Google Scholar]
- Yamasaki, Y.; Sagayama, H.; Goto, T.; Matsuura, M.; Hirota, K.; Arima, T.; Tokura, Y. Electric Control of Spin Helicity in a Magnetic Ferroelectric. Phys. Rev. Lett 2007, 98, 147204. [Google Scholar] [CrossRef]
- Edelstein, V.M. Magnetoelectric Effect in Polar Superconductors. Phys. Rev. Lett. 1995, 75, 2004. [Google Scholar] [CrossRef]
- Yip, S.K. Two-dimensional superconductivity with strong spin-orbit interaction. Phys. Rev. B 2002, 65, 144508. [Google Scholar] [CrossRef]
- Pershoguba, S.S.; Björnson, K.; Black-Schaffer, A.M.; Balatsky, A.V. Currents Induced by Magnetic Impurities in Superconductors with Spin-Orbit Coupling. Phys. Rev. Lett. 2015, 115, 116602. [Google Scholar] [CrossRef]
- Olthof, K.V. Magnetic properties of superconductors with strong spin-orbit coupling. Phys. Rev. B 2004, 70, 104521. [Google Scholar]
- Edelstein, V.M. The Ginzburg-Landau equation for superconductors of polar symmetry. J. Phys. Condes. Matter 1996, 8, 339–349. [Google Scholar] [CrossRef]
- Baumard, J.; Cayssol, J.; Bergeret, F.S.; Buzdin, A. Generation of a superconducting vortex via Néel skyrmions. Phys. Rev. B 2019, 99, 014511. [Google Scholar] [CrossRef]
- Buzdin, A.I. Proximity effects in superconductor-ferromagnet heterostructures. Rev. Mod. Phys. 2005, 77, 935. [Google Scholar] [CrossRef]
- Schmid, A. A Time Dependent Ginzburg-Landau Equation and its Application to the problem of Resistivity in the Mixed State. Phys. Kondens. Mater. 1966, 5, 302–317. [Google Scholar] [CrossRef]
- Tinkham, M. Introduction to Superconductivity, 2nd ed.; Dover Publications, Inc.: New York, NY, USA, 1996; ISBN 0-486-43503-2. [Google Scholar]
- Hirsch, J. Inconsistency of the conventional theory of superconductivity. EPL 2020, 130, 17006. [Google Scholar] [CrossRef]
- Koizumi, H. Reversible superconducting-normal phase transition in a magnetic field and the existence of topologically protected loop currents that appear and disappear without Joule heating. EPL 2020, 131, 37001. [Google Scholar] [CrossRef]
- Ivlev, B.I.; Kopnin, N.B. Electric currents and resistive states in thin superconductors. Adv. Phys. 1984, 33, 47–114. [Google Scholar] [CrossRef]
- Robinson, J.W.A.; Samokhvalov, A.V.; Buzdin, A.I. Chirality-controlled spontaneous currents in spin-orbit coupled superconducting rings. Phys. Rev. B 2019, 99, 180501(R). [Google Scholar] [CrossRef]
- Olthof, L.A.B.O.; Montiel, X.; Robinson, J.W.A.; Buzdin, A.I. Superconducting vortices generated via spin-orbit coupling at superconductor/ferromagnet interfaces. Phys. Rev. B 2019, 100, 220505(R). [Google Scholar] [CrossRef]
- Niedzielski, B.; Berakdar, J. Controlled Vortex Formation at Nanostructured Superconductor/Ferromagnetic Junctions. Phys. Status Solidi 2020, 257, 1900709. [Google Scholar] [CrossRef]
- Jacobsen, S.H.; Ouassou, J.A.; Linder, J. Critical temperature and tunneling spectroscopy of superconductor-ferromagnet hybrids with intrinsic Rashba-Dresselhaus spin-orbit coupling. Phys. Rev. B 2015, 92, 024510. [Google Scholar] [CrossRef]
- Rezaev, R.; Posenitskiy, E.; Smirnova, E.; Levchenko, E.; Schmidt, O.G.; Fomin, V.M. Voltage Induced by Superconducting Vortices in Open Nanostructured Microtubes. Phys. Status Solidi RRL 2019, 13, 1800251. [Google Scholar] [CrossRef]
- Xue, C.; He, A.; Li, C.; Zhou, Y. Stability of vortex rotation around a mesoscopic square superconducting ring under radially injected current and an external magnetic field. J. Phys. Condens. Matter 2017, 29, 135401. [Google Scholar] [CrossRef] [PubMed]
- Ögren, M.; Sørensen, M.P.; Pedersen, N.F. Self-consistent Ginzburg–Landau theory for transport currents in superconductors. Phys. C 2012, 479, 157–159. [Google Scholar] [CrossRef][Green Version]
- Sonin, E.B. Comment on “Ferromagnetic film on a superconducting substrate”. Phys. Rev. B 2002, 66, 136501. [Google Scholar] [CrossRef]
- Hals, K.M.D. Magnetoelectric coupling in superconductor-helimagnet heterostructures. Phys. Rev. B 2017, 95, 134504. [Google Scholar] [CrossRef]
- Bardeen, J.; Stephen, M.J. Theory of the Motion of Vortices in Superconductors. Phys. Rev. 1965, 140, A1197. [Google Scholar] [CrossRef]
- Vodolazov, D.Y.; Maksimov, I.L.; Brandt, E.H. Vortex entry conditions in type-II superconductors. Effect of surface defects. Phys. C 2003, 384, 211. [Google Scholar] [CrossRef]
- Plourde, B.L.T.; Van Harlingen, D.J.; Vodolazov, D.Y.; Besseling, R.; Hesselberth, M.B.S.; Kes, P.H. Influence of edge barriers on vortex dynamics in thin weak-pinning superconducting strips. Phys. Rev. B 2000, 64, 014503. [Google Scholar] [CrossRef]
- Berdiyorov, G.R.; Chao, X.H.; Peeters, F.M.; Wang, H.B.; Moshchalkov, V.V.; Zhu, B.Y. Magnetoresistance oscillations in superconducting strips: A Ginzburg-Landau study. Phys. Rev. B 2012, 86, 224504. [Google Scholar] [CrossRef]
- Bean, C.P.; Livingston, J.D. Surface Barrier in Type-II Superconductors. Phys. Rev. Lett. 1964, 12, 14. [Google Scholar] [CrossRef]
- Zeldov, E.; Larkin, A.I.; Geshkenbein, V.B.; Konczykowski, M.; Majer, D.; Khaykovich, B.; Vinokur, V.M.; Shtrikman, H. Geometrical Barriers in High-Temperature Superconductors. Phys. Rev. Lett. 1994, 73, 1428. [Google Scholar] [CrossRef]
- Hernández, A.D.; Domínguez, D. Surface barrier in mesoscopic type-I and type-II superconductors. Phys. Rev. B 2002, 65, 144529. [Google Scholar] [CrossRef]








Publisher’s Note: MDPI stays neutral with regard to jurisdictional claims in published maps and institutional affiliations. |
© 2021 by the authors. Licensee MDPI, Basel, Switzerland. This article is an open access article distributed under the terms and conditions of the Creative Commons Attribution (CC BY) license (http://creativecommons.org/licenses/by/4.0/).
Share and Cite
Niedzielski, B.; Jia, C.; Berakdar, J. Supercurrent Induced by Chiral Coupling in Multiferroic/Superconductor Nanostructures. Nanomaterials 2021, 11, 184. https://doi.org/10.3390/nano11010184
Niedzielski B, Jia C, Berakdar J. Supercurrent Induced by Chiral Coupling in Multiferroic/Superconductor Nanostructures. Nanomaterials. 2021; 11(1):184. https://doi.org/10.3390/nano11010184
Chicago/Turabian StyleNiedzielski, Bjoern, Chenglong Jia, and Jamal Berakdar. 2021. "Supercurrent Induced by Chiral Coupling in Multiferroic/Superconductor Nanostructures" Nanomaterials 11, no. 1: 184. https://doi.org/10.3390/nano11010184
APA StyleNiedzielski, B., Jia, C., & Berakdar, J. (2021). Supercurrent Induced by Chiral Coupling in Multiferroic/Superconductor Nanostructures. Nanomaterials, 11(1), 184. https://doi.org/10.3390/nano11010184

