Majorana Zero Modes in Ferromagnetic Wires without Spin-Orbit Coupling
Abstract
1. Introduction
2. Majorana Zero Modes in Superconductor/Ferromagnet Heterostructures
2.1. A Novel Platform
2.2. The Underlying Mechanism
3. Induced p-Wave Superconductivity
4. Engineering Majorana Zero Modes without Spin-Orbit Coupling
4.1. Intraband p-Wave Superconductivity in the Ferromagnetic Wire
4.2. Topological Criteria for the Ferromagnetic Wire
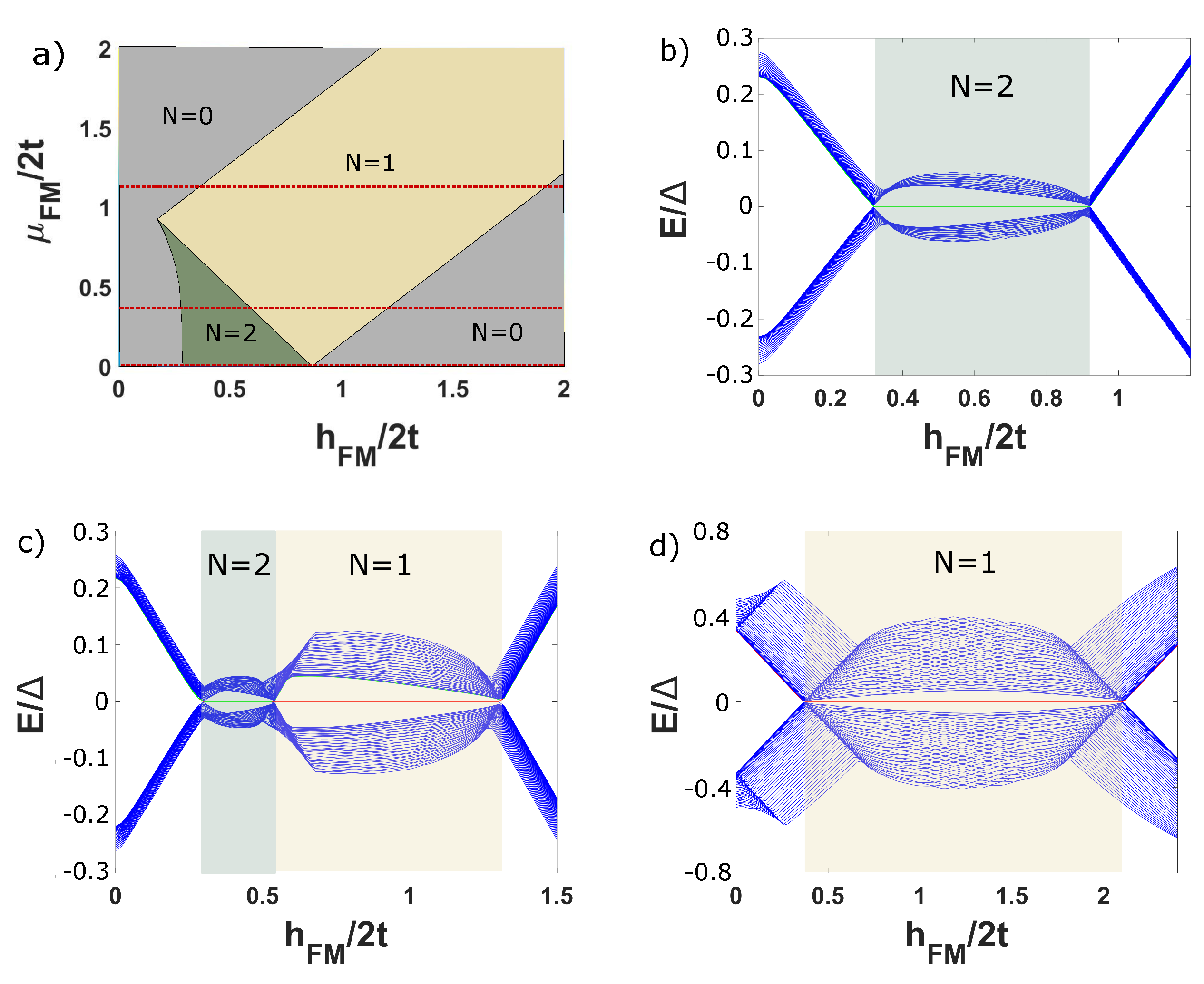
4.3. Numerical Calculations for the FI-SC-FM-SC-FI Heterostructure
4.4. Local Density of States
4.5. Robustness of Emergent Majorana Zero Modes against Disorder
5. Conclusions
Author Contributions
Funding
Data Availability Statement
Conflicts of Interest
Abbreviations
| FM | ferromagnetic wire |
| SC | superconductor |
| FI | ferromagnetic insulator |
| MZMs | Majorana zero modes |
| TSC | topological superconductivity |
References
- Ladd, T.D.; Jelezko, F.; Laflamme, R.; Nakamura, Y.; Monroe, C.; O’Brien, J.L. Quantum computers. Nature 2010, 464, 45–53. [Google Scholar] [CrossRef]
- Stern, A.; Lindner, H.N. Topological Quantum Computation—From Basic Concepts to First Experiments. Science 2013, 339, 1179. [Google Scholar] [CrossRef]
- Lahtinen, V.; Pachos, J. A short introduction to topological quantum computation. SciPost Phys. 2017, 3, 021. [Google Scholar] [CrossRef]
- Nayak, C.; Simon, S.; Stern, A.; Freedman, M.; Sarma, D.S. Non-Abelian anyons and topological quantum computation. Rev. Mod. Phys. 2008, 80, 1083. [Google Scholar] [CrossRef]
- Sato, M.; Yoichi, A. Topological superconductors: A review. Rep. Prog. Phys. 2017, 80, 076501. [Google Scholar] [CrossRef]
- Kitaev, A.Y. Unpaired Majorana fermions in quantum wires. Physics-Uspekhi 2001, 44, 131. [Google Scholar] [CrossRef]
- Ivanov, D.A. Non-Abelian Statistics of Half-Quantum Vortices in p-wave Superconductors. Phys. Rev. Lett. 2001, 86, 268. [Google Scholar] [CrossRef]
- Rice, T.M.; Sigrist, M. Sr2RuO4: An electronic analogue of 3He? J. Phys. Condens. Matter 1995, 7, L643. [Google Scholar] [CrossRef]
- Maeno, Y.; Kittaka, S.; Nomura, T.; Yonezawa, S.; Ishida, K. Evaluation of spin-triplet superconductivity in Sr2RuO4. J. Phys. Soc. Jpn. 2012, 81, 011009. [Google Scholar] [CrossRef]
- Fu, L.; Kane, C.L. Superconducting Proximity Effect and Majorana Fermions at the Surface of a Topological Insulator. Phys. Rev. Lett. 2008, 100, 096407. [Google Scholar] [CrossRef]
- Sau, J.D.; Lutchyn, R.M.; Tewari, S.; Sarma, S.D. Generic New Platform for Topological Quantum Computation Using Semiconductor Heterostructures. Phys. Rev. Lett. 2010, 104, 040502. [Google Scholar] [CrossRef]
- Sato, M.; Fujimioto, S. Topological phases of noncentrosymmetric superconductors: Edge states, Majorana fermions, and non-Abelian statistics. Phys. Rev. B 2009, 79, 094504. [Google Scholar] [CrossRef]
- Pientka, F.; Keselman, A.; Berg, E.; Yacoby, A.; Stern, A.; Halperin, B.I. Topological Superconductivity in a Planar Josephson Junction. Phys. Rev. X 2017, 7, 021032. [Google Scholar] [CrossRef]
- Chung, S.B.; Zhang, H.J.; Qi, X.L.; Zhang, S.C. Topological superconducting phase and Majorana fermions in half-metal/superconductor heterostructures. Phys. Rev. B 2011, 84, 060510. [Google Scholar] [CrossRef]
- Takei, S.; Fregoso, B.M.; Galitski, V.; Sarma, S.D. Topological superconductivity and Majorana fermions in hybrid structures involving cuprate high-Tc superconductors. Phys. Rev. B 2013, 87, 014504. [Google Scholar] [CrossRef]
- Takei, S.; Galitski, V. Microscopic theory for a ferromagnetic nanowire/superconductor heterostructure: Transport, fluctuations, and topological superconductivity. Phys. Rev. B 2012, 86, 054521. [Google Scholar] [CrossRef]
- Sau, J.D.; Brydon, P.M.R. Bound States of a Ferromagnetic Wire in a Superconductor. Phys. Rev. Lett. 2015, 115, 127003. [Google Scholar] [CrossRef]
- Dumitrescu, E.; Roberts, B.; Tewari, S.; Sau, J.D.; Sarma, S.D. Majorana fermions in chiral topological ferromagnetic nanowires. Phys. Rev. B 2015, 91, 094505. [Google Scholar] [CrossRef]
- Brydon, P.M.R.; Sarma, S.D.; Hui, H.Y.; Sau, J.D. Topological Yu–Shiba–Rusinov chain from spin-orbit coupling. Phys. Rev. B 2012, 91, 064505. [Google Scholar] [CrossRef]
- Nadj-Perge, S.; Drozdov, I.K.; Bernevig, B.A.; Yazdani, A. Proposal for realizing Majorana fermions in chains of magnetic atoms on a superconductor. Phys. Rev. B 2013, 88, 020407. [Google Scholar] [CrossRef]
- Li, J.; Chen, H.; Drozdov, I.K.; Yazdani, A.; Bernevig, A.; MacDonald, A.H. Topological superconductivity induced by ferromagnetic metal chains. Phys. Rev. B 2014, 90, 235433. [Google Scholar] [CrossRef]
- Rontynen, J.; Ojanen, T. Chern mosaic: Topology of chiral superconductivity on ferromagnetic adatom lattices. Phys. Rev. B 2016, 93, 094521. [Google Scholar] [CrossRef]
- Poyhonen, K.; Weststrom, A.; Ojanen, T. Topological superconductivity in ferromagnetic atom chains beyond the deep-impurity regime. Phys. Rev. B 2016, 93, 014517. [Google Scholar] [CrossRef]
- Čadež, T.; Sacramento, P.D. Zero energy modes in a superconductor with ferromagnetic adatom chains and quantum phase transitions. J. Phys. Condens. Matter 2016, 28, 495703. [Google Scholar] [CrossRef][Green Version]
- Sticlet, D.; Morari, C. Topological superconductivity from magnetic impurities on monolayer NbSe2. Phys. Rev. B 2019, 100, 075420. [Google Scholar] [CrossRef]
- Schneider, L.; Beck, P.; Posske, T.; Crawford, D.; Mascot, E.; Rachel, S.; Wiesendanger, R.; Wiebe, J. Topological Shiba bands in artificial spin chains on superconductors. Nat. Phys. 2021, 17, 943–948. [Google Scholar] [CrossRef]
- Livanas, G.; Sigrist, M.; Varelogiannis, G. Alternative paths to realize Majorana Fermions in Superconductor-Ferromagnet Heterostructures. Sci. Rep. 2019, 9, 6259. [Google Scholar]
- Tokuyasu, T.; Sauls, J.A.; Rainer, D. Proximity effect of a ferromagnetic insulator in contact with a superconductor. Phys. Rev. B 1988, 38, 8823. [Google Scholar] [CrossRef]
- Hijano, A.; Ilić, S.; Rouco, M.; González-Orellana, C.; Ilyn, M.; Rogero, C.; Virtanen, P.; Heikkilä, T.T.; Khorshidian, S.; Spies, M.; et al. Coexistence of superconductivity and spin-splitting fields in superconductor/ferromagnetic insulator bilayers of arbitrary thickness. Phys. Rev. Res. 2021, 3, 023131. [Google Scholar] [CrossRef]
- Tedrow, P.M.; Tkaczyk, J.E.; Kumar, A. Spin-Polarized Electron Tunneling Study of an Artificially Layered Superconductor with Internal Magnetic Field: EuO-Al. Phys. Rev. Lett. 1986, 56, 1746. [Google Scholar] [CrossRef]
- Hao, X.; Moodera, J.S.; Meservey, R. Spin-filter effect of ferromagnetic europium sulfide tunnel barriers. Phys. Rev. B 1990, 42, 8235. [Google Scholar] [CrossRef] [PubMed]
- Strambini, E.; Golovach, V.N.; Simoni, G.D.; Moodera, J.S.; Bergeret, F.S.; Giazotto, F. Revealing the magnetic proximity effect in EuS/Al bilayers through superconducting tunneling spectroscopy. Phys. Rev. Mater. 2017, 1, 054402. [Google Scholar] [CrossRef]
- Liu, Y.; Vaitiekėnas, S.; Martí-Sánchez, S.; Koch, C.; Hart, S.; Cui, Z.; Kanne, T.; Khan, S.A.; Tanta, R.; Upadhyay, S.; et al. Semiconductor–Ferromagnetic Insulator–Superconductor Nanowires: Stray Field and Exchange Field. Nano Lett. 2020, 20, 456–462. [Google Scholar] [CrossRef] [PubMed]
- Giroud, M.; Courtois, H.; Hasselbach, K.; Mailly, D.; Pannetier, B. Superconducting proximity effect in a mesoscopic ferromagnetic wire. Phys. Rev. B 1998, 58, R11872(R). [Google Scholar] [CrossRef]
- Wang, J.; Singh, M.; Tian, M.; Kumar, N.; Liu, B.; Shi, C.; Jain, J.K.; Samarth, N.; Mallouk, T.; Chan, M.H.W. Interplay between superconductivity and ferromagnetism in crystalline nanowires. Nat. Phys. 2010, 6, 389–394. [Google Scholar] [CrossRef]
- Jäck, B.; Xie, Y.; Li, J.; Jeon, S.; Bernevig, B.A.; Yazdani, A. Observation of a Majorana zero mode in a topologically protected edge channel. Science 2019, 364, 6447. [Google Scholar] [CrossRef]
- Sigrist, M.; Ueda, K. Phenomenological theory of unconventional superconductivity. Rev. Mod. Phys. 1991, 63, 239. [Google Scholar] [CrossRef]
- Dumitrescu, E.; Tewari, S. Topological properties of the time-reversal-symmetric Kitaev chain and applications to organic superconductors. Phys. Rev. B 2013, 88, 220505(R). [Google Scholar] [CrossRef]
- Schnyder, A.P.; Ryu, S.; Furusaki, A.; Ludwig, A.W.W. Classification of topological insulators and superconductors in three spatial dimensions. Phys. Rev. B 2008, 78, 195125. [Google Scholar] [CrossRef]
- Tewari, S.; Sau, J.D. Topological Invariants for Spin-Orbit Coupled Superconductor Nanowires. Phys. Rev. Lett. 2012, 109, 150408. [Google Scholar] [CrossRef]
- Peng, Y.; Pientka, F.; Glazman, L.I.; von Oppen, F. Strong Localization of Majorana End States in Chains of Magnetic Adatoms. Phys. Rev. Lett. 2015, 114, 106801. [Google Scholar] [CrossRef] [PubMed]
- Law, K.T.; Lee, P.A.; Ng, T.K. Majorana Fermion Induced Resonant Andreev Reflection. Phys. Rev. Lett. 2009, 103, 237001. [Google Scholar] [CrossRef] [PubMed]
- He, J.J.; Ng, T.K.; Lee, P.A.; Law, K.T. Selective Equal-Spin Andreev Reflections Induced by Majorana Fermions. Phys. Rev. Lett. 2014, 112, 037001. [Google Scholar] [CrossRef] [PubMed]
- Mourik, V.; Zuo, K.; Frolov, S.M.; Plissard, S.R.; Bakkers, E.P.A.M.; Kouwenhoven, L.P. Signatures of Majorana Fermions in Hybrid Superconductor-Semiconductor Nanowire Devices. Science 2012, 336, 1003. [Google Scholar] [CrossRef] [PubMed]
- Sun, H.H.; Zhang, K.W.; Hu, L.H.; Li, C.; Wang, G.Y.; Ma, H.Y.; Xu, Z.A.; Gao, C.L.; Guan, D.D.; Li, Y.Y.; et al. Majorana Zero Mode Detected with Spin Selective Andreev Reflection in the Vortexof a Topological Superconductor. Phys. Rev. Lett. 2016, 116, 257003. [Google Scholar] [CrossRef]
- Hu, L.H.; Li, C.; Xu, D.H.; Zhou, Y.; Zhang, F.Z. Theory of spin-selective Andreev reflection in the vortex core of a topological superconductor. Phys. Rev. B 2016, 94, 224501. [Google Scholar] [CrossRef]
- Nadj-Perge, S.; Drozdov, I.K.; Li, J.; Chen, H.; Jeon, S.; Seo, J.; MacDonald, A.H.; Bernevig, B.A.; Yazdani, A. Observation of Majorana fermions in ferromagnetic atomic chains on a superconductor. Science 2014, 346, 602. [Google Scholar] [CrossRef]
- Wei, P.; Manna, S.; Eich, M.; Lee, P.; Moodera, J. Superconductivity in the Surface State of Noble Metal Gold and its Fermi Level Tuning by EuS Dielectric. Phys. Rev. Lett. 2019, 122, 247002. [Google Scholar] [CrossRef]
- He, Q.L.; Pan, L.; Stern, A.L.; Burks, E.C.; Che, X.; Yin, G.; Wang, J.; Lian, B.; Zhou, Q.; Choi, E.S.; et al. Chiral Majorana fermion modes in a quantum anomalous Hall insulator–superconductor structure. Science 2017, 357, 294. [Google Scholar] [CrossRef]
- Wang, D.; Kong, L.; Fan, P.; Chen, H.; Zhu, S.; Liu, W.; Cao, L.; Sun, Y.; Du, S.; Schneeloch, J.; et al. Evidence for Majorana bound states in an iron-based superconductor. Science 2018, 362, 333. [Google Scholar] [CrossRef]
- Fornieri, A.; Whiticar, A.; Setiawan, F.; Portolés, E.; Drachmann, A.; Keselman, A.; Gronin, S.; Thomas, C.; Wang, T.; Kallaher, R.; et al. Evidence of topological superconductivity in planar Josephson junctions. Nature 2019, 569, 89–92. [Google Scholar] [CrossRef] [PubMed]
- Brouwer, P.W.; Duckheim, M.; Romito, A.; von Oppen, F. Probability Distribution of Majorana End-State Energies in Disordered Wires. Phys. Rev. Lett. 2011, 107, 196804. [Google Scholar] [CrossRef] [PubMed]
- Yu, L. Bound state in superconductors with paramagnetic impurities. Acta Phys. Sin. 1965, 21, 75. [Google Scholar]
- Shiba, H. Classical spins in superconductors. Prog. Theor. Phys. 1968, 40, 435. [Google Scholar] [CrossRef]
- Rusinov, A.I. Superconductivity near a paramagnetic impurity. JETP Lett. 1969, 9, 146. [Google Scholar]




Publisher’s Note: MDPI stays neutral with regard to jurisdictional claims in published maps and institutional affiliations. |
© 2021 by the authors. Licensee MDPI, Basel, Switzerland. This article is an open access article distributed under the terms and conditions of the Creative Commons Attribution (CC BY) license (https://creativecommons.org/licenses/by/4.0/).
Share and Cite
Livanas, G.; Vanas, N.; Varelogiannis, G. Majorana Zero Modes in Ferromagnetic Wires without Spin-Orbit Coupling. Condens. Matter 2021, 6, 44. https://doi.org/10.3390/condmat6040044
Livanas G, Vanas N, Varelogiannis G. Majorana Zero Modes in Ferromagnetic Wires without Spin-Orbit Coupling. Condensed Matter. 2021; 6(4):44. https://doi.org/10.3390/condmat6040044
Chicago/Turabian StyleLivanas, Giorgos, Nikolaos Vanas, and Georgios Varelogiannis. 2021. "Majorana Zero Modes in Ferromagnetic Wires without Spin-Orbit Coupling" Condensed Matter 6, no. 4: 44. https://doi.org/10.3390/condmat6040044
APA StyleLivanas, G., Vanas, N., & Varelogiannis, G. (2021). Majorana Zero Modes in Ferromagnetic Wires without Spin-Orbit Coupling. Condensed Matter, 6(4), 44. https://doi.org/10.3390/condmat6040044

