Sign in to use this feature.

Years

Between: -

Subjects

remove_circle_outline
remove_circle_outline
remove_circle_outline
remove_circle_outline
remove_circle_outline
remove_circle_outline
remove_circle_outline
remove_circle_outline
remove_circle_outline

Journals

remove_circle_outline
remove_circle_outline
remove_circle_outline
remove_circle_outline
remove_circle_outline
remove_circle_outline
remove_circle_outline
remove_circle_outline
remove_circle_outline
remove_circle_outline
remove_circle_outline
remove_circle_outline
remove_circle_outline

Article Types

Countries / Regions

remove_circle_outline
remove_circle_outline
remove_circle_outline
remove_circle_outline
remove_circle_outline

Search Results (1,668)

Search Parameters:
Keywords = nitrogen doping

Order results
Result details
Results per page
Select all
Export citation of selected articles as:
13 pages, 2743 KB  
Article
Synthesis and Applications of Dual-Afterglow Carbon Dot Composites for Advanced Anti-Counterfeiting and Information Encryption
by Yujing Jing, Ce Yang, Zhaoxia Han, Yating Lu, Dawei Zhang, Ruijin Hong, Chunxian Tao and Dechao Yu
Photonics 2026, 13(3), 266; https://doi.org/10.3390/photonics13030266 - 11 Mar 2026
Abstract
Most of the existing carbon dot (CD)-based afterglow materials are limited to a single emission mode of either room-temperature phosphorescence (RTP) or delayed fluorescence (DF), which makes it difficult to meet the application requirements of advanced anti-counterfeiting and multi-level information encryption. Therefore, the [...] Read more.
Most of the existing carbon dot (CD)-based afterglow materials are limited to a single emission mode of either room-temperature phosphorescence (RTP) or delayed fluorescence (DF), which makes it difficult to meet the application requirements of advanced anti-counterfeiting and multi-level information encryption. Therefore, the development of CD-based composite materials with multi-mode afterglow emission, long lifetime and high stability holds significant research significance and application value. In this study, long-afterglow manganese/nitrogen co-doped CDs@boric acid (BA) composites (Mn, N-CDs @BA) are successfully prepared, and their optical properties and emission mechanism are clarified. The results demonstrate that the Mn, N-CDs @BA composites exhibit wavelength-dependent dual-afterglow emission characteristics of RTP and DF. Under 254 nm ultraviolet (UV) light excitation, they exhibit DF emission with an average lifetime of 903.36 ms. Under 365 nm UV light excitation, RTP emission with an average lifetime of 354.43 ms is observed. Moreover, the afterglow color exhibits time dependence. Based on the triple emission modes (fluorescence, RTP and DF) of the Mn, N-CDs @BA composites, optical patterns were designed and fabricated, and counterfeit-resistant and unclonable anti-counterfeiting and high concealment information encryption were successfully achieved. This work develops a potentially feasible approach for next-generation advanced optical anti-counterfeiting and information encryption systems. Full article
Show Figures

Figure 1

18 pages, 3731 KB  
Article
Hydrothermal Synthesis and Electrochemical Properties of SnS2/N Anode Material for Lithium-Ion Batteries
by Wei Liu, Longhua Zhang, Jingbo Zhang, Ming Li, Yu He, Shipin Wang and Hewei Liu
Batteries 2026, 12(3), 91; https://doi.org/10.3390/batteries12030091 - 6 Mar 2026
Viewed by 185
Abstract
Although tin disulfide (SnS2) possesses a theoretical specific capacity (645 mAh g−1) significantly superior to that of commercial graphite, along with the merits of Earth abundance and cost-effectiveness, its commercial application as an anode material for lithium-ion batteries (LIBs) [...] Read more.
Although tin disulfide (SnS2) possesses a theoretical specific capacity (645 mAh g−1) significantly superior to that of commercial graphite, along with the merits of Earth abundance and cost-effectiveness, its commercial application as an anode material for lithium-ion batteries (LIBs) is severely hindered by substantial volume expansion during cycling. Herein, N-doped SnS2 composites featuring a stacked hexagonal nanosheet architecture were synthesized via a facile one-step hydrothermal strategy. The incorporation of nitrogen significantly bolsters the long-term cycling stability of the electrode during charge/discharge processes. Electrochemical tests results reveal that the composite delivers an initial specific capacity of 500.8 mAh g−1 at a current density of 0.5 A g−1. Following 10 stabilization cycles, the capacity is recorded at 394.9 mAh g−1, and notably, it increases to 481.66 mAh g−1 after 500 cycles, corresponding to a high capacity retention of 96.17%. This superior performance is attributed to the introduced nitrogen, which provides abundant active sites and facilitates the formation of a robust solid electrolyte interphase (SEI) film. Furthermore, density functional theory (DFT) calculations demonstrate that N-doping narrows the band gap of SnS2, thereby improving electrical conductivity and electron transport efficiency. Full article
(This article belongs to the Special Issue High Capacity Anode Materials for Lithium-Ion Batteries)
Show Figures

Graphical abstract

17 pages, 1179 KB  
Article
Highly Efficient Bimetallic Catalysts Supported on Carbon Nanotubes for the NOx Reduction
by Patrícia S. F. Ramalho, Olívia S. G. P. Soares, José L. Figueiredo and Manuel F. R. Pereira
Nanomaterials 2026, 16(5), 320; https://doi.org/10.3390/nano16050320 - 3 Mar 2026
Viewed by 268
Abstract
Nitrogen oxides represent a major source of concern related to atmospheric pollution, causing substantial impacts on human health. One innovative approach to reducing these emissions, and a promising alternative to conventional methods using NH3, is selective catalytic reduction with carbon (SCR-C). [...] Read more.
Nitrogen oxides represent a major source of concern related to atmospheric pollution, causing substantial impacts on human health. One innovative approach to reducing these emissions, and a promising alternative to conventional methods using NH3, is selective catalytic reduction with carbon (SCR-C). The aim of this study is the development of carbon-based catalysts that are active in the reduction of NO. For that, carbon nanotubes were subjected to treatments to modify their surface chemistry, including introducing oxygen and nitrogen groups, as well as potassium (K) and copper (Cu) incorporated as metal phases. In their original form, carbon nanotubes do not exhibit catalytic activity in reducing NO. However, catalytic performance is significantly improved by the addition of surface groups and Cu. Adding K to the support notably contributes to increasing the catalytic performance. N-doped carbon nanotubes impregnated with copper and potassium (CNT_M_BM@5Cu5K) achieved complete NO reduction at 360 °C. In this catalytic system, the formation of CO2 and N2 was observed and CO was not identified. Furthermore, although N2O was detected during the reaction, its amount was very low compared to the N2 and CO2 products. The stability of this catalyst was investigated over 87 h continuous test, revealing deactivation after 41 h of reaction. Full article
Show Figures

Graphical abstract

2 pages, 420 KB  
Correction
Correction: Kammoun et al. Nitrogen-Doped Graphene Materials with High Electrical Conductivity Produced by Electrochemical Exfoliation of Graphite Foil. Nanomaterials 2024, 14, 123
by Hela Kammoun, Benjamin D. Ossonon and Ana C. Tavares
Nanomaterials 2026, 16(5), 318; https://doi.org/10.3390/nano16050318 - 3 Mar 2026
Viewed by 161
Abstract
Error in Figure [...] Full article
Show Figures

Figure 2

12 pages, 2136 KB  
Article
Carbon Dot Nanotherapeutics Modulating the Polyol Pathway and Targeting Infection Pathogens Associated with Diabetic Complications
by Imane Nait Irahal, Abderrahmane Thoume, Asmaa Chbel, Hicham Wahnou, Fatima Abdou-Allah, Ayoub Lafnoune, Redouane Achagar, Driss Benmessaoud Left, Mustapha Zertoubi and Noureddine Bourhim
BioChem 2026, 6(1), 7; https://doi.org/10.3390/biochem6010007 - 2 Mar 2026
Viewed by 174
Abstract
Background: Diabetes mellitus is a global health challenge associated with chronic complications like diabetic nephropathy and diabetic foot infections. Diabetic nephropathy, mediated by hyperglycemia-induced activation of the polyol pathway, represents a primary cause of end-stage renal disease. Additionally, infections caused by multidrug-resistant [...] Read more.
Background: Diabetes mellitus is a global health challenge associated with chronic complications like diabetic nephropathy and diabetic foot infections. Diabetic nephropathy, mediated by hyperglycemia-induced activation of the polyol pathway, represents a primary cause of end-stage renal disease. Additionally, infections caused by multidrug-resistant bacteria like Enterococcus faecalis lead to amputations and contribute to morbidity in diabetic patients. Methods: In this study, we synthetized nitrogen-doped carbon dots (N-CDs) using succinic acid with either hexamethylenediamine (N-HCD) or ethylenediamine (N-ECD) and evaluated their potential therapeutic applications. Results: Both N-HCD and N-ECD demonstrated a significant reduction in aldose reductase (AR) and sorbitol dehydrogenase (SDH) in vitro, with a substantial reduction in polyol pathway enzymatic activity. Furthermore, these N-CDs exhibited antibacterial activity against E. faecalis in vitro. Conclusions: Taken together, our findings suggest that N-HCD and N-ECD represent promising candidates for addressing diabetes-related complications and warrant further investigation for potential drug delivery applications. Full article
Show Figures

Graphical abstract

21 pages, 3389 KB  
Article
In Situ Electrochemically Generating High-Valent Iron Species Activated by Nitrogen-Doped Biochar for Efficient Degradation of Antibiotics
by Yuhang Lin, Anting Ding, Zhikang Deng, Ya-Nan Zhang, Chenyu Zeng, Fuyu Xie, Yumu Luo, Minle Li, Junwei Ma and Zulin Zhang
Antibiotics 2026, 15(3), 254; https://doi.org/10.3390/antibiotics15030254 - 1 Mar 2026
Viewed by 255
Abstract
Background: Traditional methods exhibit an extremely low removal efficiency for antibiotics in water, making an efficient and energy-saving approach urgently needed. Methods and Results: In this study, a novel catalytic approach based on the in situ generation of high-valent iron (Fe(IV)/Fe(V)) has been [...] Read more.
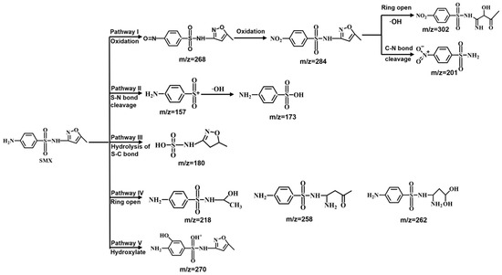
Background: Traditional methods exhibit an extremely low removal efficiency for antibiotics in water, making an efficient and energy-saving approach urgently needed. Methods and Results: In this study, a novel catalytic approach based on the in situ generation of high-valent iron (Fe(IV)/Fe(V)) has been developed by adding biochar instead of modifying the electrode materials (in previous studies) for the efficient removal of sulfamethoxazole (SMX) from water. Fe(IV)/Fe(V) was produced by the anodic oxidation of low concentrations of Fe(III) and subsequently activated by nitrogen-doped corn stalk biochar (NBC). The results showed that the degradation efficiency increased from 50.83% to 90.67% within 60 min after the addition of nitrogen-modified biochar. The abundant defect structures, graphitic N and oxygen-containing functional groups in NBC endowed the catalyst with excellent activation capability. Quenching experiments and methyl phenyl sulfoxide (PMSO) probe experiments revealed that singlet oxygen (1O2) and Fe(IV)/Fe(V) were the main contributors to SMX degradation. Degradation pathways were inferred based on transformation products (TPs) and density functional theory (DFT) calculations. Ecotoxicity prediction using the ECOSAR program indicated that the TPs formed in the E/Fe(III)/NBC system exhibited markedly lower toxicity to aquatic organisms than the parent SMX. Furthermore, the E/Fe(III)/NBC system maintained a high degradation efficiency for SMX in real aquatic environments. Additionally, the E/Fe(III)/NBC system showed high removal rates for other sulfonamides such as sulfadiazine (SDZ), sulfamethoxypyridazine (SMP), sulfathiazole (STZ) and sulfadoxine (SDX). Conclusions: Overall, the E/Fe(III)/NBC system was demonstrated to be a highly efficient and sustainable technology for removing various antibiotics from water. Full article
Show Figures

Figure 1

12 pages, 4247 KB  
Article
Optimization and Simulation on Gas Flow and Temperature Fields on the Homoepitaxial Growth of N-Doped 4H-SiC Wafers
by Guoliang Zhang, Tiantian Li, Yingbin Liu, Jinfeng Sun and Shaofei Zhang
Micromachines 2026, 17(3), 305; https://doi.org/10.3390/mi17030305 - 28 Feb 2026
Viewed by 198
Abstract
The uniformity of nitrogen (N) doping concentration in 4H-SiC epitaxial wafers is a critical determinant of electrical consistency and device reliability. In this study, key chemical vapor deposition (CVD) growth parameters, including the C/Si ratio, H2 carrier gas flow rate, flow split [...] Read more.
The uniformity of nitrogen (N) doping concentration in 4H-SiC epitaxial wafers is a critical determinant of electrical consistency and device reliability. In this study, key chemical vapor deposition (CVD) growth parameters, including the C/Si ratio, H2 carrier gas flow rate, flow split ratio, and growth temperature, were systematically adjusted to investigate their effects on the N doping concentration and uniformity of 6-inch 4H-SiC homoepitaxial layers. The relationships between these parameters and characteristic phenomena such as site-competition epitaxy, along-track depletion of carbon source, and the distinct “W-shaped” doping profile were comprehensively analyzed. Furthermore, simulations of the flow and temperature fields within the reaction chamber and across the SiC epitaxial wafer revealed that under optimized conditions a stable parallel flow field forms above the wafer, accompanied by a uniform temperature distribution, thereby creating an ideal environment for homogeneous N doping. This work provides both theoretical insight and practical guidance for enhancing doping uniformity in large-size SiC epitaxial wafers. Full article
(This article belongs to the Special Issue SiC Based Miniaturized Devices, 3rd Edition)
Show Figures

Figure 1

13 pages, 1282 KB  
Article
Lattice Distortion, Band Gap and Band Tail in Heavily Doped In2O3:Sn and ZnO:Al Thin Films Annealed at Different Temperatures in Nitrogen
by Cecilia Guillén
Electron. Mater. 2026, 7(1), 4; https://doi.org/10.3390/electronicmat7010004 - 28 Feb 2026
Viewed by 215
Abstract
Heavily doped metal oxide thin films combining high visible transmittance and low electrical resistance are used in a multitude of optoelectronic devices, where their performance is highly dependent on the structural defects and density of electronic states associated with doping. This study explores [...] Read more.
Heavily doped metal oxide thin films combining high visible transmittance and low electrical resistance are used in a multitude of optoelectronic devices, where their performance is highly dependent on the structural defects and density of electronic states associated with doping. This study explores the structural, optical, and electronic properties of Sn-doped indium oxide (In2O3:Sn) and Al-doped zinc oxide (ZnO:Al) thin films, which were prepared by sputtering on unheated glass substrates and subsequently annealed in N2 at different temperatures between 250 °C and 450 °C. These samples reach free electron densities above 1020 cm−3 due to the presence of extrinsic donors (mainly substitutional defects of SnIn and AlZn) and also intrinsic donors (oxygen vacancies), which change with the annealing temperature due to oxygen desorption and/or cation migration processes. The volume of the crystal lattice expands (up to a maximum of 1.1%) and the band gap widens (up to a maximum of 17.9%) with respect to the undoped material, increasing with electron density. Additional absorption is due to band tail, at an energy ~10% below the undoped band gap, which varies slightly with the carrier concentration. The same general behavior is observed for both materials, with particularities in terms of crystal lattice and electronic states, which can be tuned by the heating temperature. Full article
Show Figures

Figure 1

18 pages, 5983 KB  
Article
Polyethyleneimine-Doped Carbon Quantum Dots as a Highly Sensitive Fluorescent Probe for HClO Sensing in Live Cell Imaging
by Yehan Yan, Xinyue Jiang, Xialin Wang, Renyong Liu, Chengwei Hao, Naifu Chen, Weiyun Wang and Panpan Dai
Nanomaterials 2026, 16(5), 309; https://doi.org/10.3390/nano16050309 - 27 Feb 2026
Viewed by 360
Abstract
In this work, we synthesized blue-fluorescent nitrogen-doped carbon quantum dots (N-CQDs) via a facile, economical, and environmentally friendly one-pot synthesis, using citric acid as the carbon source and polyethyleneimine (PEI) as the nitrogen dopant. The as-prepared N-CQDs exhibited uniform size distribution, with an [...] Read more.
In this work, we synthesized blue-fluorescent nitrogen-doped carbon quantum dots (N-CQDs) via a facile, economical, and environmentally friendly one-pot synthesis, using citric acid as the carbon source and polyethyleneimine (PEI) as the nitrogen dopant. The as-prepared N-CQDs exhibited uniform size distribution, with an average diameter of approximately 3 nm and a quantum yield of up to 23.6%. Based on the mechanism of HClO-triggered static fluorescence quenching and oxidation of surface amine groups on the N-CQDs, we established a quantitative detection platform for hypochlorous acid (HClO). The proposed method demonstrated a linear response over the concentration range of 0–40 μmol/L, with a detection limit as low as 0.17 μmol/L. It also featured a rapid response time (within 2 min), high selectivity, and strong anti-interference capability against various common species, including Cl, H2O2, NO2, NO3, TBHP, TBO•, Br, I, S2−, F, O2− and HO•. Furthermore, the probe was successfully applied to detect HClO in real-world samples such as river water and beer. Owing to its outstanding photostability and low toxicity, it proved highly effective for monitoring intracellular HClO in living cells. Full article
Show Figures

Figure 1

28 pages, 6545 KB  
Article
Tailored Nitrogen-Doped Laser-Induced Graphene on Novel Synthesized Cross-Linked Aromatic Polyimides for Targeted Applications
by Katarina Tošić, Marija V. Pergal, Igor Pašti, Marko Bošković, Danica Bajuk Bogdanović and Marko Spasenović
Polymers 2026, 18(5), 588; https://doi.org/10.3390/polym18050588 - 27 Feb 2026
Viewed by 266
Abstract
Laser-induced graphene (LIG) is most often produced from commercial Kapton; the properties of LIG are inherently linked to those of the polymer substrate, which results in a limited field of applications for LIG on Kapton. This study demonstrates that tailored properties of LIG, [...] Read more.
Laser-induced graphene (LIG) is most often produced from commercial Kapton; the properties of LIG are inherently linked to those of the polymer substrate, which results in a limited field of applications for LIG on Kapton. This study demonstrates that tailored properties of LIG, including nitrogen doping, which is favorable for electronic applications, can be achieved by using synthesized cross-linked polyimides (PIs) as substrates for graphene induction. Three amorphous polyimides containing 4-[(4-aminophenyl)sulfonyl]aniline (PI-APSA), 1,2-diaminoethane (PI-EDA), and urea (PI-Urea), as crosslinkers, were prepared from different diamines and maleic anhydride, and subsequently used as substrates to produce in situ nitrogen-doped LIG. The resulting materials were comprehensively characterized and compared with LIG on Kapton. Raman spectroscopy confirmed lower defect densities and higher crystallinity than in LIG on Kapton, while sheet resistance was up to three times smaller. The LIG with PI-EDA showed the highest nitrogen content and a specific areal capacitance of 3.1 mF/cm2, which is more than an order of magnitude higher than that of LIG/on Kapton, highlighting its strong potential for energy storage devices. PI-APSA-based LIG exhibited the best adhesion and lowest sheet resistance, making it suitable for wearable electrodes, whereas PI-urea-based LIG maintained hydrophilicity. Thus, chemically tailored polyimides enable the formation of nitrogen-doped LIG with tunable interfacial properties, higher structural order, and improved electrical and electrochemical performance compared to commercial Kapton. Full article
(This article belongs to the Section Polymer Composites and Nanocomposites)
Show Figures

Graphical abstract

18 pages, 3793 KB  
Article
Nitrogen-Doped Bamboo-Based Porous Activated Carbon for High-Performance Supercapacitor Electrodes
by Dengxiang Ji, Ke Jin, Zhihui You, Yi Wei and Jianbing Ji
Energies 2026, 19(5), 1199; https://doi.org/10.3390/en19051199 - 27 Feb 2026
Viewed by 167
Abstract
The conversion of low-cost, widely available, and renewable agricultural and forestry biomass waste into high-performance electrode materials for supercapacitors has attracted significant research interest. In this study, bamboo was used as a raw material to prepare bamboo-derived activated carbon (BAC) and nitrogen-doped biomass [...] Read more.
The conversion of low-cost, widely available, and renewable agricultural and forestry biomass waste into high-performance electrode materials for supercapacitors has attracted significant research interest. In this study, bamboo was used as a raw material to prepare bamboo-derived activated carbon (BAC) and nitrogen-doped biomass activated carbon (N-BAC) via a two-step process involving carbonization and KOH activation. The obtained materials were subsequently evaluated as electrode materials for supercapacitors. The effects of carbonization temperature and time, activation temperature and time, and impregnation ratio on the structural properties and iodine adsorption capacity of the activated carbons were systematically examined. The results revealed that all process parameters influenced the iodine adsorption value of the samples in a volcano-type trend. The BAC prepared under optimized conditions (carbonization at 600 °C for 60 min, activation at 850 °C for 60 min, and an impregnation ratio of 6:1) exhibited the highest specific surface area (3013.30 m2/g), a total pore volume of 1.5813 cm3/g, and an average pore diameter of 2.0992 nm. Although nitrogen doping slightly reduced the specific surface area and pore volume of BAC, the introduced nitrogen-containing functional groups participated in redox reactions with the electrolyte, leading to a significant enhancement in the electrochemical performance of N-BAC. In a 6.0 M KOH electrolyte at a scan rate of 0.01 V/s, the specific capacitance of N-BAC reached 288.8 F/g, exceeding that of the optimized BAC (180.85 F/g). The supercapacitor assembled with N-BAC demonstrated a high energy density of 14.4 Wh/kg at a power density of 73.1 W/kg in aqueous electrolyte, the specific capacitance retention rate is about 90.3% after 5000 cycles between −1.2 V and 0 V at a scan rate of 10 mV/s. Overall, this work successfully developed high-performance supercapacitor electrode materials, providing a promising approach for the high-value utilization of biomass resources. Full article
(This article belongs to the Special Issue Advanced Carbonaceous Materials for Energy Conversion and Storage)
Show Figures

Figure 1

13 pages, 2915 KB  
Article
ZIF-9-Derived Cobalt and Nitrogen-Doped Carbon Nanocomposites for Sensitive Electrochemical Nitrite Determination
by Yuan Li, Shaoqian Jia, Yuxin Shi, Lingxin Kong, Yichun Su, Guangxun Zhang, Bingyi Yan, Huan Pang and Feng Yu
Molecules 2026, 31(5), 768; https://doi.org/10.3390/molecules31050768 - 25 Feb 2026
Viewed by 231
Abstract
The accurate monitoring of nitrite levels is critically important for safeguarding public health and ensuring food safety, as excessive intake presents severe risks. In this study, we developed a highly sensitive electrochemical sensor for nitrite detection utilizing a cobalt-embedded porous carbon material derived [...] Read more.
The accurate monitoring of nitrite levels is critically important for safeguarding public health and ensuring food safety, as excessive intake presents severe risks. In this study, we developed a highly sensitive electrochemical sensor for nitrite detection utilizing a cobalt-embedded porous carbon material derived from zeolitic imidazolate frameworks (ZIFs) of ZIF-9. The precursor was subjected to pyrolysis at various temperatures, revealing that the sample carbonized at 800 °C (ZIF-9-800) exhibited superior electrocatalytic performance. This enhancement is attributed to its optimized graphitization degree, high specific surface area, and the well-dispersed active sites resulting from the in situ generated cobalt nanoparticles. The ZIF-9-800-based sensor demonstrated outstanding electrochemical performance, achieving a broad linear detection range of 0.2–7000 μM, high sensitivity (848.6 μA mM−1 cm−2), and an impressively low detection limit of 50 nM. Furthermore, the sensor exhibited excellent selectivity in the presence of common interfering ions and remarkable long-term stability, maintaining more than 80% of its initial response after extended storage. This work underscores the effectiveness of MOF-derived carbon-based catalysts, tailored through calcination temperature optimization, for constructing advanced electrochemical sensing platforms. Full article
Show Figures

Figure 1

12 pages, 2548 KB  
Proceeding Paper
Optimization of Ultrasound-Assisted Solvothermal Synthesis of N-Doped Carbon Dots Derived from Water Hyacinth (Pontederia crassipes) for Carbon Monoxide Sensing
by Maria Angeline Magalong, Shayne Ruzzel Galvez, Kristine Oira Flordeliza, Jenuelle Lui Caballero, Peniel Jean Gildo and Rugi Vicente Rubi
Eng. Proc. 2026, 124(1), 43; https://doi.org/10.3390/engproc2026124043 - 24 Feb 2026
Viewed by 288
Abstract
Carbon monoxide (CO) is an odorless, colorless, and toxic gas that requires effective detection due to health risks upon exposure. This study investigates the synthesis of nitrogen-doped carbon dots (N-CDs) from water hyacinth using an ultrasound-assisted solvothermal method for CO sensing. A Box–Behnken [...] Read more.
Carbon monoxide (CO) is an odorless, colorless, and toxic gas that requires effective detection due to health risks upon exposure. This study investigates the synthesis of nitrogen-doped carbon dots (N-CDs) from water hyacinth using an ultrasound-assisted solvothermal method for CO sensing. A Box–Behnken design under response surface methodology (RSM) optimized the synthesis parameters at 177 C, 6.25 h, and 2.62 g dopant, achieving a maximum quantum yield of 20.15%. UV-vis and PL analysis confirmed successful nitrogen doping and stable excitation-independent photoluminescence. FESEM-EDX revealed spherical to quasi-spherical particles ranging from 8 to 55 nm with carbon, nitrogen, and oxygen composition. Gas sensing results revealed enhanced CO response for N-doped CDs compared to undoped CDs due to improved charge transfer and increased adsorption sites, demonstrating their potential for CO detection at low concentrations. Full article
(This article belongs to the Proceedings of The 6th International Electronic Conference on Applied Sciences)
Show Figures

Figure 1

20 pages, 6219 KB  
Article
DFT-Based Study of CO2 Adsorption Mechanism on Carbon Materials
by Hao Wan, Xinyu Wang, Fengqiang Miao, Dongdong Ren, Xiangming Zhao, Jianxiang Guo, Siyi Luo and Feng Xu
Appl. Sci. 2026, 16(4), 2083; https://doi.org/10.3390/app16042083 - 20 Feb 2026
Viewed by 293
Abstract
Carbon-based material adsorption is one of the research hotspots in the Carbon Capture, Utilization, and Storage (CCUS) field, and its surface functional groups have a significant impact on CO2 adsorption performance. This study uses Density Functional Theory (DFT) methods to explore the [...] Read more.
Carbon-based material adsorption is one of the research hotspots in the Carbon Capture, Utilization, and Storage (CCUS) field, and its surface functional groups have a significant impact on CO2 adsorption performance. This study uses Density Functional Theory (DFT) methods to explore the adsorption mechanism of CO2 on the surface of carbon-based materials by examining changes in parameters such as adsorption energy before and after the reaction process. It also studies the influence of different functional groups on the surface of carbon-based materials on CO2 adsorption performance. Research shows that under different doping conditions, the adsorption energy of CO2 on carbon-based materials can be roughly divided into three levels: when both C=C and C=O double bonds are formed, the adsorption energy reaches the highest level; the structure with the C–N single bond accompanied by the C=O double bond reduces the adsorption energy by one level; and when only C=C double bonds exist, the adsorption energy is at the lowest level. Meanwhile, the incorporation of functional groups such as N, NH+ and O2 will reduce the adsorption energy of carbon-based materials for CO2 to varying degrees. Notably, N and NH+ modification not only introduces new nitrogen active sites but also optimizes material performance while maintaining a relatively high adsorption capacity, thus demonstrating good modification potential. Full article
Show Figures

Figure 1

17 pages, 2413 KB  
Article
ZnFe2O4-N-BC Bifunctional Catalyst in Visible Light−Peroxydisulfate Coupled System in Norfloxacin Degradation
by Xiaoxian Hu, Di Zhang, Xinyu Li and Junfeng Wu
Catalysts 2026, 16(2), 196; https://doi.org/10.3390/catal16020196 - 20 Feb 2026
Viewed by 315
Abstract
Using norfloxacin (NOR) as the target pollutant, the synergism and degradation mechanism of ZnFe2O4-N-BC (MNBC), a nitrogen (N) and zinc ferrite (ZnFe2O4) co-doped biochar bifunctional catalyst (BC), in visible light (VIS)−peroxydisulfate (PDS) coupled system, were [...] Read more.
Using norfloxacin (NOR) as the target pollutant, the synergism and degradation mechanism of ZnFe2O4-N-BC (MNBC), a nitrogen (N) and zinc ferrite (ZnFe2O4) co-doped biochar bifunctional catalyst (BC), in visible light (VIS)−peroxydisulfate (PDS) coupled system, were elucidated, and the synergistic mechanism was further supported by optical absorption and photo-induced charge transfer analyses. The results indicate that the degradation rate constant of the ZnFe2O4-N-BC/Vis-PDS system is 22.7 and 17.4 times higher than that of the ZnFe2O4-N-BC/Vis and ZnFe2O4-N-BC/PDS systems, respectively. More importantly, an apparent enhancement factor of 26.3% was obtained relative to the internal control systems. In addition, the coupled system showed a wider pH adaptation range. Furthermore, the radical quenching experiment and EPR analysis further revealed that multiple reactive species (including SO4, O2·, ·OH, h+, and 1O2) were involved in the degradation of NOR, and their relative contributions followed the order: 1O2 > SO4 > O2·> ·OH > h+. Finally, HPLC-MS analysis was performed to identify the key degradation intermediates of NOR, and thus to propose its possible transformation pathways. Full article
Show Figures

Graphical abstract

Back to TopTop