Nitrogen-Doped Cu2O Thin Films for Photovoltaic Applications
Abstract
:1. Introduction
2. Materials and Methods
3. Results and Discussion
3.1. Secondary Ion Mass Spectrometry Analysis
3.2. Structure and Morphology
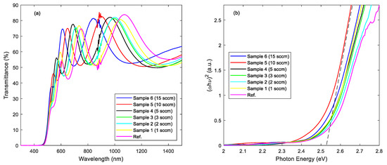
3.3. Optical Properties
3.4. Electrical Properties
4. Conclusions
Author Contributions
Funding
Acknowledgments
Conflicts of Interest
References
- Shockley, W.; Queisser, H.J. Detailed Balance Limit of Efficiency of PN Junction Solar Cells. J. Appl. Phys. 1961, 32, 510–519. [Google Scholar] [CrossRef]
- Nordseth, Ø.; Kumar, R.; Bergum, K.; Fara, L.; Dumitru, C.; Crăciunescu, D.; Drăgan, F.; Chilibon, I.; Monakhov, E.; Foss, S.E.; et al. Metal Oxide Thin-Film Heterojunctions for Photovoltaic Applications. Materials 2018, 11, 2593. [Google Scholar] [CrossRef] [PubMed]
- Minami, T.; Nishi, Y.; Miyata, T. Cu2O-based solar cells using oxide semiconductors. J. Semicond. 2016, 37, 014002. [Google Scholar] [CrossRef]
- Minami, T.; Nishi, Y.; Miyata, T. Efficiency enhancement using a Zn1−xGex-O thin film as an n-type window layer in Cu2O-based heterojunction solar cells. Appl. Phys. Express 2016, 9, 052301. [Google Scholar] [CrossRef]
- Nordseth, Ø.; Kumar, R.; Bergum, K.; Fara, L.; Foss, S.E.; Haug, H.; Drăgan, F.; Crăciunescu, D.; Sterian, P.; Chilibon, I.; et al. Optical Analysis of a ZnO/Cu2O Subcell in a Silicon-Based Tandem Heterojunction Solar Cell. Green Sustain. Chem. 2017, 7, 57–69. [Google Scholar] [CrossRef]
- Nordseth, Ø.; Haug, H.; Kumar, R.; Bergum, K.; Dragan, F.; Craciunescu, D.; Fara, L.; Chilibon, I.; Monakhov, E.; Foss, S.E.; et al. Performance optimization of a four-terminal Cu2O/c-Si tandem heterojunction solar cell. In Proceedings of the 35th European Photovoltaic Solar Energy Conference and Exhibition, Brussels, Belgium, 24–28 September 2018. [Google Scholar]
- Siah, S.C.; Lee, Y.S.; Segal, Y.; Buonassisi, T. Low contact resistivity of metals on nitrogen-doped cuprous oxide (Cu2O) thin-films. J. Appl. Phys. 2012, 112, 084508. [Google Scholar] [CrossRef]
- Zhang, X.; Wan, Y.; Bullock, J.; Allen, T.; Cuevas, A. Low resistance Ohmic contact to p-type crystalline silicon via nitrogen-doped copper oxide films. Appl. Phys. Lett. 2016, 109, 052102. [Google Scholar] [CrossRef]
- Kim, J.; Takiguchi, Y.; Miyajima, S. Characterization of p-type nitrogen-doped cuprous oxide/n-type hydrogenated microcrystalline silicon tunnel recombination junction for perovskite/crystalline silicon tandem solar cells. Jpn. J. Appl. Phys. 2018, 57, 08RB05. [Google Scholar] [CrossRef]
- Ishizuka, S.; Kato, S.; Maruyama, T.; Akimoto, K. Nitrogen Doping into Cu2O Thin Films Deposited by Reactive Radio-Frequency Magnetron Sputtering. Jpn. J. Appl. Phys. 2001, 40, 2765–2768. [Google Scholar] [CrossRef]
- Sberna, P.M.; Crupi, I.; Moscatelli, F.; Privitera, V.; Simone, F.; Miritello, M. Sputtered cuprous oxide thin films and nitrogen doping by ion implantation. Thin Solid Films 2016, 600, 71–75. [Google Scholar] [CrossRef]
- Nakano, Y.; Saeki, S.; Morikawa, T. Optical bandgap widening of -type Cu2O films by nitrogen doping. Appl. Phys. Lett. 2009, 92, 022111. [Google Scholar] [CrossRef]
- International Centre for Diffraction Data. Available online: http://www.icdd.com/ (accessed on 12 June 2019).
- Li, H.J.; Pu, C.Y.; Ma, C.Y.; Li, S.; Dong, W.J.; Bao, S.Y.; Zhang, Q.Y. Growth behavior and optical properties of N-doped Cu2O films. Thin Solid Films 2011, 520, 212–216. [Google Scholar] [CrossRef]
- Bennett, J.M.; Mattson, L. Introduction to Surface Roughness and Scattering; Optical Society of America: Washington, DC, USA, 1989. [Google Scholar]
- Gan, J.; Venkatachalapathy, V.; Svensson, B.G.; Monakhov, E.V. Influence of Target Power on Properties of CuxO Thin Films Prepared by Reactive Radio Frequency Magnetron Sputtering. Thin Solid Films 2015, 594, 250–255. [Google Scholar] [CrossRef]
- Malerba, C.; Ricardo, C.L.A.; D’Incau, M.; Biccari, F.; Scardi, P.; Mittiga, A. Nitrogen doped Cu2O: A possible material for intermediate band solar cells? Solar Energ. Mater. Solar Cell. 2012, 105, 192–195. [Google Scholar] [CrossRef]





| Sample Name | N2/Ar/O2 (sccm) |
|---|---|
| Reference sample | 0/42.5/7.5 |
| 1 | 1/41.5/7.5 |
| 2 | 2/40.5/7.5 |
| 3 | 3/39.5/7.5 |
| 4 | 5/37.5/7.5 |
| 5 | 10/32.5/7.5 |
| 6 | 15/27.5/7.5 |
| Sample Name | N2 Flow (sccm) | RRMS (nm) |
|---|---|---|
| Reference sample | 0 | 4.40 |
| 1 | 1 | 3.90 |
| 2 | 2 | 4.51 |
| 3 | 3 | 3.13 |
| 4 | 5 | 4.63 |
| 5 | 10 | 4.86 |
| 6 | 15 | 5.45 |
© 2019 by the authors. Licensee MDPI, Basel, Switzerland. This article is an open access article distributed under the terms and conditions of the Creative Commons Attribution (CC BY) license (http://creativecommons.org/licenses/by/4.0/).
Share and Cite
Nordseth, Ø.; Kumar, R.; Bergum, K.; Chilibon, I.; Foss, S.E.; Monakhov, E. Nitrogen-Doped Cu2O Thin Films for Photovoltaic Applications. Materials 2019, 12, 3038. https://doi.org/10.3390/ma12183038
Nordseth Ø, Kumar R, Bergum K, Chilibon I, Foss SE, Monakhov E. Nitrogen-Doped Cu2O Thin Films for Photovoltaic Applications. Materials. 2019; 12(18):3038. https://doi.org/10.3390/ma12183038
Chicago/Turabian StyleNordseth, Ørnulf, Raj Kumar, Kristin Bergum, Irinela Chilibon, Sean Erik Foss, and Edouard Monakhov. 2019. "Nitrogen-Doped Cu2O Thin Films for Photovoltaic Applications" Materials 12, no. 18: 3038. https://doi.org/10.3390/ma12183038
APA StyleNordseth, Ø., Kumar, R., Bergum, K., Chilibon, I., Foss, S. E., & Monakhov, E. (2019). Nitrogen-Doped Cu2O Thin Films for Photovoltaic Applications. Materials, 12(18), 3038. https://doi.org/10.3390/ma12183038

