Antiferromagnetic Phase Induced by Nitrogen Doping in 2D Cr2S3
Abstract
:1. Introduction
2. Materials and Methods
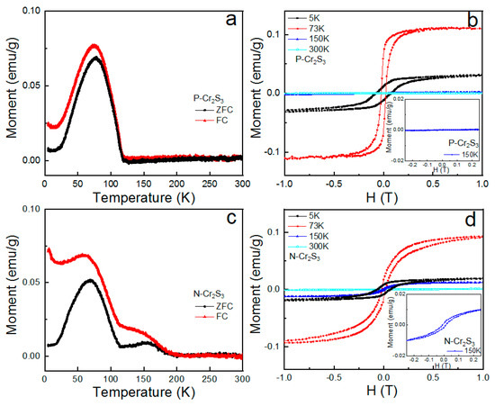
3. Results and Discussion
4. Conclusions
Supplementary Materials
Author Contributions
Funding
Institutional Review Board Statement
Informed Consent Statement
Data Availability Statement
Conflicts of Interest
References
- Jungwirth, T.; Marti, X.; Wadley, P.; Wunderlich, J. Antiferromagnetic spintronics. Nat. Nanotechnol. 2016, 11, 231–241. [Google Scholar] [CrossRef] [PubMed]
- Cai, K.; Yang, M.; Ju, H.; Wang, S.; Ji, Y.; Li, B.; Edmonds, K.W.; Sheng, Y.; Zhang, B.; Zhang, N.; et al. Electric field control of deterministic current-induced magnetization switching in a hybrid ferromagnetic/ferroelectric structure. Nat. Mater. 2017, 16, 712–716. [Google Scholar] [CrossRef] [PubMed]
- Cao, Y.; Sheng, Y.; Edmonds, K.W.; Ji, Y.; Zheng, H.; Wang, K. Deterministic magnetization switching using lateral spin–orbit torque. Adv. Mater. 2020, 32, 1907929. [Google Scholar] [CrossRef] [PubMed] [Green Version]
- Jungwirth, T.; Sinova, J.; Manchon, A.; Marti, X.; Wunderlich, J.; Felser, C. The multiple directions of antiferromagnetic spintronics. Nat. Phys. 2018, 14, 200–203. [Google Scholar] [CrossRef]
- Dowben, P.A.; Nikonov, D.E.; Marshall, A.; Binek, C. Magneto-electric antiferromagnetic spin–orbit logic devices. Appl. Phys. Lett. 2020, 116, 080502. [Google Scholar] [CrossRef] [Green Version]
- Železný, J.; Wadley, P.; Olejník, K.; Hoffmann, A.; Ohno, H. Spin transport and spin torque in antiferromagnetic devices. Nat. Phys. 2018, 14, 220–228. [Google Scholar] [CrossRef]
- Hu, C.; Zhang, D.; Yan, F.; Li, Y.; Lv, Q.; Zhu, W.; Wei, Z.; Chang, K.; Wang, K. From two-to multi-state vertical spin valves without spacer layer based on Fe3GeTe2 van der Waals homo-junctions. Sci. Bull. 2020, 65, 1072–1077. [Google Scholar] [CrossRef]
- Gao, Y.; Yin, Q.; Wang, Q.; Li, Z.; Cai, J.; Zhao, T.; Lei, S.; Wang, S.; Zhang, Y.; Shen, B. Spontaneous (Anti) meron Chains in the Domain Walls of van der Waals Ferromagnetic Fe5− xGeTe2. Adv. Mater. 2020, 32, 2005228. [Google Scholar] [CrossRef]
- Sivadas, N.; Okamoto, S.; Xu, X.; Fennie, C.J.; Xiao, D. Stacking-dependent magnetism in bilayer CrI3. Nano Lett. 2018, 18, 7658–7664. [Google Scholar] [CrossRef] [Green Version]
- Dalla Piazza, B.; Mourigal, M.; Christensen, N.B.; Nilsen, G.J.; Tregenna-Piggott, P.; Perring, T.G.; Enderle, M.; McMorrow, D.F.; Ivanov, D.; Rønnow, H.M. Fractional excitations in the square-lattice quantum antiferromagnet. Nat. Phys. 2015, 11, 62–68. [Google Scholar] [CrossRef] [Green Version]
- Choi, J.Y.; Kwon, W.J.; Shin, Y.I. Observation of topologically stable 2D skyrmions in an antiferromagnetic spinor Bose-Einstein condensate. Phys. Rev. Lett. 2012, 108, 035301. [Google Scholar] [CrossRef] [PubMed] [Green Version]
- Liu, J.; Meng, S.; Sun, J.T. Spin-orientation-dependent topological states in two-dimensional antiferromagnetic NiTl2S4 monolayers. Nano Lett. 2019, 19, 3321–3326. [Google Scholar] [CrossRef] [PubMed] [Green Version]
- Huang, B.; Clark, G.; Navarro-Moratalla, E.; Klein, D.R.; Cheng, R.; Seyler, K.L.; Zhong, D.; Schmidgall, E.; McGuire, M.A.; Cobden, D.H.; et al. Layer-dependent ferromagnetism in a van der Waals crystal down to the monolayer limit. Nature 2017, 546, 270–273. [Google Scholar] [CrossRef] [PubMed] [Green Version]
- Ghazaryan, D.; Greenaway, M.T.; Wang, Z.; Guarochico-Moreira, V.H.; Vera-Marun, I.J.; Yin, J.; Liao, Y.; Morozov, S.V.; Kristanovski, O.; Lichtenstein, A.I.; et al. Magnon-assisted tunnelling in van der Waals heterostructures based on CrBr3. Nat. Electron. 2018, 1, 344–349. [Google Scholar] [CrossRef] [Green Version]
- Xie, L.; Wang, J.; Li, J.; Li, C.; Zhang, Y.; Zhu, B.; Guo, Y.; Wang, Z.; Zhang, K. An Atomically Thin Air-Stable Narrow-Gap Semiconductor Cr2S3 for Broadband Photodetection with High Responsivity. Adv. Electron. Mater. 2021, 7, 2000962. [Google Scholar] [CrossRef]
- Zhou, S.; Wang, R.; Han, J.; Wang, D.; Li, H.; Gan, L.; Zhai, T. Ultrathin non-van der Waals magnetic Rhombohedral Cr2S3: Space-confined chemical vapor deposition synthesis and raman scattering investigation. Adv. Funct. Mater. 2019, 29, 1805880. [Google Scholar] [CrossRef]
- Cui, F.; Zhao, X.; Xu, J.; Tang, B.; Shang, Q.; Shi, J.; Huan, Y.; Liao, J.; Chen, Q.; Hou, Y.; et al. Controlled growth and thickness-dependent conduction-type transition of 2D ferrimagnetic Cr2S3 semiconductors. Adv. Mater. 2020, 32, 1905896. [Google Scholar] [CrossRef]
- Chu, J.; Zhang, Y.; Wen, Y.; Qiao, R.; Wu, C.; He, P.; Yin, L.; Cheng, R.; Wang, F.; Wang, Z.; et al. Sub-millimeter-scale growth of one-unit-cell-thick ferrimagnetic Cr2S3 nanosheets. Nano Lett. 2019, 19, 2154–2161. [Google Scholar] [CrossRef]
- Chen, M.; Hu, C.; Luo, X.; Hong, A.; Yu, T.; Yuan, C. Ferromagnetic behaviors in monolayer MoS2 introduced by nitrogen-doping. Appl. Phys. Lett. 2020, 116, 073102. [Google Scholar] [CrossRef]
- Wei, B.; Liang, H.; Zhang, D.; Wu, Z.; Qi, Z.; Wang, Z. CrN thin films prepared by reactive DC magnetron sputtering for symmetric supercapacitors. J. Mater. Chem. A 2017, 5, 2844–2851. [Google Scholar] [CrossRef]
- Zhou, W.; Chen, M.; Guo, M.; Hong, A.; Yu, T.; Luo, X.; Yuan, C.; Lei, W.; Wang, S. Magnetic enhancement for hydrogen evolution reaction on ferromagnetic MoS2 catalyst. Nano Lett. 2020, 2, 2923–2930. [Google Scholar] [CrossRef] [PubMed]
- Momma, K.; Izumi, F. VESTA 3 for three-dimensional visualization of crystal, volumetric and morphology data. J. Appl. Crystallogr. 2011, 44, 1272–1276. [Google Scholar] [CrossRef]
- Kresse, G.; Joubert, D. From ultrasoft pseudopotentials to the projector augmented-wave method. Phys. Rev. B 1999, 59, 1758. [Google Scholar] [CrossRef]
- Harl, J.; Schimka, L.; Kresse, G. Assessing the quality of the random phase approximation for lattice constants and atomization energies of solids. Phys. Rev. B 2010, 81, 115126. [Google Scholar] [CrossRef] [Green Version]
- Maignan, A.; Bréard, Y.; Guilmeau, E.; Gascoin, F. Transport, thermoelectric, and magnetic properties of a dense Cr2S3 ceramic. J. Appl. Phys. 2012, 112, 013716. [Google Scholar] [CrossRef]
- Del Muro, M.G.; Batlle, X.; Labarta, A. Erasing the glassy state in magnetic fine particles. Phys. Rev. B 1999, 59, 13584. [Google Scholar] [CrossRef] [Green Version]
- Wang, H.O.; Zhao, P.; Sun, J.J.; Tan, W.S.; Su, K.P.; Huang, S.; Huo, D.X. Investigation of magnetic response of charge ordering in half-doped La0.5Ca0.5MnO3 manganite. J. Mater. Sci. -Mater. Electron. 2018, 29, 13176–13179. [Google Scholar] [CrossRef]




Publisher’s Note: MDPI stays neutral with regard to jurisdictional claims in published maps and institutional affiliations. |
© 2022 by the authors. Licensee MDPI, Basel, Switzerland. This article is an open access article distributed under the terms and conditions of the Creative Commons Attribution (CC BY) license (https://creativecommons.org/licenses/by/4.0/).
Share and Cite
Zhou, W.; Chen, M.; Yuan, C.; Huang, H.; Zhang, J.; Wu, Y.; Zheng, X.; Shen, J.; Wang, G.; Wang, S.; et al. Antiferromagnetic Phase Induced by Nitrogen Doping in 2D Cr2S3. Materials 2022, 15, 1716. https://doi.org/10.3390/ma15051716
Zhou W, Chen M, Yuan C, Huang H, Zhang J, Wu Y, Zheng X, Shen J, Wang G, Wang S, et al. Antiferromagnetic Phase Induced by Nitrogen Doping in 2D Cr2S3. Materials. 2022; 15(5):1716. https://doi.org/10.3390/ma15051716
Chicago/Turabian StyleZhou, Wenda, Mingyue Chen, Cailei Yuan, He Huang, Jingyan Zhang, Yanfei Wu, Xinqi Zheng, Jianxin Shen, Guyue Wang, Shouguo Wang, and et al. 2022. "Antiferromagnetic Phase Induced by Nitrogen Doping in 2D Cr2S3" Materials 15, no. 5: 1716. https://doi.org/10.3390/ma15051716
APA StyleZhou, W., Chen, M., Yuan, C., Huang, H., Zhang, J., Wu, Y., Zheng, X., Shen, J., Wang, G., Wang, S., & Shen, B. (2022). Antiferromagnetic Phase Induced by Nitrogen Doping in 2D Cr2S3. Materials, 15(5), 1716. https://doi.org/10.3390/ma15051716

