Quantum Transport in Large-Scale Patterned Nitrogen-Doped Graphene
Abstract
:1. Introduction
2. Methods and Parameters
2.1. Tight-Binding Models
2.2. Benchmark Transport Calculations
2.3. Large-Scale Transport
3. Results
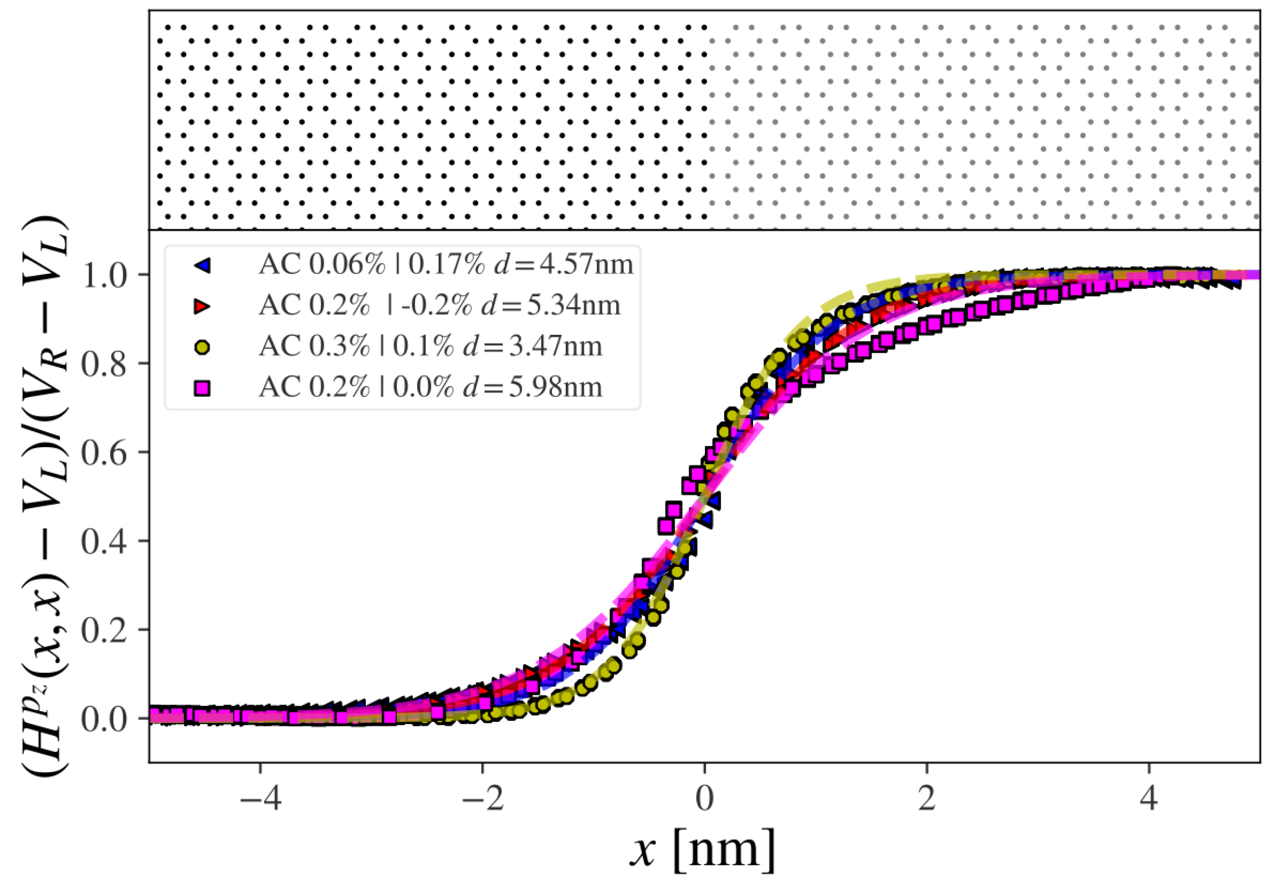
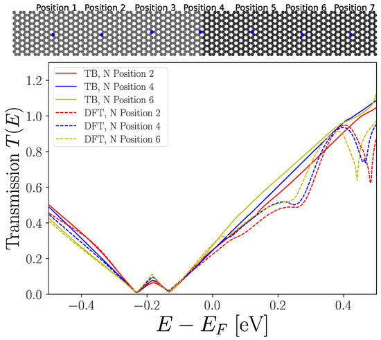
3.1. Straight Junction without and with Nitrogen Dopants
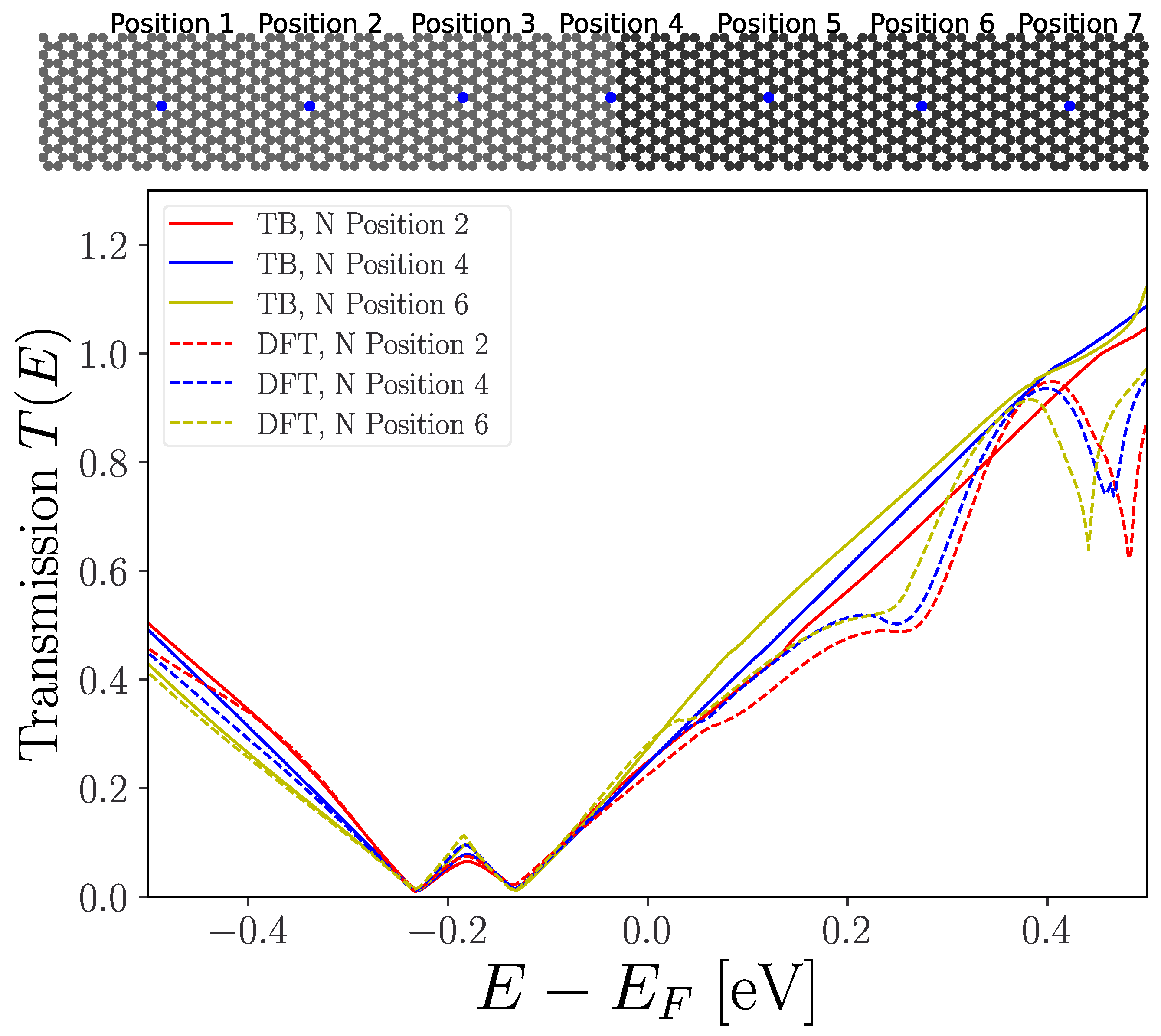
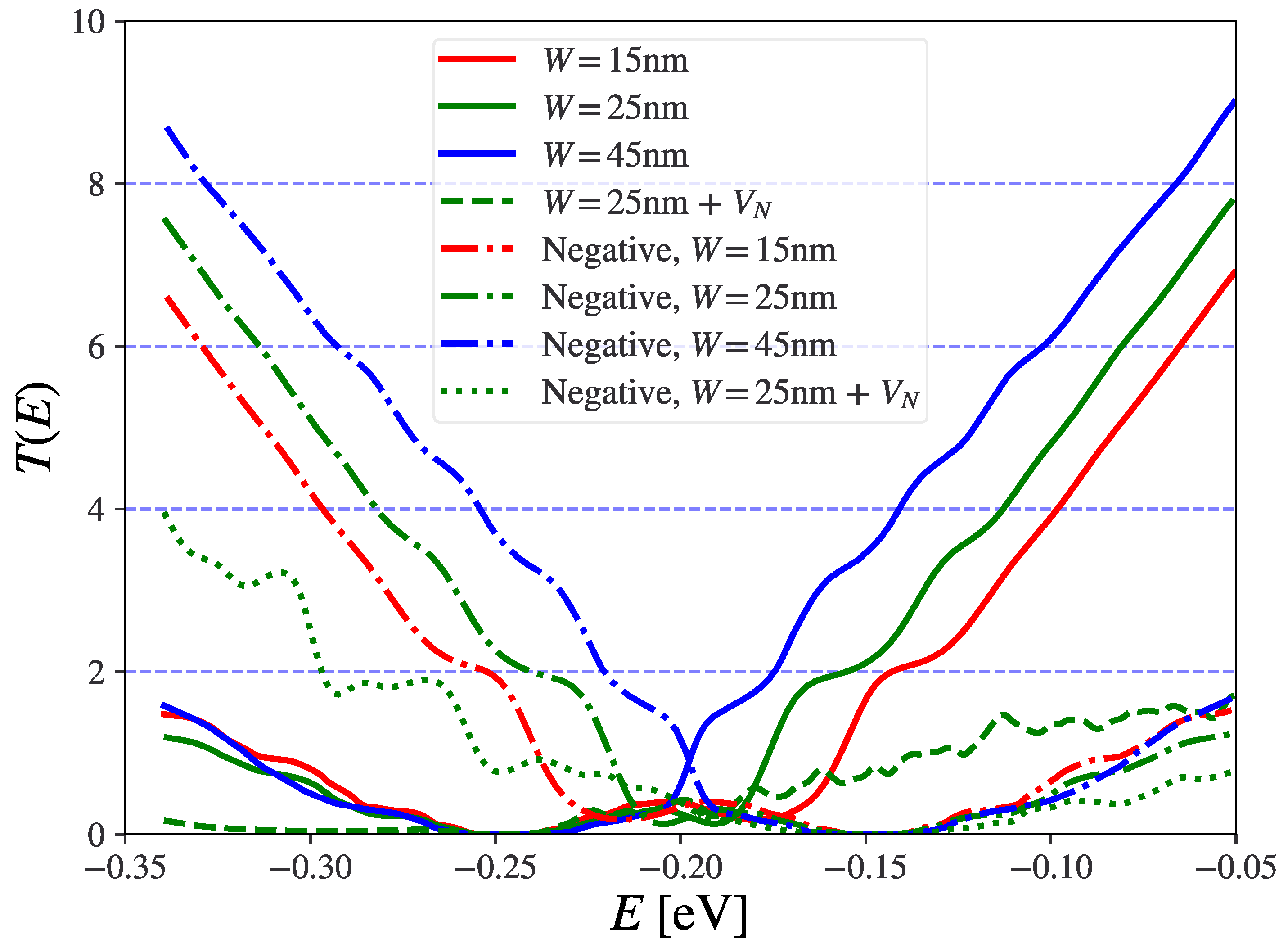
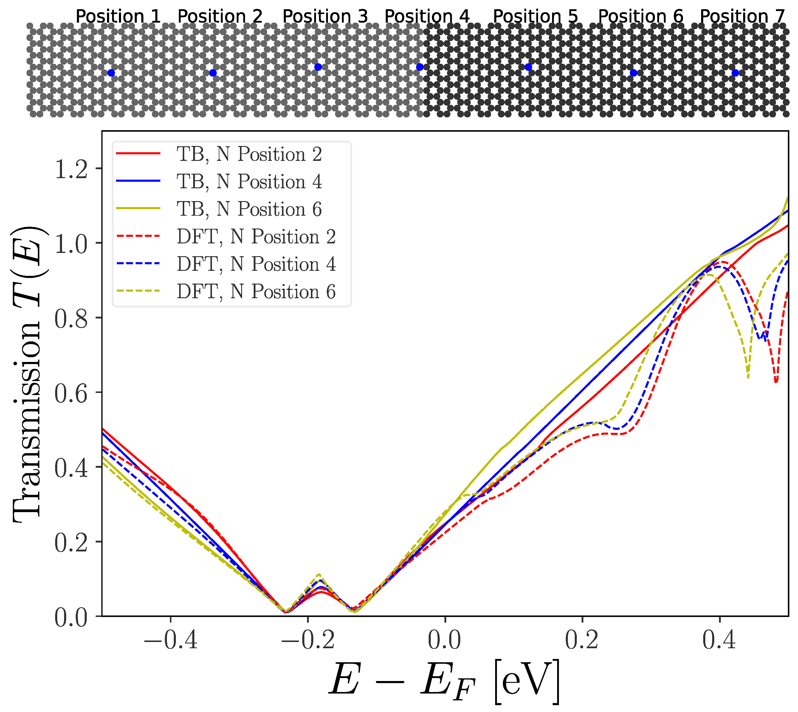
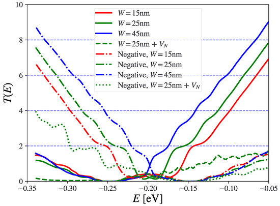
3.2. Constrictions from Junctions in Graphene
Shot Noise
4. Discussion
5. Conclusions
Author Contributions
Funding
Institutional Review Board Statement
Informed Consent Statement
Data Availability Statement
Acknowledgments
Conflicts of Interest
References
- Baringhaus, J.; Ruan, M.; Edler, F.; Tejeda, A.; Sicot, M.; Taleb-Ibrahimi, A.; Li, A.P.; Jiang, Z.; Conrad, E.H.; Berger, C.; et al. Exceptional ballistic transport in epitaxial graphene nanoribbons. Nature 2014, 506, 349–354. [Google Scholar] [CrossRef] [PubMed]
- Baringhaus, J.; Settnes, M.; Aprojanz, J.; Power, S.R.; Jauho, A.P.; Tegenkamp, C. Electron Interference in Ballistic Graphene Nanoconstrictions. Phys. Rev. Lett. 2016, 116, 1–13. [Google Scholar] [CrossRef]
- Allain, P.E.; Fuchs, J.N. Klein tunneling in graphene: Optics with massless electrons. Eur. Phys. J. B 2011, 83, 301. [Google Scholar] [CrossRef]
- Neamen, D. Semiconductor Physics and Devices; McGraw-Hill, Inc.: New York, NY, USA, 2002. [Google Scholar]
- Chen, S.; Han, Z.; Elahi, M.M.; Habib, K.M.; Wang, L.; Wen, B.; Gao, Y.; Taniguchi, T.; Watanabe, K.; Hone, J.; et al. Electron optics with p-n junctions in ballistic graphene. Science 2016, 353, 1522–1525. [Google Scholar] [CrossRef] [PubMed]
- Zhou, X.; Kerelsky, A.; Elahi, M.M.; Wang, D.; Habib, K.M.; Sajjad, R.N.; Agnihotri, P.; Lee, J.U.; Ghosh, A.W.; Ross, F.M.; et al. Atomic-scale characterization of graphene p–n junctions for electron-optical applications. ACS Nano 2019, 13, 2558–2566. [Google Scholar] [CrossRef]
- Bøggild, P.; Caridad, J.M.; Stampfer, C.; Calogero, G.; Papior, N.R.; Brandbyge, M. A two-dimensional Dirac fermion microscope. Nat. Commun. 2017, 8, 1–12. [Google Scholar] [CrossRef]
- Jang, M.S.; Kim, H.; Son, Y.W.; Atwater, H.A.; Goddard, W.A., III. Graphene field effect transistor without an energy gap. Proc. Natl. Acad. Sci. USA 2013, 110, 8786–8789. [Google Scholar] [CrossRef]
- Balgley, J.; Butler, J.; Biswas, S.; Ge, Z.; Lagasse, S.; Taniguchi, T.; Watanabe, K.; Cothrine, M.; Mandrus, D.G.; Velasco, J.; et al. Ultrasharp Lateral p-n Junctions in Modulation-Doped Graphene. Nano Lett. 2022, 22, 4124–4130. [Google Scholar] [CrossRef]
- Wang, H.; Maiyalagan, T.; Wang, X. Review on recent progress in nitrogen-doped graphene: Synthesis, characterization, and its potential applications. ACS Catal. 2012, 2, 781–794. [Google Scholar] [CrossRef]
- Kong, X.K.; Chen, C.L.; Chen, Q.W. Doped graphene for metal-free catalysis. Chem. Soc. Rev. 2014, 43, 2841–2857. [Google Scholar] [CrossRef]
- Yadav, R.; Dixit, C. Synthesis, characterization and prospective applications of nitrogen-doped graphene: A short review. J. Sci. Adv. Mater. Devices 2017, 2, 141–149. [Google Scholar] [CrossRef]
- Joucken, F.; Henrard, L.; Lagoute, J. Electronic properties of chemically doped graphene. Phys. Rev. Mater. 2019, 3, 110301. [Google Scholar] [CrossRef]
- Bouatou, M.; Chacon, C.; Lorentzen, A.B.; Ngo, H.T.; Girard, Y.; Repain, V.; Bellec, A.; Rousset, S.; Brandbyge, M.; Dappe, Y.J.; et al. Visualizing In-Plane Junctions in Nitrogen-Doped Graphene. Adv. Funct. Mater. 2022, 32, 2208048. [Google Scholar] [CrossRef]
- Tu, N.D.K.; Choi, J.; Park, C.R.; Kim, H. Remarkable conversion between n-and p-type reduced graphene oxide on varying the thermal annealing temperature. Chem. Mater. 2015, 27, 7362–7369. [Google Scholar] [CrossRef]
- Telychko, M.; Noori, K.; Biswas, H.; Dulal, D.; Chen, Z.; Lyu, P.; Li, J.; Tsai, H.Z.; Fang, H.; Qiu, Z.; et al. Gate-Tunable Resonance State and Screening Effects for Proton-Like Atomic Charge in Graphene. Nano Lett. 2022, 22, 8422. [Google Scholar] [CrossRef]
- Bellaiche, L.; Vanderbilt, D. Virtual crystal approximation revisited: Application to dielectric and piezoelectric properties of perovskites. Phys. Rev. B 2000, 61, 7877. [Google Scholar] [CrossRef]
- Garcia, A.; Papior, N.; Akhtar, A.; Artacho, E.; Blum, V.; Bosoni, E.; Brandimarte, P.; Brandbyge, M.; Cerda, I.J.; Corsetti, F.; et al. Siesta: Recent developments and applications. J. Chem. Phys. 2020, 152, 204108. [Google Scholar] [CrossRef]
- Lambin, P.; Amara, H.; Ducastelle, F.; Henrard, L. Long-range interactions between substitutional nitrogen dopants in graphene: Electronic properties calculations. Phys. Rev. B 2012, 86, 045448. [Google Scholar] [CrossRef]
- Calogero, G.; Papior, N.R.; Bøggild, P.; Brandbyge, M. Large-scale tight-binding simulations of quantum transport in ballistic graphene. J. Phys. Condens. Matter 2018, 30, 364001. [Google Scholar] [CrossRef]
- Adessi, C.; Roche, S.; Blase, X. Reduced backscattering in potassium-doped nanotubes: Ab initio and semiempirical simulations. Phys. Rev. B 2006, 73, 125414. [Google Scholar] [CrossRef]
- Kaasbjerg, K. Atomistic T-matrix theory of disordered two-dimensional materials: Bound states, spectral properties, quasiparticle scattering, and transport. Phys. Rev. B 2020, 101, 045433. [Google Scholar] [CrossRef]
- Feng, T.; Xie, D.; Xu, J.; Zhao, H.; Li, G.; Ren, T.; Zhu, H. Back-gate graphene field-effect transistors with double conductance minima. Carbon 2014, 79, 363–368. [Google Scholar] [CrossRef]
- Chae, S.; Panomsuwan, G.; Bratescu, M.A.; Teshima, K.; Saito, N. p-Type doping of graphene with cationic nitrogen. ACS Appl. Nano Mater. 2019, 2, 1350–1355. [Google Scholar] [CrossRef]
- Papior, N.; Lorente, N.; Frederiksen, T.; García, A.; Brandbyge, M. Improvements on non-equilibrium and transport Green function techniques: The next-generation transiesta. Comput. Phys. Commun. 2017, 212, 8–24. [Google Scholar] [CrossRef]
- Papior, N. Software: Sisl: V0.12.0+252. Available online: https://zenodo.org/record/7567793 (accessed on 1 February 2021).
- Calogero, G.; Papior, N.; Koleini, M.; Larsen, M.H.L.; Brandbyge, M. Multi-scale approach to first-principles electron transport beyond 100 nm. Nanoscale 2019, 11, 6153. [Google Scholar] [CrossRef]
- Gonzalez-Lezana, T.; Rackham, E.J.; Manolopoulos, D.E. Quantum reactive scattering with a transmission-free absorbing potential. J. Chem. Phys. 2004, 120, 2247–2254. [Google Scholar] [CrossRef]
- Tombros, N.; Veligura, A.; Junesch, J.; Guimaräes, M.H.; Vera-Marun, I.J.; Jonkman, H.T.; Wees, B.J.V. Quantized conductance of a suspended graphene nanoconstriction. Nat. Phys. 2011, 7, 697–700. [Google Scholar] [CrossRef]
- Terres, B.; Chizhova, L.A.; Libisch, F.; Peiro, J.; Jörger, D.; Engels, S.; Girschik, A.; Watanabe, K.; Taniguchi, T.; Rotkin, S.V.; et al. Size quantization of Dirac fermions in graphene constrictions. Nat. Commun. 2016, 7, 11528. [Google Scholar] [CrossRef]
- Caridad, J.M.; Power, S.R.; Lotz, M.R.; Shylau, A.A.; Thomsen, J.D.; Gammelgaard, L.; Booth, T.J.; Jauho, A.P.; Bøggild, P. Conductance quantization suppression in the quantum Hall regime. Nat. Commun. 2018, 9, 659. [Google Scholar] [CrossRef]
- Kun, P.; Fülöp, B.; Dobrik, G.; Nemes-Incze, P.; Lukacs, I.E.; Csonka, S.; Hwang, C.; Tapaszto, L. Robust quantum point contact operation of narrow graphene constrictions patterned by AFM cleavage lithography. Npj 2D Mater. Appl. 2020, 4, 43. [Google Scholar] [CrossRef]
- Aprojanz, J.; Power, S.R.; Bampoulis, P.; Roche, S.; Jauho, A.P.; Zandvliet, H.J.; Zakharov, A.A.; Tegenkamp, C. Ballistic tracks in graphene nanoribbons. Nat. Commun. 2018, 9, 4426. [Google Scholar] [CrossRef] [PubMed]
- Kim, P. Graphene and relativistic quantum physics. In Dirac Matter; Springer: Berlin/Heidelberg, Germany, 2017; pp. 1–23. [Google Scholar]
- Cho, S.; Fuhrer, M. Massless and massive particle-in-a-box states in single-and bi-layer graphene. Nano Res. 2011, 4, 385–392. [Google Scholar] [CrossRef]
- Paulsson, M.; Brandbyge, M. Transmission eigenchannels from nonequilibrium Green’s functions. Phys. Rev. B 2007, 76, 115117. [Google Scholar] [CrossRef]
- Tworzydło, J.; Trauzettel, B.; Titov, M.; Rycerz, A.; Beenakker, C.W.J. Sub-Poissonian Shot Noise in Graphene. Phys. Rev. Lett. 2006, 96, 246802. [Google Scholar] [CrossRef]
- Marconcini, P.; Logoteta, D.; Macucci, M. Envelope-function-based analysis of the dependence of shot noise on the gate voltage in disordered graphene samples. Phys. Rev. B 2021, 104, 155429. [Google Scholar] [CrossRef]
- Low, T.; Hong, S.; Appenzeller, J.; Datta, S.; Lundstrom, M.S. Conductance asymmetry of graphene pn junction. IEEE Trans. Electron Devices 2009, 56, 1292–1299. [Google Scholar] [CrossRef]
- Khan, M.F.; Iqbal, M.Z.; Iqbal, M.W.; Eom, J. Improving the electrical properties of graphene layers by chemical doping. Sci. Technol. Adv. Mater. 2014, 15, 055004. [Google Scholar] [CrossRef]
- Komolov, A.; Zhukov, Y.M.; Lazneva, E.; Aleshin, A.; Pshenichnyuk, S.; Gerasimova, N.; Panina, Y.A.; Zashikhin, G.; Baramygin, A. Thermally induced modification of the graphene oxide film on the tantalum surface. Mater. Des. 2017, 113, 319–325. [Google Scholar] [CrossRef]
- Lemme, M.C.; Akinwande, D.; Huyghebaert, C.; Stampfer, C. 2D materials for future heterogeneous electronics. Nat. Commun. 2022, 13, 1392. [Google Scholar] [CrossRef]














Disclaimer/Publisher’s Note: The statements, opinions and data contained in all publications are solely those of the individual author(s) and contributor(s) and not of MDPI and/or the editor(s). MDPI and/or the editor(s) disclaim responsibility for any injury to people or property resulting from any ideas, methods, instructions or products referred to in the content. |
© 2023 by the authors. Licensee MDPI, Basel, Switzerland. This article is an open access article distributed under the terms and conditions of the Creative Commons Attribution (CC BY) license (https://creativecommons.org/licenses/by/4.0/).
Share and Cite
Lorentzen, A.B.; Bouatou, M.; Chacon, C.; Dappe, Y.J.; Lagoute, J.; Brandbyge, M. Quantum Transport in Large-Scale Patterned Nitrogen-Doped Graphene. Nanomaterials 2023, 13, 2556. https://doi.org/10.3390/nano13182556
Lorentzen AB, Bouatou M, Chacon C, Dappe YJ, Lagoute J, Brandbyge M. Quantum Transport in Large-Scale Patterned Nitrogen-Doped Graphene. Nanomaterials. 2023; 13(18):2556. https://doi.org/10.3390/nano13182556
Chicago/Turabian StyleLorentzen, Aleksander Bach, Mehdi Bouatou, Cyril Chacon, Yannick J. Dappe, Jérôme Lagoute, and Mads Brandbyge. 2023. "Quantum Transport in Large-Scale Patterned Nitrogen-Doped Graphene" Nanomaterials 13, no. 18: 2556. https://doi.org/10.3390/nano13182556
APA StyleLorentzen, A. B., Bouatou, M., Chacon, C., Dappe, Y. J., Lagoute, J., & Brandbyge, M. (2023). Quantum Transport in Large-Scale Patterned Nitrogen-Doped Graphene. Nanomaterials, 13(18), 2556. https://doi.org/10.3390/nano13182556

