You are currently on the new version of our website. Access the old version .

234 Results Found

  • Article
  • Open Access
7 Citations
2,108 Views
16 Pages

19 June 2023

A reasonable evaluation of the ecological risk status of the landscape in the Yellow River source area is of practical significance for optimizing the regional landscape pattern and maintaining ecosystem function. To explore the regional heterogeneit...

  • Article
  • Open Access
38 Citations
3,769 Views
15 Pages

4 December 2020

Assessing the contribution rates of climate change and human activities to the runoff change in the source area of the Yellow River can provide support for water management in the Yellow River Basin. This paper firstly uses a multiple linear regressi...

  • Article
  • Open Access
26 Citations
2,902 Views
20 Pages

21 August 2023

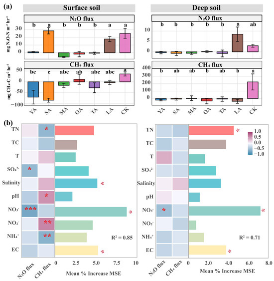
The Yellow River Source Area is located in the ecological protection and restoration area of the Sanjiangyuan in China, which has been deteriorating as a result of human-caused overgrazing and the grassland destruction caused by plateau rats and rabb...

  • Article
  • Open Access
13 Citations
3,021 Views
20 Pages

30 December 2022

Land-use change plays an important role in ecological change; knowing the trends in land-use change can quickly help identify problems in regional ecosystems. In 2000 to 2020, the development of a global economy caused increasing extreme weather even...

  • Article
  • Open Access
4 Citations
1,632 Views
24 Pages

23 September 2024

The Yellow River source area is an important eco-fragile and sensitive zone in the northeast of the Tibetan Plateau, where anthropogenic disturbances, climate change, and environmental problems have negatively affected the amount of water in the basi...

  • Article
  • Open Access
2 Citations
2,348 Views
14 Pages

The large tectonic lake is one of the most important water bodies in the source area of the Yellow River (SAYR), northeastern Qinghai-Tibet Plateau (QTP). It plays a key role in decelerating climatic change and regulating regional climate patterns. I...

  • Article
  • Open Access
7 Citations
2,305 Views
20 Pages

Soil Water Erosion and Its Hydrodynamic Characteristics in Degraded Bald Patches of Alpine Meadows in the Yellow River Source Area, Western China

  • Shengchun Tong,
  • Guorong Li,
  • Xilai Li,
  • Jinfang Li,
  • Hui Zhai,
  • Jianyun Zhao,
  • Haili Zhu,
  • Yabin Liu,
  • Wenting Chen and
  • Xiasong Hu

17 May 2023

Degraded bald patches have been active influencing factors in recent years, leading to meadow degradation and soil erosion in the Yellow River source area. In this study, we aimed to quantify the soil water erosion patterns and the hydrodynamic chara...

  • Article
  • Open Access
18 Citations
3,928 Views
14 Pages

16 April 2021

In order to determine the key influencing factors, risk areas, and source pathways of heavy metals in the sediment of the Yellow River, 37 samples were collected in the surface sediment (0–5 cm) of the Inner Mongolia section of the Yellow River main...

  • Article
  • Open Access
8 Citations
2,821 Views
16 Pages

Distribution, Sources, and Risk of Polychlorinated Biphenyls in the Largest Irrigation Area in the Yellow River Basin

  • Qi Zhang,
  • Yafang Li,
  • Qingfeng Miao,
  • Guoxia Pei,
  • Yanxia Nan,
  • Shuyu Yu,
  • Xiaole Mei and
  • Weiying Feng

30 October 2022

To investigate the contamination of PCBs in agricultural soils irrigated chronically with polluted water and the distribution and migration of PCBs under long-term irrigation, 100 farmland soil profile samples were collected in the Yellow River irrig...

  • Article
  • Open Access
13 Citations
3,237 Views
21 Pages

21 April 2023

Finding out about the ecosystem damaged by mining development and carrying out ecological risk diagnoses are important prerequisites for formulating mine ecological restoration strategies. This study established an integrated approach to quantitative...

  • Article
  • Open Access
2 Citations
2,022 Views
18 Pages

16 March 2024

The source area of the Yellow River (SAYR) in China is an important water yield and water-conservation area in the Yellow River. Understanding the variability in rainfall and flood over the SAYR region and the related mechanism of flood-causing rainf...

  • Article
  • Open Access
7 Citations
2,403 Views
16 Pages

Spatial–Temporal Correlations between Soil pH and NPP of Grassland Ecosystems in the Yellow River Source Area, China

  • Xiaoning Zhang,
  • Lili Nian,
  • Xingyu Liu,
  • Xiaodan Li,
  • Samuel Adingo,
  • Xuelu Liu,
  • Quanxi Wang,
  • Yingbo Yang,
  • Miaomiao Zhang and
  • Yaoquan Zhang
  • + 3 authors

In recent years, ecological concerns such as vegetation destruction, permafrost deterioration, and river drying have been paid much more attention to on the Yellow River Basin in China. Soil pH is regarded to be the fundamental variable among soil pr...

  • Article
  • Open Access
11 Citations
3,433 Views
15 Pages

Thermokarst lakes are important aquatic ecosystems in cold regions, experiencing several changes due to global warming. However, the fundamental assembly mechanisms of microeukaryotic communities in thermokarst lakes are unknown. In this study, we ex...

  • Article
  • Open Access
1 Citations
774 Views
17 Pages

Effects of Fertilization and Reseeding on Above- and Belowground Biodiversity in Degraded Alpine Steppe

  • Xiaochun Ning,
  • Shouxing Wang,
  • Dongzhi Huangqing,
  • Yanbin Kang,
  • Yafei Zhang,
  • Mingming Shi,
  • Liusheng Yang and
  • Mingxin Yang

2 September 2025

The ecological restoration of degraded alpine steppe is a critical component of ecological conservation efforts on the Qinghai–Tibetan Plateau. In this study, we investigated the effects of fertilization, reseeding, and combined fertilization w...

  • Article
  • Open Access
11 Citations
2,284 Views
17 Pages

29 July 2023

In classical severity–duration–frequency (SDF) analysis, the dependence between drought characteristics is not effectively considered. The present study aims to propose the SDF relationships of streamflow drought in the source area of the...

  • Article
  • Open Access
1 Citations
1,009 Views
22 Pages

10 July 2025

Ecological security patterns (ESPs) are fundamental to safeguarding regional ecological integrity and enhancing human well-being. Consequently, research on conservation and restoration in critical regions is vital for ensuring ecological security and...

  • Article
  • Open Access
5 Citations
2,753 Views
19 Pages

4 February 2024

The wild large herbivores inhabiting the Yellow-River-Source National Park (YRSNP) are confronted with a significant threat from climate change and human activities. In response to these detrimental influences, measures have been proposed by the gove...

  • Article
  • Open Access
2 Citations
1,774 Views
14 Pages

4 March 2025

Long-term runoff projection and uncertainty estimates can provide both the changing trends and confidence intervals of water resources, provide basic information for decision makers, and reduce risks for water resource management. In this paper, a gr...

  • Article
  • Open Access
2,792 Views
15 Pages

11 August 2025

Flooding frequency in the lower Yellow River (YR) exhibited an abrupt increase post-934 CE, causing catastrophic societal disruptions. However, the quantitative relationship between this abrupt increase and the intensification of human activity in th...

  • Article
  • Open Access
21 Citations
8,065 Views
23 Pages

29 July 2016

Aeolian desertification is a kind of land degradation that is characterized by aeolian activity, resulting from the responses of land ecosystems to climate change and anthropogenic disturbances. The source areas of the Yangtze and Yellow Rivers are t...

  • Feature Paper
  • Article
  • Open Access
10 Citations
3,784 Views
15 Pages

24 December 2022

Determination of heavy metal (HM) contamination, ecological risks, and sources in river sediments are important to preventing and controlling environmental pollution. This study investigated the spatial distribution, potential ecological risks, and b...

  • Article
  • Open Access
4 Citations
2,316 Views
14 Pages

Multi-endpoint toxicity tests were used to evaluate the acute toxicity, estrogenic activity, neurotoxicity, genotoxicity, and ecological risks of surface water and sewage from possible pollution sources in rural areas of the Yellow River (China). Tox...

  • Article
  • Open Access
3 Citations
2,307 Views
25 Pages

31 March 2023

The Yellow River beach area is the basic component of the Yellow River Basin. Promoting the comprehensive improvement and high-quality development of the Yellow River beach area is an important guarantee of the long-term stability of the Yellow River...

  • Article
  • Open Access
550 Views
18 Pages

30 September 2025

The quantitative assessment of acoustic rain enhancement technology is highly significant for improving the ecological environment. A scientific and accurate evaluation of its operational effects provides an important basis for continued government a...

  • Article
  • Open Access
43 Citations
6,610 Views
15 Pages

Application of UAV Remote Sensing for a Population Census of Large Wild Herbivores—Taking the Headwater Region of the Yellow River as an Example

  • Xingjian Guo,
  • Quanqin Shao,
  • Yuzhe Li,
  • Yangchun Wang,
  • Dongliang Wang,
  • Jiyuan Liu,
  • Jiangwen Fan and
  • Fan Yang

2 July 2018

We used unmanned aerial vehicles (UAVs) to carry out a relatively complete population census of large wild herbivores in Maduo County on the Tibetan Plateau in the spring of 2017. The effective area covered by aerial surveys was 326.6 km2, and 23,784...

  • Article
  • Open Access
15 Citations
2,907 Views
21 Pages

17 June 2023

The knowledge of the spatial distribution, sources, and air–soil exchange of polycyclic aromatic compounds (PACs) in an oilfield area is essential to the development of effective control practices of PAC pollution. In this study, 48 passive air...

  • Article
  • Open Access
4 Citations
3,177 Views
16 Pages

Impacts of National Highway G214 on Vegetation in the Source Area of Yellow and Yangtze Rivers on the Southern Qinghai Plateau, West China

  • Xiaoying Jin,
  • Jianjun Tang,
  • Dongliang Luo,
  • Qingfeng Wang,
  • Ruixia He,
  • Raul-D. Serban,
  • Yan Li,
  • Mihaela Serban,
  • Xinze Li and
  • Huijun Jin
  • + 3 authors

12 March 2023

Engineering corridors on the Qinghai–Tibet Plateau have substantially modified the regional ecosystem functions and environment, resulting in changes in the alpine ecosystem. In addition, the building and operation of these engineering corridor...

  • Article
  • Open Access
9 Citations
3,033 Views
11 Pages

23 April 2023

A total of 34 antibiotics from five major classes of antibiotics, including macrolides, sulfonamides, quinolones, tetracyclines and chloramphenicol, were considered as contaminants, considering the Yellow River Estuary as the study area. The distribu...

  • Article
  • Open Access
7 Citations
2,167 Views
12 Pages

30 January 2023

The Yellow River has played an indispensable role in supporting Chinese civilization because it provides water resources and rich soil for agriculture. This study analyzes the major ions and the isotopic ratios of the hydrogen (δD), oxygen (&de...

  • Article
  • Open Access
3 Citations
2,222 Views
13 Pages

Space–Ground Remote Sensor Network for Monitoring Suspended Sediments in the Yellow River Basin

  • Yingzhuo Hou,
  • Yonggang Ma,
  • Zheng Hou,
  • Maham Arif,
  • Jinghu Li,
  • Xing Ming,
  • Xinyue Liu and
  • Qianguo Xing

27 October 2024

The Yellow River, China’s second-largest river, is renowned for its high sediment content. In response to the potential impacts of climate change on Yellow River water resources and water environmental management, an advanced monitoring and for...

  • Article
  • Open Access
7 Citations
2,562 Views
20 Pages

Evaluation and Prediction of Groundwater Quality in the Source Region of the Yellow River

  • Jianhua Si,
  • Jianming Li,
  • Ying Yang,
  • Xuejiao Qi,
  • Jiajun Li,
  • Zenghui Liu,
  • Mengyuan Li,
  • Sujin Lu,
  • Yue Qi and
  • Yujing Wang
  • + 2 authors

4 December 2022

With the disturbance of human factors, the groundwater resources in the source region of the Yellow River have gradually depleted and the water quality has become worse, which has seriously affected the development of high-altitude areas. The groundw...

  • Article
  • Open Access
4 Citations
2,752 Views
14 Pages

28 August 2020

Hydrological process simulation and rainfall–runoff analysis are important foundations for reasonably evaluating changes in water resources. In this paper, the VIC (Variable Infiltration Capacity) hydrological model was used to simulate runoff...

  • Article
  • Open Access
6 Citations
4,287 Views
17 Pages

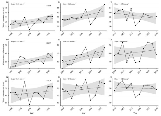
Ecological–Economic Assessment and Managerial Significance of Water Conservation in the Headwaters of the Yellow River

  • Danni Wang,
  • Yuting Zhao,
  • Wenxue Yang,
  • Kexin Ma,
  • Tianxing Hao,
  • Jingwei Zhao,
  • Rong Tang,
  • Yanfei Pu,
  • Xiujuan Zhang and
  • Huilong Lin

19 August 2022

The water conservation function plays a vital role in the land–water cycle. As the “Chinese water tower”, the headwaters of the Yellow River are of great significance to the safety of the Yellow River basin and even the global ecosy...

  • Article
  • Open Access
3 Citations
1,763 Views
13 Pages

4 September 2024

Sediment transport to the sea by rivers is crucial for the stability of estuaries and coasts. The Yangtze River, the largest river in China, like many large rivers worldwide, is experiencing a decrease in sediment load reaching the coast. However, th...

  • Article
  • Open Access
3 Citations
888 Views
25 Pages

27 May 2025

The Yellow River Basin in China is the region with the most severe agricultural non-point source pollution. The control of agricultural non-point source pollution is an important task for ecological protection and high-quality development in the Yell...

  • Article
  • Open Access
11 Citations
3,784 Views
18 Pages

Derivation of Vegetation Optical Depth and Water Content in the Source Region of the Yellow River using the FY-3B Microwave Data

  • Rong Liu,
  • Jun Wen,
  • Xin Wang,
  • Zuoliang Wang,
  • Zhenchao Li,
  • Yan Xie,
  • Li Zhu and
  • Dongpeng Li

28 June 2019

This study uses the brightness temperature at the given microwave frequency (18.7 GHz) from the Microwave Radiation Imager (MWRI) on-board the Fengyun-3B (FY-3B) satellite to improve the τ-ω model by considering the radiative contribution f...

  • Review
  • Open Access
10 Citations
3,217 Views
18 Pages

Review on Eco-Environment Research in the Yellow River Basin: A Bibliometric Perspective

  • Lina Liu,
  • Jingjing Zeng,
  • Xinnian Wu,
  • Jiansheng Qu,
  • Xuemei Li,
  • Jing Zhang and
  • Jinyu Han

The Yellow River Basin (YRB) is an important economic zone and ecological barrier in China. The analysis of its research characteristics and hotspots has been helpful to grasping the future research direction. This work carried out text mining and an...

  • Article
  • Open Access
53 Citations
4,076 Views
18 Pages

20 May 2020

Land use change is the second largest source of greenhouse gas emissions after fossil combustion, which can hurt ecological environment severely. Intensive study on land use carbon emissions is of great significance to alleviate environmental pressur...

  • Article
  • Open Access
8 Citations
3,129 Views
16 Pages

10 July 2022

In August-September 2021, the western Pacific subtropical high (WPSH) showed significant anomalies, with some areas between the Yangtze and Yellow River basins in China suffering from heavy rainfall and flooding, while extreme heat occurred in Southe...

  • Article
  • Open Access
29 Citations
4,247 Views
20 Pages

5 January 2023

Net ecosystem productivity (NEP) is an important indicator for estimating regional carbon sources/sinks. The study focuses on a comprehensive computational simulation and spatiotemporal variation study of the NEP in the Yellow River basin from 2000 t...

  • Article
  • Open Access
1,326 Views
31 Pages
Water2024, 16(24), 3583;https://doi.org/10.3390/w16243583 
(registering DOI)

12 December 2024

The simulator for hydrological unstructured domains (SHUD) is a cutting-edge, distributed hydrological model based on the finite volume method, representing the next generation of coupled surface–subsurface hydrological simulations. Its applica...

  • Article
  • Open Access
1 Citations
1,872 Views
17 Pages

11 February 2024

To deeply understand the characteristics of soil freeze–thaw water–heat change in the alpine grassland in the Duogerong Basin of the Yellow River source, the soil water–heat profile change monitoring was carried out based on the fie...

  • Article
  • Open Access
18 Citations
4,187 Views
13 Pages

29 January 2021

High–arsenic (As) groundwater poses a serious threat to human health. The upper and middle reaches of the Yellow River are well–known areas for the enrichment of high–arsenic groundwater. However, little is known about the distribut...

  • Article
  • Open Access
23 Citations
3,356 Views
17 Pages

By integrating multiple remote sensing data sources this study accurately assesses the spatiotemporal characteristics of changes in ecosystem service values (ESVs) in the Yellow River Basin from 2000 to 2015 through Theil-Sen median trend analysis an...

  • Article
  • Open Access
1 Citations
1,007 Views
20 Pages

2 March 2025

The watershed of the Yellow River is an important water conservation area in the Yellow River Basin. Its fragile ecological environment, climate change and unreasonable human activities have led to the continuous degradation of plant community struct...

  • Article
  • Open Access
5 Citations
2,579 Views
18 Pages

28 July 2023

Surveys show that rivers worldwide transport an annual sediment load of 15 billion tons into the sea, with the Yellow River Basin alone contributing 1.6 billion tons of sand. Therefore, understanding the wind and sand dynamics in the Yellow River Bas...

  • Article
  • Open Access
6 Citations
3,435 Views
25 Pages

Identifying the Driving Forces of Alpine Wetland Dynamic Changes in the Yellow River Source National Park from 2000 to 2020

  • Tao Ma,
  • Li Zhao,
  • Yandi She,
  • Bixia Hu,
  • Xueke Feng,
  • Jiancuo Gongbao,
  • Wei Zhang and
  • Zhizhong Zhao

12 July 2023

The Yellow River Source National Park (YRSNP), one of largest alpine wetlands in China which serves as the origin of the Yellow River, is situated in the heart of the Qinghai–Tibetan Plateau. The alpine wetland ecosystem, which is its primary e...

  • Article
  • Open Access
2 Citations
1,163 Views
17 Pages

23 February 2025

River sediments serve as both a source and a reservoir for potential heavy metal pollutants, providing critical insights into the health of aquatic ecosystems. Heavy metal contamination in global river systems poses significant risks to human health...

  • Article
  • Open Access
8 Citations
3,555 Views
17 Pages

Effects of Climate Change on Surface Runoff and Soil Moisture in the Source Region of the Yellow River

  • Jianhua Si,
  • Jianming Li,
  • Sujin Lu,
  • Xuejiao Qi,
  • Xiuzhi Zhang,
  • Wenjin Bao,
  • Xiaoyan Zhang,
  • Shipeng Zhou,
  • Cheng Jin and
  • Zhanqing Wang
  • + 3 authors

1 June 2023

The impact of climate change on surface runoff and soil moisture in the source region of the Yellow River is analyzed, which will provide a scientific basis for the rational use and protection of water resources in the source area. In this paper, the...

  • Article
  • Open Access
3 Citations
1,904 Views
19 Pages

27 May 2024

In the context of global climate change and ecological restoration projects, significant changes have been observed in the fractional vegetation cover (FVC) in the Yellow River basin. The increased vegetation growth accelerates water consumption, exa...

of 5