Evaluation and Prediction of Groundwater Quality in the Source Region of the Yellow River
Abstract
1. Introduction
2. Materials and Methods
2.1. Location of the Study Area
2.2. Data Collection and Measurement
2.3. Evaluation Method of Groundwater Quality
2.4. Methods for Groundwater Quality Prediction
2.5. Data Processing
3. Results
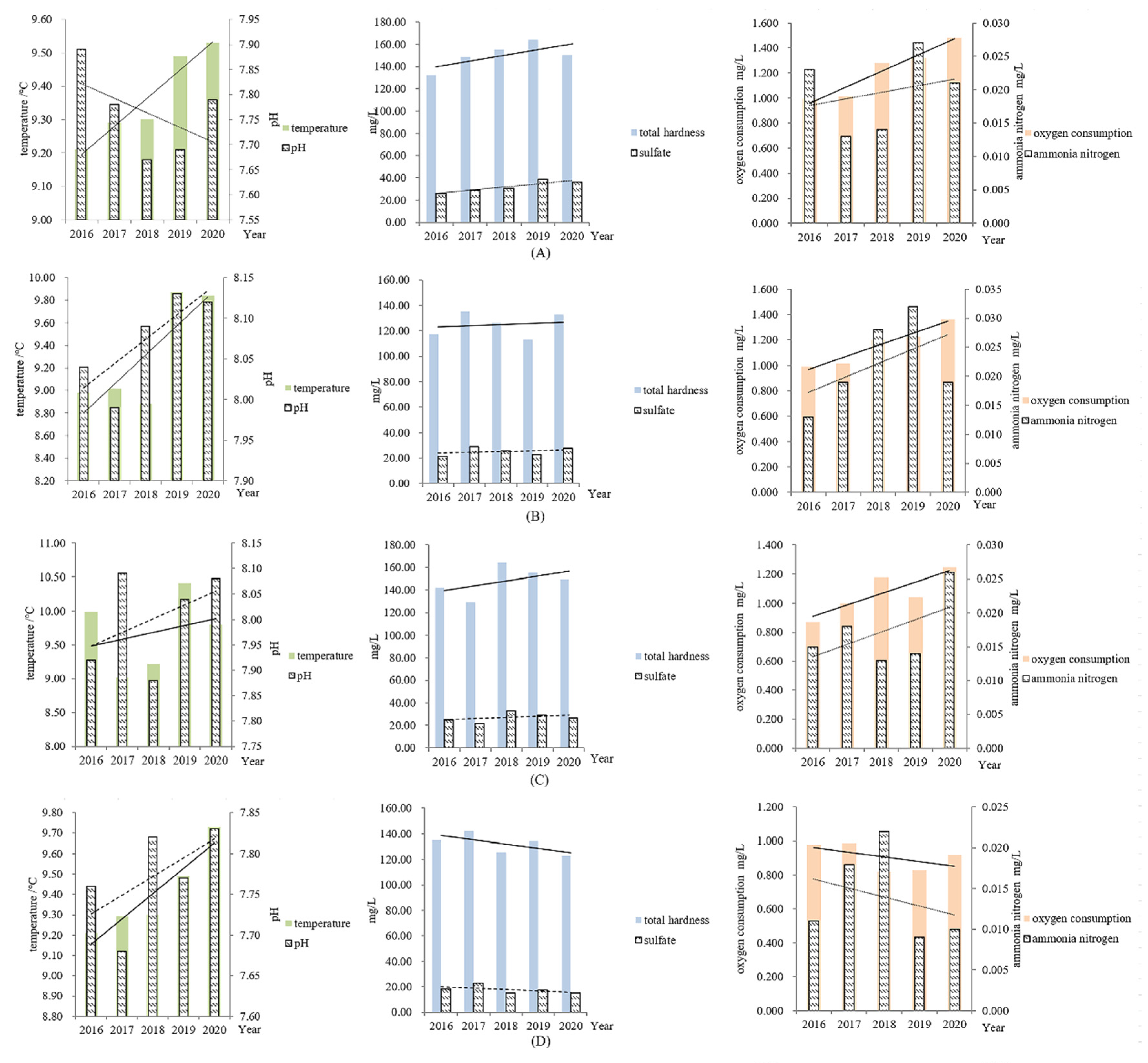
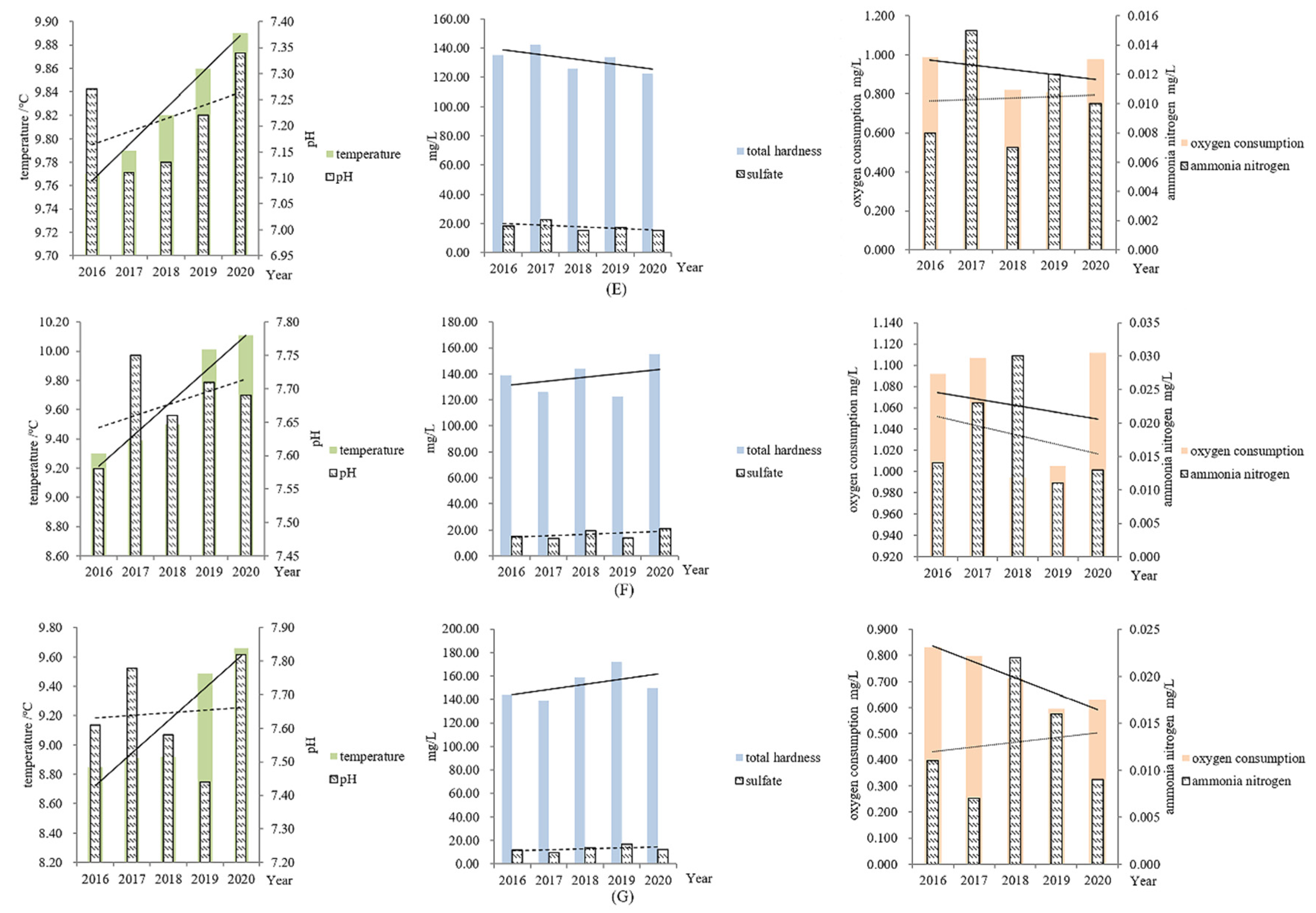
3.1. Analysis of Interannual Variation in Groundwater in the Source Region of the Yellow River
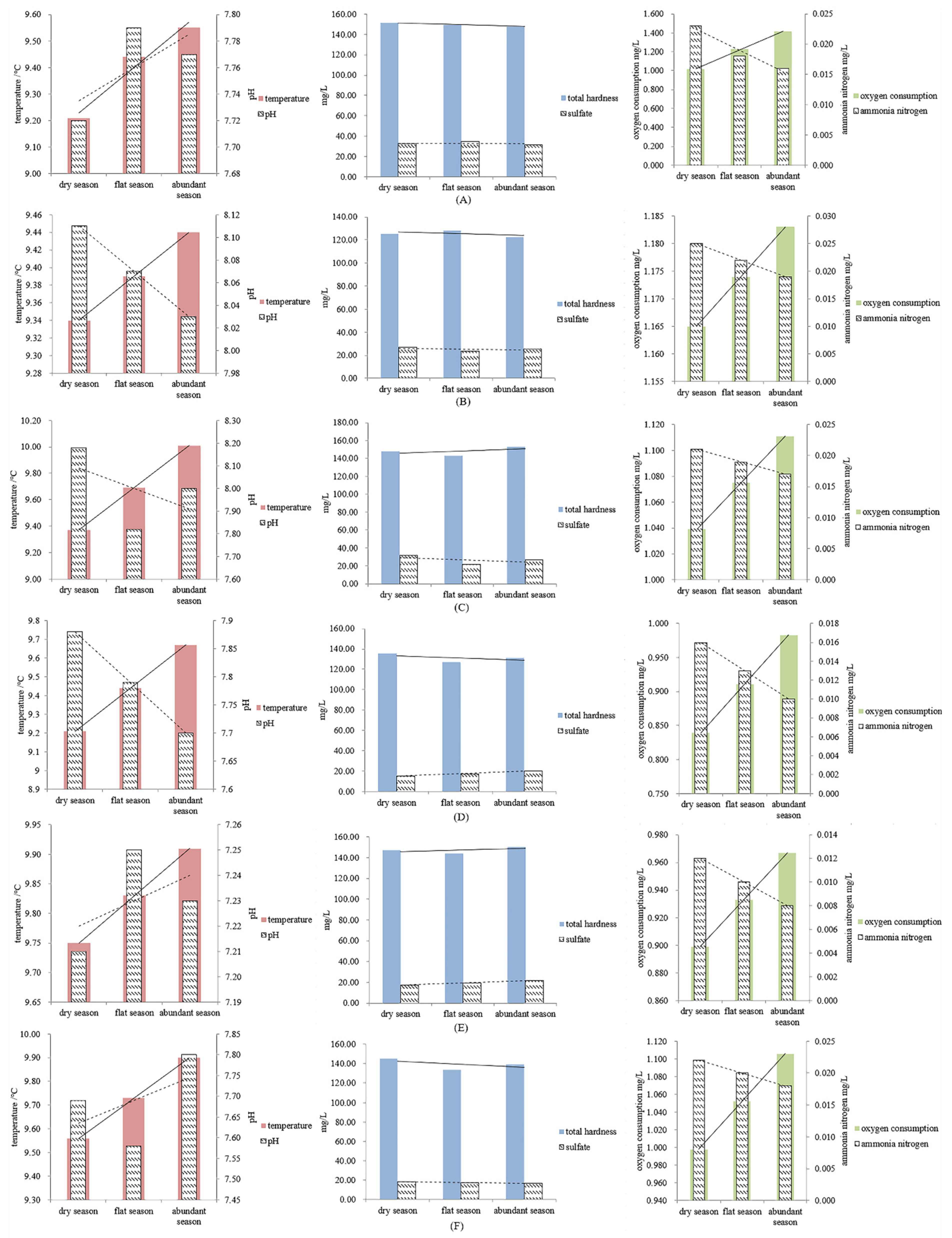
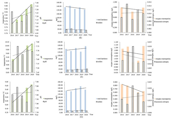
3.2. Analysis of Intraannual Variation of Groundwater in the Source Region of the Yellow River
3.3. Analysis of Single-Component Evaluation Method Evaluation Results
3.4. Analysis of Comprehensive Evaluation Method Evaluation Results
3.5. Prediction of Groundwater Quality in the Source Region of the Yellow River
4. Discussion
5. Concluding Remarks
- (1)
- From 2016 to 2020, the groundwater temperature, ammonia nitrogen and dissolved oxygen in the source region of the Yellow River all showed an increasing trend, while pH showed an obvious decreasing trend. The total hardness and sulfate content fluctuated up and down, but there was no obvious increasing or decreasing trend. The interannual water temperature and CODMn showed the trend of wet season > normal season > dry season. The ammonia nitrogen appeared in wet season < normal season < dry season.
- (2)
- From 2016 to 2020, the groundwater quality was excellent, and all the water quality indexes reached Class II and above standards of the “Groundwater Environmental Quality Standards” (GB/T14848-2017). However, the water quality in 2020 showed a trend of deterioration, which indicated that CODMn was the main pollutant in the source region of the Yellow River.
- (3)
- Under the future climate scenario, the increase rates of total nitrogen and total phosphorus are RCP 8.5 > RCP 4.5 > RCP 2.6, and the nitrogen and phosphorus contents of groundwater in the source region of the Yellow River show a gradually increasing trend.
- (4)
- In the context of climate change, it is urgent to formulate a scientific and reasonable groundwater protection and utilization strategy.
Author Contributions
Funding
Conflicts of Interest
References
- Xia, T. International Groundwater Research Program and Development Strategy Overview. Environ. Sci. Manag. 2019, 44, 1–5. [Google Scholar]
- Famiglietti, J.S. The Global Groundwater Crisis. Nat. Clim. Chang. 2014, 4, 945–948. [Google Scholar] [CrossRef]
- Richey, A.S.; Thomas, B.F.; Lo, M.H.; Famiglietti, J.S.; Swenson, S.; Rodell, M. Uncertainty in Global Groundwater Storage Estimates in a Total Groundwater Stress Framework. Water Resour. Res. 2015, 51, 5198–5216. [Google Scholar] [CrossRef]
- Ren, Y.; Wang, H. Water Resources Crisis and the Development of Water Industry. J. Shandong Univ. Sci. Technol. (Soc. Sci. Ed.) 2001, 4, 48–51. [Google Scholar]
- Wang, C. Global Water Crisis and Ecological Utilization of Water Resources. Ecol. Econ. 2014, 30, 4–7. [Google Scholar]
- Zhu, L. Research of Groundwater Pollution and Vulnerability in the City of Yulin and Its Surrounding Areas; Northwest University: Xi’an, China, 2012. [Google Scholar]
- Babiker, I.S.; Mohamed, M.; Hiyama, T. Assessing Groundwater Quality Using GIS. Water Resour. Manag. 2007, 21, 699–715. [Google Scholar] [CrossRef]
- El Osta, M.; Masoud, M.; Ezzeldin, H. Assessment of the geochemical evolution of groundwater quality near the El Kharga Oasis, Egypt using NETPATH and water quality indices. Environ. Earth Sci. 2020, 79, 1–18. [Google Scholar] [CrossRef]
- El Osta, M.; Masoud, M.; Alqarawy, A.; Elsayed, S.; Gad, M. Groundwater Suitability for Drinking and Irrigation Using Water Quality Indices and Multivariate Modeling in Makkah Al-Mukarramah Province, Saudi Arabia. Water 2022, 14, 483. [Google Scholar] [CrossRef]
- Aghajari, M.; Mozayyan, M.; Mokarram, M.; Chekan, A.A. Relationship between Groundwater Quality and Distance to Fault Using Adaptive Neuro Fuzzy Inference System (ANFIS) and Geostatistical Methods (Case Study: North of Fars Province). Spat. Inf. Res. 2019, 27, 529–538. [Google Scholar] [CrossRef]
- Zarinmehr, H.; Tizro, A.T.; Fryar, A.E.; Pour, M.K.; Fasihi, R. Prediction of groundwater level variations based on gravity recovery and climate experiment (GRACE) satellite data and a time-series analysis: A case study in the Lake Urmia basin, Iran. Environ. Earth Sci. 2022, 81, 1–11. [Google Scholar] [CrossRef]
- Chen, A.F.; Feng, Q.; Zhang, J.K.; Li, Z.S.; Wang, G. A Review of Climate Change Scenarios for Impacts Process Study. Geogr. Sci. 2015, 35, 84–90. [Google Scholar]
- Zhai, Y.; Li, Y.; Xu, Y. Characteristics of Arid Climate Change in Northern China under RCPs Scenario. Plateau Meteorol. 2016, 35, 94–106. [Google Scholar]
- Yuan, Z.; Xu, H.; Ye, X. Discussion on the Accuracy of Medium and Long-Term Groundwater Quality Forecasts: Taking Xi’an as an example. Hydrogeol. Eng. Geol. 1996, 23, 8–10. [Google Scholar]
- Deng, J. The Basic Method of Grey System; Huazhong University of Science and Technology Press: Wuhan, China, 1987. [Google Scholar]
- Qin, D. China’s Climate and Environment Evolution. Civilization 2005, 12, 10–11. [Google Scholar]
- Taylor, K.E.; Stouffer, R.J.; Meehl, G.A. An Overview of CMIP5 and the Experiment Design. Bull. Am. Meteorol. Soc. 2011, 93, 485–498. [Google Scholar]
- Van Vuuren, D.P.; Edmonds, J.; Kainuma, M.; Riahi, K.; Thomson, A.; Hibbard, K.; Hurtt, G.C.; Kram, T.; Krey, V.; Lamarque, J.F.; et al. The Representative Concentration Pathways: An Overview. Clim. Chang. 2011, 109, 5–31. [Google Scholar] [CrossRef]
- Li, Z.; Lan, M. Prediction and uncertainties of extreme precipitation over the Yangtze River valley in the early 21st century. Acta Meteorol. Sci. 2018, 76, 47–61. [Google Scholar]
- Han, L.; Han, Z.; Li, S. Projection of heavy rainfall events in the middle and lower reaches of the Yangtze River valley in the 21st century under different representative concentration pathways. J. Atmos. Sci. 2014, 37, 529–540. [Google Scholar]
- Yao, S.; Jiang, D.; Fan, G. Projection of Precipitation Seasonality over China. Atmos. Sci. 2018, 42, 1378–1392. [Google Scholar]
- Cheng, X. Prediction of spatio-temporal characteristics of temperature and precipitation over the upstream of the Yangtze River basin based on CMIP5 mode. Hydropower Energy Sci. 2019, 37, 13–16. [Google Scholar]
- Jin, H.; Qin, J.; Zhen, Q.; Dong, X.; Hao, Z. Future climate change prediction in the source region of Yangtze River based on integrated method. Water Power 2019, 45, 9–13. [Google Scholar]
- Wang, Z. Retrospect and Prospect of Distributed Hydrological Model. Green Sci. Technol. 2018, 18, 154–155. [Google Scholar]
- Meshesha, T.W.; Wang, J.; Melaku, N.D.; McClain, C.N. Modelling groundwater quality of the Athabasca River Basin in the subarctic region using a modified SWAT model. Sci. Rep. 2021, 11, 1–12. [Google Scholar] [CrossRef] [PubMed]
- Meshesha, T.W.; Wang, J.; Melaku, N.D. Modelling spatiotemporal patterns of water quality and its impacts on aquatic ecosystem in the cold climate region of Alberta, Canada. J. Hydrol. 2020, 587, 124952. [Google Scholar] [CrossRef]
- Luo, Y.; He, C.; Sophocleous, M.; Yin, Z.; Hongrui, R.; Ouyang, Z. Assessment of crop growth and soil water modules in SWAT2000 using extensive field experiment data in an irrigation district of the Yellow River Basin. J. Hydrol. 2008, 352, 139–156. [Google Scholar] [CrossRef]
- Guzman, J.A.; Moriasi, D.N.; Gowda, P.H.; Steiner, J.L.; Starks, P.J.; Arnold, J.G.; Srinivasan, R. A model integration framework for linking SWAT and MODFLOW. Environ. Model. Softw. 2015, 73, 103–116. [Google Scholar] [CrossRef]
- Wang, G.; Jin, J.; Bao, Z.; Liu, C.; Yan, X. Impact of Climate Change on Water Resources and Adaptation Strategies in the Main Grain Production Belt of the North China. Chin. J. Eco-Agric. 2014, 22, 898–903. [Google Scholar]
- Zhan, C.; Ning, L.; Zou, J.; Han, J. A Review on the Fully Coupled Atmosphere-hydrology simulations. Acta Geogr. Sin. 2018, 73, 893–905. [Google Scholar]
- Song, X. Effects on Climate Change and Human Activities on the Hydrological Processes of the Xilinhe River; Inner Mongolia Agricultural University: Hohhot, China, 2016. [Google Scholar]
- Zheng, W.; Yang, X.; Cheng, X.; Wang, Y.; Zhang, M. Prediction of Major Cycle change over Upper Yangtze River based on CMIP5 and VIC model. Hydrology 2018, 38, 48–53. [Google Scholar]
- Wang, J.; Kumar Shrestha, N.; Aghajani Delavar, M.; Worku Meshesha, T.; Bhanja, S.N. Modelling watershed and river basin processes in cold climate regions: A review. Water 2021, 13, 518. [Google Scholar] [CrossRef]
- Meshesha, T.W.; Wang, J.; Melaku, N.D. A modified hydrological model for assessing effect of pH on fate and transport of Escherichia coli in the Athabasca River basin. J. Hydrol. 2020, 582, 124513. [Google Scholar] [CrossRef]
- Zhang, S.; Li, Y. Decline in regional Groundwater Level and Related Environment Problems in the Head Water Area of the Yellow River. Hydrogeol. Eng. Geol. 2009, 6, 109–113. [Google Scholar]
- Wang, J.; Li, J.; Zhang, R. Generation Method of Climate Scene Based in the Headwater Regions of the Yellow River. Yellow River 2012, 34, 35–37. [Google Scholar]
- Mo, X.; Liu, S.; Hu, S. Co-evolution of climate-vegetation-hydrology and its mechanisms in the source region of Yellow River. Acta Geogr. Sin. 2022, 77, 1730–1744. [Google Scholar]
- Zhou, M. Application and comparative study of several evaluation methods for water quality in surface water evaluation. Water Resour. Dev. Manag. 2022, 8, 50–55. [Google Scholar]
- Zhuang, F.; Guo, Z.; Zhao, H. Evaluation of shallow groundwater quality in Liaocheng City and suggested countermeasures. Shandong Water Resour. 2022, 9, 54–55. [Google Scholar]
- Cao, X.; Liu, H. Quality Analysis of Groundwater in Ningxia. Ningxia Eng. Technol. 2004, 3, 385–388. [Google Scholar]
- Shi, L.; Zhao, X.; Ni, T.; Yang, Y.; Dou, X.; Han, D.; Bai, Z. Surface water quality in the source area of the Yellow River from the three Rivers in Qinghai Province. Guizhou Agric. Sci. 2012, 40, 220–223. [Google Scholar]
- Yang, W.; Lai, Z.; Zeng, Y.; Shuai, F.; Li, H.; Wang, C. Spatial-temporal characteristics of CODMn in Surface Water of Middle and Downstream of the Pearl River and Water Environment Evaluations. Acta Eco-Environ. Sci. 2017, 45, 643–648. [Google Scholar]
- Liu, Q.; Lai, Z.; Li, Y. Dynamic Patterns of the Permanganate Index from 2017 to 2018 in Surface Waters of the Mainstream of the Xijiang River of Water Environmental Evaluations. J. Fish. Sci. 2019, 13, 1194–1204. [Google Scholar]
- Li, Y.; Dou, B.; Chen, Z. Study on Evaluation and Prediction Methods of Groundwater Quality. Land Resour. Shandong 2015, 31, 33–36. [Google Scholar]
- Xia, X.; Yang, Z.; Wu, Y. Incorporating Eco-environmental Water Requirements in Integrated Evaluation of Water Quality and Quantity—A Study for the Yellow River. Water Resour. Manag. 2009, 23, 1067–1079. [Google Scholar] [CrossRef]
- Chaudhari, A.N.; Mehta, D.J.; Sharma, N.D. Coupled effect of seawater intrusion on groundwater quality: Study of South-West zone of Surat city. Water Supply 2022, 22, 1716–1734. [Google Scholar] [CrossRef]
- Mehta, D.; Chauhan, P.; Prajapati, K. Assessment of ground water quality index status in Surat City. In Proceedings of the Next Frontiers in Civil Engineering: Sustainable and Resilient Infrastructure, Mumbai, India, 30 November–1 December 2018. [Google Scholar]
- Xu, C.; Tang, S.; Huang, J. Analysis on Evaluation and Pollution of Groundwater Quality in the Shallow Aquifer of Henan Section in the Lower Reaches of Huang River. Groundwater 2009, 31, 97–101. [Google Scholar]
- Liu, M. Simulation and Prediction of Climate Change in Eastern China and Assessment of the Response of Hydrology and Water Quality in a Typical Watershed; Zhejiang University: Zhejiang, China, 2015. [Google Scholar]
- Shi, Y. Climate Change in the Head Regions of the Yellow River and Its Effects on Water Resources; Hohai University: Nanjing, China, 2006. [Google Scholar]
- Almazroui, M.; Saeed, F.; Saeed, S.; Ismail, M.; Ehsan, M.A.; Islam, M.N.; Abid, M.A.; O’Brien, E.; Kamil, S.; Rashid, I.U.; et al. Projected changes in climate extremes using CMIP6 simulations over SREX regions. Earth Syst. Environ. 2021, 5, 481–497. [Google Scholar] [CrossRef]
- Almazroui, M.; Saeed, F.; Saeed, S.; Nazrul Islam, M.; Ismail, M.; Klutse, N.A.B.; Siddiqui, M.H. Projected change in temperature and precipitation over Africa from CMIP6. Earth Syst. Environ. 2020, 4, 455–475. [Google Scholar] [CrossRef]










| Serial Number | Observation Point | Longitude | Latitude | Altitude/m |
|---|---|---|---|---|
| The first monitoring point | The first groundwater area at TongDe junction of 101 provincial highway | 100°34.847′ | 35°15.215′ | 3233 |
| The second monitoring point | The second groundwater area at TongDe junction of 101 provincial highway | 101°41.583′ | 33°46.097′ | 3517 |
| The third monitoring point | The first groundwater area at the head of LuanShitou | 101°33.200′ | 33°40.760′ | 3928 |
| The fourth monitoring point | The second groundwater area at the head of LuanShitou (at 845 km of 101 provincial highway) | 101°11.505′ | 33°26.236′ | 4045 |
| The fifth monitoring point | The groundwater in LaoDeang township (at 636 km of 101 provincial highway) | 100°68.997′ | 33°15.255′ | 4173 |
| The sixth monitoring point | The groundwater in WoSai township (the 23 km from DaRi county) | 99°46.517′ | 33°39.595′ | 4029 |
| The seventh monitoring point | The groundwater in the southern part of Xingxinghai River (at 508 km of 214 National Highway) | 98°08.074′ | 34°45.364′ | 4283 |
| Monitoring Items | Determined Methods |
|---|---|
| temperature | Merck 3401 portable multi-parameter tester (WTW) |
| pH | Merck 3401 portable multi-parameter tester (WTW) |
| total hardness/(mg/L) | EDTA titration: Under pH = 10, disodium ethylenediamine tetraacetate (EDTA) reacts with calcium and magnesium ions in water to form a stable complex, and the indicator chrome black T can also form a wine-red complex with calcium and magnesium ions, and it is not as stable as that formed by EDTA with calcium and magnesium ions. When the titration is close to the end point, EDTA takes calcium and magnesium ions from the wine-red complex of chromium black T to make the chrome black T indicator free, and the solution changes from wine-red to blue. |
| ammonia nitrogen/(mg/L) | Na’s reagent spectrophotometry: Ammonia nitrogen in the form of free ammonia or ammonium ions reacts with Nessler’s reagent to form a light reddish-brown complex. The absorbance of the complex is directly proportional to the ammonia nitrogen content, and the absorbance is measured at the wavelength of 420 nm. |
| sulfate/(mg/L) | Sulfate gravimetric method: Sulfate forms barium sulfate precipitation with added barium chloride in hydrochloric acid solution. Precipitate at a temperature close to boiling; boil for at least 20min; filter after aging the precipitate; and wash the precipitate until there is no chloride ion. Dry or burn the precipitate, and weigh the barium sulfate after cooling. |
| oxygen consumption/(mg/L) | Acid potassium permanganate titration: Use potassium permanganate as oxidant. This oxidizes reducing substances in water under certain conditions, and the amount of potassium permanganate consumed can be calculated to represent oxygen consumption. |
| TN/(mg/L) | Determination of TN through basic potassium persulfate–UV spectrophotometric method |
| TP/(mg/L) | Determination of TP through ammonium molybdate spectrophotometry |
| Category | I | II | III | IV | V | |
|---|---|---|---|---|---|---|
| Index | ||||||
| pH | 6.5 ≤ pH ≤ 8.5 | 5.5 ≤ pH < 6.5 8.5 < pH ≤ 9.0 | pH < 5.5 or pH > 9.0 | |||
| Total hardness/(mg/L) | ≤150 | ≤300 | ≤450 | ≤650 | >650 | |
| Oxygen consumption/(mg/L) | ≤1.0 | ≤2.0 | ≤3.0 | ≤10.0 | >10.0 | |
| Sulfate/(mg/L) | ≤50 | ≤150 | ≤250 | ≤350 | >350 | |
| Ammonia nitrogen/(mg/ L) | ≤0.02 | ≤0.10 | ≤0.50 | ≤1.50 | >1.50 | |
| Category | I | II | III | IV | V |
|---|---|---|---|---|---|
| Fi | 0 | 1 | 3 | 6 | 10 |
| Water Quality Level | Excellent | Good | Not Bad | Poor | Very Poor |
|---|---|---|---|---|---|
| F | <0.80 | 0.80–2.50 | 2.50–4.25 | 4.25–7.20 | >7.20 |
| Model | Research institution | Resolution |
|---|---|---|
| Beijjng Climate Center Climate System Model version 1 (BCC-CSM1-1) | BBC, China Meteorological Administration, China | 128 × 64 |
| Bejing Normal University Earth System Model (BNU-ESM) | The College of Global Change and Earth System Science (GCESS), BNU, China | 128 × 64 |
| Canadian Earth System Model version 2 (CanESM2) | Canadian Centre for Climate Modelling and Analysis, Canada | 128 × 64 |
| The Community Climate System Model version 4 (CCSM4) | National Center for Atmospheric Research, USA | 288 × 192 |
| Centre National de Recherches Meteorologiques Climate Model version 5 (CNRM-CM5) | CNRM/Centre Europeen de Recherche et Formation Avancees en Calcul Scientifque, France | 256 × 128 |
| Commonwealth Scientific and Industrial Research Organization Mark Climate Model version 3.6 (CSIRO-MK3-6-0) | CSIRO in collaboration with Queensland Climate Change Centre of Excellence, Australia | 192 × 96 |
| Flexible Global Ocean- Atmosphere-Land System Model-grid version 2 (FGOALS-g2) | State Key Laboratory of Numerical Modeling for Atmospheric Sciences and Geophysical Fluid Dynamics, Institute of Atmospheric Physics, Chinese Academy of Sciences, and Tsinghua University, China | 128 × 60 |
| The First Institution of Oceanography Earth System Model (FIO-ESM) | FIO, State Oceanic Administration (SOA),Qingdao, China | 128 × 64 |
| Geophysical Fluid Dynamics Laboratory Climate Model version 3 (GFDL-CM3) | GFDL, National Oceanic and Atmospheric Administration. USA | 144 × 90 |
| Geophysical Fluid Dynamics Laboratory Earth System Model version 2 with Generalized Ocean Layer Dynamics(GOLD) code base (GFDL-ESM2G) | GFDL, National Oceanic and Atmospheric Administration, USA | 144 × 90 |
| Geophysical Fluid Dynamics Laboratory Earth System Model version 2 with Modular Ocean Model version 4.1 (GFDL-ESM2M) | GFDL, National Oceanic and Atmospheric Administration, USA | 144 × 90 |
| Goddard Institute for Space Studies Model E version 2 with Hycoml ocean model (GISS-E2-H) | GISS, National Aeronautics and Space Administration, USA | 144 × 90 |
| Goddard Institute for Space Studies Model E version 2 with Russell ocean model (GISS-E2-R) | GISS, National Aeronautics and Space Administration, USA | 144 × 90 |
| the Met Office Hadley Centre Global Environment Models version 2 with the new atmosphere-ocean component model (HadGEM2-AO) | Jointly with Met Office Hadley Centre and National Institute of Meteorological Research (NIMR). Korea MeteorologicalAdministration (KMA), Seoul, South Korea | 192 × 145 |
| Institut Pierre Simon Laplace Climate Model 5A-Low Resolution (IPSL-CM5A-LR) | IPSL, France | 96 × 96 |
| Model for Interdisciplinary Research on Climate-Earth System, version 5 (MIROC5) | Atmosphere and Ocean Research Institute(AORI), National Institute for Environmental Studies (NIES) Japan Agency for Marine-Earth Science and Technology, Kanagawa (JAMSTEC), Japan | 256 × 128 |
| Model for Interdisciplinary Research on Climate-Earth System (MIROC-ESM) | JAMSTEC, AORI, and NIES, Japan | 128 × 64 |
| Atmospheric Chemistry Coupled Version of Model for Interdisciplinary Research on Climate-Earth System(MIROC-ESM-CHEM) | JAMSTEC, AORI, and NIES, Japan | 128 × 64 |
| Max-Planck Institute Earth System Model-Low Resolution (MPI-ESM-LR) | MPI for Meteorology, Germany | 192 × 96 |
| Meteorological Research Institute Coupled General Circulation Model version 3 (MRI-CGCM3) | MRI, Japan | 320 × 160 |
| The Norwegian Earth System Model version I with Intermediate Resolution(NorESM1-M) | Norwegian Climate Centre, Norway | 144 × 96 |
| Year | 2016 | 2017 | 2018 | 2019 | 2020 | |
|---|---|---|---|---|---|---|
| Index | ||||||
| pH | I | I | I | I | I | |
| Total hardness/(mg/L) | I | I | I | I | I | |
| Oxygen consumption/(mg/L) | I | I | I | I | II | |
| Sulfate/(mg/L) | I | I | I | I | I | |
| Ammonia nitrogen/(mg/L) | I | I | I | I | I | |
| Year | Integrated Rating F | Water Quality |
|---|---|---|
| 2016 | 0.00 | Good |
| 2017 | 0.00 | Good |
| 2018 | 0.00 | Good |
| 2019 | 0.00 | Good |
| 2020 | 0.72 | Good |
Publisher’s Note: MDPI stays neutral with regard to jurisdictional claims in published maps and institutional affiliations. |
© 2022 by the authors. Licensee MDPI, Basel, Switzerland. This article is an open access article distributed under the terms and conditions of the Creative Commons Attribution (CC BY) license (https://creativecommons.org/licenses/by/4.0/).
Share and Cite
Si, J.; Li, J.; Yang, Y.; Qi, X.; Li, J.; Liu, Z.; Li, M.; Lu, S.; Qi, Y.; Jin, C.; et al. Evaluation and Prediction of Groundwater Quality in the Source Region of the Yellow River. Water 2022, 14, 3946. https://doi.org/10.3390/w14233946
Si J, Li J, Yang Y, Qi X, Li J, Liu Z, Li M, Lu S, Qi Y, Jin C, et al. Evaluation and Prediction of Groundwater Quality in the Source Region of the Yellow River. Water. 2022; 14(23):3946. https://doi.org/10.3390/w14233946
Chicago/Turabian StyleSi, Jianhua, Jianming Li, Ying Yang, Xuejiao Qi, Jiajun Li, Zenghui Liu, Mengyuan Li, Sujin Lu, Yue Qi, Cheng Jin, and et al. 2022. "Evaluation and Prediction of Groundwater Quality in the Source Region of the Yellow River" Water 14, no. 23: 3946. https://doi.org/10.3390/w14233946
APA StyleSi, J., Li, J., Yang, Y., Qi, X., Li, J., Liu, Z., Li, M., Lu, S., Qi, Y., Jin, C., Qi, L., Yi, B., & Wang, Y. (2022). Evaluation and Prediction of Groundwater Quality in the Source Region of the Yellow River. Water, 14(23), 3946. https://doi.org/10.3390/w14233946

