Journal Description
Chemosensors
Chemosensors
is an international, scientific, peer-reviewed, open access journal on the science and technology of chemical sensors and related analytical methods and systems, published monthly online by MDPI.
- Open Access— free for readers, with article processing charges (APC) paid by authors or their institutions.
- High Visibility: indexed within Scopus, SCIE (Web of Science), CAPlus / SciFinder, Inspec, and other databases.
- Journal Rank: JCR - Q1 (Instruments & Instrumentation)
- Rapid Publication: manuscripts are peer-reviewed and a first decision is provided to authors approximately 14.7 days after submission; acceptance to publication is undertaken in 2.6 days (median values for papers published in this journal in the second half of 2022).
- Recognition of Reviewers: reviewers who provide timely, thorough peer-review reports receive vouchers entitling them to a discount on the APC of their next publication in any MDPI journal, in appreciation of the work done.
Impact Factor:
4.229 (2021);
5-Year Impact Factor:
4.211 (2021)
Latest Articles
Transparent and High-Performance Extended Gate Ion-Sensitive Field-Effect Transistors Using Electrospun Indium Tin Oxide Nanofibers
Chemosensors 2023, 11(6), 319; https://doi.org/10.3390/chemosensors11060319 - 25 May 2023
Abstract
Herein, we propose a transparent high-performance extended-gate ion-sensitive field-effect transistor (EG-ISFET) using an electrospun indium-tin-oxide (ITO) nanofiber sensing membrane with a high specific surface area. Electrospinning is a simple and effective technique for forming nanofibers. Nevertheless, one-step calcination, such as conventional thermal annealing
[...] Read more.
Herein, we propose a transparent high-performance extended-gate ion-sensitive field-effect transistor (EG-ISFET) using an electrospun indium-tin-oxide (ITO) nanofiber sensing membrane with a high specific surface area. Electrospinning is a simple and effective technique for forming nanofibers. Nevertheless, one-step calcination, such as conventional thermal annealing or microwave annealing, cannot sufficiently eliminate the inherent defects of nanofibers. In this study, we efficiently removed residual polymers and internal impurities from nanofibers via a two-step calcination process involving combustion and microwave annealing. Moreover, Ar plasma treatment was performed to improve the electrical characteristics of ITO nanofibers. Conformally coated thin-film sensing membranes were prepared as a comparative group and subjected to the same calcination conditions to verify the effect of the nanofiber sensing membrane. The characteristics of the ITO nanofiber and ITO thin-film sensing membranes were evaluated using scanning electron microscopy (SEM), X-ray diffraction (XRD), X-ray photoelectron spectroscopy (XPS), optical transmittance, and conductivity. Moreover, the sensor operation of the EG-ISFETs is evaluated in terms of sensitivity and non-ideal behaviors. The optimized process improves the sensor characteristics and sensing membrane quality. Therefore, the ITO nanofiber sensing membrane improves the sensitivity and stability of the EG-ISFET, suggesting its applicability as a high-performance biochemical sensor.
Full article
(This article belongs to the Special Issue Chemosensors in Biological Challenges)
►
Show Figures
Open AccessReview
Molecularly Imprinted Plasmonic Sensors for the Determination of Environmental Water Contaminants: A Review
Chemosensors 2023, 11(6), 318; https://doi.org/10.3390/chemosensors11060318 - 24 May 2023
Abstract
The scarcity of clean water leads to the exploration of the possibility of using treated wastewater. However, monitoring campaigns have proven the presence of emerging contaminants, such as pharmaceuticals, pesticides and personal care products, not only in trace amounts. Various analytical methodologies have
[...] Read more.
The scarcity of clean water leads to the exploration of the possibility of using treated wastewater. However, monitoring campaigns have proven the presence of emerging contaminants, such as pharmaceuticals, pesticides and personal care products, not only in trace amounts. Various analytical methodologies have been developed over the last years for the quantification of these compounds in environmental waters. Facing the need to achieve a higher sensitivity, fast response and practical use via miniaturization, the potential of plasmonic sensors has been explored. Through the introduction of molecularly imprinted polymers (MIPs) as recognition elements, MIP-based plasmonic sensors seem to be a good alternative for monitoring a wide range of analytes in water samples. This work attempts to provide a general overview of this form of sensor, which has been reported as being able to sense different contaminants in waters using surface plasmon resonance (SPR) and surface-enhanced Raman-scattering (SERS) techniques. Particular emphasis is given to the fabrication/recognition procedure, including the preparation of MIPs and the use of metals and nanomaterials to increase the performance characteristics of the sensors.
Full article
(This article belongs to the Special Issue Molecularly Imprinted Plasmonic Sensor)
►▼
Show Figures

Figure 1
Open AccessReview
The Role of Nano-Sensors in Breath Analysis for Early and Non-Invasive Disease Diagnosis
by
, , , , , , , , , and
Chemosensors 2023, 11(6), 317; https://doi.org/10.3390/chemosensors11060317 - 24 May 2023
Abstract
Early-stage, precise disease diagnosis and treatment has been a crucial topic of scientific discussion since time immemorial. When these factors are combined with experience and scientific knowledge, they can benefit not only the patient, but also, by extension, the entire health system. The
[...] Read more.
Early-stage, precise disease diagnosis and treatment has been a crucial topic of scientific discussion since time immemorial. When these factors are combined with experience and scientific knowledge, they can benefit not only the patient, but also, by extension, the entire health system. The development of rapidly growing novel technologies allows for accurate diagnosis and treatment of disease. Nanomedicine can contribute to exhaled breath analysis (EBA) for disease diagnosis, providing nanomaterials and improving sensing performance and detection sensitivity. Through EBA, gas-based nano-sensors might be applied for the detection of various essential diseases, since some of their metabolic products are detectable and measurable in the exhaled breath. The design and development of innovative nanomaterial-based sensor devices for the detection of specific biomarkers in breath samples has emerged as a promising research field for the non-invasive accurate diagnosis of several diseases. EBA would be an inexpensive and widely available commercial tool that could also be used as a disease self-test kit. Thus, it could guide patients to the proper specialty, bypassing those expensive tests, resulting, hence, in earlier diagnosis, treatment, and thus a better quality of life. In this review, some of the most prevalent types of sensors used in breath-sample analysis are presented in parallel with the common diseases that might be diagnosed through EBA, highlighting the impact of incorporating new technological achievements in the clinical routine.
Full article
(This article belongs to the Section (Bio)chemical Sensing)
►▼
Show Figures

Figure 1
Open AccessArticle
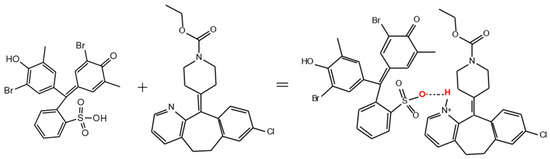
Near-Infrared Fluorescence Probe for Visualizing Fluctuations of Peroxynitrite in Living Cells and Inflammatory Mouse Models
Chemosensors 2023, 11(6), 316; https://doi.org/10.3390/chemosensors11060316 - 24 May 2023
Abstract
Inflammation is a vital protective response in living systems and closely related to various diseases. As a member of the reactive oxygen species (ROS) family, peroxynitrite (ONOO−) is involved in the organism’s inflammatory process and considered as an important biomarker of
[...] Read more.
Inflammation is a vital protective response in living systems and closely related to various diseases. As a member of the reactive oxygen species (ROS) family, peroxynitrite (ONOO−) is involved in the organism’s inflammatory process and considered as an important biomarker of inflammation. Therefore, the construction of a simple, rapid, and sensitive tool for detecting ONOO− is of great importance for the diagnosis of inflammation. In this study, we constructed the new near-infrared fluorescence probe BDP-ENE-S-Py+ based on BODIPY dye, which has the advantages of fast response speed (2 min), good selectivity, and a high signal-to-noise ratio. Moreover, the probe had a good linear relationship (LOD = 120 nM) when the ONOO− concentration was 10–35 µM. In addition, BDP-ENE-S-Py+ could detect exogenous ONOO− in liver cancer cells without interference from other reactive oxygen species and visualize the fluctuations in ONOO− concentrations in cells. More importantly, BDP-ENE-S-Py+ was able to track the upregulation of ONOO− content in a mouse model of peritonitis induced by LPS. This work demonstrated that the near-infrared fluorescent probe for visualizing ONOO− level fluctuations could provide a promising tool for inflammation-related studies.
Full article
(This article belongs to the Special Issue A Theme Issue in Honor of Dr. Richard Horobin—Cell or Organelle Selective Fluorescent Probes: Their Design, Mechanism, Modeling and Application)
►▼
Show Figures

Figure 1
Open AccessArticle
UIO-66/Ag/TiO2 Nanocomposites as Highly Active SERS Substrates for Quantitative Detection of Hexavalent Chromium
Chemosensors 2023, 11(6), 315; https://doi.org/10.3390/chemosensors11060315 - 24 May 2023
Abstract
Sensitive determination of Cr(VI) is of great importance as this is one of the most toxic heavy metal ions in the environment. In this work, a metal–organic framework (MOF) material, UIO-66 (University of Oslo, UIO), was introduced for the first time to develop
[...] Read more.
Sensitive determination of Cr(VI) is of great importance as this is one of the most toxic heavy metal ions in the environment. In this work, a metal–organic framework (MOF) material, UIO-66 (University of Oslo, UIO), was introduced for the first time to develop a composite substrate, UIO-66/Ag/TiO2, for the sensitive SERS detection of Cr(VI) in water. The composition, morphology, crystal structure and optical property of the UIO-66/Ag/TiO2 were characterized by SEM, XRD, EDX, UV-Vis and Raman spectroscopy. The control experiment revealed the introduction of UIO-66 and TiO2 can improve the adsorption to Cr ions and thus greatly enhance the SERS signal of Cr(VI) on this composite substrate. The SERS signal can also be tuned by changing the dosage of TiO2. Under optimized conditions, UIO-66/Ag/TiO2 was used to detect Cr(VI) in water with different concentrations, which showed high sensitivity and good stability. The SERS signals showed a linear increase as the concentration of Cr(VI) increases from 5 × 10−9 M to 5 × 10−6 M. The detection limit was 5 nM, which was lower than the safe drinking water standard of the US Environmental Protection Agency (1 μM). Detection of Cr(VI) in the range of 1 × 10−7 M to 5 × 10−6 M in real lake water was also achieved. These results demonstrate the great potential of UIO-66/Ag/TiO2 composites as SERS substrates for the trace determination of Cr(VI) in the environmental field.
Full article
(This article belongs to the Special Issue Metal/Covalent Organic Frameworks for Sensing: Recent Research and Future Prospects)
►▼
Show Figures

Figure 1
Open AccessArticle
Electrochemical Sensitivity Improvement by the Cooperation between Pt and Ru for Total Antioxidant Evaluation in Natural Extracts
by
, , , , , , , , and
Chemosensors 2023, 11(6), 314; https://doi.org/10.3390/chemosensors11060314 - 23 May 2023
Abstract
Herein, a straightforward electrochemical method was used to evaluate the total phenolic antioxidant capacity in natural extracts prepared from pomegranate, hibiscus, and pitaya. In light of this, the well-known electrochemical index (EI), a screening protocol for natural antioxidant properties evaluation, was determined using
[...] Read more.
Herein, a straightforward electrochemical method was used to evaluate the total phenolic antioxidant capacity in natural extracts prepared from pomegranate, hibiscus, and pitaya. In light of this, the well-known electrochemical index (EI), a screening protocol for natural antioxidant properties evaluation, was determined using differential pulse voltammetry. Initially considering rutin and catechin as standards, we found that the system’s sensitivity greatly increased by using platinum (Pt) and platinum/ruthenium (Pt/Ru) nanoparticles (NPs) immobilized on Vulcan XC-72 to modify screen-printed carbon electrodes (SPCEs). When such modifications were applied to natural fruit/plant extracts, their electrochemical ability proved highly superior to the bare SPCE, even considering a very small amount of materials for electrode preparation. However, with an optimized ratio, the bimetallic counterpart was more sensitive to detection. When the pomegranate extract was used, for example, EI values of 52.51 ± 6.00 and 104.79 ± 6.89 µA/V were obtained using Pt and Pt/Ru (with an optimized ratio) electrocatalysts, showing the remarkable sensitivity increase obtained in our bimetallic protocol. Thus, based on physicochemical and electrochemical characterizations, we found that the ruthenium content was essential for the achievements. In due course, XPS analysis suggested that the Pt2+/Pt0 species ratio could have improved the system’s sensitivity, which significantly changed when ruthenium was used in the material.
Full article
(This article belongs to the Special Issue Nanoparticles in Chemical and Biological Sensing)
►▼
Show Figures

Figure 1
Open AccessArticle
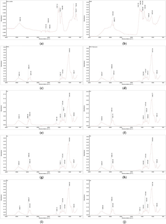
Novel Robust Internal Calibration Procedure for Precise FT-IR Measurements of Nitrogen Impurities in Diamonds
by
, , , , and
Chemosensors 2023, 11(6), 313; https://doi.org/10.3390/chemosensors11060313 - 23 May 2023
Abstract
FT-IR spectroscopy is the basic finger-print method for qualitative and quantitative analysis of nitrogen, boron, and hydrogen impurities in natural and synthetic diamonds. In quantitative measurements of impurity concentrations, external standard samples are required for the calibration procedure during the analysis. In this
[...] Read more.
FT-IR spectroscopy is the basic finger-print method for qualitative and quantitative analysis of nitrogen, boron, and hydrogen impurities in natural and synthetic diamonds. In quantitative measurements of impurity concentrations, external standard samples are required for the calibration procedure during the analysis. In this study, the double-phonon mid-IR absorption coefficient of optical phonons of the diamond host matrix, the robust internal mid-IR absorption standard, was accurately measured for tens of diverse diamond samples, thus enabling precise calibrated measurements of ultra-low detectable impurity concentrations.
Full article
(This article belongs to the Special Issue Infrared Sensing Technology Based on Nanostructure and Nanomaterials)
►▼
Show Figures

Figure 1
Open AccessArticle
Modeling and Simulation of a TFET-Based Label-Free Biosensor with Enhanced Sensitivity
by
, , , , and
Chemosensors 2023, 11(5), 312; https://doi.org/10.3390/chemosensors11050312 - 22 May 2023
Abstract
This study discusses the use of a triple material gate (TMG) junctionless tunnel field-effect transistor (JLTFET) as a biosensor to identify different protein molecules. Among the plethora of existing types of biosensors, FET/TFET-based devices are fully compatible with conventional integrated circuits. JLTFETs are
[...] Read more.
This study discusses the use of a triple material gate (TMG) junctionless tunnel field-effect transistor (JLTFET) as a biosensor to identify different protein molecules. Among the plethora of existing types of biosensors, FET/TFET-based devices are fully compatible with conventional integrated circuits. JLTFETs are preferred over TFETs and JLFETs because of their ease of fabrication and superior biosensing performance. Biomolecules are trapped by cavities etched across the gates. An analytical mathematical model of a TMG asymmetrical hetero-dielectric JLTFET biosensor is derived here for the first time. The TCAD simulator is used to examine the performance of a dielectrically modulated label-free biosensor. The voltage and current sensitivity of the device and the effects of the cavity size, bioanalyte electric charge, fill factor, and location on the performance of the biosensor are also investigated. The relative current sensitivity of the biosensor is found to be about 1013. Besides showing an enhanced sensitivity compared with other FET- and TFET-based biosensors, the device proves itself convenient for low-power applications, thus opening up numerous directions for future research and applications.
Full article
(This article belongs to the Special Issue State-of-the-Art (Bio)chemical Sensors—Celebrating 10th Anniversary)
►▼
Show Figures

Figure 1
Open AccessArticle
Electrochemical Mercury Biosensor Based on Electrocatalytic Properties of Prussian Blue and Inhibition of Catalase
Chemosensors 2023, 11(5), 311; https://doi.org/10.3390/chemosensors11050311 - 22 May 2023
Abstract
This paper presents a detailed study of a novel type of electrochemical mercury ion (Hg2+) biosensor developed by combining Prussian blue (PB) and catalase (Cat). The simultaneous PB-catalyzed reduction of hydrogen peroxide and the inhibition of catalase by Hg2+ ions
[...] Read more.
This paper presents a detailed study of a novel type of electrochemical mercury ion (Hg2+) biosensor developed by combining Prussian blue (PB) and catalase (Cat). The simultaneous PB-catalyzed reduction of hydrogen peroxide and the inhibition of catalase by Hg2+ ions were used as the working principle of the biosensor. The biosensor described in this research was capable of detecting Hg2+ ions at relatively low potentials (+0.2 V vs. Ag|AgCl, KClsat) using chronoamperometry and a fast Fourier transform electrochemical impedance spectroscopy (FFT-EIS). Linear ranges of 0.07 mM–3 mM and 0.13 mM–0.80 mM of Hg2+ ions were obtained using amperometric and impedimetric techniques, respectively. In the course of this work, an amperometric study of the Hg2+ ion biosensor was also carried out on a real sample (tap water containing Hg2+ ions).
Full article
(This article belongs to the Section Applied Chemical Sensors)
►▼
Show Figures

Figure 1
Open AccessCommunication
Quantitative Structure-Activity Relationship of Fluorescent Probes and Their Intracellular Localizations
Chemosensors 2023, 11(5), 310; https://doi.org/10.3390/chemosensors11050310 - 22 May 2023
Abstract
The development of organelle-specific fluorescent probes has been impeded by the absence of a comprehensive understanding of the relationship between the physicochemical properties of fluorescent probes and their selectivity towards specific organelles. Although a few machine learning models have suggested several physicochemical parameters
[...] Read more.
The development of organelle-specific fluorescent probes has been impeded by the absence of a comprehensive understanding of the relationship between the physicochemical properties of fluorescent probes and their selectivity towards specific organelles. Although a few machine learning models have suggested several physicochemical parameters that control the target organelle of the probes and have attempted to predict the target organelles, they have been challenged by low accuracy and a limited range of applicable organelles. Herein, we report a multi-organelle prediction QSAR model that is capable of predicting the destination of probes among nine categories, including cytosol, endoplasmic reticulum, Golgi body, lipid droplet, lysosome, mitochondria, nucleus, plasma membrane, and no entry. The model is trained using the Random Forest algorithm with a dataset of 350 organelle-specific fluorescent probes and 786 descriptors, and it is able to predict the target organelles of fluorescent probes with an accuracy of 75%. The MDI analysis of the model identifies 38 key parameters that have a significant impact on the organelle selectivity of the probes, including LogD, pKa, hydrophilic-lipophilic balance (HLB), and topological polar surface area (TPSA). This prediction model may be useful in developing new organelle-specific fluorescent probes by providing crucial variables that determine the destination of the probes.
Full article
(This article belongs to the Special Issue A Theme Issue in Honor of Dr. Richard Horobin—Cell or Organelle Selective Fluorescent Probes: Their Design, Mechanism, Modeling and Application)
►▼
Show Figures

Figure 1
Open AccessArticle
A Novel Nanoplatform Based on Biofunctionalized [email protected] for Sensitive and Rapid Detection of Shigella
Chemosensors 2023, 11(5), 309; https://doi.org/10.3390/chemosensors11050309 - 20 May 2023
Abstract
Shigella, a typical and fatal foodborne pathogen with strong infectivity and survivability in foodstuff, demands a simple and sensitive detecting method. In this study, we reported a novel nanoplatform based on biofunctionalized magnetic nanoparticles (MNPs) modified upconversion nanoparticles (UCNPs) for rapid and
[...] Read more.
Shigella, a typical and fatal foodborne pathogen with strong infectivity and survivability in foodstuff, demands a simple and sensitive detecting method. In this study, we reported a novel nanoplatform based on biofunctionalized magnetic nanoparticles (MNPs) modified upconversion nanoparticles (UCNPs) for rapid and specific determination of Shigella. Due to base pairing, Shigella aptamer-functionalized horseradish peroxidase (HRP) combined with complementary strand-modified [email protected] In the absence of Shigella, HRP associated with [email protected] were magnetically separated, and colorless 3,3′,5,5′-tetramethylbenzidine (TMB) was oxidized into blue oxTMB. The overlap between oxTMB’s absorption peak and [email protected]’ emission peak caused the fluorescence quenching at 545 nm. The [email protected] fluorescence biosensor was achieved to detect Shigella in 1 h, with a limit of detection of 32 CFU/mL. This work showed a rapid and specific sensing platform and produced satisfactory chicken sample results.
Full article
(This article belongs to the Section (Bio)chemical Sensing)
►▼
Show Figures

Figure 1
Open AccessArticle
Organic Luminescent Sensor for Mercury(II) and Iron(III) Ions in Aqueous Solutions
Chemosensors 2023, 11(5), 308; https://doi.org/10.3390/chemosensors11050308 - 20 May 2023
Abstract
The substrate N1, N3, N5-tris(2-hydroxyphenyl)benzene-1,3,5-tricarboxamide (Sensor A) was prepared in the reaction of 1,3,5-benzenetricarboxylic acid (trimesic acid) and o-aminophenol in ethanol. The prepared organic sensor fulfills the chemiluminescent requirements including a luminophore, spacer, and
[...] Read more.
The substrate N1, N3, N5-tris(2-hydroxyphenyl)benzene-1,3,5-tricarboxamide (Sensor A) was prepared in the reaction of 1,3,5-benzenetricarboxylic acid (trimesic acid) and o-aminophenol in ethanol. The prepared organic sensor fulfills the chemiluminescent requirements including a luminophore, spacer, and suitable binding receptor that distress the probe’s luminescent features, providing selective and sensitive detection of mercury and iron ions in aqueous solutions. The sensor selectively detects mercury and iron ions in a water matrix containing various metal ions, including sodium, calcium, magnesium, zinc, and nickel. Strong and immediate binding was observed between mercury ions and the substrate at pH 7.0 with a binding affinity toward Hg2+ 9-fold higher than that observed for iron sensor binding affinity, which makes the substrate a distinctive luminescence sensor for mercury detection at ambient conditions. The sensor shows a linear response toward Hg2+ in the concentration range from 50 ppb to 100 ppm (2.0 × 10−8 to 4.2 × 10−5 M) with a limit of detection of 2 ppb (1.0 × 10−8 M). Further, Sensor A provides linear detection for iron ions in the range from 10 ppb to 1000 ppm (1.5 × 10−8 to 1.5 × 10−3 M). The measured adsorption capacity of Sensor A toward mercury ions ranged from 1.25 to 1.97 mg/g, and the removal efficiency from water samples reached 98.8% at pH 7.0. The data demonstrate that Sensor A is an excellent probe for detecting and removing mercury ions from water bodies.
Full article
(This article belongs to the Special Issue Advances in Nanocomposite Luminescent Sensors)
►▼
Show Figures

Figure 1
Open AccessArticle
A Laser-Printed Surface-Enhanced Photoluminescence Sensor for the Sub-Nanomolar Optical Detection of Mercury in Water
by
, , , , , and
Chemosensors 2023, 11(5), 307; https://doi.org/10.3390/chemosensors11050307 - 20 May 2023
Abstract
Here, we report a novel, easy-to-implement scalable single-step procedure for the fabrication of a solid-state surface-enhanced photoluminescence (SEPL) sensor via the direct femtosecond (fs) laser patterning of monocrystalline Si wafers placed under the layer of functionalizing solution simultaneously containing a metal salt precursor
[...] Read more.
Here, we report a novel, easy-to-implement scalable single-step procedure for the fabrication of a solid-state surface-enhanced photoluminescence (SEPL) sensor via the direct femtosecond (fs) laser patterning of monocrystalline Si wafers placed under the layer of functionalizing solution simultaneously containing a metal salt precursor (AgNO3) and a photoluminescent probe (d114). Such laser processing creates periodically modulated micro- and nanostructures decorated with Ag nanoparticles on the Si surface, which effectively adsorbs and retains the photoluminescent sensor layer. The SEPL effect stimulated by the micro- and nanostructures formed on the Si surface localizing pump radiation within the near-surface layer and surface plasmons supported by the decorating Ag nanoparticles is responsible for the intense optical sensory response modulated by a small amount of analyte species. The produced SEPL sensor operating within a fluidic device was found to detect sub-nanomolar concentrations of Hg2+ in water which is two orders of magnitude lower compared to this molecular probe sensitivity in solution. The fabrication technique is upscalable, inexpensive, and flexible regarding the ability to the control surface nano-morphology, the amount and type of loading noble-metal nanoparticles, as well as the type of molecular probe. This opens up pathways for the on-demand development of various multi-functional chemosensing platforms with expanded functionality.
Full article
(This article belongs to the Special Issue Advances in Nanocomposite Luminescent Sensors)
►▼
Show Figures

Figure 1
Open AccessArticle
Additive Manufacturing Sensor for Stress Biomarker Detection
by
, , , and
Chemosensors 2023, 11(5), 306; https://doi.org/10.3390/chemosensors11050306 - 20 May 2023
Abstract
This work presents a new additive manufacturing electrochemical device with conductive graphene and polylactic acid (PLA) filament and its application for epinephrine sensing. A three-electrode configuration based on a screen-printed electrode architecture and an easy-to-connect connector was designed. The sensor surface was chemically
[...] Read more.
This work presents a new additive manufacturing electrochemical device with conductive graphene and polylactic acid (PLA) filament and its application for epinephrine sensing. A three-electrode configuration based on a screen-printed electrode architecture and an easy-to-connect connector was designed. The sensor surface was chemically treated with dimethylformamide (DMF) to remove the insulating thermoplastic and expose the graphene binding groups. The scanning electron microscopy (SEM) results showed that the surface PLA was removed and the graphene nanofibers exposed, which corroborated the X-ray diffraction spectra (XRD). As a proof of concept, the G-PLA electrode was applied for the determination of epinephrine in human blood samples by square wave voltammetry with a linear range from 4.0 to 100 µmol L−1 and a limit of detection of 0.2 µmol L−1. Based on the results obtained and sensor application, 3D-printed G-PLA proved an excellent choice for epinephrine sensing purposes.
Full article
(This article belongs to the Special Issue Novel Biosensors for Medical Diagnostics)
►▼
Show Figures

Figure 1
Open AccessArticle
Rhodamine Derivative-Linked Silica-Coated Upconverting Nanophosphor (NaYF4: Yb3+/Er3+@SiO2-RBDA) for Ratiometric, Ultrasensitive Chemosensing of Pb2+ Ions
by
and
Chemosensors 2023, 11(5), 305; https://doi.org/10.3390/chemosensors11050305 - 19 May 2023
Abstract
Lead (Pb2+) ions are considered as one of the primary environmental pollutants and have a profound effect on human health. In this work, we have developed a hybrid organic–inorganic optical nanochemosensor for selective and ultrasensitive detection of Pb2+ ions based
[...] Read more.
Lead (Pb2+) ions are considered as one of the primary environmental pollutants and have a profound effect on human health. In this work, we have developed a hybrid organic–inorganic optical nanochemosensor for selective and ultrasensitive detection of Pb2+ ions based on energy transfer (ET), involving a Pb2+ sensitive rhodamine-derived named (E)-4-(((3′,6′-bis(diethylamino)-3-oxospiro[isoindoline-1,9′-xanthen]-2-yl)imino)methyl)benzaldehyde represented as RBDA, covalently linked with silica coated upconverting nanophosphors (UCNPs). The UCNPs emit visible light after being excited by NIR light, activating the Pb2+ coordinated RBDA (fluorescent probe). When Pb2+ ions were added, a yellow emission band at about 588 nm formed in upconverting photoluminescence spectra, whereas the strength of green emission at about 542 nm reduced upon excitation of 980 nm laser, indicating the energy transfer from UCNP to RBDA-Pb2+ complex. The concentration of Pb2+ ions directly affects how well the probe reabsorbs the green emission of the nanophosphor, thus enabling the ratiometric chemosensing. With a detection limit of 20 nM in aqueous, the resulting ET-based nochemosensor can also preferentially detect Pb2+ despite the presence of other ions. Owing to the minimal autofluorescence and the great penetration depth of NIR light and special optical features of UCNPs, this is a promising approach for sensitive and in-depth detection of Pb2+ ions in a complex ecological and biological specimen.
Full article
(This article belongs to the Special Issue Chemosensors for Ion Detection)
►▼
Show Figures

Figure 1
Open AccessReview
Chemical Sensor Based on Piezoelectric/Triboelectric Nanogenerators: A Review of the Modular Design Strategy
Chemosensors 2023, 11(5), 304; https://doi.org/10.3390/chemosensors11050304 - 19 May 2023
Abstract
Piezoelectric and triboelectric nanogenerators (P-TENGs) have emerged as promising technologies for converting mechanical energy into electrical energy, with potential applications in self-powered wearable and environmental monitoring devices. Modular design in P-TENGs, characterized by the flexible assembly and customization of device components, enables the
[...] Read more.
Piezoelectric and triboelectric nanogenerators (P-TENGs) have emerged as promising technologies for converting mechanical energy into electrical energy, with potential applications in self-powered wearable and environmental monitoring devices. Modular design in P-TENGs, characterized by the flexible assembly and customization of device components, enables the development of sustainable and versatile chemical sensors. In this review, we focus on the role of modularity in P-TENG-based chemical sensing, discussing how it enhances design flexibility, sensing versatility, scalability, and integration with other technologies. We explore the various strategies for functionalizing P-TENGs with specific recognition elements, facilitating selective and sensitive detection of target chemicals such as gases, biochemicals, or biomolecules. Furthermore, we examine the integration of modular P-TENGs with energy storage devices, signal conditioning circuits, and wireless communication modules, highlighting the potential for creating advanced, self-powered sensing systems. Finally, we address the challenges and future directions in the development of modular P-TENG-based chemical sensors (PCS and TCS), emphasizing the importance of improving selectivity, stability, and reproducibility for practical applications.
Full article
(This article belongs to the Special Issue 10th Anniversary of Chemosensors—Section ‘Electrochemical Devices and Sensors’)
►▼
Show Figures

Figure 1
Open AccessReview
Recent Progresses in Plasmonic Biosensors for Point-of-Care (POC) Devices: A Critical Review
Chemosensors 2023, 11(5), 303; https://doi.org/10.3390/chemosensors11050303 - 19 May 2023
Abstract
The recent progresses in the research of plasmonic phenomena and materials paved the route toward the development of optical sensing platforms based on metal nanostructures with a great potential to be integrated into point-of-care (POC) devices for the next generation of sensing platforms,
[...] Read more.
The recent progresses in the research of plasmonic phenomena and materials paved the route toward the development of optical sensing platforms based on metal nanostructures with a great potential to be integrated into point-of-care (POC) devices for the next generation of sensing platforms, thus enabling real-time, highly sensitive and accurate diagnostics. In this review, firstly, the optical properties of plasmonic metal nanoparticles will be illustrated, whereafter the engineering of POC platforms, such as microfluidics and readout systems, will be considered with another critical point which is surface functionalization. Attention will also be given to their potential in multiplexed analysis. Finally, the limitations for effective implementation in real diagnostics will be illustrated with a special emphasis on the latest trend in developing cutting-edge sensing systems.
Full article
(This article belongs to the Special Issue Optical Chemical Sensors and Spectroscopy for Chemical Trace Element Detection)
►▼
Show Figures

Figure 1
Open AccessArticle
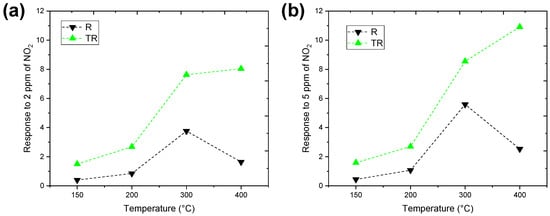
Highly Selective Arsenite Sensor Based on Gold Nanoparticles and Ionic Liquids
Chemosensors 2023, 11(5), 302; https://doi.org/10.3390/chemosensors11050302 - 19 May 2023
Abstract
Here, we report a highly selective arsenite (As(III)) sensor based on gold nanoparticles (AuNPs) and ionic liquids (ILs). AuNPs were citrate-capped with negative charges on their surfaces, and could aggregate and precipitate once electrolytes were introduced to neutralize the negative charges. In this
[...] Read more.
Here, we report a highly selective arsenite (As(III)) sensor based on gold nanoparticles (AuNPs) and ionic liquids (ILs). AuNPs were citrate-capped with negative charges on their surfaces, and could aggregate and precipitate once electrolytes were introduced to neutralize the negative charges. In this study, we discovered that organic ILs, behaving similarly to inorganic electrolytes such as NaCl, could induce the aggregation and precipitation of AuNPs much more efficiently than inorganic electrolytes. Since As(III) inhibited while ILs promoted the aggregation of AuNPs, we examined the interactions between AuNPs, As(III), and ILs and the possibility of using ILs and AuNPs as a sensing probe to detect arsenite and determine its concentration. Six different ILs were evaluated for this purpose in this study. Repeatability, interference, stability, selectivity, and sensitivity were investigated to evaluate the As(III) sensing probe. The limit of detection (LOD) of the sensor sBMP was as low as 0.18 ppb, ranked as the second lowest among the reported arsenite sensors. The sensing of arsenite was also demonstrated with real water samples and was cross-validated with ICP-OES.
Full article
(This article belongs to the Special Issue 10th Anniversary of Chemosensors—Recent Advances in Chemical Sensing Based on Nanomaterials)
►▼
Show Figures

Figure 1
Open AccessArticle
LIBS-MLIF Method: Stromatolite Phosphorite Determination
Chemosensors 2023, 11(5), 301; https://doi.org/10.3390/chemosensors11050301 - 19 May 2023
Abstract
The search for biominerals is one of the core targets in the deep space exploration mission. Stromatolite phosphorite is a typical biomineral that preserves early life on Earth. The enrichment of phosphate is closely related to microorganisms and their secretions. Laser-induced breakdown spectroscopy
[...] Read more.
The search for biominerals is one of the core targets in the deep space exploration mission. Stromatolite phosphorite is a typical biomineral that preserves early life on Earth. The enrichment of phosphate is closely related to microorganisms and their secretions. Laser-induced breakdown spectroscopy (LIBS) has become an essential payload in deep space exploration with the ability to analyze chemical elements remotely, rapidly, and in situ. This paper aims to evaluate the rapid identification of biological and non-biological minerals through a remote LIBS payload. LIBS is used for element analysis and mineral classification determination, and molecular laser-induced fluorescence (MLIF) is used to detect halogenated element F to support the existence of fluorapatite. This paper analyzes the LIBS-MLIF spectral characteristics of stromatolites and preliminarily evaluates the feasibility of P element quantification. The results show that LIBS technology can recognize biological and non-biological signals. This discovery is significant because it is not limited to detecting and analyzing element composition. It can also realize the detection of molecular spectrum based on selective extraction of CaF molecule. Therefore, the LIBS payload still has the potential to search for biomineral under the condition of adjusting the detection strategy.
Full article
(This article belongs to the Special Issue Advanced Spectroscopy Technology for Chemical Qualitative and Quantitative Analysis)
►▼
Show Figures

Figure 1
Open AccessReview
Recent Advances for Imidacloprid Detection Based on Functional Nanomaterials
Chemosensors 2023, 11(5), 300; https://doi.org/10.3390/chemosensors11050300 - 18 May 2023
Abstract
Imidacloprid (IMI) has been applied in agricultural production to prevent pests. It is vital to detect IMI residues with high sensitivity for food safety. In general, nanomaterials have driven the development of highly sensitive sensing platforms owing to their unique physical and chemical
[...] Read more.
Imidacloprid (IMI) has been applied in agricultural production to prevent pests. It is vital to detect IMI residues with high sensitivity for food safety. In general, nanomaterials have driven the development of highly sensitive sensing platforms owing to their unique physical and chemical properties. Nanomaterials play important roles in the construction of high-performance sensors, mainly through sample pretreatment and purification, recognition molecules immobilization, signal amplification, and providing catalytic active sites. This review addresses the advances in IMI sensors based on the combination of nanomaterials and various analytical techniques. The design principles and performance of different chromatographic, electrochemical, and fabricated optical sensors coupled with nanomaterials are discussed. Finally, the challenges and prospects of sensors based on nanomaterials for IMI analysis have also been incorporated.
Full article
(This article belongs to the Special Issue Advances in Nanostructured Based Electrochemical Sensors)
►▼
Show Figures

Figure 1
Journal Menu
► ▼ Journal Menu-
- Chemosensors Home
- Aims & Scope
- Editorial Board
- Reviewer Board
- Topical Advisory Panel
- Instructions for Authors
- Special Issues
- Topics
- Sections & Collections
- Article Processing Charge
- Indexing & Archiving
- Editor’s Choice Articles
- Most Cited & Viewed
- Journal Statistics
- Journal History
- Journal Awards
- Conferences
- Editorial Office
- 10th Anniversary of Chemosensors
Journal Browser
► ▼ Journal BrowserHighly Accessed Articles
Latest Books
E-Mail Alert
News
Topics
Topic in
Biosensors, Chemosensors, Optics, Photonics, Sensors
Advances in Optical Sensors
Topic Editors: Jeroen Missinne, Geert Van SteenbergeDeadline: 31 May 2023
Topic in
Chemosensors, Foods, Molecules, Nanomaterials, Toxics
Advances in Chemistry, XXVIth International Galician Portuguese Conference on Chemistry
Topic Editors: Jose Manuel Andrade, Luis Cuadros-RodríguezDeadline: 15 June 2023
Topic in
Applied Nano, Biosensors, Chemosensors, Materials, Sensors
Nanomaterial Based Gas Sensors for Environmental Air Pollutant Detection
Topic Editors: Tesfalem Welearegay, Radu IonescuDeadline: 30 September 2023
Conferences
Special Issues
Special Issue in
Chemosensors
Carbon Nanomaterials and Related Materials for Sensing Applications
Guest Editors: Alexander G. Bannov, Tamara Basova, Alexey Glushenkov, Mahmut DurmuşDeadline: 31 May 2023
Special Issue in
Chemosensors
Recent Developments in Platforms for SERS Applications
Guest Editors: Natércia Martins, Sara FateixaDeadline: 15 June 2023
Special Issue in
Chemosensors
Advances in Chemosensors Technologies for Monitoring and Diagnostics
Guest Editors: Anirban Paul, Giuseppe MaruccioDeadline: 30 June 2023
Special Issue in
Chemosensors
Nanomaterials Synthesis for Both Sensors and Environmental Applications: Part 2
Guest Editor: Sherif MoussaDeadline: 15 July 2023
Topical Collections
Topical Collection in
Chemosensors
Women Special Issue in Chemosensors and Analytical Chemistry
Collection Editors: Teresa Corrales, Nicole Jaffrezic-Renault, Eleonora Alfinito
Topical Collection in
Chemosensors
Recent Trend in Chromatography for Pharmaceutical Analysis
Collection Editors: Cláudia Maria Rosa Ribeiro, Maria Elizabeth Tiritan
Topical Collection in
Chemosensors
Optical Chemosensors and Biosensors
Collection Editor: Ambra Giannetti
Topical Collection in
Chemosensors
Sustainable Metal Oxide Materials for Sensing Applications
Collection Editors: Ana Rovisco, Elisabetta Comini






