A GIS-Based Assessment of Vulnerability to Aeolian Desertification in the Source Areas of the Yangtze and Yellow Rivers
Abstract
:1. Introduction
2. Study Area
2.1. Physiographic Settings
2.2. Distribution of Aeolian Desertified Land
3. Methods
3.1. Indicator System
3.2. Assessment Model
3.3. Vulnerability Index
3.4. Data
3.5. Analysis of Change Trends
4. Results and Discussion
4.1. Vulnerability
4.2. Changes in Vulnerability
4.3. Driving Forces Responsible for Changes in the Vulnerability to Aeolian Desertification
5. Conclusions
Supplementary Materials
Acknowledgments
Author Contributions
Conflicts of Interest
References
- United Nations Conference on Desertification (UNCOD). Desertification: Its Causes and Consequences; Pergamon Press: Oxford, UK, 1977. [Google Scholar]
- Zhu, Z.D. Fragile ecological zones and land desertification in China. J. Desert Res. 1991, 11, 11–22. (In Chinese) [Google Scholar]
- Zhu, Z.D.; Liu, S. The concept of deertification and the differentiation of its development. J. Desert Res. 1984, 4, 2–8. (In Chinese) [Google Scholar]
- Wang, T. Study on sandy desertification in China 3: Key regions for studying and combating sandy desertification. J. Desert Res. 2004, 1, 1–9. (In Chinese) [Google Scholar]
- Du, M.Y.; Kawashima, S.; Yonemura, S.; Zhang, X.Z.; Chen, S.B. Mutual influence between human activities and climate change in the Tibetan Plateau during recent years. Glob. Planet. Chang. 2004, 41, 241–249. [Google Scholar] [CrossRef]
- Wang, X.M.; Ma, W.Y.; Lang, L.L.; Hua, T. Controls on desertification during the early twenty-first century in the Water Tower region of China. Reg. Environ. Chang. 2014, 15, 735–746. [Google Scholar] [CrossRef]
- Yu, G.A.; Brierley, G.; Huang, H.Q.; Wang, Z.Y.; Blue, B.; Ma, Y.X. An environmental gradient of vegetative controls upon channel planform in the head areas of the Yangtze and Yellow Rivers. CATENA 2014, 119, 143–153. [Google Scholar] [CrossRef]
- Dong, Z.B.; Hu, G.Y.; Yan, C.Z.; Wang, W.L.; Lu, J.F. Aeolian desertification and its causes in the Zoige Plateau of China’s Qinghai-Tibetan Plateau. Environ. Earth Sci. 2010, 59, 1731–1740. [Google Scholar] [CrossRef]
- Bakr, N.; Weindorf, D.C.; Bahnassy, M.H.; El-Badawi, M.M. Multi-temporal assessment of land sensitivity to desertification in a fragile agro-ecosystem: Environmental indicators. Ecol. Indic. 2012, 15, 271–280. [Google Scholar] [CrossRef]
- Lam, D.K.; Remmel, T.K.; Drezner, T.D. Tracking desertification in California using remote sensing: A sand dune encroachment approach. Remote Sens. 2011, 3, 1–13. [Google Scholar] [CrossRef]
- Vicente-Serrano, S.M.; Cabello, D.; Tomás-Burguera, M.; Martín-Hernández, N.; Beguería, S.; Azorin-Molina, C.; Kenawy, A.E. Drought variability and land degradation in semiarid regions: Assessment using remote sensing data and drought indices (1982–2011). Remote Sens. 2015, 7, 4391–4423. [Google Scholar] [CrossRef]
- Ladisa, G.; Todorovic, M.; Liuzzi, G.T. A GIS-based approach for desertification risk assessment in Apulia region, SE Italy. Phys. Chem. Earth 2012, 49, 103–113. [Google Scholar] [CrossRef]
- Salvati, L.; Bajocco, S. Land sensitivity to desertification across Italy: Past, present, and future. Appl. Geogr. 2011, 31, 223–231. [Google Scholar] [CrossRef]
- Van Lynden, G.W.J.; Mantel, S. The role of GIS and remote sensing in land degradation assessment and conservation mapping some user experiences and expectations. Int. J. Appl. Earth. Obs. Geoinf. 2001, 3, 61–68. [Google Scholar] [CrossRef]
- Hu, G.Y.; Dong, Z.B.; Lu, J.F.; Yan, C.Z. Driving forces responsible for aeolian desertification in the head areas of the Yangtze River from 1975 to 2005. Environ. Earth Sci. 2012, 66, 257–263. [Google Scholar] [CrossRef]
- Hu, G.Y.; Dong, Z.B.; Lu, J.F.; Yan, C.Z. Driving forces of aeolian desertification in the head areas of the Yellow River: 1975–2005. Environ. Earth Sci. 2013, 70, 3245–3254. [Google Scholar] [CrossRef]
- Hu, G.Y.; Dong, Z.B.; Lu, J.F.; Yan, C.Z. The developmental trend and influencing factors of aeolian desertification in the Zoige Basin, eastern Qinghai-Tibet Plateau. Aeolian Res. 2015, 19, 275–281. [Google Scholar] [CrossRef]
- Dong, Z.B.; Hu, G.Y.; Yan, C.Z.; Lu, J.F.; Wei, Z.H. Aeolian Desertification in the Source Regions of Yangtze River and Yellow River; Science Press: Beijing, China, 2012. (In Chinese) [Google Scholar]
- Mabbutt, J.A. Desertification Indicators. Clim. Chang. 1986, 9, 113–122. [Google Scholar] [CrossRef]
- Ferrara, A.; Salvati, L.; Sateriano, A.; Nolè, A. Performance evaluation and cost assessment of a key indicator system to monitor desertification vulnerability. Ecol. Indic. 2012, 23, 123–129. [Google Scholar] [CrossRef]
- Chuvieco, E.; Martínez, S.; Román, M.V.; Hantson, S.; Pettinari, M.L. Integration of ecological and socio-economic factors to assess global vulnerability to wildfire. Glob. Ecol. Biogeogr. 2014, 23, 245–258. [Google Scholar] [CrossRef]
- Antwi-Agyei, P.; Fraser, E.D.G.; Dougill, A.J.; Stringer, L.C.; Simelton, E. Mapping the vulnerability of crop production to drought in Ghana using reinfall, yield and socioeconomic data. Appl. Geogr. 2012, 32, 324–334. [Google Scholar] [CrossRef]
- Feng, Z.M.; Tang, Y.; Yang, Y.Z.; Zhang, D. Establishment and application of human settlements environment index model (HEI) based on GIS. Acta Geogr. Sin. 2008, 63, 1321–1336. (In Chinese) [Google Scholar]
- Dong, Y.X.; Kang, G.D. Study on the wind erosion climate erosivity in arid and semi-arid areas in China. J. Soil Water Conserv. 1994, 8, 1–7. (In Chinese) [Google Scholar]
- Imbrenda, V.; D’Emilio, M.; Lanfredi, M.; Simoniello, T.; Ragosta, M.; Macchiato, M. Integrated indicators for the estimation of vulnerability to land degradation. In Soil Processes and Current Trends in Quality Assessment; Intech Open Access Publisher: Rijeka, Croatia, 2013. [Google Scholar] [CrossRef]
- Ren, X.B.; Hu, G.Y.; Dong, Z.B. The concept and assessment of desertification vulnerability. J. Desert Res. 2015, 35, 40–50. (In Chinese) [Google Scholar]
- Intergovernmental Panel on Climate Change (IPCC). Climate Change 2007: Impacts, Adaptation and Vulnerability. Working Group II Contribution to the Fourth Assessment Report of the IPCC; Cambridge University Press: Cambridge, UK, 2007. [Google Scholar]
- Hua, T.; Wang, X.M.; Cizhen; Zhang, C.X.; Lang, L.L. Responses of desertification to climate change in arid and semiarid regions of china over the past millennium. J. Desert Res. 2012, 3, 618–624. (In Chinese) [Google Scholar]
- Liu, X.F.; Ren, Z.Y.; Lin, Z.H.; Liu, Y.X.; Zhang, D.H. The spatial-temporal changes of vegetation coverage in the Three-River headwater region in recent 12 years. Acta Geogr. Sin. 2013, 68, 897–908. (In Chinese) [Google Scholar]
- Linstone, H.A.; Turoff, M. The Delphi Method: Techniques and Applications; Addison-Wesley: London, UK, 1975. [Google Scholar]
- Saaty, T.L. A scaling method for priorities in hierarchical structures. J. Math. Psychol. 1977, 15, 234–281. [Google Scholar] [CrossRef]
- Ye, J. Multicriteria fuzzy decision-making method using entropy weights-based correlation coefficients of interval-valued intuitionistic fuzzy sets. Appl. Math. Model. 2010, 34, 3864–3870. [Google Scholar] [CrossRef]
- Pham, D.L. Spatial models for fuzzy clustering. Comput. Vis. Image Underst. 2001, 84, 285–297. [Google Scholar] [CrossRef]
- Carver, S.J. Integrating multi-criteria evaluation with geographical information systems. Int. J. Geogr. Inf. Syest. 1991, 5, 321–339. [Google Scholar] [CrossRef]
- Bantayan, N.C.; Bishop, I.D. Linking objective and subjective modelling for landuse decision-making. Landsc. Urban Plan. 1998, 43, 35–48. [Google Scholar] [CrossRef]
- Ramanathan, R. A note on the use of the analytic hierarchy process for environmental impact assessment. J. Environ. Manag. 2001, 63, 27–35. [Google Scholar] [CrossRef] [PubMed]
- Stefanidis, S.; Stathis, D. Assessment of flood hazard based on natural and anthropogenic factors using analytic hierarchy process (AHP). Nat. Hazards 2013, 2, 569–585. [Google Scholar] [CrossRef]
- Li, S.; Yang, P.; Gao, S.Y.; Chen, H.S. Dynamic changes and development trends of the land desertification in Tibetan Plateau over the past 10 years. Adv. Earth Sci. 2004, 19, 63–70. (In Chinese) [Google Scholar]
- Liu, J.Y.; Xu, X.L.; Shao, Q.Q. The spatial and temporal characteristics of grassland degradation in the three-river headwaters region in Qinghai province. Acta Geogr. Sin. 2008, 63, 365–376. (In Chinese) [Google Scholar]
- Li, S.S.; Yang, S.N.; Liu, X.F.; Liu, Y.X.; Shi, M.M. NDVI-Based analysis on the influence of climate change and human activities on vegetation restoration in the Shaanxi-Gansu-Ningxia region, central China. Remote Sens. 2015, 7, 11163–11182. [Google Scholar] [CrossRef]
- Liu, X.F.; Zhu, X.F.; Li, S.S.; Liu, Y.X.; Pan, Y.Z. Change in growing season vegetation and their associated driving forces in China during 2001–2012. Remote Sens. 2015, 7, 15517–15535. [Google Scholar] [CrossRef]
- Liu, Y.X.; Liu, X.F.; Hu, Y.N.; Li, S.S.; Peng, J.; Wang, Y.L. Analyzing nonlinear variations in terrestrial vegetation in China during 1982–2012. Environ. Monit. Assess. 2015, 187, 722. [Google Scholar] [CrossRef] [PubMed]
- Li, A.N.; Wang, A.S.; Liang, S.L.; Zhou, W.C. Eco-environmental vulnerability evaluation in mountainous region using remote sensing and GIS-A case study in the upper reaches of Minjiang River, China. Ecol. Model. 2006, 192, 175–187. [Google Scholar] [CrossRef]
- Yang, J.; Ding, Y.; Shen, Y.; Liu, S.; Chen, R. Climatic features of eco-environment change in the head areas of the Yangtze and Yellow rivers in recent 40 years. J. Glaciol. Geocryol. 2004, 26, 7–16. (In Chinese) [Google Scholar]
- Xie, H.; Ye, J.S.; Liu, X.M.; E, C.Y. Warming and drying trends on the Tibetan Plateau (1971–2005). Theor. Appl. Climatol. 2010, 101, 214–253. [Google Scholar] [CrossRef]
- Hua, T.; Wang, X.M. Research progresses on the interaction between desertification and climate change in arid and semiarid East Asia. Prog. Geogr. 2014, 6, 841–852. (In Chinese) [Google Scholar]
- Intergovernmental Panel on Climate Change (IPCC). Climate Change 2007: The Physical Science Basis. Working Group I Contribution to the Fourth Assessment Report of the IPCC; Cambridge University Press: Cambridge, UK, 2007. [Google Scholar]
- Dong, L.X.; Wang, W.K.; Kong, J.L. Supervise of eco-environmental change based on RS methods and causal analysis in Maduo county in upriver regions of the Yellow River. Bull. Soil Water Conserv. 2005, 25, 68–72. (In Chinese) [Google Scholar]
- Zhang, S.Q.; Guo, H.Y.; Luo, Y. Assessment on driving force of climate change and livestock grazing capacity to grassland sanding in Ruoergai. Chin. J. Grassl. 2007, 29, 64–71. (In Chinese) [Google Scholar]
- Yang, Y.X.; Wang, S.Y. Human disturbances on mire and peat soils in the Zoige Plateau. Resour. Sci. 2001, 23, 37–41. (In Chinese) [Google Scholar]
- Shao, Q.Q.; Liu, J.Y.; Huang, L.; Fan, J.W.; Xu, X.L.; Wang, J.B. Integrated assessment on the effectiveness of ecological conservation in Sanjiangyuan National Nature Reserve. Geogr. Res. 2013, 32, 1645–1656. (In Chinese) [Google Scholar]









| Dimension | Indicator 1 | Weight | Relation with Aeolian Desertification |
|---|---|---|---|
| Exposure | Relief of land surface [23] | 0.0650 | − |
| Wind erosion climate erosivity [24] | 0.2235 | + | |
| Mean annual temperature | 0.0698 | + | |
| Sensitivity | Vegetation index (NDVI) [25] | 0.2048 | - |
| Distribution of aeolian desertified land | 0.0786 | + | |
| Distribution of severe aeolian desertified land | 0.1658 | + | |
| Adaptive capacity | Population density | 0.1297 | + |
| GDP density | 0.0628 | + |
| Vulnerability | Range of DVI Values | Description |
|---|---|---|
| Very low | 0.00–0.24 | Stable, with relatively high vegetation cover (>40%) and high resistance to desertification; no signs of aeolian desertification |
| Low | 0.24–0.31 | Relatively stable, with relatively high vegetation cover (20% to 40%) and resistance to desertification; semi-exposed gravel or fixed dunes (sandy land) present in places. A steppe or desert steppe landscape |
| Moderate | 0.31–0.38 | Somewhat unstable, with relatively low vegetation cover (10% to 20%) and resistance to desertification; bare gravel and shifting dunes cover 10% to 30% of the land. A desert or desert steppe landscape |
| High | 0.38–0.51 | Unstable, with poor resistance to desertification and low vegetation cover (5% to 10%); semi-shifting dunes (sandy land) cover 30% to 50% of the land. The inter-dune depressions show a desert vegetation landscape. |
| Very high | 0.51–1.00 | Extremely unstable, with poor resistance to desertification and low vegetation cover (<5%); shifting dunes (sandy land) cover more than 50% of the area. A desert vegetation landscape |
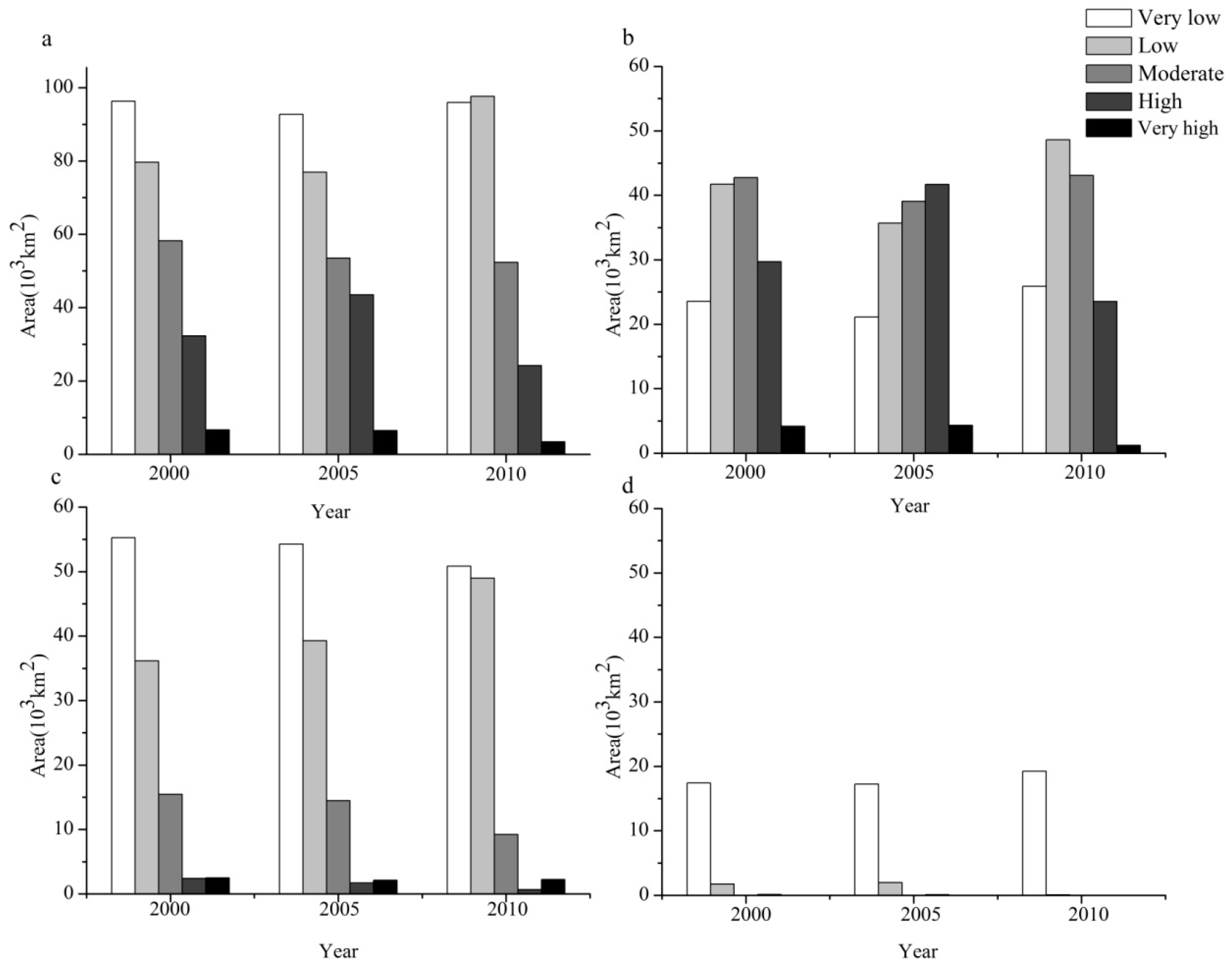
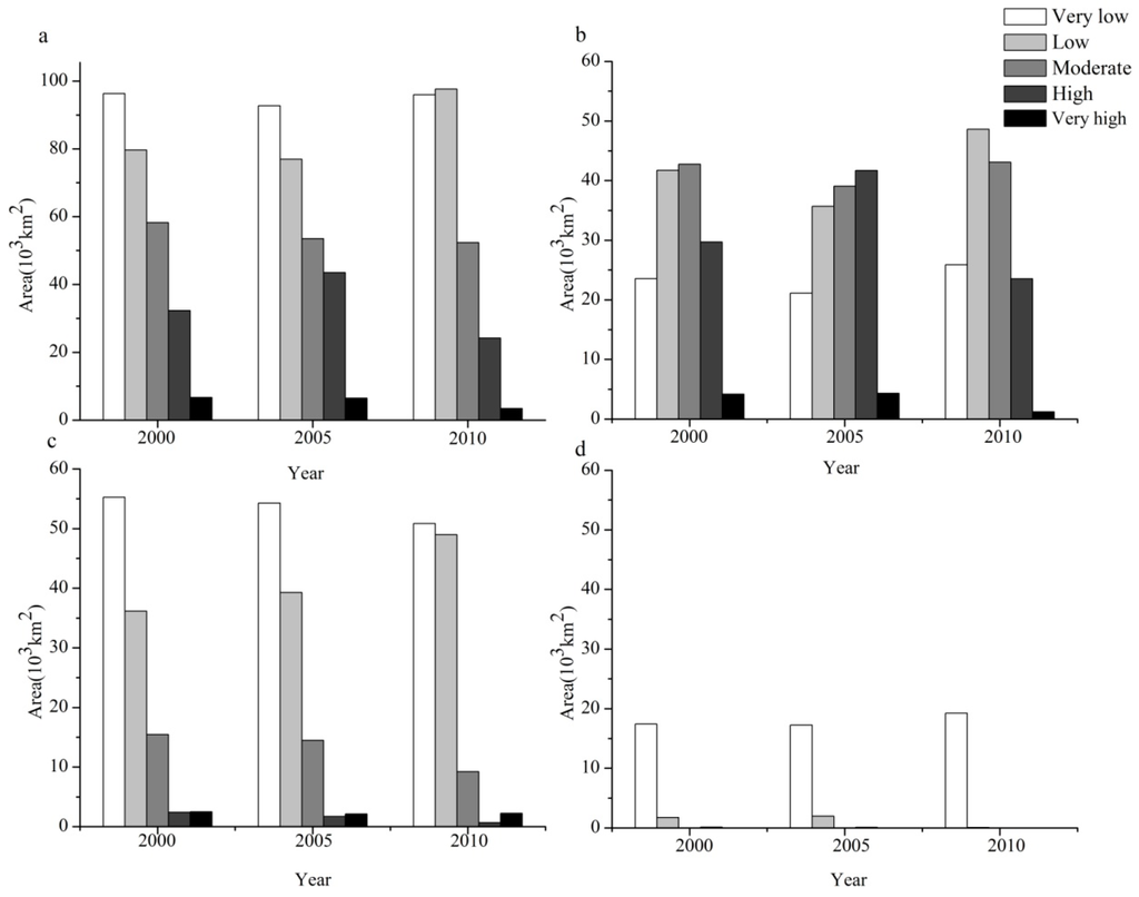
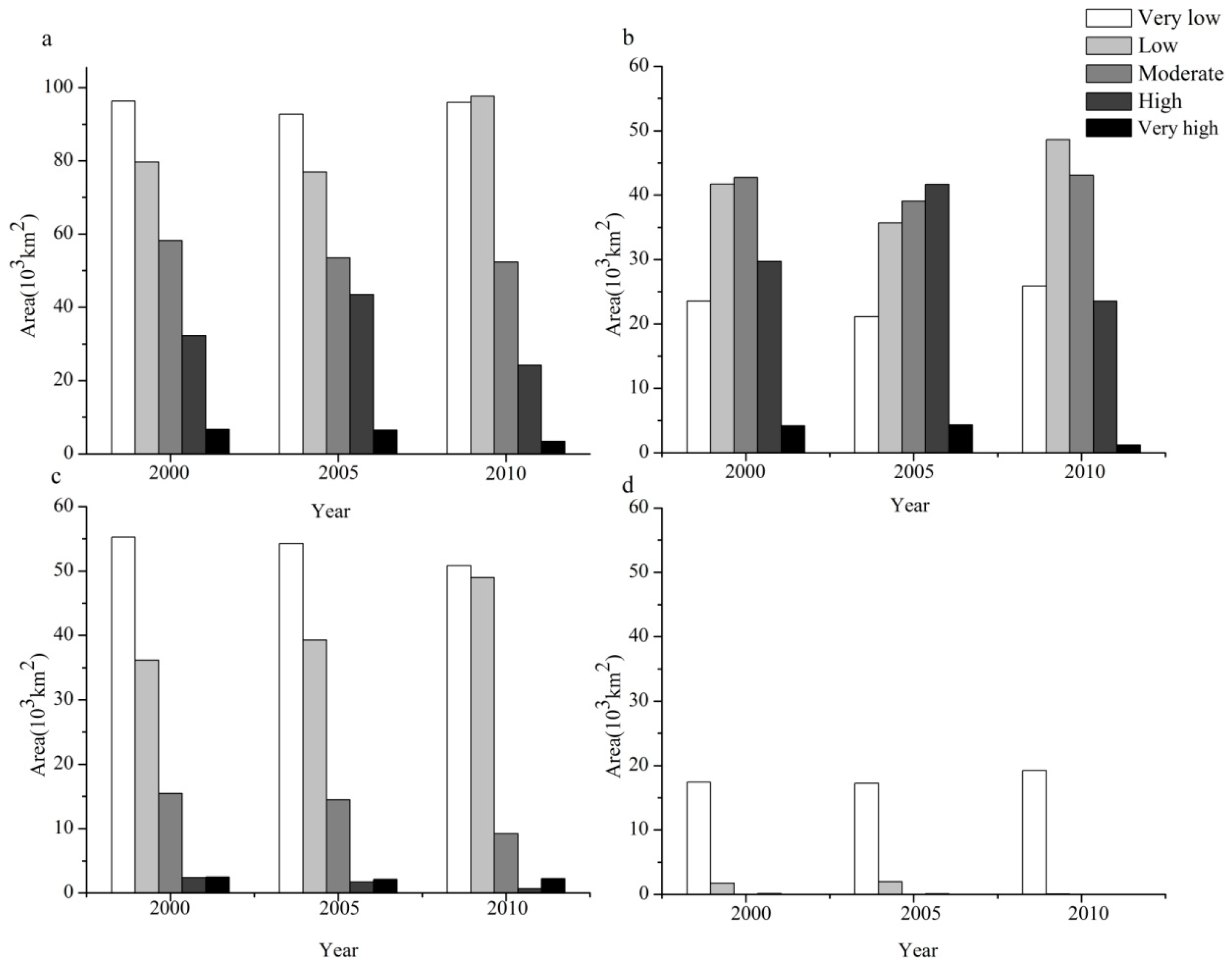
| Year | Degree | Whole Area | Yangtze River | Yellow River | Zoige Basin | ||||
|---|---|---|---|---|---|---|---|---|---|
| Area (km2) | Percent (%) | Area (km2) | Percent (%) | Area (km2) | Percent (%) | Area (km2) | Percent (%) | ||
| 2000 | Very low | 96,275 | 35.3 | 23,569 | 16.6 | 55,268 | 49.5 | 17,438 | 90.1 |
| Low | 79,633 | 29.2 | 41,742 | 29.4 | 36,139 | 32.3 | 1751 | 9.0 | |
| Moderate | 58,255 | 21.3 | 42,769 | 30.2 | 15,462 | 13.8 | 24 | 0.1 | |
| High | 32,287 | 11.8 | 29,702 | 20.9 | 2439 | 2.2 | 146 | 0.8 | |
| Very high | 6689 | 2.4 | 4186 | 2.9 | 2503 | 2.2 | 0 | 0 | |
| 2005 | Very low | 92,868 | 33.9 | 21,155 | 14.9 | 54,267 | 48.6 | 17,264 | 89.2 |
| Low | 76,928 | 28.2 | 35,695 | 25.2 | 39,272 | 35.1 | 1961 | 10.1 | |
| Moderate | 53,534 | 19.6 | 39,055 | 27.5 | 14,465 | 12.9 | 14 | 0.1 | |
| High | 43,532 | 15.9 | 41,685 | 29.4 | 1727 | 1.5 | 120 | 0.6 | |
| Very high | 6462 | 2.4 | 4320 | 3.0 | 2142 | 1.9 | 0 | 0 | |
| 2010 | Very low | 95,985 | 35.1 | 25,877 | 18.2 | 50,846 | 45.4 | 19,262 | 99.5 |
| Low | 97,662 | 35.7 | 48,604 | 34.1 | 48,971 | 43.7 | 87 | 0.4 | |
| Moderate | 52,344 | 19.1 | 43,100 | 30.3 | 9243 | 8.3 | 1 | 0 | |
| High | 24,220 | 8.8 | 23,530 | 16.5 | 678 | 0.6 | 12 | 0.1 | |
| Very high | 3489 | 1.3 | 1234 | 0.9 | 2255 | 2.0 | 0 | 0 | |
| Region | IVI | Variation of IVI | |||
|---|---|---|---|---|---|
| 2000 | 2005 | 2010 | 2000–2005 | 2005–2010 | |
| Source areas of the Yangtze River | 2.6422 | 2.8038 | 2.4776 | 0.1616 | −0.3262 |
| Source areas of the Yellow River | 1.7548 | 1.7335 | 1.7009 | −0.0213 | −0.0326 |
| The Zoige Basin | 1.1156 | 1.1213 | 1.0069 | 0.0057 | −0.1144 |
| The whole study area | 2.1709 | 2.2463 | 2.0057 | 0.0754 | −0.2406 |
© 2016 by the authors; licensee MDPI, Basel, Switzerland. This article is an open access article distributed under the terms and conditions of the Creative Commons Attribution (CC-BY) license (http://creativecommons.org/licenses/by/4.0/).
Share and Cite
Ren, X.; Dong, Z.; Hu, G.; Zhang, D.; Li, Q. A GIS-Based Assessment of Vulnerability to Aeolian Desertification in the Source Areas of the Yangtze and Yellow Rivers. Remote Sens. 2016, 8, 626. https://doi.org/10.3390/rs8080626
Ren X, Dong Z, Hu G, Zhang D, Li Q. A GIS-Based Assessment of Vulnerability to Aeolian Desertification in the Source Areas of the Yangtze and Yellow Rivers. Remote Sensing. 2016; 8(8):626. https://doi.org/10.3390/rs8080626
Chicago/Turabian StyleRen, Xiaobin, Zhibao Dong, Guangyin Hu, Donghai Zhang, and Qing Li. 2016. "A GIS-Based Assessment of Vulnerability to Aeolian Desertification in the Source Areas of the Yangtze and Yellow Rivers" Remote Sensing 8, no. 8: 626. https://doi.org/10.3390/rs8080626
APA StyleRen, X., Dong, Z., Hu, G., Zhang, D., & Li, Q. (2016). A GIS-Based Assessment of Vulnerability to Aeolian Desertification in the Source Areas of the Yangtze and Yellow Rivers. Remote Sensing, 8(8), 626. https://doi.org/10.3390/rs8080626
